Genotype-Specific Responses to Drought During Seed Production in Carrot: Biochemical, Physiological, and Seed Quality Evaluation
Abstract
1. Introduction
2. Results
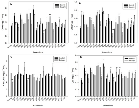
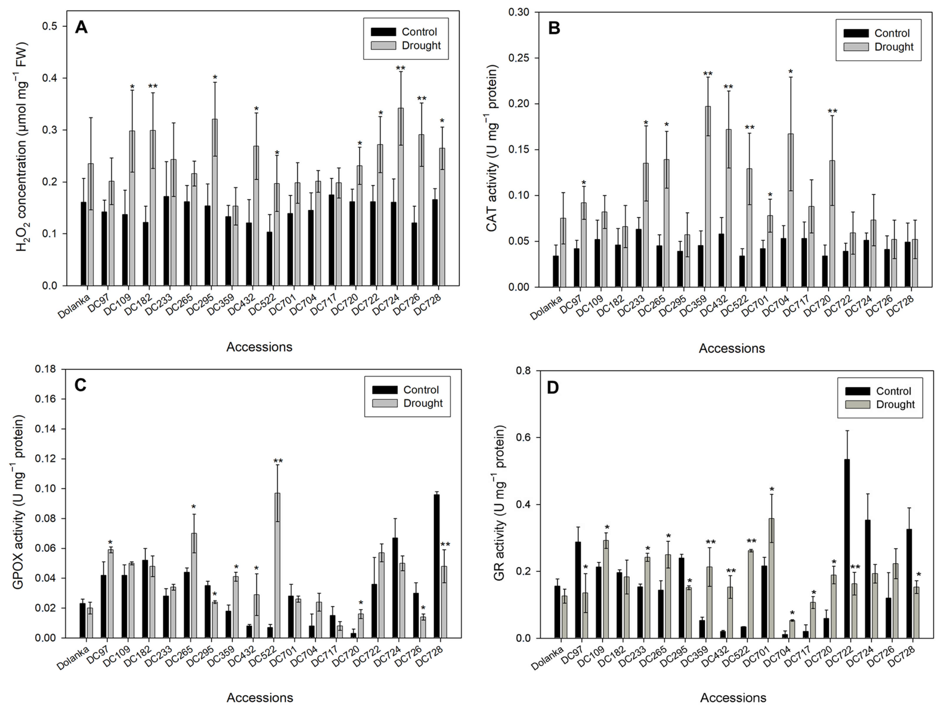
2.1. Biochemical Response of Carrot Plants to Drought
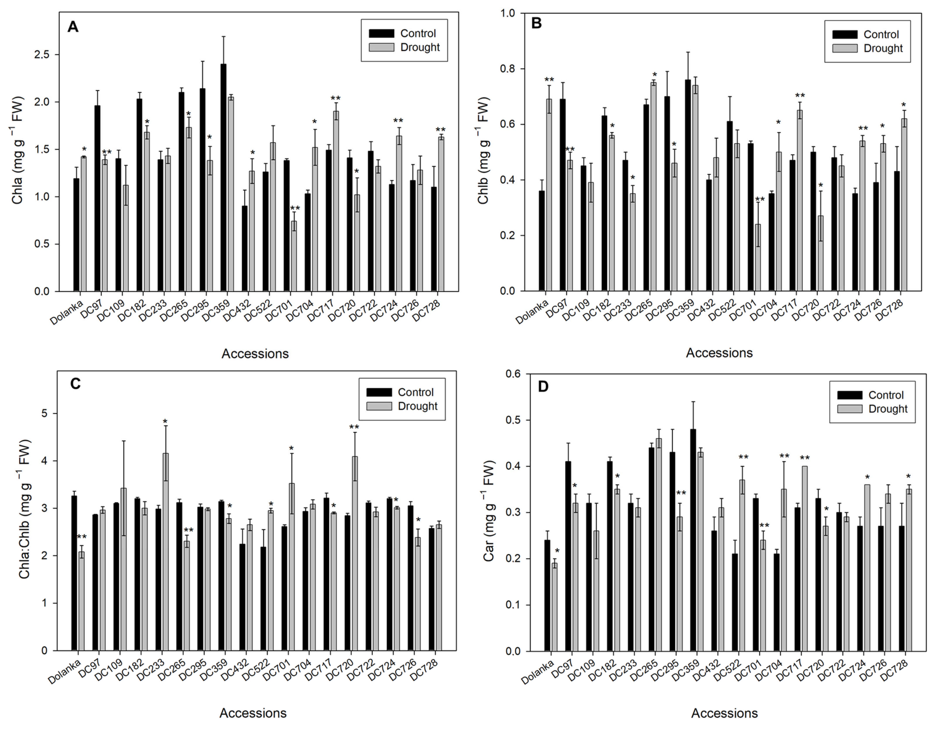
2.2. Photosynthetic Apparatus Response of Carrot to Drought
2.3. Impact of Drought on Seed Germination
3. Discussion
4. Materials and Methods
4.1. Plant Material and Experimental Design
4.2. Assessment of Biochemical Parameters
4.2.1. Quantification of Proline by LC-MS/MS
4.2.2. Determination of Antioxidant Enzyme Activity and H2O2 Measurements
4.2.3. Determination of Malondialdehyde (MDA) Content
4.3. Assessment of Physiological Traits
4.4. Assessment of Seed Germination
4.5. Statistical Analysis
5. Conclusions
Supplementary Materials
Author Contributions
Funding
Institutional Review Board Statement
Informed Consent Statement
Data Availability Statement
Conflicts of Interest
References
- Seljåsen, R.; Kristensen, H.L.; Lauridsen, C.; Wyss, G.S.; Kretzschmar, U.; Birlouez-Aragone, I.; Kahl, J. Quality of carrots as affected by pre- and postharvest factors and processing. J. Sci. Food Agric. 2013, 93, 2611–2626. [Google Scholar] [CrossRef] [PubMed]
- Wierzbowska, J.; Cwalina-Ambroziak, B.; Głosek-Sobieraj, M.; Sienkiewicz, S. Yield and mineral content of edible carrot depending on cultivation and plant protection methods. Acta Sci. Pol.-Hortorum Cultus 2017, 16, 75–86. [Google Scholar]
- Kowalczyk, Z.; Cupiał, M. Environmental analysis of the conventional and organic production of carrot in Poland. J. Clean. Prod. 2020, 269, 122169. [Google Scholar] [CrossRef]
- Yusuf, E.; Tkacz, K.; Turkiewicz, I.P.; Wojdyło, A.; Nowicka, P. Analysis of chemical compounds’ content in different varieties of carrots, including qualification and quantification of sugars, organic acids, minerals, and bioactive compounds by UPLC. Eur. Food Res. Techol. 2021, 247, 3053–3062. [Google Scholar] [CrossRef]
- Kowalczyk, Z.; Kuboń, M. Assessing the impact of water use in conventional and organic carrot production in Poland. Sci. Rep. 2022, 12, 3522. [Google Scholar] [CrossRef]
- Statistics Poland. Yearbook of Agriculture; Zakład Wydawnictw Statystycznych: Warsaw, Poland, 2018; p. 157. Available online: https://stat.gov.pl/files/gfx/portalinformacyjny/pl/defaultaktualnosci/5515/6/12/1/rocznik_statystyczny_rolnictwa_2018.pdf (accessed on 7 August 2025).
- Statistics Poland. Yearbook of Agriculture; Zakład Wydawnictw Statystycznych: Warsaw, Poland, 2024; p. 155. Available online: https://stat.gov.pl/en/topics/statistical-yearbooks/statistical-yearbooks/statistical-yearbook-of-agriculture-2024,6,19.html (accessed on 7 August 2025).
- Agroberichten Buitenland. Poland: Fewer Carrots Due to Drought; Netherlands Enterprise Agency: The Hague, The Netherlands, 2024; Available online: https://www.agroberichtenbuitenland.nl/actueel/nieuws/2024/06/02/poland-fewer-carrots-due-to-drought (accessed on 7 August 2025).
- FreshPlaza. Stable French Carrot Supply Despite Bad Weather. Available online: https://www.freshplaza.com/europe/article/9632912/stable-french-carrot-supply-despite-bad-weather/ (accessed on 7 August 2025).
- Parry, M.L. Assessment of Potential Effects and Adaptation for Climate Change in Europe: The Europe ACACIA Project; Jackson Environmental Institute, University of East Anglia: Norwich, UK, 2000. [Google Scholar]
- Kundzewicz, Z. Scenariusze zmian klimatu [Climate change scenarios]. In Czy Polsce Grożą Katastrofy Klimatyczne? [Is Poland at Risk of Climate Disasters?]; PAN: Warsaw, Poland, 2003; pp. 14–31. [Google Scholar]
- Alcamo, J.; Moreno, J.M.; Nováky, B.; Hindi, M.; Corobov, R.; Devoy, R.J.N.; Giannakopoulos, C.; Martin, E.; Olesn, J.E.; Shvidenko, A. Europe. Climate Change 2007. Impacts, Adaptation and Vulnerability. Contribution of Working Group II to the Fourth Assessment Report of the Intergovernmental Panel on Climate Change; Parry, M.L., Canziani, O.F., Palutikof, J.P., van der Linden, P.J., Hanson, C.E., Eds.; Cambridge University Press: Cambridge, UK, 2007; pp. 541–580. [Google Scholar]
- Masson-Delmotte, V.; Zhai, P.; Pirani, A.; Connors, S.L.; Péan, C.; Berger, S.; Caud, N.; Chen, Y.; Goldfarb, L.; Gomis, M.I.; et al. (Eds.) IPCC Climate Change 2021: The Physical Science Basis. Contribution of Working Group I to the Sixth Assessment Report of the Intergovernmental Panel on Climate Change; Cambridge University Press: Cambridge, UK; New York, NY, USA, 2021. [Google Scholar]
- Kundzewicz, Z. Projekcje zmian klimatu—Ekstrema hydrometeorologiczne [Climate change projections—Hydrometeorological extremes]. In Proceedings of the I Polish Conference ADAGIO, Poznań, Poland, 24 April 2007. [Google Scholar]
- Randall, D.A.; Wood, R.A.; Bony, S.; Colman, R.; Fichefet, T.; Fyfe, J.; Kattsov, V.; Pitman, A.; Shukla, J.; Srinivasan, J.; et al. Climate models and their evaluation. In Climate Change 2007. The Physical Science Basis. Contribution of Working Group I to the Fourth Assessment Report of the Intergovernmental Panel on Climate Change; Solomon, S., Qin, D., Manning, M., Chen, Z., Marquis, M., Averyt, K.B., Tignor, M., Miller, H.L., Eds.; Cambridge University Press: Cambridge, UK; New York, NY, USA, 2007. [Google Scholar]
- European Environment Agency (EEA). Impacts of Europe’s Changing Climate—2008 Indicator-Based Assessment; Report No 4/2008; European Environment Agency (EEA): Copenhagen, Denmark, 2008. [Google Scholar]
- Rolbiecki, S.; Biniak-Pieróg, M.; Żyromski, A.; Kasperska-Wołowicz, W.; Jagosz, B.; Stachowski, P.; Liberacki, D.; Kanecka-Geszke, E.; Sadan, A.H.; Rolbiecki, R.; et al. Effect of forecast climate changes on water needs of giant miscanthus cultivated in the Kuyavia region in Poland. Energies 2021, 14, 6628. [Google Scholar] [CrossRef]
- Rolbiecki, S.; Kasperska-Wołowicz, W.; Jagosz, B.; Sadan, H.A.; Rolbiecki, R.; Szczepanek, M.; Kanecka-Geszke, E.; Łangowski, A. Water and irrigation requirements of Glycine max (L.) Merr. in 1981–2020 in central Poland, central Europe. Agronomy 2023, 13, 2429. [Google Scholar] [CrossRef]
- Rolbiecki, S.; Rolbiecki, R.; Kuśmierek-Tomaszewska, R.; Żarski, J.; Jagosz, B.; Kasperska-Wołowicz, W.; Sadan, H.; Łangowski, A. Influence of forecast climate changes on water needs of jerusalem artichoke grown in the Kuyavia region in Poland. Energies 2023, 16, 533. [Google Scholar] [CrossRef]
- Figas, A.; Rolbiecki, R.; Rolbiecki, S.; Jagosz, B.; Łangowski, A.; Sadan-Ozdemir, H.A.; Pal-Fam, F.; Atilgan, A. Towards water-efficient irrigation of cup plant (Silphium perfoliatum L.) for energy production: Water requirements and rainfall deficit. Sustainability 2024, 16, 5451. [Google Scholar] [CrossRef]
- George, R.A.T. Vegetable Seed Production, 3rd ed.; CABI: London, UK, 2009; pp. 226–250. [Google Scholar]
- Szpakowska, M.; Hołubowicz, R. Production of organic seeds in Poland. Bull. Univ. Agric. Sci. Vet. Med. Cluj-Napoca Hortic. 2015, 72, 411–417. [Google Scholar] [CrossRef]
- Hampton, J.G.; Conner, A.J.; Boelt, B.; Chastain, T.G.; Rolston, P. Climate change: Seed production and options for adaptation. Agriculture 2016, 6, 33. [Google Scholar] [CrossRef]
- Boyer, J.S. Plant productivity and environment. Science 1982, 218, 443–448. [Google Scholar] [CrossRef] [PubMed]
- Chaves, M.M.; Maroco, J.P.; Pereira, J.S. Understanding plant responses to drought—From genes to the whole plant. Funct. Plant Biol. 2003, 30, 239–264. [Google Scholar] [CrossRef] [PubMed]
- Lu, D.; Cai, X.; Zhao, J.; Shen, X.; Lu, W. Effects of drought after pollination on grain yield and quality of fresh waxy maize. J. Sci. Food Agric. 2015, 95, 210–215. [Google Scholar] [CrossRef]
- Anjum, S.A.; Ashraf, U.; Zohaib, A.; Tanveer, M.; Naeem, M.; Ali, I.; Tabassum, T.; Nazir, U. Growth and development responses of crop plants under drought stress: A review. Zemdirb. Agric. 2017, 104, 267–276. [Google Scholar] [CrossRef]
- Sehgal, A.; Sita, K.; Siddique, K.H.; Kumar, R.; Bhogireddy, S.; Varshney, R.K.; HanumanthaRao, B.; Nair, R.M.; Prasad, P.V.V.; Nayyar, H. Drought or/and heat-stress effects on seed filling in food crops: Impacts on functional biochemistry, seed yields, and nutritional quality. Front. Plant Sci. 2018, 9, 1705. [Google Scholar] [CrossRef]
- Tardieu, F.; Simonneau, T.; Muller, B. The physiological basis of drought tolerance in crop plants: A scenario-dependent probabilistic approach. Annu. Rev. Plant Biol. 2018, 69, 733–759. [Google Scholar] [CrossRef]
- Fabian, A.; Sáfrán, E.; Szabó-Eitel, G.; Barnabás, B.; Jäger, K. Stigma functionality and fertility are reduced by heat and drought co-stress in wheat. Front. Plant Sci. 2019, 10, 244. [Google Scholar] [CrossRef]
- Rering, C.C.; Franco, J.G.; Yeater, K.M.; Mallinger, R.E. Drought stress alters floral volatiles and reduces floral rewards, pollinator activity, and seed set in a global plant. EcoSphere 2020, 11, e03254. [Google Scholar] [CrossRef]
- Poudel, S.; Vennam, R.R.; Shrestha, A.; Reddy, K.R.; Wijewardane, N.K.; Reddy, K.N.; Bheemanahalli, R. Resilience of soybean cultivars to drought stress during flowering and early-seed setting stages. Sci. Rep. 2023, 13, 1277. [Google Scholar] [CrossRef]
- Haj, S.A.; Tarnawa, Á.; Khaeim, H.; Kovács, G.P.; Gyuricza, C.; Kende, Z. The effects of temperature and water on the seed germination and seedling development of rapeseed (Brassica napus L.). Plants 2022, 11, 2819. [Google Scholar] [CrossRef]
- Thabet, S.G.; Moursi, Y.S.; Karam, M.A.; Graner, A.; Alqudah, A.M. Genetic basis of drought tolerance during seed germination in barley. PLoS ONE 2018, 13, e0206682. [Google Scholar] [CrossRef] [PubMed]
- Farooq, M.; Wahid, A.; Kobayashi, N.S.M.A.; Fujita, D.B.S.M.A.; Basra, S.M. Plant drought stress: Effects, mechanisms and management. In Sustainable Agriculture; Springer: Dordrecht, The Netherlands, 2009; pp. 153–188. [Google Scholar]
- Salehi-Lisar, S.Y.; Bakhshayeshan-Agdam, H. Drought stress in plants: Causes, consequences, and tolerance. In Drought Stress Tolerance in Plants; Hossain, M.A., Wani, S.H., Bhattacharjee, S., Burritt, D.J., Tran, L.-S.P., Eds.; Springer: Cham, Switzerland, 2016; Volume 1, pp. 1–16. [Google Scholar]
- Kapoor, D.; Bhardwaj, S.; Landi, M.; Sharma, A.; Ramakrishnan, M.; Sharma, A. The impact of drought in plant metabolism: How to exploit tolerance mechanisms to increase crop production. Appl. Sci. 2020, 10, 5692. [Google Scholar] [CrossRef]
- Dietz, K.J.; Zörb, C.; Geilfus, C.M. Drought and crop yield. Plant Biol. 2021, 23, 881–893. [Google Scholar] [CrossRef] [PubMed]
- Ilyas, M.; Nisar, M.; Khan, N.; Hazrat, A.; Khan, A.H.; Hayat, K.; Fahad, S.; Khan, A.; Ullah, A. Drought tolerance strategies in plants: A mechanistic approach. J. Plant Growth Regul. 2021, 40, 926–944. [Google Scholar] [CrossRef]
- Seleiman, M.F.; Al-Suhaibani, N.; Ali, N.; Akmal, M.; Alotaibi, M.; Refay, Y.; Dindaroglu, T.; Abdul-Wajid, H.H.; Battaglia, M.L. Drought stress impacts on plants and different approaches to alleviate its adverse effects. Plants 2021, 10, 259. [Google Scholar] [CrossRef]
- Pandey, B.K.; George, T.S.; Cooper, H.V.; Sturrock, C.J.; Bennett, T.; Bennett, M.J. Root RADAR: How ‘rhizocrine’ signals allow roots to detect and respond to their soil environment and stresses. J. Exp. Bot. 2024, 76, 1500–1509. [Google Scholar] [CrossRef]
- Qiao, M.; Hong, C.; Jiao, Y.; Hou, S.; Gao, H. Impacts of Drought on Photosynthesis in Major Food Crops and the Related Mechanisms of Plant Responses to Drought. Plants 2024, 13, 1808. [Google Scholar] [CrossRef]
- Liao, W.; Wang, G.; Li, Y.; Wang, B.; Zhang, P.; Peng, M. Reactive oxygen species regulate leaf pulvinus abscission zone cell separation in response to water-deficit stress in cassava. Sci. Rep. 2016, 6, 21542. [Google Scholar] [CrossRef]
- Kesawat, M.S.; Satheesh, N.; Kherawat, B.S.; Kumar, A.; Kim, H.-U.; Chung, S.-M.; Kumar, M. Regulation of reactive oxygen species during salt stress in plants and their crosstalk with other signaling molecules—Current perspectives and future directions. Plants 2023, 12, 864. [Google Scholar] [CrossRef]
- Kärkönen, A.; Kuchitsu, K. Reactive oxygen species in cell wall metabolism and development in plants. Phytochemistry 2015, 112, 22–32. [Google Scholar] [CrossRef]
- Zhu, J.-K. Salt and drought stress signal transduction in plants. Annu. Rev. Plant Biol. 2002, 53, 247–273. [Google Scholar] [CrossRef]
- Flexas, J.; Bota, J.; Escalona, J.M.; Sampol, B.; Medrano, H. Effects of drought on photosynthesis in grapevines of different genotypes. Funct. Plant Biol. 2004, 31, 461–471. [Google Scholar]
- Shinozaki, K.; Yamaguchi-Shinozaki, K. Gene networks involved in drought stress response and tolerance. J. Exp. Bot. 2007, 58, 221–227. [Google Scholar] [CrossRef] [PubMed]
- Sofo, A.; Scopa, A.; Nuzzaci, M.; Vitti, A. Ascorbate peroxidase and catalase activities and their genetic regulation in plants subjected to drought and salinity stresses. Int. J. Mol. Sci. 2015, 16, 13561–13578. [Google Scholar] [CrossRef] [PubMed]
- Geem, K.R.; Lee, Y.J.; Lee, J.; Hong, D.; Kim, G.E.; Sung, J. Role of carrot (Daucus carota L.) storage roots in drought stress adaptation: Hormonal regulation and metabolite accumulation. Metabolites 2025, 15, 56. [Google Scholar] [CrossRef]
- Junaid, M.D.; Öztürk, Z.N.; Gökçe, A.F. Drought stress effects on morphophysiological and quality characteristics of commercial carrot cultivars. Turk. J. Bot. 2023, 47, 111–126. [Google Scholar] [CrossRef]
- Ratul, R.H.; Rashid, M.H.A.; Haque, T.; Saha, R. Growth, Yield and Quality Performances of Selected Carrot Varieties Under Drought Stress. Fundam. Appl. Agric. 2025, 10, 437–444. [Google Scholar] [CrossRef]
- Bashir, R.; Riaz, H.N.; Anwar, S.; Parveen, N.; Khalilzadeh, R.; Hussain, I.; Mahmood, S. Morpho-physiological changes in carrots by foliar γ-aminobutyric acid under drought stress. Braz. J. Bot. 2021, 44, 57–68. [Google Scholar] [CrossRef]
- Junaid, M.D.; Öztürk Gökçe, Z.N.; Gökçe, A.F. Investigation of drought induced biochemical and gene expression changes in carrot cultivars. Mol. Biol. Rep. 2023, 50, 349–359. [Google Scholar] [CrossRef]
- Junaid, M.D.; Öztürk, Z.N.; Gökçe, A.F. Exploitation of tolerance to drought stress in carrot (Daucus carota L.): An overview. Stress Biol. 2023, 3, 55. [Google Scholar] [CrossRef]
- Minev-Benzecry, S.; Daru, B.H. Climate change alters the future of natural floristic regions of deep evolutionary origins. Nat. Commun. 2024, 15, 9474. [Google Scholar] [CrossRef]
- Manu, R.; Iddris, N.A.A.; Corre, M.D.; Aleeje, A.; Mwanjalolo, M.J.G.; van Straaten, O.; Veldkamp, E. Response of tropical forest productivity to seasonal drought mediated by potassium and phosphorus availability. Nat. Geosci. 2024, 17, 524–531. [Google Scholar] [CrossRef]
- Cornic, G.; Mossaci, A. Leaf photosynthesis under drought stress. In Photosynthesis and Environmen; Baker, N.R., Ed.; Kluwer Academic Publishers: New York, NY, USA, 1996. [Google Scholar]
- Taiz, L.; Zeiger, E.; Møller, I.M.; Murphy, A. Plant Physiology and Development, 6th ed.; Sinauer Associates: Sunderland, CT, USA, 2015. [Google Scholar]
- Jones, H.G. Monitoring plant and soil water status: Established and novel methods revisited and their relevance to studies of drought tolerance. J. Exp. Bot. 2007, 58, 119–130. [Google Scholar] [CrossRef]
- Tardieu, F. Any trait or trait-related allele can confer drought tolerance: Just design the right drought scenario. J. Exp. Bot. 2012, 63, 25–31. [Google Scholar] [CrossRef] [PubMed]
- Öztürk Gökçe, Z.N.; Gökçe, A.F.; Junaid, M.D.; Chaudhry, U.K. Comparative transcriptomics of drought stress response of taproot meristem region of contrasting purple carrot breeding lines supported by physio-biochemical parameters. Funct. Integr. Genomics 2022, 22, 697–710. [Google Scholar] [CrossRef] [PubMed]
- Renzetti, M.; Funck, D.; Trovato, M. Proline and ROS: A Unified Mechanism in Plant Development and Stress Response? Plants 2025, 14, 2. [Google Scholar] [CrossRef] [PubMed]
- Panda, S.K.; Gupta, D.; Patel, M.; Van Der Vyver, C.; Koyama, H. Functionality of Reactive Oxygen Species (ROS) in Plants: Toxicity and Control in Poaceae Crops Exposed to Abiotic Stress. Plants 2024, 13, 2071. [Google Scholar] [CrossRef]
- Lee, K.P.; Kim, C. Photosynthetic ROS and retrograde signaling pathways. New Phytol. 2024, 244, 1183–1198. [Google Scholar] [CrossRef]
- Jiménez, A.; Martí, M.C.; Sevilla, F. Oxidative post-translational modifications of plant antioxidant systems under environmental stress. Physiol. Plant. 2025, 177, e70118. [Google Scholar] [CrossRef]
- Kamińska, I.; Lukasiewicz, A.; Klimek-Chodacka, M.; Długosz-Grochowska, O.; Rutkowska, J.; Szymonik, K.; Baranski, R. Antioxidative and osmoprotecting mechanisms in carrot plants tolerant to soil salinity. Sci. Rep. 2022, 12, 7266. [Google Scholar] [CrossRef] [PubMed]
- Zhang, R.R.; Wang, Y.H.; Li, T.; Tan, G.F.; Tao, J.P.; Su, X.J.; Xu, Z.S.; Tian, Y.S.; Xiong, A.S. Effects of simulated drought stress on carotenoid contents and expression of related genes in carrot taproots. Protoplasma 2021, 258, 379–390. [Google Scholar] [CrossRef] [PubMed]
- Hayat, S.; Hayat, Q.; Alyemeni, M.N.; Wani, A.S.; Pichtel, J.; Ahmad, A. Role of proline under changing environments: A review. Plant Signal Behav. 2012, 7, 1456–1466. [Google Scholar] [CrossRef] [PubMed]
- Slabbert, M.M.; Krüger, G.H.J. Antioxidant enzyme activity proline accumulation leaf area and cell membrane stability in water stressed Amaranthus leaves. S. Afr. J. Bot. 2014, 95, 123–128. [Google Scholar] [CrossRef]
- Hegarty, T.W. Seed activation and seed germination under moisture stress. New Phytol. 1977, 78, 349–359. [Google Scholar] [CrossRef]
- Samarah, N.H.; Mullen, R.E.; Cianzio, S.R. Size Distribution and Mineral Nutrients of Soybean Seeds in Response to Drought Stress. J. Plant Nutr. 2004, 27, 815–835. [Google Scholar] [CrossRef]
- Nijabat, A.; Manzoor, S.; Faiz, S.; Naveed, N.H.; Bolton, A.; Khan, B.A.; Ali, A.; Simon, P. Variation in Seed Germination and Amylase Activity of Diverse Carrot [Daucus carota (L.)] Germplasm under Simulated Drought Stress. HortScience 2023, 58, 205–210. [Google Scholar] [CrossRef]
- Ledwożyw-Smoleń, I.; Smoleń, S.; Liszka-Skoczylas, M.; Pitala, J.; Skoczylas, Ł. The Effect of Bromine and Iodine on the Plant Growth, Phytochemical Composition and Antioxidant Capacity of Dandelion (Taraxacum officinale F.H. Wiggers Coll.) Plants. Molecules 2025, 30, 2239. [Google Scholar] [CrossRef]
- Beers, R.F., Jr.; Sizer, I.W. A spectrophotometric method for measuring the breakdown of hydrogen peroxide by catalase. J. Biol. Chem. 1952, 195, 133–140. [Google Scholar] [CrossRef]
- Reuveni, M.; Agapov, V.; Reuveni, R. Induction of systemic protection against rust infection in groundsel by foliar application of benzothiadiazole. Phytopathology 1992, 82, 749–753. [Google Scholar] [CrossRef]
- Carlberg, I.; Mannervik, B. Measurement of glutathione reductase activity by monitoring the oxidation of NADPH at 340 nm. Methods Enzymol. 1985, 113, 484–490. [Google Scholar]
- Wilmowicz, E.; Kućko, A.; Burchardt, S.; Przywieczerski, T. Molecular and hormonal aspects of drought-triggered flower abscission in yellow lupine (Lupinus luteus L.). Int. J. Mol. Sci. 2019, 20, 3731. [Google Scholar] [CrossRef] [PubMed]
- Hodges, D.M.; DeLong, J.M.; Forney, C.F.; Prange, R.K. Improving the thiobarbituric acid-reactive-substances assay for estimating lipid peroxidation in plant tissues. HortScience 1999, 34, 700–702. [Google Scholar]
- Kućko, A.; de Dios Alché, J.; Tranbarger, T.J.; Wilmowicz, E. The acceleration of yellow lupine flower abscission by jasmonates is accompanied by lipid-related events in abscission zone cells. Plant Sci. 2022, 316, 111173. [Google Scholar] [CrossRef] [PubMed]
- Lichtenthaler, H.K. Chlorophylls and carotenoids: Pigments of photosynthetic biomembranes. In Methods in Enzymology; Colowick, S.P., Kaplan, N.O., Eds.; Academic Press: San Diego, CA, USA, 1987; Volume 148, pp. 350–382. [Google Scholar]
- Porra, R.J. The chequered history of the development and use of simultaneous equations for the accurate determination of chlorophylls a and b. Photosyn. Res. 2002, 73, 149–156. [Google Scholar] [CrossRef]
- International Seed Testing Association (ISTA). International Rules for Seed Testing; International Seed Testing Association: Wallisellen, Switzerland, 2022. [Google Scholar]
- Don, R. ISTA Handbook on Seedling Evaluation, 3rd ed.; 2003, with Amendments 2006–2009; The International Seed Testing Association: Bassersdorf, Switzerland, 2009. [Google Scholar]
- Orchard, T.J. Estimating the parameters of plant seedling emergence. Seed Sci. Technol. 1977, 5, 61–69. [Google Scholar]
- Jones, K.W.; Sanders, D.C. The influence of soaking pepper seed in water or potassium salt solutions on germination at three temperatures. J. Seed Technol. 1987, 11, 97–102. [Google Scholar]
- Benech Arnold, R.L.; Fenner, M.; Edwards, P.J. Changes in germinability, ABA content and ABA embryonic sensitivity in developing seeds of Sorghum bicolor (L.) Moench. induced by water stress during grain filling. New Phytol. 1991, 118, 339–347. [Google Scholar] [CrossRef]
- Heydecker, W. Glossary of terms. In Seed Ecology; Heydecker, W., Ed.; Butterworths: London, UK, 1973; pp. 553–557. [Google Scholar]
- Bewley, J.D.; Black, M. Seeds: Physiology of Development and Germination, 2nd ed.; Plenum Press: New York, NY, USA, 1994. [Google Scholar]






| Accession | Growing Condition | GC (%) | AS (%) | NGS (%) | MGT (Day) | CVG (%) | GI (Seed Day−1) | CUG (Day−2) |
|---|---|---|---|---|---|---|---|---|
| ‘Dolanka’ | control | 97.0 a–d | 1.0 jk | 2.0 d–h | 3.66 o | 27.46 c | 310.8 cde | 1.78 ns |
| drought | 72.5 m * | 25.5 a * | 2.0 d–h | 4.13 g–j * | 24.27 g–k * | 287.8 h–o * | 1.25 ns | |
| DC97 | control | 95.5 a–f | 0.0 k | 4.5 b–e | 4.58 b | 21.86 p | 259.0 stu | 0.72 ns |
| drought | 94.5 c–g | 2.5 h–k | 3.0 b–h | 4.02 i–m * | 24.89 d–i * | 290.0 h–o * | 1.22 ns | |
| DC109 | control | 96.0 a–e | 0.5 jk | 3.5 b–g | 3.92 klm | 25.50 def | 293.3 g–l | 1.35 ns |
| drought | 93.0 d–h | 3.0 g–k | 4.0 b–f | 5.63 a * | 17.76 q * | 209.5 w * | 0.56 ns | |
| DC182 | control | 88.5 ijk | 9.0 bcd | 2.5 c–h | 4.04 i–l | 24.78 e–j | 290.5 h–n | 0.66 ns |
| drought | 96.5 a–d * | 2.5 h–k * | 1.0 fgh | 4.37 cde * | 22.86 m–p * | 278.5 m–q | 1.01 ns | |
| DC233 | control | 92.0 e–i | 3.5 g-j | 4.5 b–e | 3.47 pr | 28.82 b * | 313.3 bcd | 1.23 ns |
| drought | 97.0 a–d * | 1.5 ijk | 1.5 e–h | 3.94 klm * | 25.40 def * | 298.5 e–i * | 1.24 ns | |
| DC265 | control | 99.5 a | 0.0 k | 0.5 gh | 3.28 r * | 30.48 a | 334.3 a | 1.27 ns |
| drought | 97.5 ab | 2.5 h–k | 0.0 g | 4.16 ghi * | 24.04 h–l * | 290.5 h–n * | 1.59 ns | |
| DC295 | control | 97.5 abc | 1.5 ijk | 1.0 fgh | 4.22 e–h | 23.71 j–m | 286.0 i–p | 1.41 ns |
| drought | 88.0 ijk * | 6.0 d–g * | 6.0 b * | 4.17 ghi | 24.01 h–l | 274.3 pqr | 2.22 ns | |
| DC359 | control | 97.5 abc | 1.5 ijk | 1.0 fgh | 3.86 mn | 25.92 d | 304.0 d–g | 3.15 ns |
| drought | 97.5 abc | 2.0 ijk | 0.5 gh | 4.02 i–m | 24.95 d–i | 297.8 e–j | 2.33 ns | |
| DC432 | control | 94.4 c–g | 2.5 h–k | 3.0 b-h | 4.57 b | 21.89 p | 264.8 rst | 1.37 ns |
| drought | 91.0 ghi | 3.0 g–k | 6.0 b | 4.53 bc | 22.11 op | 257.0 tu | 2.00 ns | |
| DC522 | control | 85.5 jkl | 4.5 f–i | 10.0 a | 4.47 bcd | 22.38 nop | 249.0 u | 1.77 ns |
| drought | 96.5 a–d * | 2.5 h–k | 1.0 fgh * | 3.94 klm * | 25.36 d–g * | 299.8 e–h * | 1.32 ns | |
| DC701 | control | 96.5 a–d | 0.5 jk | 3.0 b-h | 3.90 lm | 25.66 de | 296.0 f–k | 1.86 ns |
| drought | 94.0 c–g | 1.5 ijk | 4.5 b-e | 3.90 lm | 25.64 de | 291.3 g–m | 1.62 ns | |
| DC704 | control | 98.0 abc | 0.0 k | 2.0 d-h | 3.45 qr | 29.02 b | 321.0 abc | 2.33 ns |
| drought | 89.0 hij * | 5.5 e–h * | 5.5 bc * | 3.70 no * | 27.03 c * | 299.3 e–i * | 1.37 ns | |
| DC717 | control | 95.0 b–g | 4.5 f–i | 0.5 gh | 4.09 h–k | 24.49 f–k | 294.3 g–l | 3.55 ns |
| drought | 84.5 kl * | 12.0 b * | 3.5 b-g | 4.17 f–i | 24.00 i–l | 284.3 k–q | 3.01 ns | |
| DC720 | control | 99.0 ab | 0.0 k | 1.0 fgh | 3.44 qr | 29.08 b | 324.8 ab | 3.66 ns |
| drought | 83.5 l * | 11.0 bc * | 5.5 bc * | 4.13 g–j * | 24.20 h–l * | 277.3 n–r * | 1.93 ns | |
| DC722 | control | 91.5 f–i | 6.0 d–g | 2.5 c–h | 4.47 bcd * | 27.51 c | 310.3 cde | 1.80 ns |
| drought | 93.0 d–h | 3.0 g–k | 4.0 b–f | 3.56 opr * | 28.12 bc | 309.3 c–f | 1.52 ns | |
| DC724 | control | 91.5 f–i | 7.0 d–f * | 1.5 e–h | 4.27 efg | 23.45 k–n | 282.3 l–q | 1.92 ns |
| drought | 86.0 jkl * | 12.0 b * | 2.0 d–h | 4.35 de | 23.02 l–o | 277.0 o–r | 2.25 ns | |
| DC726 | control | 91.5 f–i | 3.5 g–j | 5.0 bcd | 4.02 i–m | 24.89 d–i | 284.0 k–q | 3.44 ns |
| drought | 89.00 hij | 10.5 bc * | 0.5 gh * | 3.98 j–m | 25.10 d–h | 299.3 e–i * | 2.42 ns | |
| DC728 | control | 97.0 a–d | 0.5 jk | 2.5 c–h | 4.16 ghi | 24.05 h–l | 284.8 j–q | 2.00 ns |
| drought | 88.0 ijk * | 8.0 cde * | 4.0 b–f | 4.34 def * | 23.02 l–o | 271.5 qrs | 1.97 ns |
Disclaimer/Publisher’s Note: The statements, opinions and data contained in all publications are solely those of the individual author(s) and contributor(s) and not of MDPI and/or the editor(s). MDPI and/or the editor(s) disclaim responsibility for any injury to people or property resulting from any ideas, methods, instructions or products referred to in the content. |
© 2025 by the authors. Licensee MDPI, Basel, Switzerland. This article is an open access article distributed under the terms and conditions of the Creative Commons Attribution (CC BY) license (https://creativecommons.org/licenses/by/4.0/).
Share and Cite
Jagosz, B.; Czernicka, M.; Kamińska, I.; Wilmowicz, E.; Kućko, A.; Smoleń, S.; Kapusta, M.; Kocięcka, J.; Rolbiecki, S.; Rolbiecki, R.; et al. Genotype-Specific Responses to Drought During Seed Production in Carrot: Biochemical, Physiological, and Seed Quality Evaluation. Int. J. Mol. Sci. 2025, 26, 10642. https://doi.org/10.3390/ijms262110642
Jagosz B, Czernicka M, Kamińska I, Wilmowicz E, Kućko A, Smoleń S, Kapusta M, Kocięcka J, Rolbiecki S, Rolbiecki R, et al. Genotype-Specific Responses to Drought During Seed Production in Carrot: Biochemical, Physiological, and Seed Quality Evaluation. International Journal of Molecular Sciences. 2025; 26(21):10642. https://doi.org/10.3390/ijms262110642
Chicago/Turabian StyleJagosz, Barbara, Małgorzata Czernicka, Iwona Kamińska, Emilia Wilmowicz, Agata Kućko, Sylwester Smoleń, Małgorzata Kapusta, Joanna Kocięcka, Stanisław Rolbiecki, Roman Rolbiecki, and et al. 2025. "Genotype-Specific Responses to Drought During Seed Production in Carrot: Biochemical, Physiological, and Seed Quality Evaluation" International Journal of Molecular Sciences 26, no. 21: 10642. https://doi.org/10.3390/ijms262110642
APA StyleJagosz, B., Czernicka, M., Kamińska, I., Wilmowicz, E., Kućko, A., Smoleń, S., Kapusta, M., Kocięcka, J., Rolbiecki, S., Rolbiecki, R., & Róg, L. (2025). Genotype-Specific Responses to Drought During Seed Production in Carrot: Biochemical, Physiological, and Seed Quality Evaluation. International Journal of Molecular Sciences, 26(21), 10642. https://doi.org/10.3390/ijms262110642

