Evaluation of 2,7-Naphthyridines as Targeted Anti-Staphylococcal Candidates with Microbiota-Sparing Properties
Abstract
1. Introduction
2. Results
2.1. Chemical Synthesis
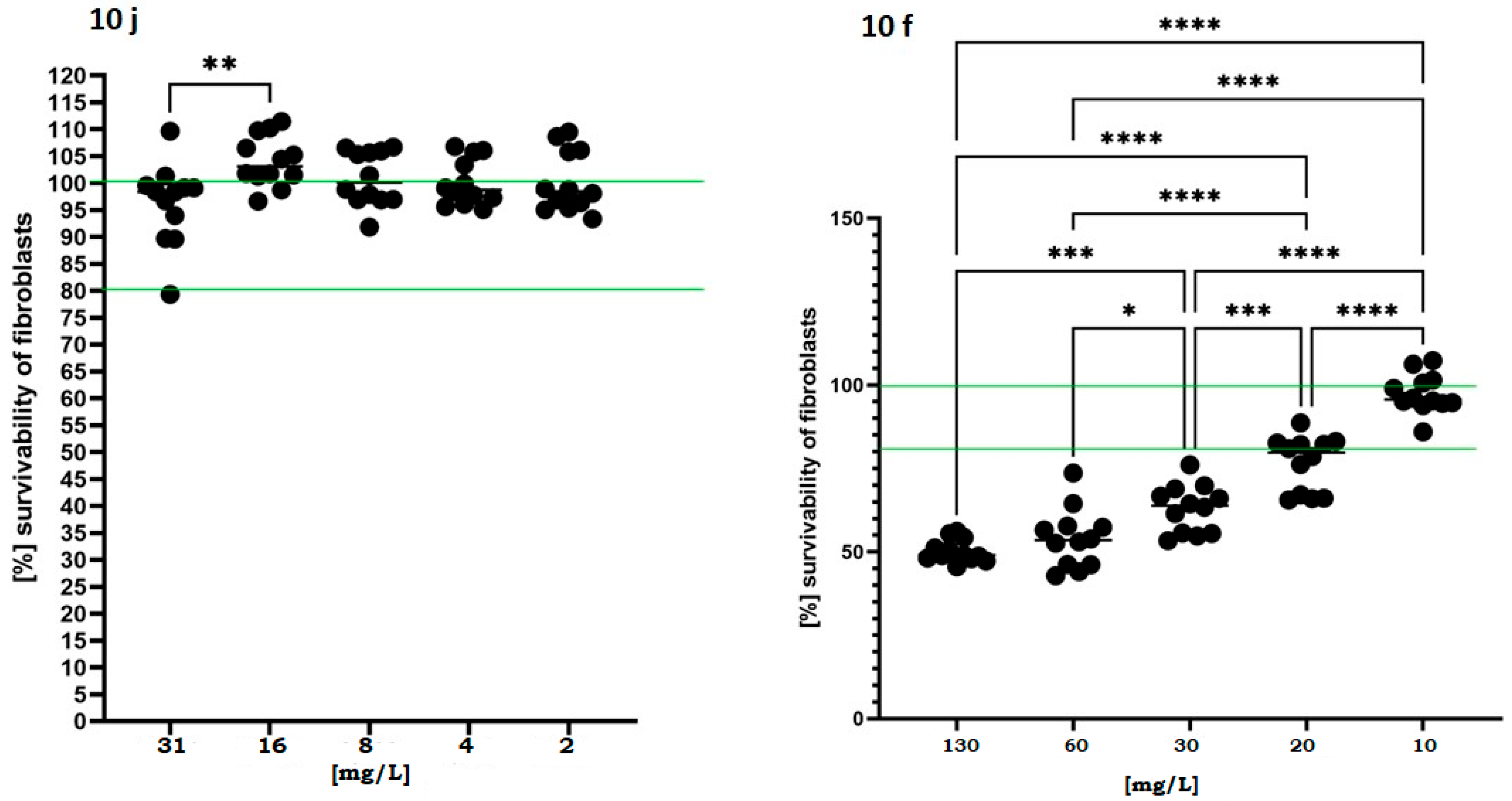
2.2. Evaluation of Biological Effects Displayed by Obtained Compounds
2.3. Molecular Modelling
3. Discussion
4. Materials and Methods
4.1. Chemistry
4.2. Computational Methods
4.3. Biological Assessments
4.3.1. Determination of Minimum Inhibitory and Bactericidal Concentrations (MIC and MBC)
4.3.2. Live/Dead Fluorescence Imaging of S. aureus or L. crispatus Biofilm
4.3.3. Cytotoxicity Assessment on Fibroblasts
4.3.4. In Vivo Toxicity Assay in Galleria mellonella
5. Conclusions
Supplementary Materials
Author Contributions
Funding
Institutional Review Board Statement
Informed Consent Statement
Data Availability Statement
Acknowledgments
Conflicts of Interest
References
- Zhao, A.; Sun, J.; Liu, Y. Understanding bacterial biofilms: From definition to treatment strategies. Front. Cell Infect. Microbiol. 2023, 13, 1137947. [Google Scholar] [CrossRef] [PubMed] [PubMed Central]
- Zheng, D.; Liwinski, T.; Elinav, E. Interaction between microbiota and immunity in health and disease. Cell Res. 2020, 30, 492–506. [Google Scholar] [CrossRef]
- Thomas, S.; Izard, J.; Walsh, E.; Batich, K.; Chongsathidkiet, P.; Clarke, G.; Sela, D.A.; Muller, A.J.; Mullin, J.M.; Albert, K.; et al. The Host Microbiome Regulates and Maintains Human Health: A Primer and Perspective for Non-Microbiologists. Cancer Res. 2017, 77, 1783–1812. [Google Scholar] [CrossRef] [PubMed] [PubMed Central]
- McDonnell, G.; Russell, A.D. Antiseptics and disinfectants: Activity, action, and resistance. Clin. Microbiol. Rev. 1999, 12, 147–179, Erratum in Clin. Microbiol. Rev. 2001, 14, 227. [Google Scholar] [CrossRef] [PubMed] [PubMed Central]
- Petrova, M.I.; Lievens, E.; Malik, S.; Imholz, N.; Lebeer, S. Lactobacillus species as biomarkers and agents that can promote various aspects of vaginal health. Front. Physiol. 2015, 6, 81. [Google Scholar] [CrossRef] [PubMed] [PubMed Central]
- Ansari, A.; Son, D.; Hur, Y.M.; Park, S.; You, Y.-A.; Kim, S.M.; Lee, G.; Kang, S.; Chung, Y.; Lim, S.; et al. Lactobacillus Probiotics Improve Vaginal Dysbiosis in Asymptomatic Women. Nutrients 2023, 15, 1862. [Google Scholar] [CrossRef]
- Pibiri, I. Recent Advances: Heterocycles in Drugs and Drug Discovery. Int. J. Mol. Sci. 2024, 25, 9503. [Google Scholar] [CrossRef]
- Rotella, D.P. Chapter Four—Heterocycles in drug discovery: Properties and preparation. Adv. Heterocycl. Chem. 2021, 134, 149–183. [Google Scholar] [CrossRef]
- Heravi, M.M.; Zadsirjan, V. Prescribed drugs containing nitrogen heterocycles: An overview. RSC Adv. 2020, 10, 44247. [Google Scholar] [CrossRef] [PubMed]
- Kerru, N.; Gummidi, L.; Maddila, S.; Gangu, K.K.; Jonnalagadda, S.B. A Review on Recent Advances in Nitrogen-Containing Molecules and Their Biological Applications. Molecules 2020, 25, 1909. [Google Scholar] [CrossRef] [PubMed]
- Madaan, A.; Verma, R.; Kumar, V.; Singh, A.T.; Jain, S.K.; Jaggi, M. 1,8-Naphthyridine Derivatives: A Review of Multiple Biological Activities. Arch. Pharm. 2015, 348, 837–860. [Google Scholar] [CrossRef]
- Gurjar, V.K.; Shukla, S.; Gondaliya, N.; Puwar, N. Design, Synthesis, in Silico Study and Biological Evaluation of 1,8-Naphthyridine Derivatives as Potential Antibacterial Agents. Orient. J. Chem. 2023, 39, 320–334. [Google Scholar] [CrossRef]
- El-mrabet, A.; Haoudi, A.; Kandri-Rodi, Y.; Mazzah, A. An Overview of Quinolones as Potential Drugs: Synthesis, Reactivity and Biological Activities. Organics 2025, 6, 16. [Google Scholar] [CrossRef]
- Lungu, I.-A.; Moldovan, O.-L.; Biriș, V.; Rusu, A. Fluoroquinolones Hybrid Molecules as Promising Antibacterial Agents in the Fight against Antibacterial Resistance. Pharmaceutics 2022, 14, 1749. [Google Scholar] [CrossRef]
- Wu, Y.; He, M.; Kong, H.; Li, Z.H.; Li, R.; Qu, Y.; Zhang, E. Recent Progress of Antibacterial Carbon Dots Prepared from Marketed Small Molecule Antibacterial Drugs. ChemMedChem 2025, 20, e202500248. [Google Scholar] [CrossRef] [PubMed]
- Spencer, A.C.; Panda, S.S. DNA Gyrase as a Target for Quinolones. Biomedicines 2023, 11, 371. [Google Scholar] [CrossRef] [PubMed] [PubMed Central]
- Yi, L.; Lü, X. New Strategy on Antimicrobial-resistance: Inhibitors of DNA Replication Enzymes. Curr. Med. Chem. 2019, 26, 1761–1787. [Google Scholar] [CrossRef] [PubMed]
- Dighe, S.N.; Collet, T.A. Recent advances in DNA gyrase-targeted antimicrobial agents. Eur. J. Med. Chem. 2020, 199, 112326. [Google Scholar] [CrossRef]
- Litvinov, V.P.; Roman, S.V.; Dyachenko, V.D. Pyridopyridines. Russ. Chem. Rev. 2001, 70, 299–320. [Google Scholar] [CrossRef]
- El-Dean, A.M.K.; Geies, A.A.; Hassanien, R.; Abdel-Wadood, F.K.; El-Naeem, E.E.A. Novel Synthesis, Reactions, and Biological Study of New Morpholino-Thieno[2,3-c][2,7]Naphthyridines as Anti-Cancer and Anti-Microbial Agents. Russ. J. Bioorg. Chem. 2022, 48, 821–834. [Google Scholar] [CrossRef]
- Wójcicka, A.; Becan, L. Synthesis and in vitro antiproliferative screening of new 2,7-naphthyridine-3-carboxylic acid hydrazide derivatives. Acta Pol. Pharm. 2015, 72, 297–305. [Google Scholar]
- Wójcicka, A.; Wagner, E.; Dryś, A.; Nawrocka, W.P. Synthesis and in vitro antitumor screening of novel 2,7-naphthyridine-3- carboxylic acid derivatives. J. Heterocycl. Chem. 2013, 50, 746–753. [Google Scholar] [CrossRef]
- Wagner, E.; Wójcicka, A.; Bryndal, I.; Lis, T. Synthesis, structure, and pharmacological screening of 2,7-naphthyridine derivatives. Pol. J. Chem. 2009, 83, 207–215. [Google Scholar]
- Mansfield, L.; Ramponi, V.; Gupta, K.; Stevenson, T.; Mathew, A.B.; Barinda, A.J.; Herbstein, F.; Morsli, S. Emerging insights in senescence: Pathways from preclinical models to therapeutic innovations. NPJ Aging 2024, 10, 53. [Google Scholar] [CrossRef] [PubMed] [PubMed Central]
- Edzeamey, F.J.; Ramchunder, Z.; McCarthy, R.R.; Virmouni, S.A. Galleria mellonella as a drug discovery model to study oxidative stress. Sci. Rep. 2025, 15, 15218. [Google Scholar] [CrossRef] [PubMed] [PubMed Central]
- Araújo-Neto, J.B.; Silva, M.M.C.D.; Oliveira-Tintino, C.D.M.; Begnini, I.M.; Rebelo, R.A.; Silva, L.E.D.; Mireski, S.L.; Nasato, M.C.; Krautler, M.I.L.; Ribeiro-Filho, J.; et al. Enhancement of Antibiotic Activity by 1,8-Naphthyridine Derivatives against Multi-Resistant Bacterial Strains. Molecules 2021, 26, 7400. [Google Scholar] [CrossRef] [PubMed] [PubMed Central]
- Łaniewski, P.; Owen, K.A.; Khnanisho, M.; Brotman, R.M.; Herbst-Kralovetz, M.M. Clinical and Personal Lubricants Impact the Growth of Vaginal Lactobacillus Species and Colonization of Vaginal Epithelial Cells: An in Vitro Study. Sex Transm. Dis. 2021, 48, 63–70. [Google Scholar] [CrossRef] [PubMed] [PubMed Central]
- CLSI M07; Methods for Dilution Antimicrobial Susceptibility Tests for Bacteria That Grow Aerobically. Clinical and Laboratory Standards Institute (CLSI): Wayne, PA, USA, 2018. Available online: https://clsi.org/shop/standards/m07/ (accessed on 1 September 2025).
- Hooper, D.C.; Jacoby, G.A. Topoisomerase Inhibitors: Fluoroquinolone Mechanisms of Action and Resistance. Cold Spring Harb. Perspect. Med. 2016, 6, a025320. [Google Scholar] [CrossRef] [PubMed] [PubMed Central]
- Cockroft, S.L.; Perkins, J.; Zonta, C.; Adams, H.; Spey, S.E.; Low, C.M.; Vinter, J.G.; Lawson, K.R.; Urch, C.J.; Hunter, C.A. Substituent effects on aromatic stacking interactions. Org. Biomol. Chem. 2007, 5, 1062–1080. [Google Scholar] [CrossRef] [PubMed]
- Wheeler, S.E. Local Nature of Substituent Effects in Stacking Interactions. J. Am. Chem. Soc. 2011, 133, 10262–10274. [Google Scholar] [CrossRef] [PubMed]
- Case, D.A.; Aktulga, H.M.; Belfon, K.; Ben-Shalom, I.Y.; Berryman, J.T.; Brozell, S.R.; Carvahol, F.S.; Cerutti, D.S.; Cheatham, T.E., III; Cisneros, G.A.; et al. Amber 2022; University of California: San Francisco, CA, USA, 2022; Available online: https://ambermd.org/doc12/Amber22.pdf (accessed on 22 October 2025).
- Kolarič, A.; Germe, T.; Hrast, M.; Stevenson, C.E.M.; Lawson, D.M.; Burton, N.P.; Vörös, J.; Maxwell, A.; Minovski, N.; Anderluh, M. Potent DNA gyrase inhibitors bind asymmetrically to their target using symmetrical bifurcated halogen bonds. Nat. Commun. 2021, 12, 150. [Google Scholar] [CrossRef]
- Søndergaard, C.R.; Olsson, M.H.M.; Rostkowski, M.; Jensen, J.H. Improved Treatment of Ligands and Coupling Effects in Empirical Calculation and Rationalization of pKa Values. J. Chem. Theory Comput. 2011, 7, 2284–2295. [Google Scholar] [CrossRef]
- Jurrus, E.; Engel, D.; Star, K.; Monson, K.; Brandi, J.; Felberg, L.E.; Brookes, D.H.; Wilson, L.; Chen, J.; Liles, K.; et al. Improvements to the APBS biomolecular solvation software suite. Protein Sci. 2018, 27, 112–128. [Google Scholar] [CrossRef]
- Olsson, M.H.M.; Søndergaard, C.R.; Rostkowski, M.; Jensen, J.H. PROPKA3: Consistent Treatment of Internal and Surface Residues in Empirical pKa Predictions. J. Chem. Theory Comput. 2011, 7, 525–537. [Google Scholar] [CrossRef]
- Ferrero, L.; Cameron, B.; Manse, B.; Lagneaux, D.; Crouzet, J.; Famechon, A.; Blanche, F. Clonage et structure primaire de l’ADN topoisomérase IV de Staphylococcus aureus: Une cible primaire des fluoro-quinolones. Mol. Microbiol. 1994, 13, 641–653. [Google Scholar] [CrossRef]
- Cornell, W.D.; Cieplak, P.; Bayly, C.I.; Kollman, P.A. Application of RESP charges to calculate conformational energies, hydrogen-bond energies, and free-energies of solvation. J. Am. Chem. Soc. 1993, 115, 9620–9631. [Google Scholar] [CrossRef]
- Cieplak, P.; Cornell, W.D.; Bayly, C.; Kollman, P.A. Application of the multimolecule and multiconformational RESP methodology to biopolymers: Charge derivation for DNA, RNA, and proteins. J. Comput. Chem. 1995, 16, 1357–1377. [Google Scholar] [CrossRef]
- Wang, J.; Wolf, R.M.; Caldwell, J.W.; Kollman, P.A.; Case, D.A. Development and Testing of a General Amber Force Field. J. Comput. Chem. 2004, 25, 1157–1174. [Google Scholar] [CrossRef] [PubMed]
- Tian, C.; Kasavajhala, K.; Belfon, K.A.A.; Raguette, L.; Huang, H.; Migues, A.N.; Bickel, J.; Wang, Y.; Pincay, J.; Wu, Q.; et al. ff19SB: Amino-Acid-Specific Protein Backbone Parameters Trained against Quantum Mechanics Energy Surfaces in Solution. J. Chem. Theory Comput. 2020, 16, 528–552. [Google Scholar] [CrossRef]
- Zgarbová, M.; Šponer, J.; Otyepka, M.; Cheatham, T.E.; Galindo-Murillo, R.; Jurečka, P. Refinement of the Sugar-Phosphate Backbone Torsion Beta for AMBER Force Fields Improves the Description of Z- and B-DNA. J. Chem. Theory Comput. 2015, 11, 5723–5736. [Google Scholar] [CrossRef]
- Izadi, S.; Anandakrishnan, R.; Onufriev, A.V. Building Water Models: A Different Approach. J. Phys. Chem. Lett. 2014, 5, 3863–3871. [Google Scholar] [CrossRef]
- Ryckaert, J.-P.; Ciccotti, G.; Berendsen, H.J.C. Numerical integration of the cartesian equations of motion of a system with constraints: Molecular dynamics of n-alkanes. J. Comput. Phys. 1977, 23, 327–341. [Google Scholar] [CrossRef]
- Roe, D.R.; Cheatham, T.E. PTRAJ and CPPTRAJ: Software for Processing and Analysis of Molecular Dynamics Trajectory Data. J. Chem. Theory Comput. 2013, 9, 3084–3095. [Google Scholar] [CrossRef] [PubMed]
- Genheden, S.; Ryde, U. The MM/PBSA and MM/GBSA Methods to Estimate Ligand-Binding Affinities. Expert Opin. Drug Discov. 2015, 10, 449–461. [Google Scholar] [CrossRef]
- Miller, B.R.; McGee, T.D.; Swails, J.M.; Homeyer, N.; Gohlke, H.; Roitberg, A.E. MMPBSA.py: An Efficient Program for End-State Free Energy Calculations. J. Chem. Theory Comput. 2012, 8, 3314–3321. [Google Scholar] [CrossRef] [PubMed]
- Dudek, B.; Bąchor, U.; Drozd-Szczygieł, E.; Brożyna, M.; Dąbrowski, P.; Junka, A.; Mączyński, M. Antimicrobial and Cytotoxic Activities of Water-Soluble Isoxazole-Linked 1,3,4-Oxadiazole with Delocalized Charge: In Vitro and In Vivo Results. Int. J. Mol. Sci. 2023, 24, 16033. [Google Scholar] [CrossRef] [PubMed] [PubMed Central]






| Compounds | MBC [mg/L] | ||||||
|---|---|---|---|---|---|---|---|
| 5 | 6 | 9a | 10a | 10f | 10j | PHMB | |
| P. aeruginosa | - | - | - | - | - | - | 4 |
| S. aureus | 500 | 250 | 250 | 500 | 30 | 7.8 | 2 |
| C. albicans | - | - | - | - | - | - | 8 |
| ΔGC–R–L | 10j | 10f | ||
|---|---|---|---|---|
| Component | α | β | α | β |
| Van der Waals | −63.0 | −56.6 | −58.3 | −56.6 |
| Electrostatic Energy | 0.1 | −20.2 | 5.0 | −9.1 |
| Polar Solvation Energy | 25.3 | 38.4 | 22.3 | 36.1 |
| Non–Polar Solvation Energy | −6.1 | −6.1 | −6.0 | −6.6 |
| Σ | −43.7 | −44.4 | −37.0 | −36.1 |
| Binding constant | 1.62 × 10−3 | 1.37 × 10−3 | 5.31 × 10−3 | 6.25 × 10−3 |
Disclaimer/Publisher’s Note: The statements, opinions and data contained in all publications are solely those of the individual author(s) and contributor(s) and not of MDPI and/or the editor(s). MDPI and/or the editor(s) disclaim responsibility for any injury to people or property resulting from any ideas, methods, instructions or products referred to in the content. |
© 2025 by the authors. Licensee MDPI, Basel, Switzerland. This article is an open access article distributed under the terms and conditions of the Creative Commons Attribution (CC BY) license (https://creativecommons.org/licenses/by/4.0/).
Share and Cite
Wójcicka, A.; Spiegel, M.; Dudek, B.; Brożyna, M.; Junka, A.; Mączyński, M. Evaluation of 2,7-Naphthyridines as Targeted Anti-Staphylococcal Candidates with Microbiota-Sparing Properties. Int. J. Mol. Sci. 2025, 26, 10442. https://doi.org/10.3390/ijms262110442
Wójcicka A, Spiegel M, Dudek B, Brożyna M, Junka A, Mączyński M. Evaluation of 2,7-Naphthyridines as Targeted Anti-Staphylococcal Candidates with Microbiota-Sparing Properties. International Journal of Molecular Sciences. 2025; 26(21):10442. https://doi.org/10.3390/ijms262110442
Chicago/Turabian StyleWójcicka, Anna, Maciej Spiegel, Bartłomiej Dudek, Malwina Brożyna, Adam Junka, and Marcin Mączyński. 2025. "Evaluation of 2,7-Naphthyridines as Targeted Anti-Staphylococcal Candidates with Microbiota-Sparing Properties" International Journal of Molecular Sciences 26, no. 21: 10442. https://doi.org/10.3390/ijms262110442
APA StyleWójcicka, A., Spiegel, M., Dudek, B., Brożyna, M., Junka, A., & Mączyński, M. (2025). Evaluation of 2,7-Naphthyridines as Targeted Anti-Staphylococcal Candidates with Microbiota-Sparing Properties. International Journal of Molecular Sciences, 26(21), 10442. https://doi.org/10.3390/ijms262110442

