Improved Detection of Minimal Residual Disease in AML: Validation of IDH1/2 ddPCR Assays in the Perspective of Treatment with Target Inhibitors
Abstract
1. Introduction
2. Results and Discussion
2.1. The IDH1/IDH2 Mutation Distribution
2.2. Analytical Performance of ddPCR Assays
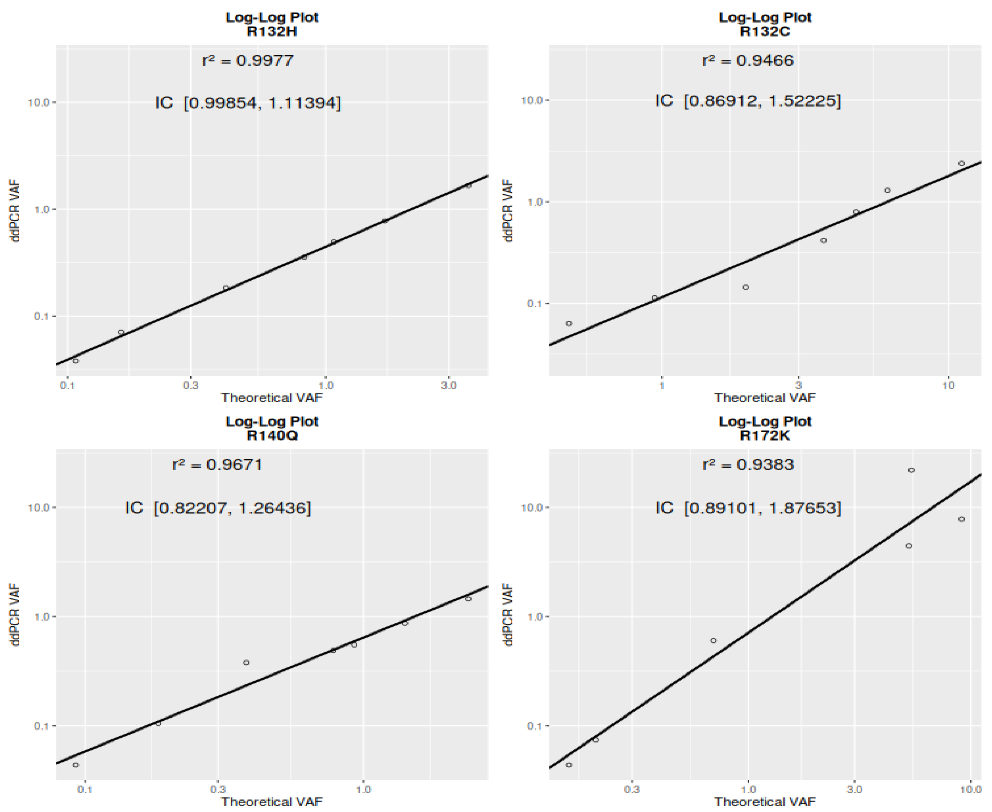
2.3. Linearity Assessment via Log-Log Regression
2.4. IDH and NPM1 Mutation Dynamics
2.5. Discussion
3. Materials and Methods
3.1. AML Patients’ Samples
3.2. IDH Mutation Analysis
3.3. Reaction Setup of ddPCR Assays
3.4. Validation Assay
3.5. Assessing the Relationship Between IDH and NPM1 Mutation Dynamics
4. Conclusions
Author Contributions
Funding
Institutional Review Board Statement
Informed Consent Statement
Data Availability Statement
Conflicts of Interest
Abbreviations
| (D)-2-HG | (D)-2-Hydroxyglutarate |
| α-KG | α-ketoglutarate |
| AML | acute myeloid leukemia |
| DNA | deoxyribonucleic acid |
| ddPCR | droplet digital polymerase chain reaction |
| IDH | isocitrate dehydrogenase |
| LOB | limit of blank |
| LOD | limit of detection |
| MDS | myelodysplastic syndromes |
| NGS | next-generation sequencing |
| qPCR | quantitative polymerase chain reaction |
| VAF | variant allele frequency |
| FA | fractional abundance |
| MRD | measurable residual disease |
| ELN | The European LeukemiaNet |
| RQ Ratio | Relative Quantification Ratio |
References
- Döhner, H.; Wei, A.H.; Appelbaum, F.R.; Craddock, C.; DiNardo, C.D.; Dombret, H.; Ebert, B.L.; Fenaux, P.; Godley, L.A.; Hasserjian, R.P.; et al. Diagnosis and Management of AML in Adults: 2022 Recommendations from an International Expert Panel on Behalf of the ELN. Blood 2022, 140, 1345–1377. [Google Scholar] [CrossRef] [PubMed]
- Heuser, M.; Freeman, S.D.; Ossenkoppele, G.J.; Buccisano, F.; Hourigan, C.S.; Ngai, L.L.; Tettero, J.M.; Bachas, C.; Baer, C.; Béné, M.-C.; et al. 2021 Update on MRD in Acute Myeloid Leukemia: A Consensus Document from the European LeukemiaNet MRD Working Party. Blood 2021, 138, 2753–2767. [Google Scholar] [CrossRef]
- Medeiros, B.C.; Fathi, A.T.; DiNardo, C.D.; Pollyea, D.A.; Chan, S.M.; Swords, R. Isocitrate Dehydrogenase Mutations in Myeloid Malignancies. Leukemia 2017, 31, 272–281. [Google Scholar] [CrossRef]
- DiNardo, C.D.; Ravandi, F.; Agresta, S.; Konopleva, M.; Takahashi, K.; Kadia, T.; Routbort, M.; Patel, K.P.; Brandt, M.; Pierce, S.; et al. Characteristics, Clinical Outcome, and Prognostic Significance of IDH Mutations in AML. Am. J. Hematol. 2015, 90, 732–736. [Google Scholar] [CrossRef]
- Xu, Q.; Li, Y.; Lv, N.; Jing, Y.; Xu, Y.; Li, Y.; Li, W.; Yao, Z.; Chen, X.; Huang, S.; et al. Correlation Between Isocitrate Dehydrogenase Gene Aberrations and Prognosis of Patients with Acute Myeloid Leukemia: A Systematic Review and Meta-Analysis. Clin. Cancer Res. 2017, 23, 4511–4522. [Google Scholar] [CrossRef]
- Zarnegar-Lumley, S.; Alonzo, T.A.; Gerbing, R.B.; Othus, M.; Sun, Z.; Ries, R.E.; Wang, J.; Leonti, A.; Kutny, M.A.; Ostronoff, F.; et al. Characteristics and Prognostic Impact of IDH Mutations in AML: A COG, SWOG, and ECOG Analysis. Blood Adv. 2023, 7, 5941–5953. [Google Scholar] [CrossRef]
- Green, C.L.; Evans, C.M.; Zhao, L.; Hills, R.K.; Burnett, A.K.; Linch, D.C.; Gale, R.E. The Prognostic Significance of IDH2 Mutations in AML Depends on the Location of the Mutation. Blood 2011, 118, 409–412. [Google Scholar] [CrossRef]
- Papaemmanuil, E.; Gerstung, M.; Bullinger, L.; Gaidzik, V.I.; Paschka, P.; Roberts, N.D.; Potter, N.E.; Heuser, M.; Thol, F.; Bolli, N.; et al. Genomic Classification and Prognosis in Acute Myeloid Leukemia. N. Engl. J. Med. 2016, 374, 2209–2221. [Google Scholar] [CrossRef]
- Marvin-Peek, J.; Atluri, H.; Short, N.J.; Maiti, A.; Takahashi, K.; Loghavi, S.; Lachowiez, C.A.; Alvarado Valero, Y.; Montalban-Bravo, G.; Sasaki, K.; et al. Clinical Outcomes Using Frontline “Triplet” Regimens for Newly Diagnosed IDH-Mutated Acute Myeloid Leukemia (AML): A Pooled Analysis of Two Phase Ib/2 Clinical Trials. Blood 2024, 144, 2883. [Google Scholar] [CrossRef]
- Montesinos, P.; Recher, C.; Vives, S.; Zarzycka, E.; Wang, J.; Bertani, G.; Heuser, M.; Calado, R.T.; Schuh, A.C.; Yeh, S.-P.; et al. Ivosidenib and Azacitidine in IDH1-Mutated Acute Myeloid Leukemia. N. Engl. J. Med. 2022, 386, 1519–1531. [Google Scholar] [CrossRef] [PubMed]
- Döhner, H.; DiNardo, C.D.; Appelbaum, F.R.; Craddock, C.; Dombret, H.; Ebert, B.L.; Fenaux, P.; Godley, L.A.; Hasserjian, R.P.; Larson, R.A.; et al. Genetic Risk Classification for Adults with AML Receiving Less-Intensive Therapies: The 2024 ELN Recommendations. Blood 2024, 144, 2169–2173. [Google Scholar] [CrossRef]
- Aiman, W.; Ali, M.A.; Basit, M.A.; Omar, Z.; Suleman, M.; Hassan, M.; Jamil, T.; Anwar, M.S.; Shafique, Z.; Dhanesar, G.; et al. Efficacy and Tolerability of Isocitrate Dehydrogenase Inhibitors in Patients with Acute Myeloid Leukemia: A Systematic Review of Clinical Trials. Leuk. Res. 2023, 129, 107077. [Google Scholar] [CrossRef] [PubMed]
- Scott, E.C.; Kural, K.; Smith, S.; Colgan, M.; Ambinder, A.J.; Ghiaur, G.; Holmes, N.; Kazandjian, D.; Lai, C.; McGuire, C.; et al. Response Prediction to Isocitrate Dehydrogenase (IDH) Inhibitors in Patients with IDH1- or IDH2-Mutated Acute Myeloid Leukemia Using Clinical and Genomic Data. Blood 2021, 138, 1285. [Google Scholar] [CrossRef]
- Favre, L.; Sako, N.; Tarfi, S.; Quang, V.T.; Joy, C.; Dupuy, A.; Guillerm, E.; Gaulard, P.; Wagner-Ballon, O.; Pujals, A.; et al. Evaluation of Two New Highly Multiplexed PCR Assays as an Alternative to Next-generation Sequencing for IDH1/2 Mutation Detection. Mol. Oncol. 2022, 16, 3916–3926. [Google Scholar] [CrossRef]
- Petrova, L.; Vrbacky, F.; Lanska, M.; Zavrelova, A.; Zak, P.; Hrochova, K. IDH1 and IDH2 Mutations in Patients with Acute Myeloid Leukemia: Suitable Targets for Minimal Residual Disease Monitoring? Clin. Biochem. 2018, 61, 34–39. [Google Scholar] [CrossRef] [PubMed]
- Marcucci, G.; Maharry, K.; Wu, Y.-Z.; Radmacher, M.D.; Mrózek, K.; Margeson, D.; Holland, K.B.; Whitman, S.P.; Becker, H.; Schwind, S.; et al. IDH1 and IDH2 Gene Mutations Identify Novel Molecular Subsets Within De Novo Cytogenetically Normal Acute Myeloid Leukemia: A Cancer and Leukemia Group B Study. J. Clin. Oncol. 2010, 28, 2348–2355. [Google Scholar] [CrossRef]
- Hasserjian, R.P.; Steensma, D.P.; Graubert, T.A.; Ebert, B.L. Clonal Hematopoiesis and Measurable Residual Disease Assessment in Acute Myeloid Leukemia. Blood 2020, 135, 1729–1738. [Google Scholar] [CrossRef]
- Uddin, M.M.; Zhou, Y.; Bick, A.G.; Burugula, B.B.; Jaiswal, S.; Desai, P.; Honigberg, M.C.; Love, S.-A.; Barac, A.; Hayden, K.M.; et al. Longitudinal Profiling of Clonal Hematopoiesis Provides Insight into Clonal Dynamics. Immun. Ageing 2022, 19, 23. [Google Scholar] [CrossRef] [PubMed]
- Choe, S.; Wang, H.; DiNardo, C.D.; Stein, E.M.; De Botton, S.; Roboz, G.J.; Altman, J.K.; Mims, A.S.; Watts, J.M.; Pollyea, D.A.; et al. Molecular Mechanisms Mediating Relapse Following Ivosidenib Monotherapy in IDH1-Mutant Relapsed or Refractory AML. Blood Adv. 2020, 4, 1894–1905. [Google Scholar] [CrossRef]
- DiNardo, C.D.; Stein, E.M.; de Botton, S.; Roboz, G.J.; Altman, J.K.; Mims, A.S.; Swords, R.; Collins, R.H.; Mannis, G.N.; Pollyea, D.A.; et al. Durable Remissions with Ivosidenib in IDH1-Mutated Relapsed or Refractory AML. N. Engl. J. Med. 2018, 378, 2386–2398. [Google Scholar] [CrossRef]
- Stein, E.M.; DiNardo, C.D.; Fathi, A.T.; Mims, A.S.; Pratz, K.W.; Savona, M.R.; Stein, A.S.; Stone, R.M.; Winer, E.S.; Seet, C.S.; et al. Ivosidenib or Enasidenib Combined with Intensive Chemotherapy in Patients with Newly Diagnosed AML: A Phase 1 Study. Blood 2021, 137, 1792–1803. [Google Scholar] [CrossRef] [PubMed]
- DiNardo, C.D.; Marchione, D.; Heuser, M.; Hui, J.; Gianolio, D.; Daigle, S.; Choe, S.; Patel, P.; De Botton, S.; Dohner, H. Molecular Measurable Residual Disease in Patients with Newly Diagnosed m IDH1 Acute Myeloid Leukemia Treated with Ivosidenib + Azacitidine. Blood 2023, 142, 4305. [Google Scholar] [CrossRef]
- Evaluation of Detection Capability for Clinical Laboratory Measurement Procedures: Approved Guideline, 2nd ed.; Clinical and Laboratory Standards Institute: Wayne, PA, USA, 2012; ISBN 978-1-56238-795-2.
- Messina, M.; Piciocchi, A.; Ottone, T.; Paolini, S.; Papayannidis, C.; Lessi, F.; Fracchiolla, N.S.; Forghieri, F.; Candoni, A.; Mengarelli, A.; et al. Prevalence and Prognostic Role of IDH Mutations in Acute Myeloid Leukemia: Results of the GIMEMA AML1516 Protocol. Cancers 2022, 14, 3012. [Google Scholar] [CrossRef] [PubMed]
- Ravandi, F.; Cloos, J.; Buccisano, F.; Dillon, R.; Döhner, K.; Freeman, S.D.; Hourigan, C.S.; Ossenkoppele, G.J.; Roboz, G.J.; Subklewe, M.; et al. Measurable Residual Disease Monitoring in Patients with Acute Myeloid Leukemia Treated with Lower Intensity Therapy: Roadmap from an ELN-DAVID Expert Panel. Am. J. Hematol. 2023, 98, 1847–1855. [Google Scholar] [CrossRef]



| Gene | Variant | Number of Patients | Percentage of Total IDH-Mutated Patients |
|---|---|---|---|
| IDH1 | R132C | 4 | 8.51% |
| IDH1 | R132H | 6 | 12.77% |
| IDH2 | R140Q | 28 | 59.57% |
| IDH2 | R172K | 7 | 14.89% |
| Total IDH-mutated | 45 (10 IDH1 + 35 IDH2) | 100% | |
| Total DNA samples analyzed: | 205 | ||
| At diagnosis | 45 | ||
| During Follow-up | 160 | ||
| Mutation | Fractional Abundance (FA) | Blank Replicates (n) | Average Mutant Copies/µL | Average Wild-Type Molecules/µL | Positive Droplets (FAM+/HEX-) | Average Droplets |
|---|---|---|---|---|---|---|
| IDH1 R132H | 0.05% | 29 | 0.5 | 917,600 | 0 | 20,157.00 |
| IDH2 R140Q | 0.02% | 30 | 0.2 | 774,480 | 0 | 21,638.00 |
| IDH1 R132C | 0.04% | 40 | 0.2 | 485,000 | 0 | 20,904.00 |
| IDH2 R172K | 0.04% | 30 | 0.3 | 805,870 | 2 | 21,660.00 |
| Mutation | Dilution Point (LL Samples) | Replicates Exceeding LoB | Theoretical Mutant Copies/µL (LoD) | Fractional Abundance (FA) at LoD | Merged Mutation Droplet Count | Merged WT Droplet Count |
|---|---|---|---|---|---|---|
| IDH1 R132H | 7 | 8/8 | 0.6 | 0.07% | 93 | 174,268 |
| IDH2 R140Q | 7 | 8/8 | 1 | 0.1% | 158 | 181,644 |
| IDH1 R132C | 6 | 8/8 | 0.4 | 0.2% | 53 | 171,795 |
| IDH2 R172K | 6 | 6/6 | 0.6 | 0.1% | 53 | 110,277 |
| NPM1 | IDH | Number of Patients | Total Samples |
|---|---|---|---|
| Pos | IDH2 R172K | 1 | 12 |
| Pos | IDH2 R140Q | 3 | 36 |
| Pos | IDH1 R132H | 2 | 20 |
Disclaimer/Publisher’s Note: The statements, opinions and data contained in all publications are solely those of the individual author(s) and contributor(s) and not of MDPI and/or the editor(s). MDPI and/or the editor(s) disclaim responsibility for any injury to people or property resulting from any ideas, methods, instructions or products referred to in the content. |
© 2025 by the authors. Licensee MDPI, Basel, Switzerland. This article is an open access article distributed under the terms and conditions of the Creative Commons Attribution (CC BY) license (https://creativecommons.org/licenses/by/4.0/).
Share and Cite
Nikitsenka, K.; Danieli, G.; Tombolan, L.; Mancini, B.; Facchinelli, D.; Scotton, G.; Tosetto, A.; Perbellini, O.; Zuccarello, D.; Novella, E. Improved Detection of Minimal Residual Disease in AML: Validation of IDH1/2 ddPCR Assays in the Perspective of Treatment with Target Inhibitors. Int. J. Mol. Sci. 2025, 26, 10397. https://doi.org/10.3390/ijms262110397
Nikitsenka K, Danieli G, Tombolan L, Mancini B, Facchinelli D, Scotton G, Tosetto A, Perbellini O, Zuccarello D, Novella E. Improved Detection of Minimal Residual Disease in AML: Validation of IDH1/2 ddPCR Assays in the Perspective of Treatment with Target Inhibitors. International Journal of Molecular Sciences. 2025; 26(21):10397. https://doi.org/10.3390/ijms262110397
Chicago/Turabian StyleNikitsenka, Katsiaryna, Giacomo Danieli, Lucia Tombolan, Barbara Mancini, Davide Facchinelli, Giorgia Scotton, Alberto Tosetto, Omar Perbellini, Daniela Zuccarello, and Elisabetta Novella. 2025. "Improved Detection of Minimal Residual Disease in AML: Validation of IDH1/2 ddPCR Assays in the Perspective of Treatment with Target Inhibitors" International Journal of Molecular Sciences 26, no. 21: 10397. https://doi.org/10.3390/ijms262110397
APA StyleNikitsenka, K., Danieli, G., Tombolan, L., Mancini, B., Facchinelli, D., Scotton, G., Tosetto, A., Perbellini, O., Zuccarello, D., & Novella, E. (2025). Improved Detection of Minimal Residual Disease in AML: Validation of IDH1/2 ddPCR Assays in the Perspective of Treatment with Target Inhibitors. International Journal of Molecular Sciences, 26(21), 10397. https://doi.org/10.3390/ijms262110397

