Mitochondrial Integrity and Kynurenine Pathway Enzyme Dynamics in the Hippocampus of Rats with Scopolamine-Induced Cognitive Deficits
Abstract
1. Introduction
2. Results
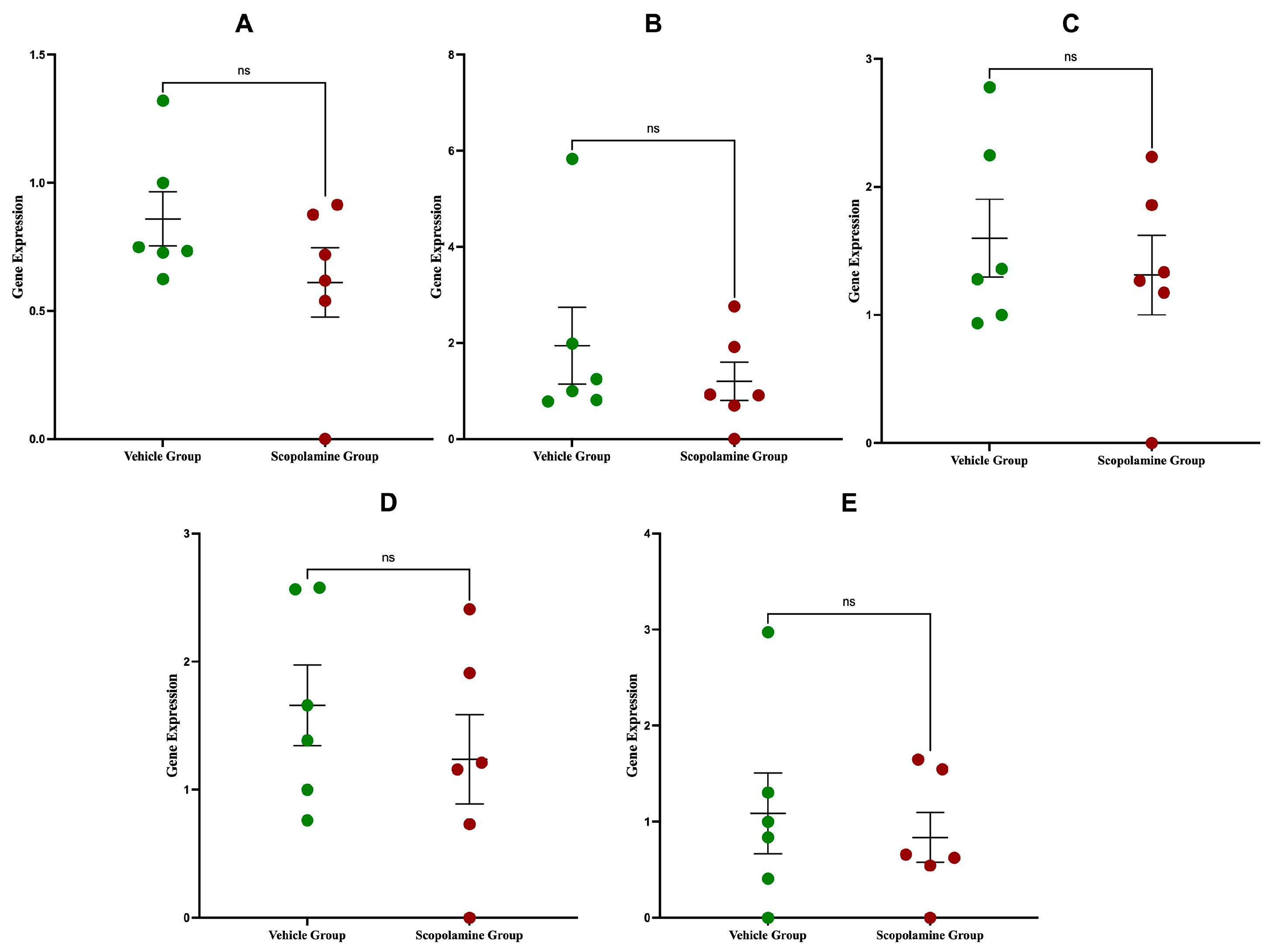
2.1. Expression of ahr and gpr35 Genes in Hippocampus
2.2. Expression of katI, katII, and kmo Genes in Hippocampus
2.3. Evaluation of Variability Within Groups
3. Discussion
4. Materials and Methods
4.1. Animals
4.2. Experimental Design
4.3. DNA Extraction and Quality Assessment
4.4. PCR Amplification of mtDNA D-Loop Region
4.5. Library Preparation and Sequencing
4.6. RNA Isolation and cDNA Synthesis
4.7. Quantitative Real-Time PCR (qRT-PCR)
4.8. Statistical Analysis
5. Conclusions
Supplementary Materials
Author Contributions
Funding
Institutional Review Board Statement
Informed Consent Statement
Data Availability Statement
Conflicts of Interest
Abbreviations
| Ahr | Aryl hydrocarbon receptor |
| ATP | Adenosine triphosphate |
| CB | Central block |
| F | Forward primer |
| GPR35 | G protein-coupled receptor 35 |
| KAT I | Kynurenine aminotransferase I |
| KAT II | Kynurenine aminotransferase II |
| KMO | Kynurenine 3-monooxygenase |
| KP | The Kynurenine Pathway |
| KYNA | Kynurenic acid |
| mtDNA | Mitochondrial DNA |
| PCR | Polymerase chain reaction |
| qRT-PCR | Quantitative real-time PCR |
| R | Reverse primer |
| ROS | Reactive oxygen species |
| RQ | Relative quantification |
| SNPs | Single-nucleotide polymorphisms |
| SOD | Superoxide dismutase |
| TFAM | Mitochondrial transcription factor A |
| TFH | Tfam binding site |
References
- Gadhave, D.G.; Sugandhi, V.V.; Jha, S.K.; Nangare, S.N.; Gupta, G.; Singh, S.K.; Dua, K.; Cho, H.; Hansbro, P.M.; Paudel, K.R. Neurodegenerative disorders: Mechanisms of degeneration and therapeutic approaches with their clinical relevance. Ageing Res. Rev. 2024, 99, 102357. [Google Scholar] [CrossRef] [PubMed]
- Wang, W.; Zhao, F.; Ma, X.; Perry, G.; Zhu, X. Mitochondria dysfunction in the pathogenesis of Alzheimer’s disease: Recent advances. Mol. Neurodegener. 2020, 15, 30. [Google Scholar] [CrossRef] [PubMed]
- Jagielska, A.; Sałaciak, K.; Pytka, K. Beyond the blur: Scopolamine’s utility and limits in modeling cognitive disorders across sexes—Narrative review. Ageing Res. Rev. 2025, 104, 102635. [Google Scholar] [CrossRef] [PubMed]
- Lee, J.; Park, J.H.; Ahn, J.H.; Park, J.; Kim, I.H.; Cho, J.H.; Shin, B.; Lee, T.; Kim, H.; Song, M.; et al. Effects of chronic scopolamine treatment on cognitive impairment and neurofilament expression in the mouse hippocampus. Mol. Med. Rep. 2024, 17, 1625–1632. [Google Scholar] [CrossRef]
- Osellame, L.D.; Blacker, T.S.; Duchen, M.R. Cellular and molecular mechanisms of mitochondrial function. Best Pract. Res. Clin. Endocrinol. Metab. 2012, 26, 711–723. [Google Scholar] [CrossRef]
- Basu, U.; Bostwick, A.M.; Das, K.; Dittenhafer-Reed, K.E.; Patel, S.S. Structure, mechanism, and regulation of mitochondrial DNA transcription initiation. J. Biol. Chem. 2021, 295, 18406–18425. [Google Scholar] [CrossRef]
- Kang, I.; Chu, C.T.; Kaufman, B.A. The mitochondrial transcription factor TFAM in neurodegeneration: Emerging evidence and mechanisms. FEBS Lett. 2018, 592, 793–811. [Google Scholar] [CrossRef]
- Zeviani, M.; Servidei, S.; Gellera, C.; Bertini, E.; DiMauro, S.; DiDonato, S. An autosomal dominant disorder with multiple deletions of mitochondrial DNA starting at the D-loop region. Nature 1989, 339, 309–311. [Google Scholar] [CrossRef]
- Wen, H.; Deng, H.; Li, B.; Chen, J.; Zhu, J.; Zhang, X.; Yoshida, S.; Zhou, Y. Mitochondrial diseases: From molecular mechanisms to therapeutic advances. Signal Transduct. Target. Ther. 2024, 10, 9. [Google Scholar] [CrossRef]
- Shang, D.; Huang, M.; Wang, B.; Yan, X.; Wu, Z.; Zhang, X. mtDNA maintenance and alterations in the pathogenesis of neurodegenerative diseases. Curr. Neuropharmacol. 2023, 21, 578–590. [Google Scholar] [CrossRef] [PubMed]
- Yang, H.M. Mitochondrial dysfunction in neurodegenerative diseases. Cells 2025, 14, 276. [Google Scholar] [CrossRef]
- Schwarcz, R.; Stone, T.W. The kynurenine pathway and the brain: Challenges, controversies and promises. Neuropharmacology 2016, 112 Pt B, 237–247. [Google Scholar] [CrossRef]
- Tanaka, M.; Szabó, Á; Vécsei, L. Redefining roles: A paradigm shift in tryptophan–kynurenine metabolism for innovative clinical applications. Int. J. Mol. Sci. 2024, 25, 12767. [Google Scholar] [CrossRef]
- Muneer, A. Kynurenine pathway of tryptophan metabolism in neuropsychiatric disorders: Pathophysiologic and therapeutic considerations. Clin. Psychopharmacol. Neurosci. 2020, 18, 507–526. [Google Scholar] [CrossRef] [PubMed]
- Guillemin, G.J.; Cullen, K.M.; Lim, C.K.; Smythe, G.A.; Garner, B.; Kapoor, V.; Takikawa, O.; Brew, B.J. Characterization of the kynurenine pathway in human neurons. J. Neurosci. 2007, 27, 12884–12894. [Google Scholar] [CrossRef]
- Pathak, S.; Nadar, R.; Kim, S.; Liu, K.; Govindarajulu, M.; Cook, P.; Watts Alexander, C.S.; Dhanasekaran, M.; Moore, T. The influence of kynurenine metabolites on neurodegenerative pathologies. Int. J. Mol. Sci. 2024, 25, 853. [Google Scholar] [CrossRef]
- Cortés Malagón, E.M.; López Ornelas, A.; Olvera Gómez, I.; Bonilla Delgado, J. The kynurenine pathway, aryl hydrocarbon receptor, and Alzheimer’s disease. Brain Sci. 2024, 14, 950. [Google Scholar] [CrossRef]
- Kupjetz, M.; Wences Chirino, T.Y.; Joisten, N.; Zimmer, P. Kynurenine pathway dysregulation as a mechanistic link between cognitive impairment and brain damage: Implications for multiple sclerosis. Brain Res. 2025, 1853, 149415. [Google Scholar] [CrossRef]
- Wang, D.; Li, D.; Zhang, Y.; Chen, J.; Zhang, Y.; Liao, C.; Qin, S.; Tian, Y.; Zhang, Z.; Xu, F. Functional metabolomics reveal the role of AHR/GPR35 mediated kynurenic acid gradient sensing in chemotherapy-induced intestinal damage. Acta Pharm. Sin. B 2021, 11, 763–780. [Google Scholar] [CrossRef] [PubMed]
- Grishanova, A.Y.; Perepechaeva, M.L. Kynurenic acid/Ahr signaling at the junction of inflammation and cardiovascular diseases. Int. J. Mol. Sci. 2024, 25, 6933. [Google Scholar] [CrossRef] [PubMed]
- Wang, J.; Simonavicius, N.; Wu, X.; Swaminath, G.; Reagan, J.; Tian, H.; Ling, L. Kynurenic acid as a ligand for orphan G protein-coupled receptor GPR35. J. Biol. Chem. 2006, 281, 22021–22028. [Google Scholar] [CrossRef]
- Abhyankar, A.; Park, H.B.; Tonolo, G.; Luthman, H. Comparative sequence analysis of the non-protein-coding mitochondrial DNA of inbred rat strains. PLoS ONE 2009, 4, e8148. [Google Scholar] [CrossRef]
- Coppedè, F.; Stoccoro, A. Mitoepigenetics and neurodegenerative diseases. Front. Endocrinol. 2019, 10, 86. [Google Scholar] [CrossRef]
- Palma, F.R.; He, C.; Danes, J.M.; Paviani, V.; Coelho, D.R.; Gantner, B.N.; Bonini, M.G. Mitochondrial superoxide dismutase: What the established, the intriguing, and the novel reveal about a key cellular redox switch. Antioxid. Redox Signal. 2020, 32, 701–710. [Google Scholar] [CrossRef] [PubMed]
- Daniels, T.E.; Olsen, E.M.; Tyrka, A.R. Stress and psychiatric disorders: The role of mitochondria. Annu. Rev. Clin. Psychol. 2020, 16, 165–188. [Google Scholar] [CrossRef] [PubMed]
- Castro-Portuguez, R.; Sutphin, G.L. Kynurenine pathway, NAD+ synthesis, and mitochondrial function: Targeting tryptophan metabolism to promote longevity and healthspan. Exp. Gerontol. 2020, 132, 110841. [Google Scholar] [CrossRef] [PubMed]
- Yamamoto, S.; Nishiyama, S.; Kawamata, M.; Ohba, H.; Wakuda, T.; Takei, N.; Tsukada, H.; Domino, E.F. Muscarinic receptor occupancy and cognitive impairment: A PET study with 11C3-MPB and scopolamine in conscious monkeys. Neuropsychopharmacology 2011, 36, 1455–1463. [Google Scholar] [CrossRef]
- Grishanova, A.Y.; Perepechaeva, M.L. Aryl hydrocarbon receptor in oxidative stress as a double agent and its biological and therapeutic significance. Int. J. Mol. Sci. 2022, 23, 6719. [Google Scholar] [CrossRef]
- Duarte-Hospital, C.; Tête, A.; Brial, F.; Benoit, L.; Koual, M.; Tomkiewicz, C.; Kim, M.J.; Blanc, E.B.; Coumoul, X.; Bortoli, S. Mitochondrial dysfunction as a hallmark of environmental injury. Cells 2021, 11, 110. [Google Scholar] [CrossRef]
- Phing, A.H.; Makpol, S.; Nasaruddin, M.L.; Wan Zaidi, W.A.; Ahmad, N.S.; Embong, H. Altered tryptophan-kynurenine pathway in delirium: A review of the current literature. Int. J. Mol. Sci. 2023, 24, 5580. [Google Scholar] [CrossRef]
- Lundby, C.; Farrell, B.; Wilson, A. Anticholinergic deprescribing: A case report demonstrating improved cognition and function with minimal adverse withdrawal effects. Br. J. Clin. Pharmacol. 2024, 90, 1741–1744. [Google Scholar] [CrossRef] [PubMed]
- Minister Rolnictwa i Rozwoju Wsi. Rozporządzenie Ministra Rolnictwa i Rozwoju Wsi z dnia 29 kwietnia 2022 r. w Sprawie Minimalnych Wymagań Dotyczących Obiektów i Minimalnych Standardów Opieki nad Zwierzętami Przebywającymi w Takich Ośrodkach [Internet]. Dz. U. 2022, poz. 1021. Available online: https://isap.sejm.gov.pl/isap.nsf/DocDetails.xsp?id=WDU20220001021 (accessed on 30 September 2025).
- Jing, M.; Chen, Y.; Yao, K.; Wang, Y.; Huang, L. Comparative phylogeography of two commensal rat species (Rattus tanezumi and Rattus norvegicus) in China: Insights from mitochondrial DNA, microsatellite, and 2b-RAD data. Ecol. Evol. 2022, 12, e9409. [Google Scholar] [CrossRef] [PubMed]
- Pagès, M.; Chaval, Y.; Herbreteau, V.; Waengsothorn, S.; Cosson, J.F.; Hugot, J.P.; Morand, S.; Michaux, J. Revisiting the taxonomy of the Rattini tribe: A phylogeny-based delimitation of species boundaries. BMC Evol. Biol. 2010, 10, 184. [Google Scholar] [CrossRef] [PubMed]
- Okonechnikov, K.; Golosova, O.; Fursov, M.; the UGENE Team. Unipro UGENE: A unified bioinformatics toolkit. Bioinformatics 2012, 28, 1166–1167. [Google Scholar] [CrossRef]

| Locus | Description | Range | Number of Variants | mtDNA Variant |
|---|---|---|---|---|
| ETAS1 | Termination-associated sequence | 15,446–15,503 | 0 | |
| TAS-D | 15,497–15,511 | 1 | m.15505T>C | |
| TAS-C | 15,520–15,531 | 0 | ||
| TAS-B | 15,541–15,554 | 0 | ||
| TAS-A | 15,571–15,584 | 0 | ||
| ETAS2 | 15,511–15,572 | 0 | ||
| CB | Central Block | 15,673–15,979 | 2 | m.15751T>G |
| m.15842G>A | ||||
| CSB1 | Conserved sequence block 1 | 16,027–16,052 | 0 | |
| CSB2 | Conserved sequence block 2 | 16,083–16,099 | 0 | |
| CSB3 | Conserved sequence block 3 | 16,116–16,133 | 0 | |
| TFL | Tfam binding site | 16,212–16,226 | 0 | |
| TFH | Tfam binding site | 16,267–16,286 | 1 | m.16283G>C |
Disclaimer/Publisher’s Note: The statements, opinions and data contained in all publications are solely those of the individual author(s) and contributor(s) and not of MDPI and/or the editor(s). MDPI and/or the editor(s) disclaim responsibility for any injury to people or property resulting from any ideas, methods, instructions or products referred to in the content. |
© 2025 by the authors. Licensee MDPI, Basel, Switzerland. This article is an open access article distributed under the terms and conditions of the Creative Commons Attribution (CC BY) license (https://creativecommons.org/licenses/by/4.0/).
Share and Cite
Herbet, M.; Tkaczyk-Wlizło, A.; Wicha-Komsta, K.; Twarowski, B.; Ślaska, B.; Kocki, T.; Kowal, K.; Piątkowska-Chmiel, I. Mitochondrial Integrity and Kynurenine Pathway Enzyme Dynamics in the Hippocampus of Rats with Scopolamine-Induced Cognitive Deficits. Int. J. Mol. Sci. 2025, 26, 9883. https://doi.org/10.3390/ijms26209883
Herbet M, Tkaczyk-Wlizło A, Wicha-Komsta K, Twarowski B, Ślaska B, Kocki T, Kowal K, Piątkowska-Chmiel I. Mitochondrial Integrity and Kynurenine Pathway Enzyme Dynamics in the Hippocampus of Rats with Scopolamine-Induced Cognitive Deficits. International Journal of Molecular Sciences. 2025; 26(20):9883. https://doi.org/10.3390/ijms26209883
Chicago/Turabian StyleHerbet, Mariola, Angelika Tkaczyk-Wlizło, Katarzyna Wicha-Komsta, Bartosz Twarowski, Brygida Ślaska, Tomasz Kocki, Krzysztof Kowal, and Iwona Piątkowska-Chmiel. 2025. "Mitochondrial Integrity and Kynurenine Pathway Enzyme Dynamics in the Hippocampus of Rats with Scopolamine-Induced Cognitive Deficits" International Journal of Molecular Sciences 26, no. 20: 9883. https://doi.org/10.3390/ijms26209883
APA StyleHerbet, M., Tkaczyk-Wlizło, A., Wicha-Komsta, K., Twarowski, B., Ślaska, B., Kocki, T., Kowal, K., & Piątkowska-Chmiel, I. (2025). Mitochondrial Integrity and Kynurenine Pathway Enzyme Dynamics in the Hippocampus of Rats with Scopolamine-Induced Cognitive Deficits. International Journal of Molecular Sciences, 26(20), 9883. https://doi.org/10.3390/ijms26209883

