The Role of Systemic Health Indicators, Including C-Reactive Protein and eGFR, in Predicting Periodontal Disease: A Longitudinal Study
Abstract
1. Introduction
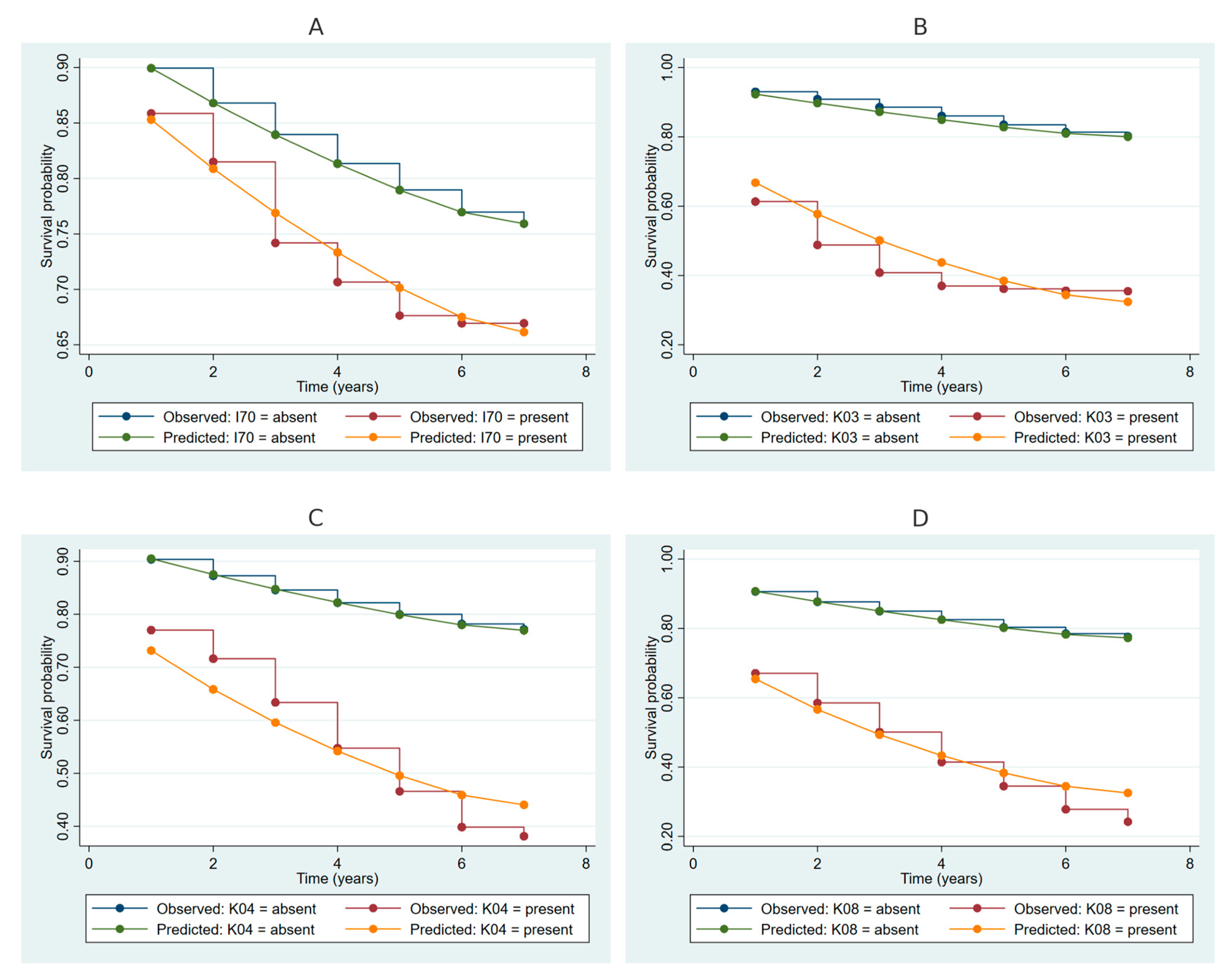
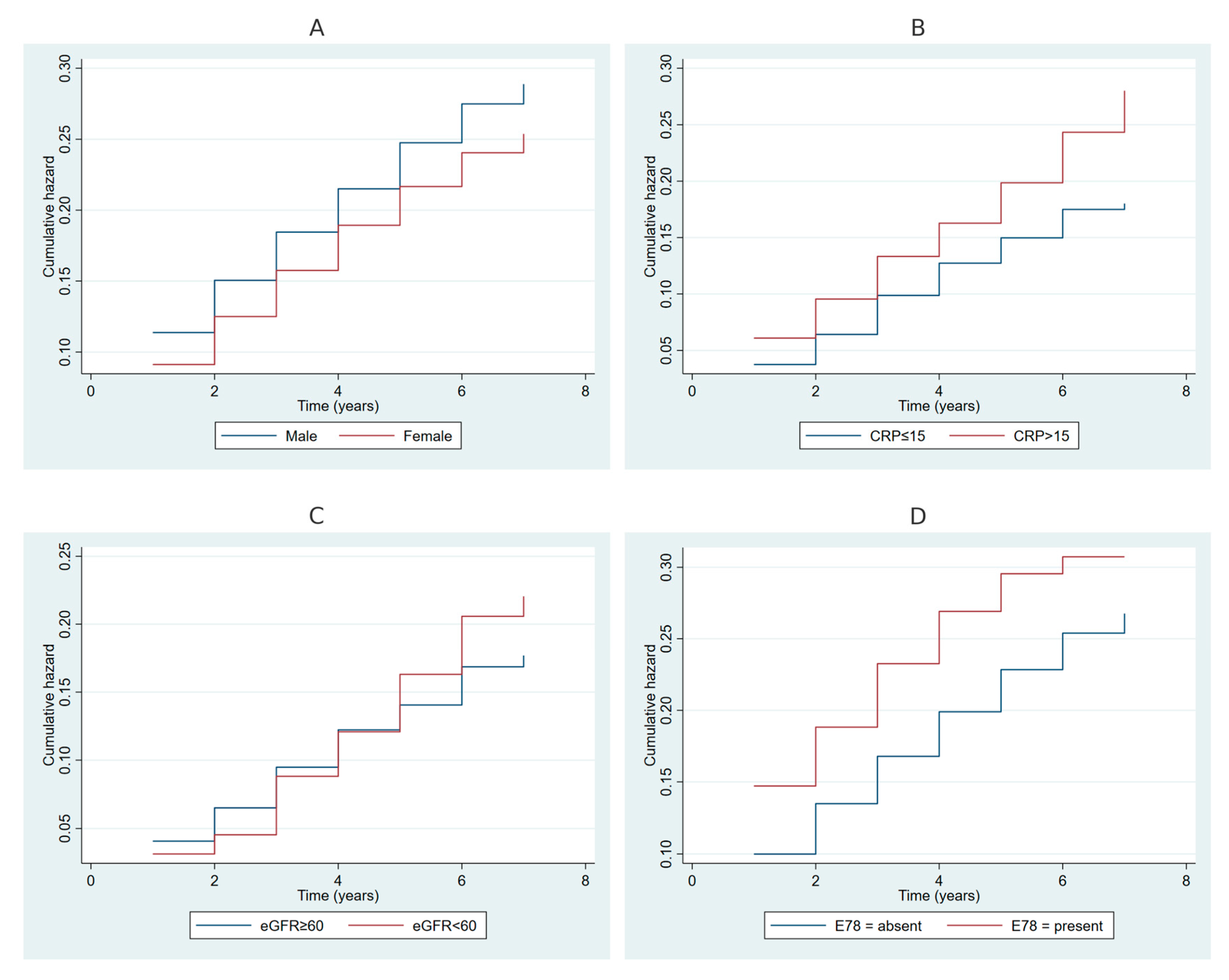
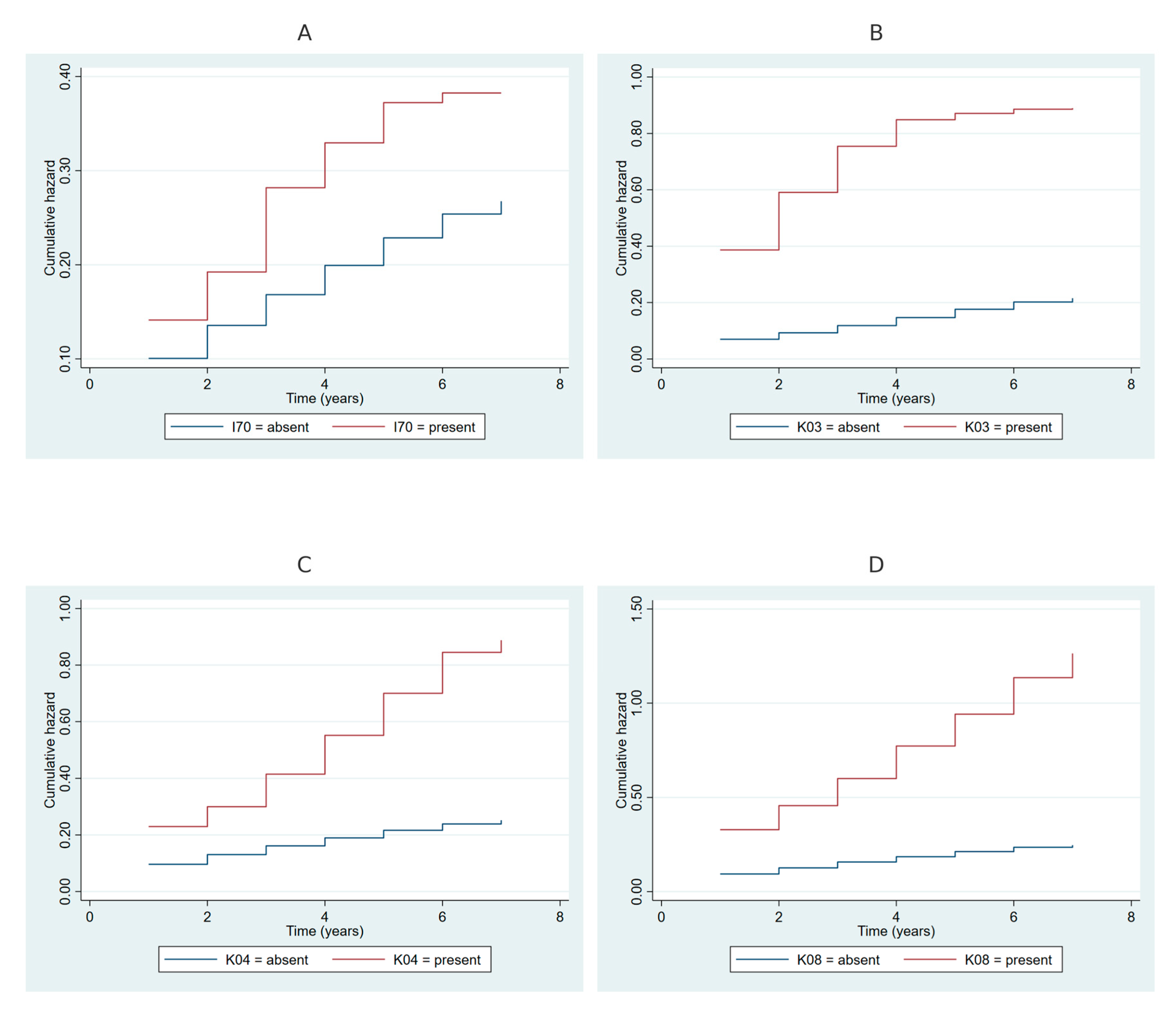
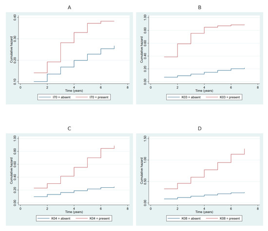
2. Results
3. Discussion
4. Materials and Methods
4.1. Data Cleaning and Processing
4.2. Variables of Interest
4.3. Statistical Analysis
4.3.1. Univariate Analysis and Visualization
- is the estimated survival probability at time ;
- is the number of events (e.g., diagnosis of periodontitis) at time ;
- is the number of participants at risk just before time
- is the cumulative hazard estimate and time ;
- denotes the observed event times;is the number of events (periodontitis diagnoses) at ;
- is the number of individuals at risk just prior to .
4.3.2. Parametric Survival Modelling Using the Gompertz Distribution
- > 0 is the scale parameter, governing the baseline hazard;
- is the shape of the parameter, determining the rate of hazard change over time.
5. Conclusions
Funding
Institutional Review Board Statement
Informed Consent Statement
Data Availability Statement
Conflicts of Interest
References
- The Global Status Report on Oral Health. 2022. Available online: https://www.who.int/team/noncommunicable-diseases/global-status-report-on-oral-health-2022 (accessed on 2 December 2024).
- Oral Health. Available online: https://www.who.int/news-room/fact-sheets/detail/oral-health (accessed on 2 December 2024).
- GBD 2017 Oral Disorders Collaborators; Bernabe, E.; Marcenes, W.; Hernandez, C.R.; Bailey, J.; Abreu, L.G.; Alipour, V.; Amini, S.; Arabloo, J.; Arefi, Z.; et al. Global, Regional, and National Levels and Trends in Burden of Oral Conditions from 1990 to 2017: A Systematic Analysis for the Global Burden of Disease 2017 Study. J. Dent. Res. 2020, 99, 362–373. [Google Scholar] [PubMed]
- Billings, M.; Holtfreter, B.; Papapanou, P.N.; Mitnik, G.L.; Kocher, T.; Dye, B.A. Dye, Age-dependent distribution of periodontitis in two countries: Findings from NHANES 2009 to 2014 and SHIP-TREND 2008 to 2012. J. Periodontol. 2018, 89, S140–S158. [Google Scholar] [CrossRef] [PubMed]
- Ju, X.; Harford, J.; Luzzi, L.; Jamieson, L.M. Prevalence, extent, and severity of periodontitis among Australian older adults: Comparison of two generations. J. Periodontol. 2022, 93, 1387–1400. [Google Scholar] [CrossRef] [PubMed]
- Heilmann, A.; Tsakos, G.; Watt, R.G. Oral Health Over the Life Course. In A Life Course Perspective on Health Trajectories and Transitions; Burton-Jeangros, C., Cullati, S., Sacker, A., Blane, D., Eds.; Springer: Cham, Switzerland, 2015. [Google Scholar]
- Broadbent, J.M.; Zeng, J.; Page, L.A.F.; Baker, S.R.; Ramrakha, S.; Thomson, W.M. Oral Health–related Beliefs, Behaviors, and Outcomes through the Life Course. J. Dent. Res. 2016, 95, 808–813. [Google Scholar] [CrossRef]
- Seitz, M.W.; Listl, S.; Bartols, A.; Schubert, I.; Blaschke, K.; Haux, C.; Van Der Zande, M.M. Current Knowledge on Correlations Between Highly Prevalent Dental Conditions and Chronic Diseases: An Umbrella Review. Prev. Chronic Dis. 2019, 16, E132. [Google Scholar] [CrossRef]
- Kudiyirickal, M.G.; Pappachan, J.M. Periodontitis: An often-neglected complication of diabetes. World J. Diabetes 2024, 15, 318–325. [Google Scholar] [CrossRef]
- Ghanem, A.S.; Németh, O.; Móré, M.; Nagy, A.C. Role of oral health in heart and vascular health: A population-based study. PLoS ONE 2024, 19, e0301466. [Google Scholar] [CrossRef]
- Ghanem, A.S.; Nagy, A.C. Oral healths role in diabetes risk: A cross-sectional study with sociodemographic and lifestyle insights. Front. Endocrinol. 2024, 15, 1342783. [Google Scholar] [CrossRef]
- Wahid, A.; Chaudhry, S.; Ehsan, A.; Butt, S.; Khan, A.A. Bidirectional Relationship between Chronic Kidney Disease & Periodontal Disease. Pak. J. Med. Sci. 2013, 29, 211–215. [Google Scholar] [CrossRef]
- Pejcic, A.; Kesic, L.J.; Milasin, J. C-reactive protein as a systemic marker of inflammation in periodontitis. Eur. J. Clin. Microbiol. Infect. Dis. 2011, 30, 407–414. [Google Scholar] [CrossRef]
- Machado, V.; Botelho, J.; Escalda, C.; Hussain, S.B.; Luthra, S.; Mascarenhas, P.; Orlandi, M.; Mendes, J.J.; D’aiuto, F. Serum C-Reactive Protein and Periodontitis: A Systematic Review and Meta-Analysis. Front. Immunol. 2021, 12, 706432. [Google Scholar] [CrossRef] [PubMed]
- Abullais, S.S.; Wykole, Y.; Khader, M.A.; Shamsudeen, S.M.; Alanazi, S.; Khateeb, S.U.; Bhat, M.Y.S.; Shamsuddin, S. Estimation of serum C-reactive protein activity in periodontal health and disease and response to treatment: A clinico-biochemical study. PeerJ 2023, 11, e16495. [Google Scholar] [CrossRef] [PubMed]
- Sun, J.; Wang, W.; Li, D.; Song, J.; Chen, Z.; Chen, L.; Smeets, R.; Beikler, T.; Strenge, J.; Yang, Z.; et al. Association between C-Reactive protein and periodontitis in an obese population from the NHANES 2009–2010. BMC Oral Health 2023, 23, 512. [Google Scholar] [CrossRef] [PubMed]
- Kuppa, A.; Tripathi, H.; Al-Darraji, A.; Tarhuni, W.M.; Abdel-Latif, A. C-Reactive Protein Levels and Risk of Cardiovascular Diseases: A Two-Sample Bidirectional Mendelian Randomization Study. Int. J. Mol. Sci. 2023, 24, 9129. [Google Scholar] [CrossRef]
- Parsegian, K.; Randall, D.; Curtis, M.; Ioannidou, E. Association between periodontitis and chronic kidney disease. Periodontology 2000 2022, 89, 114–124. [Google Scholar] [CrossRef]
- Chambrone, L.; Foz, A.M.; Guglielmetti, M.R.; Pannuti, C.M.; Artese, H.P.C.; Feres, M.; Romito, G.A. Periodontitis and chronic kidney disease: A systematic review of the association of diseases and the effect of periodontal treatment on estimated glomerular filtration rate. J. Clin. Periodontol. 2013, 40, 443–456. [Google Scholar] [CrossRef]
- Ausavarungnirun, R.; Wisetsin, S.; Rongkiettechakorn, N.; Chaichalermsak, S.; Udompol, U.; Rattanasompattikul, M. Association of dental and periodontal disease with chronic kidney disease in patients of a single, tertiary care centre in Thailand. BMJ Open 2016, 6, e011836. [Google Scholar] [CrossRef]
- Rai, J.; Shah, V.; Shah, M. Periodontitis Severity Grading Scale and C-Reactive Protein: A Possible Relation. Cureus 2023, 15, e41618. [Google Scholar] [CrossRef]
- Bansal, T.; Pandey, A.; Deepa, D.; Asthana, A.K. C-Reactive Protein (CRP) and its Association with Periodontal Disease: A Brief Review. J. Clin. Diagn. Res. 2014, 8, ZE21–ZE24. [Google Scholar] [CrossRef]
- Tan, K.H.; Seers, C.A.; Dashper, S.G.; Mitchell, H.L.; Pyke, J.S.; Meuric, V.; Slakeski, N.; Cleal, S.M.; Chambers, J.L.; McConville, M.J.; et al. Porphyromonas gingivalis and Treponema denticola Exhibit Metabolic Symbioses. PLoS Pathog. 2014, 10, e1003955. [Google Scholar] [CrossRef]
- Wangerin, C.; Pink, C.; Endlich, K.; Rettig, R.; Stracke, S.; Nauck, M.; Völzke, H.; Kocher, T.; Holtfreter, B. Long-term Association of Periodontitis with Decreased Kidney Function. Am. J. Kidney Dis. 2019, 73, 513–524. [Google Scholar] [CrossRef] [PubMed]
- Iwasaki, M.; Taylor, G.W.; Sato, M.; Minagawa, K.; Ansai, T.; Yoshihara, A. Effect of chronic kidney disease on progression of clinical attachment loss in older adults: A 4-year cohort study. J. Periodontol. 2019, 90, 826–833. [Google Scholar] [CrossRef] [PubMed]
- Rapa, S.F.; Di Iorio, B.R.; Campiglia, P.; Heidland, A.; Marzocco, S. Inflammation and Oxidative Stress in Chronic Kidney Disease—Potential Therapeutic Role of Minerals, Vitamins and Plant-Derived Metabolites. Int. J. Mol. Sci. 2019, 21, 263. [Google Scholar] [CrossRef] [PubMed]
- Lee, B.T.; Ahmed, F.A.; Hamm, L.L.; Teran, F.J.; Chen, C.-S.; Liu, Y.; Shah, K.; Rifai, N.; Batuman, V.; Simon, E.E.; et al. Association of C-reactive protein, tumor necrosis factor-alpha, and interleukin-6 with chronic kidney disease. BMC Nephrol. 2015, 16, 77. [Google Scholar] [CrossRef]
- Syed-Ahmed, M.; Narayanan, M. Immune Dysfunction and Risk of Infection in Chronic Kidney Disease. Adv. Chronic Kidney Dis. 2019, 26, 8–15. [Google Scholar] [CrossRef]
- Beukers, N.G.F.M.; van der Heijden, G.J.M.G.; van Wijk, A.J.; Loos, B.G. Periodontitis is an independent risk indicator for atherosclerotic cardiovascular diseases among 60,174 participants in a large dental school in the Netherlands. J. Epidemiol. Community Health 2017, 71, 37–42. [Google Scholar] [CrossRef]
- Lockhart, P.B.; Bolger, A.F.; Papapanou, P.N.; Osinbowale, O.; Trevisan, M.; Levison, M.E.; Taubert, K.A.; Newburger, J.W.; Gornik, H.L.; Gewitz, M.H.; et al. Periodontal Disease and Atherosclerotic Vascular Disease: Does the Evidence Support an Independent Association? Circulation 2012, 125, 2520–2544. [Google Scholar] [CrossRef]
- Huang, X.; Xie, M.; Lu, X.; Mei, F.; Song, W.; Liu, Y.; Chen, L. The Roles of Periodontal Bacteria in Atherosclerosis. Int. J. Mol. Sci. 2023, 24, 12861. [Google Scholar] [CrossRef]
- Dyslipidemia—An Overview. ScienceDirect Topics. Available online: https://www.sciencedirect.com/topics/pharmacology-toxicology-and-pharmaceutical-science/dyslipidemia (accessed on 2 December 2024).
- Batty, M.; Bennett, M.R.; Yu, E. The Role of Oxidative Stress in Atherosclerosis. Cells 2022, 11, 3843. [Google Scholar] [CrossRef]
- Camaré, C.; Pucelle, M.; Nègre-Salvayre, A.; Salvayre, R. Angiogenesis in the atherosclerotic plaque. Redox Biol. 2017, 12, 18–34. [Google Scholar] [CrossRef]
- Bitencourt, F.V.; Nascimento, G.G.; Costa, S.A.; Orrico, S.R.P.; Ribeiro, C.C.C.; Leite, F.R.M. The Role of Dyslipidemia in Periodontitis. Nutrients 2023, 15, 300. [Google Scholar] [CrossRef] [PubMed]
- Chen, W. Dental attrition and periodontal disease. Dent. Case Rep. 2022, 6, 5–6. Available online: https://www.pulsus.com/abstract/dental-attrition-and-periodontal-disease-10958.html (accessed on 3 December 2024).
- Carvalho, A.; Moura, M.; Costa, F.; Cota, L. Correlations between different plaque indexes and bleeding on probing: A concurrent validity study. J. Clin. Exp. Dent. 2023, 15, e9–e16. [Google Scholar] [CrossRef]
- Ríos, C.C.; Campiño, J.I.; Posada-López, A.; Rodríguez-Medina, C.; Botero, J.E. Occlusal trauma is associated with periodontitis: A retrospective case-control study. J. Periodontol. 2021, 92, 1788–1794. [Google Scholar] [CrossRef]
- Shiloah, J.; Kopczyk, R.A. Developmental variations of tooth morphology and periodontal disease. J. Am. Dent. Assoc. 1979, 99, 627–630. [Google Scholar] [CrossRef]
- Jepsen, S.; Caton, J.G.; Albandar, J.M.; Bissada, N.F.; Bouchard, P.; Cortellini, P.; Demirel, K.; de Sanctis, M.; Ercoli, C.; Fan, J.; et al. Periodontal manifestations of systemic diseases and developmental and acquired conditions: Consensus report of workgroup 3 of the 2017 World Workshop on the Classification of Periodontal and Peri-Implant Diseases and Conditions. J. Periodontol. 2018, 89 (Suppl. S1), S237–S248. [Google Scholar] [CrossRef]
- WHO. ICD-10: International Statistical Classification of Diseases and Related Health Problems: Tenth Revision; World Health Organization: Geneva, Switzerland, 2004; Available online: https://iris.who.int/handle/10665/42980 (accessed on 2 December 2024).
- Sirpanlis, G.; Alevyzaki, F.; Triantafyllis, G.; Chatzipanagiotou, S.; Nicolaou, C. C-Reactive Protein: “Cutoff” Point and Clinical Applicability. Am. J. Kidney Dis. 2005, 46, 368. [Google Scholar] [CrossRef]
- Tarwater, K. Estimated Glomerular Filtration Rate Explained. Mo. Med. 2011, 108, 29–32. [Google Scholar]
- Cox, D.R. Regression Models and Life-Tables. J. R. Stat. Soc. Ser. B Methodol. 1972, 34, 187–202. [Google Scholar] [CrossRef]
- Kaplan, E.L.; Meier, P. Nonparametric Estimation from Incomplete Observations. J. Am. Stat. Assoc. 1958, 53, 457–481. [Google Scholar] [CrossRef]
- Schoenfeld, D. Partial Residuals for The Proportional Hazards Regression Model. Biometrika 1982, 69, 239–241. [Google Scholar] [CrossRef]
- Nelson, W. Theory and Applications of Hazard Plotting for Censored Failure Data. Technometrics 2000, 42, 12. Available online: https://link.gale.com/apps/doc/A66581165/AONE?u=anon~ce32384f&sid=googleScholar&xid=0cccbe2c (accessed on 15 January 2025). [CrossRef]
- Aalen, O. Nonparametric Inference for a Family of Counting Processes. Ann. Stat. 1978, 6, 701–726. [Google Scholar] [CrossRef]
- Andersen, P.K.; Gill, R.D. Coxs Regression Model for Counting Processes: A Large Sample Study. Ann. Stat. 1982, 10, 1100–1120. [Google Scholar] [CrossRef]
- Akaike, H. A new look at the statistical model identification. IEEE Trans. Autom. Control 1974, 19, 716–723. [Google Scholar] [CrossRef]
- Schwarz, G. Estimating the Dimension of a Model. Ann. Stat. 1978, 6, 461–464. [Google Scholar] [CrossRef]
- Burnham, K.P.; Anderson, D.R. (Eds.) Formal Inference From More Than One Model: Multimodel Inference (MMI). In Model Selection and Multimodel Inference: A Practical Information—Theoretic Approach; Springer: New York, NY, USA, 2002; pp. 149–205. [Google Scholar] [CrossRef]
- Lee, E.T.; Wang, J.W. Statistical Methods for Survival Data Analysis. In Wiley Series in Probability and Statistics, 1st ed.; Wiley: Hoboken, NJ, USA, 2003. [Google Scholar] [CrossRef]
- Klein, J.P.; Moeschberger, M.L. Multivariate Survival Analysis. In Survival Analysis: Techniques for Censored and Truncated Data; Springer: New York, NY, USA, 2003; pp. 425–441. [Google Scholar] [CrossRef]
- StataCorp. Stata, Version 17; Statistical Software; StataCorp LLC: College Station, TX, USA, 2021.




| Variable (ICD-10 Code) | Categories | n (%) |
|---|---|---|
| Age | Mean (SD) | 50.43 (15.40) |
| Median (IQR) | 51 (40–62) | |
| Min–Max | 0–89 | |
| Gender | Male | 2193 (45.40%) |
| Female | 2637 (54.60%) | |
| C-reactive protein | Normal (≤15) | 295 (74.31%) |
| High (>15) | 102 (25.69%) | |
| eGFR | Normal (eGFR ≥ 60) | 317 (80.25%) |
| Kidney Disease (eGFR < 60) | 78 (19.75%) | |
| GOT | Normal | 528 (91.83%) |
| Elevated | 47 (8.17%) | |
| GPT | Normal | 576 (87.67%) |
| Elevated | 81 (12.33%) | |
| Disorders of lipoprotein metabolism (E78) | Absent | 4704 (97.33%) |
| Present | 129 (2.67%) | |
| Atherosclerosis (I70) | Absent | 4796 (99.23%) |
| Present | 37 (0.77%) | |
| Disorders of tooth development and eruption (K00) | Absent | 4767 (98.63%) |
| Present | 66 (1.37%) | |
| Other diseases of hard tissues of teeth (K03) | Absent | 4063 (84.07%) |
| Present | 770 (15.93%) | |
| Diseases of pulp and periapical tissues (K04) | Absent | 4686 (96.96%) |
| Present | 147 (3.04%) | |
| Other disorders of gingiva and edentulous alveolar ridge (K06) | Absent | 4756 (98.41%) |
| Present | 77 (1.59%) | |
| Other specified disorders of teeth and supporting structures (K08) | Absent | 4666 (96.54%) |
| Present | 167 (3.46%) | |
| Type 2 diabetes mellitus (E11) | Absent | 4743 (98.14%) |
| Present | 90 (1.86%) | |
| Essential hypertension (I10) | Absent | 4497 (93.05%) |
| Present | 336 (6.95%) |
| Variable (ICD-10 Code) | Categories | Observed Events | Expected Events | Relative Hazard | p-Value |
|---|---|---|---|---|---|
| Gender | Male | 2361 | 2181.13 | 1.09 | <0.001 |
| Female | 2900 | 3079.87 | 0.94 | ||
| C-reactive protein | Normal (≤15) | 326 | 359.26 | 0.92 | <0.001 |
| High (>15) | 138 | 104.74 | 1.34 | ||
| eGFR | Normal (≥60) | 284 | 302.41 | 0.94 | 0.072 |
| Kidney Disease (<60) | 174 | 155.59 | 1.12 | ||
| GOT | Normal | 481 | 490.68 | 0.98 | 0.125 |
| Elevated | 50 | 40.32 | 1.24 | ||
| GPT | Normal | 508 | 527.06 | 0.97 | 0.024 |
| Elevated | 96 | 76.94 | 1.25 | ||
| Disorders of lipoprotein metabolism (E78) | No | 5141 | 5164.42 | 1 | 0.022 |
| Yes | 123 | 99.58 | 1.24 | ||
| Atherosclerosis (I70) | No | 5205 | 5224.54 | 1 | 0.004 |
| Yes | 59 | 39.46 | 1.5 | ||
| Disorders of tooth development and eruption (K00) | No | 4916 | 5136.64 | 0.97 | <0.001 |
| Yes | 348 | 127.36 | 2.79 | ||
| Other diseases of hard tissues of teeth (K03) | No | 3800 | 4881.88 | 0.89 | <0.001 |
| Yes | 1464 | 382.12 | 4.5 | ||
| Diseases of pulp and periapical tissues (K04) | No | 4813 | 5110.94 | 0.97 | <0.001 |
| Yes | 451 | 153.06 | 3.03 | ||
| Other disorders of gingiva and edentulous alveolar ridge (K06) | No | 5071 | 5218.26 | 0.99 | <0.001 |
| Yes | 193 | 45.74 | 4.3 | ||
| Other specified disorders of teeth and supporting structures (K08) | No | 4739 | 5132.68 | 0.96 | <0.001 |
| Yes | 525 | 131.32 | 4.19 | ||
| Type 2 diabetes mellitus (E11) | No | 5173 | 5198.9 | 1 | 0.002 |
| Yes | 91 | 65.1 | 1.4 | ||
| Essential hypertension (I10) | No | 4983 | 5069.43 | 0.99 | <0.001 |
| Yes | 281 | 194.57 | 1.45 |
| Variable (ICD-10 Code) | Categories (Reference) | Hazard Ratio (HR) [95% CI] | p-Value |
|---|---|---|---|
| Age | Continuous | 0.99 [0.98–0.99] | 0.001 |
| Gender | Female (ref: Male) | 0.79 [0.63–1.00] | 0.054 |
| C-reactive protein | High (>15) (ref: ≤15) | 1.36 [1.05–1.77] | 0.02 |
| eGFR | <60 (ref: ≥60) | 1.39 [1.08–1.78] | 0.01 |
| GOT | Elevated (ref: Normal) | 0.89 [0.57–1.38] | 0.604 |
| GPT | Elevated (ref: Normal) | 1.04 [0.72–1.48] | 0.85 |
| Disorders of lipoprotein metabolism (E78) | Present (ref: Absent) | 0.75 [0.40–1.40] | 0.361 |
| Atherosclerosis (I70) | Present (ref: Absent) | 2.12 [1.11–4.06] | 0.023 |
| Disorders of tooth development and eruption (K00) | Present (ref: Absent) | 1.09 [0.67–1.78] | 0.729 |
| Other diseases of hard tissues of teeth (K03) | Present (ref: Absent) | 7.30 [5.45–9.78] | <0.001 |
| Diseases of pulp and periapical tissues (K04) | Present (ref: Absent) | 1.91 [1.14–3.20] | 0.014 |
| Other disorders of gingiva and edentulous alveolar ridge (K06) | Present (ref: Absent) | 1.41 [0.68–2.94] | 0.357 |
| Other specified disorders of teeth and supporting structures (K08) | Present (ref: Absent) | 3.02 [2.05–4.43] | <0.001 |
| Type 2 diabetes mellitus (E11) | Present (ref: Absent) | 1.16 [0.59–2.29] | 0.673 |
| Essential hypertension (I10) | Present (ref: Absent) | 1.07 [0.68–1.69] | 0.755 |
Disclaimer/Publisher’s Note: The statements, opinions and data contained in all publications are solely those of the individual author(s) and contributor(s) and not of MDPI and/or the editor(s). MDPI and/or the editor(s) disclaim responsibility for any injury to people or property resulting from any ideas, methods, instructions or products referred to in the content. |
© 2025 by the author. Licensee MDPI, Basel, Switzerland. This article is an open access article distributed under the terms and conditions of the Creative Commons Attribution (CC BY) license (https://creativecommons.org/licenses/by/4.0/).
Share and Cite
Ghanem, A.S. The Role of Systemic Health Indicators, Including C-Reactive Protein and eGFR, in Predicting Periodontal Disease: A Longitudinal Study. Int. J. Mol. Sci. 2025, 26, 741. https://doi.org/10.3390/ijms26020741
Ghanem AS. The Role of Systemic Health Indicators, Including C-Reactive Protein and eGFR, in Predicting Periodontal Disease: A Longitudinal Study. International Journal of Molecular Sciences. 2025; 26(2):741. https://doi.org/10.3390/ijms26020741
Chicago/Turabian StyleGhanem, Amr Sayed. 2025. "The Role of Systemic Health Indicators, Including C-Reactive Protein and eGFR, in Predicting Periodontal Disease: A Longitudinal Study" International Journal of Molecular Sciences 26, no. 2: 741. https://doi.org/10.3390/ijms26020741
APA StyleGhanem, A. S. (2025). The Role of Systemic Health Indicators, Including C-Reactive Protein and eGFR, in Predicting Periodontal Disease: A Longitudinal Study. International Journal of Molecular Sciences, 26(2), 741. https://doi.org/10.3390/ijms26020741
