Next Article in Journal
DNA Methylation Mediates the Association Between Prenatal Maternal Stress and the Broad Autism Phenotype in Human Adolescents: Project Ice Storm
Next Article in Special Issue
From Bioinformatics Analysis to Recombinant Expression: Advancing Public Health with Taenia solium Proteins
Previous Article in Journal
Detection of Targetable Genetic Abnormalities in Neuroblastoma Circulating Tumour DNA
Previous Article in Special Issue
Decreased Expression of a Phosphoribosylanthranilate Transferase-Encoding Gene, OsPAT1, Causes Lesion Mimics in Rice
 
 
Font Type:
Arial Georgia Verdana
Font Size:
Aa Aa Aa
Line Spacing:
Column Width:
Background:
Review

Chrysin as a Bioactive Scaffold: Advances in Synthesis and Pharmacological Evaluation

1
School of Chemical Engineering and Applied Chemistry, Kyungpook National University, Daegu 41566, Republic of Korea
2
Advanced Radiation Technology Institute, Korea Atomic Energy Research Institute, Jeongeup 56212, Republic of Korea
*
Author to whom correspondence should be addressed.
These authors contribute equally to this work.
Int. J. Mol. Sci. 2025, 26(19), 9467; https://doi.org/10.3390/ijms26199467
Submission received: 29 August 2025 / Revised: 23 September 2025 / Accepted: 25 September 2025 / Published: 27 September 2025
(This article belongs to the Collection 30th Anniversary of IJMS: Updates and Advances in Biochemistry)

Abstract

Chrysin (5,7-dihydroxyflavone) is a flavonoid widely distributed in propolis, honey, and various plant sources. It exhibits a wide range of pharmacological activities, including anti-inflammatory, antioxidant, anticancer, antimicrobial, and anti-diabetic effects. However, its clinical translation is hampered by poor aqueous solubility, low bioavailability, and rapid metabolic clearance. To address these limitations and expand the chemical space of this natural scaffold, extensive synthetic efforts have focused on generating structurally diverse chrysin derivatives that possess improved drug-like properties. This review systematically categorizes synthetic methodologies—such as etherification, esterification, transition-metal-mediated couplings, sigmatropic rearrangements, and electrophilic substitutions—and integrates them with corresponding biological outcomes. Particular emphasis is placed on recent (2020–present) advances that directly link structural modifications with pharmacological enhancements, thereby offering comparative structure–activity relationship (SAR) insights. In addition, transition-metal-catalyzed C–C bond-forming reactions are highlighted in a dedicated section, underscoring their growing role in accessing bioactive chrysin analogs previously unattainable by conventional chemistry. Unlike prior reviews that mainly summarized biological activities or broadly covered flavonoid scaffolds, this article bridges synthetic diversification with pharmacological evaluation. It provides both critical synthesis and mechanistic interpretation. Overall, this work consolidates current knowledge and suggests future directions that integrate synthetic innovation with pharmacological validation and address pharmacokinetic challenges in chrysin derivatives.

1. Introduction

Flavonoids are a structurally diverse class of polyphenolic compounds that have been extensively investigated for pharmacological applications. Representative examples include quercetin, one of the most abundant dietary flavonoids with strong antioxidant, anticancer, antiviral, and anti-inflammatory activities. Another is rhoifolin, which has recently garnered interest due to its potent cytotoxic and anticancer effects mediated by pro-apoptotic and anti-metastatic mechanisms [1,2]. More recently, emerging flavonoids such as prunin have also been highlighted for their anticancer potential, as summarized in recent reviews [3]. Within this broad chemical family, chrysin (5,7-dihydroxyflavone) has garnered particular attention due to its distinctive structural and pharmacological advantages. It has been identified in propolis, honey, and various plant extracts and has demonstrated a wide range of biological activities in both in vitro and in vivo studies [4,5,6,7]. Structurally, chrysin comprises two phenyl rings (A and B) and a heterocyclic ring (C) fused to the A ring, with hydroxyl groups located exclusively at the 5 and 7 positions of the A ring (Figure 1). This unique configuration imparts characteristic physicochemical properties that underlie its diverse biological activities. Chrysin has attracted considerable attention over the past few decades due to its broad spectrum of pharmacological effects. These include anti-inflammatory, antioxidant, anticancer, anxiolytic, and antimicrobial activities [5,8,9,10,11]. These bioactivities have been extensively validated through both in vitro and in vivo models. Owing to its multi-faceted pharmacological potential, chrysin has emerged as a structurally attractive and biologically relevant scaffold for the rational design of therapeutic agents and nutraceutical formulations [12,13].
Despite these promising attributes, the clinical translation of chrysin remains limited. Its poor aqueous solubility (0.058 ± 0.04 mg/mL at pH 7.4), low intestinal absorption, rapid metabolic degradation, and prompt systemic elimination collectively result in extremely low oral bioavailability [14,15,16]. These limitations are predominantly attributed to chrysin’s pronounced vulnerability to phase II metabolic enzymes, most notably UDP-glucuronosyltransferases (UGTs), which mediate extensive glucuronidation and sulfonation reactions that accelerate its clearance from the body [17,18]. To address these challenges, extensive efforts have been devoted to the structural modification of chrysin through various organic synthetic strategies. These modifications have generally pursued three major objectives: (i) to overcome intrinsic pharmacokinetic limitations of chrysin, including low bioavailability; (ii) to optimize its inherent pharmacological properties, thereby enhancing potency, selectivity, and overall therapeutic efficacy; and (iii) to broaden its therapeutic potential by introducing new biological activities not present in the native flavone.
This review aims to provide a comprehensive and critical overview of recent advances in the synthesis of chrysin derivatives and their biological evaluation. Specifically, we introduce representative synthetic approaches used to generate structurally modified chrysin analogs. We also highlight the pharmacological activities reported for these compounds across various biological systems. The majority of studies discussed herein were published within the past five years; however, earlier foundational works are also introduced where appropriate to contextualize key developments. Unlike previous reviews that mainly focused on either pharmacological properties or broad classes of flavonoids [4,5,6,7], this article emphasizes recent (2020–present) progress by systematically categorizing synthetic methodologies of chrysin derivatives into distinct reaction classes, ranging from classical O-functionalization to modern transition-metal-catalyzed couplings and even radiation-driven transformations. Particular attention is given to how specific structural modifications alter biological activities, thereby offering comparative SAR insights across therapeutic domains. Furthermore, we dedicate a separate section to transition-metal-catalyzed coupling reactions. This allows us to highlight how state-of-the-art synthetic chemistry has enabled access to novel chrysin scaffolds with promising pharmacological potential. Such scaffolds were previously inaccessible through conventional transformations. By bridging advances in synthetic methodology with critical pharmacological evaluation, this review seeks to provide meaningful insights into the therapeutic potential of chrysin-based derivatives and their future prospects in drug development.

2. Synthetic Approaches Toward Structurally Diverse Chrysin Derivatives

To provide a comprehensive overview of chrysin-based chemical modifications, we categorized the synthetic methodologies for generating structurally diverse derivatives according to the type of chemical transformation employed. These classifications are shown in Figure 1. These strategies encompass both classical and contemporary approaches, enabling targeted functionalization of the chrysin scaffold to enhance its pharmacological properties and expand its therapeutic potential. There have also been reports of designing and synthesizing structurally diversified chrysin derivatives through the sequential application of these reaction pathways.

2.1. Etherification (Alkylation)

Etherification methodologies involve the formation of ether linkages via nucleophilic substitution or direct alkylation reactions using suitable electrophilic reagents such as alkyl halides or alkyl tosylates under basic conditions [19]. These reactions primarily target the phenolic hydroxyl groups at the 5- and 7-positions of chrysin [20]. Due to intramolecular hydrogen bonding between the 5-OH group and the adjacent carbonyl moiety, the 7-OH group is generally more accessible and reactive. As a result, it is the preferred site for electrophilic alkylation [21]. Under conditions employing excess electrophile (typically more than two equivalents), both hydroxyl groups can be alkylated, allowing for further structural diversification. The intermediates synthesized through this reaction are often utilized as key building blocks for the construction of structurally complex final products [22].

2.2. Esterification (Acylation)

Esterification reactions of chrysin typically involve acylation of the phenolic hydroxyl groups using carboxylic acids or their activated derivatives, such as acid chlorides [23]. Coupling agents such as ethyl(dimethylaminopropyl)carbodiimide (EDC) are commonly employed to facilitate ester bond formation under mild conditions. Alternatively, acid chlorides can react directly with hydroxyl groups in the presence of suitable bases, enabling efficient synthesis of ester derivatives [24]. Both etherification and esterification have been widely adopted as foundational strategies for the preparation of chrysin analogs due to their simplicity and versatility [25].

2.3. Transition-Metal-Mediated Coupling Reactions

Transition-metal-catalyzed coupling reactions represent a powerful tool for constructing novel carbon–carbon bonds within polyaromatic frameworks such as flavonoids [26,27,28]. These methodologies typically begin with the functionalization of flavonoids to introduce reactive intermediates bearing carbon–halogen (C–I, C–Br) or carbon–boron (C–B) bonds. Subsequent cross-coupling with aryl substrates is mediated by transition metal catalysts, predominantly palladium-based systems [29,30]. These reactions offer high regioselectivity, modularity, and synthetic efficiency, and have been extensively applied in the diversification of flavonoid scaffolds. Detailed synthetic strategies and biological evaluations of chrysin derivatives prepared via transition metal catalysis will be discussed in a separate section (Section 4).

2.4. Miscellaneous Transformations

This category encompasses a range of alternative synthetic routes that enable substantial structural modifications of chrysin beyond conventional alkylation, acylation, or metal-catalyzed coupling strategies. Representative examples include sigmatropic rearrangements (e.g., Claisen rearrangement) [31], electrophilic aromatic substitution reactions [32,33], and condensation methodologies. Sigmatropic rearrangements offer a regioselective approach for introducing prenyl or allyl groups into the aromatic core [31,34]. Electrophilic aromatic substitution provides a method for the synthesis of halogenated, nitrated, or sulfonated derivatives, which frequently exhibit altered electronic distribution on the aromatic backbone. Condensation reactions such as hydrazone or Schiff base formation at the C-4 carbonyl provide rapid access to extended π-conjugated systems. These reactions are typically conducted under mild, catalyst-free conditions and allow facile incorporation of pharmacophoric fragments. Finally, metal chelation and complexation exploit the hydroxyl and carbonyl groups of chrysin as donor sites to coordinate with transition metals such as Cu, Cr, Fe, or Ru. These coordination reactions not only diversify the chemical architecture but also yield organometallic scaffolds with distinct redox and electronic properties that are not accessible through purely organic transformations [35,36].
The structural diversification strategies described above have generated a broad spectrum of chrysin derivatives, which in turn provide the foundation for evaluating their pharmacological activities.

3. Chrysin Derivatives and Their Biological Activities

Chrysin derivatives obtained through chemical modification have been reported to possess diverse pharmacological properties, including anti-tumor, anti-inflammatory, antioxidant, antimicrobial, and anti-diabetic activities.

3.1. Antitumor Activity

The Phaosiri group reported the chemical modification of chrysin at the 7-hydroxyl position through the introduction of various substituents, including alkyl, benzyl, carbonyl, and amino groups, leading to a focused library of synthetic derivatives [37]. Among these, compounds 2a and 2b (ethyl and propyl derivatives, respectively) exhibited strong pan-histone deacetylase (HDAC) inhibition (92–93% at 100 µM), while compound 2c, bearing an α-substituted carboxylic acid side chain, achieved nearly complete inhibition (99% at 100 µM) with selective HDAC8 binding in molecular docking studies. Importantly, 2c also demonstrated notable antiproliferative activity against HeLa cells (IC50 = 13.91 µM) and increased histone H3 acetylation, indicating epigenetic modulation as a potential anticancer mechanism. Small alkyl substituents at the 7-position provided broad HDAC inhibition but limited translation into cellular potency, whereas the α-substituted carboxylate side chain markedly enhanced both enzyme selectivity (HDAC8) and antiproliferative activity. This suggests that polar, bulky substituents at 7-OH can improve target specificity and epigenetic modulation compared with simple alkylation. Chen et al. reported the synthesis of ten chrysin derivatives through acylation of the 7-hydroxyl group with various aromatic and long-chain acyl chlorides under mild conditions using triethylamine as a base [23]. Compound 3, a long-chain myristoyl chrysin derivative with a more flexible structure, exhibited markedly improved solubility and the most potent cytotoxicity against HepG2 liver cancer cells, with an IC50 of 14.79 μM—approximately 5-fold more active than chrysin itself (IC50 = 74.97 μM). The introduction of long flexible acyl chains increased lipophilicity and solubility, thereby improving cellular uptake and potency. This indicates that hydrophobic ester substituents at 7-OH can overcome the poor physicochemical profile of native chrysin and translate into stronger cytotoxic effects. Mayer et al. introduced an N-phenylchloroacetamide moiety at the 7-position of chrysin and subsequently employed a Smiles rearrangement to obtain novel 7-aminochrysin derivatives with a diphenylamine scaffold [22]. Among these, compound 4 exhibited markedly enhanced antitumor activity at the nanomolar level, with 50% growth inhibition concentration (GI50) values of 0.03 µM against breast cancer cells (MCF-7) and 0.060 µM against colon cancer cells (HCT-15), demonstrating superior potency compared with the parent chrysin. The rearrangement to a diphenylamine scaffold introduced extensive aromatic conjugation and stronger π–π interactions, resulting in nanomolar potency. This reveals that bulky aromatic extension at the 7-position dramatically enhances cytotoxic activity beyond what is achievable with simple alkyl or acyl groups. The Zhou group reported the regioselective synthesis and biological evaluation of novel 2-amino 3-cyano chromene–chrysin hybrids as anticancer agents [38]. These compounds were efficiently prepared through a Ca(OH)2-mediated cascade Michael/cyclization reaction between chrysin and arylidenemalononitriles (Scheme 1).
Among the derivatives synthesized, compound 6 exhibited the highest anticancer activity, showing potent cytotoxicity against K562 leukemia cells (IC50 = 6.41 µM) by inducing apoptosis via intrinsic mitochondrial pathways involving the regulation of Bax and Bcl-2 proteins. The incorporation of a chromene moiety with cyano and amino functionalities reinforces electron-withdrawing and hydrogen-bonding interactions, thereby favoring mitochondrial apoptosis. This indicates that fused heteroaryl substituents can broaden the pharmacophoric landscape of chrysin. Al-Oudat et al. reported the synthesis and biological evaluation of novel chrysin–de-allyl PAC-1 hybrid analogs as anticancer agents [39]. These compounds were synthesized via a three-step process involving alkylation, hydrazide formation, and hydrazone coupling reactions. Among the synthesized analogs, compounds 7a and 7b exhibited the most potent antiproliferative activities against triple-negative breast cancer (MDA-MB-231) cells, with IC50 values of 5.98 µM and 9.40 µM, respectively. Mechanistic studies demonstrated that both compounds induced apoptosis, caused cell cycle arrest at the G2 phase, and activated the intrinsic mitochondrial apoptotic pathway involving Bak upregulation, cytochrome c release, and caspase activation. The presence of hydrazone linkers connected to the PAC-1 pharmacophore proved crucial for activity, while differences in phenolic substitution patterns modulated potency. These findings emphasize that hybridization with apoptosis-inducing motifs enhances chrysin’s anticancer efficacy. A novel series of porphyrin–chrysin derivatives were developed as photosensitive anticancer agents, synthesized through sequential porphyrin preparation, substitution, and chlorination reactions [40]. Among these, compound 8 exhibited the highest photodynamic activity, with IC50 values of 6.26 μM (HeLa) and 23.37 μM (A549). Biological evaluations indicated that free-base porphyrin derivatives bind to ct-DNA through surface self-stacking, whereas zinc metalloporphyrins bind via intercalation, with binding strength positively correlating with anticancer efficacy. Structural analyses further indicated that enhancing positive charge, introducing electron-withdrawing groups, and modulating steric bulk improve their anticancer activities. The data demonstrate that electronic, steric, and chain-length tuning of porphyrin substituents directly influence the DNA-binding mode and phototoxic efficiency. Positively charged and electron-withdrawing groups, together with optimal chain length, markedly enhance ROS generation and cytotoxicity. Porphyrin–chrysin derivatives were synthesized and evaluated for photosensitizing and antitumor activities against human cancer cell lines [41]. These conjugates exhibited strong absorption in the Soret and Q bands and generated singlet oxygen upon light activation. Biological evaluation against MGC-803 (gastric) and HeLa (cervical) cancer cell lines revealed significantly enhanced cytotoxicity under light conditions. Notably, compound 9 showed the most potent photodynamic antitumor activity (IC50 = 26.51 μM in HeLa), surpassing chrysin and the reference drug 5-fluorouracil. Variation in porphyrin metallation revealed that free-base derivatives outperform metalated analogs in photodynamic efficacy. This highlights that subtle structural changes in the chromophore core strongly dictate singlet oxygen generation and cytotoxic performance. Novel flavonoid nitrogen mustard derivatives, derived from genistein and chrysin, were synthesized and evaluated for antitumor activity against several human cancer cell lines, including HeLa, A549, HepG2, MCF-7, SH-SY5Y, PC-3, and DU145 [42]. Among these derivatives, compound 10 exhibited remarkable antiproliferative activity, notably surpassing the efficacy of melphalan, with IC50 values as low as 1.43 µM against HeLa cells. Mechanistic studies indicated that compound 10 could effectively induce apoptosis and arrest the cell cycle at the G2/M phase in HeLa cells, possibly via disruption of mitochondrial membrane potential. These findings clearly demonstrate that linker length is a crucial determinant of potency, with an optimal three-carbon bridge conferring maximal cytotoxicity. Thus, rational tuning of spacer units is an effective SAR lever in mustard–flavonoid hybrids. The Keglevich group developed a series of flavone–1,2,3-triazole hybrids by coupling chrysin and kaempferol with substituted 1,2,3-triazole moieties via Cu(I)-catalyzed azide-alkyne cycloaddition (Copper-catalyzed click reaction) [43]. These hybrids were synthesized through propargylation followed by Cu catalyst-mediated triazole formation (Scheme 2).
The compounds exhibited promising antiproliferative activities against various human cancer cell lines in the NCI-60 panel. In particular, the bis-substituted chrysin derivatives demonstrated significant anticancer potency, surpassing the efficacy of reference drugs in some cases. Compound 12 showed notable potency with a sub-micromolar IC50 value (0.733 µM) against HeLa cells, suggesting its potential for further optimization as a novel anticancer lead. The comparative data reveal that fluorine substitution strengthens electron-withdrawing interactions and stabilizes binding, whereas nitro groups negatively affect cytotoxic potency. Multiple triazole linkages promote hydrogen bonding and π-stacking, producing consistently higher activity than single-linker derivatives. Copper-catalyzed click reaction was utilized in a study reported by Noole et al., in which a series of novel 1,2,3-triazole derivatives of chrysin were synthesized by linking various aryl and alkyl azides to the 5-position of chrysin through a propargyl ether moiety [44]. The resulting compounds were evaluated for their in vitro anticancer activity against several cell lines. Among them, compound 13 (bearing a phenyl-substituted triazole) exhibited the most potent activity, with IC50 values of 10.8 μM in PC-3 cells and 20.5 μM in MCF-7 cells, outperforming the reference drug doxorubicin in MCF-7 cells. This indicates that aryl substituents on triazole units are more favorable than alkyl analogs for cytotoxic potency, likely due to enhanced π–π stacking and hydrophobic interactions. The click chemistry strategy was also employed in the study reported by Tial et al. [45]. The anticancer activities of the synthesized compounds were evaluated against six cancer cell lines, including MGC-803, BEL-7402, HepG2, HeLa, A549, and SGC-7901. Notably, compounds 14a (bearing a 3-fluorophenyl substituent) and 14b (bearing a 2-chlorophenyl substituent) exhibited superior cytotoxicity against the gastric cancer cell line MGC-803, with IC50 values of 18.40 and 5.92 μM, respectively, which is better than both the parent compound chrysin and the positive control 5-fluorouracil. The results indicate that halogen substituents on the aryl-triazole ring improve activity, with chlorine at the ortho-position being particularly effective. This highlights the importance of electronic effects and positional isomerism in enhancing the potency of triazole-bearing derivatives. Conjugates comprising vindoline and chrysin were reported by the Mayer group, synthesized by coupling vindoline with chrysin via either an amide or ester linkage [46]. The desired hybrid was successfully synthesized by first converting chrysin into a carboxylic acid derivative, then coupling it with 10-aminovindoline. Additionally, another hybrid was prepared by linking chrysin to vindoline at position 17 via a flexible linker. Among the synthesized compounds, hybrid 15 exhibited the most potent anticancer activity, with low micromolar GI50 values against several human cancer cell lines in the NCI60 panel. The hybridization with vindoline markedly boosted potency, suggesting pharmacophore synergy. Flexible linkers appeared to facilitate optimal spatial orientation, improving activity over direct rigid coupling. Xue et al. reported a series of chrysin-1,3,5-triazine derivatives, synthesized via nucleophilic substitution reactions between chrysin and substituted 1,3,5-triazines [47]. 2,4-Dichloro-1,3,5-triazine was first reacted with various amines, followed by coupling of the resulting intermediates with chrysin under basic conditions to yield the target hybrids (Scheme 3).
Among these compounds, derivative 18 exhibited the most potent anticancer activity, particularly against HeLa cervical cancer cells (IC50 = 9.86 ± 0.37 μM), surpassing the activities of both cisplatin (IC50 = 28.09 ± 0.47 μM) and chrysin (IC50 = 29.51 ± 0.51 μM). Compound 17 effectively inhibited the proliferation, invasion, and adhesion of HeLa cells and demonstrated significant tumor growth inhibition in vivo. Substitution with dichloro-1,3,5-triazine rings introduced strong electron-withdrawing effects, enhancing binding affinity and cytotoxicity. Comparative results indicate that increased electronic deficiency at the heteroaryl moiety correlates with superior antiproliferative performance. Similarly, Yu’s group reported the synthesis of a series of chrysin derivatives through nucleophilic substitution reactions between chrysin and dichloropyrimidines [48]. A total of 17 compounds were prepared and evaluated for their antiproliferative activity. Among them, compound 19a exhibited notable cytotoxicity across four cancer cell lines (A549, HepG2, MCF-7, and PC-3), while 19b was the most potent against HCT-116 cells (IC50 = 4.83 µM). Activity differences among the pyrimidine hybrids suggest that specific halogen substitutions and heteroaryl electronic effects govern potency. Compound 19b’s superior activity against HCT-116 highlights the value of precise substituent positioning on the pyrimidine scaffold. In 2020, a series of chrysin amino acid derivatives were synthesized by modifying the 7-hydroxyl group of chrysin with heptanoyl-linked L-amino acids with the aim of enhancing anticancer potency and tumor selectivity [49]. Among the synthesized compounds, 20 (chrysin conjugated with L-isoleucine) showed the most potent antiproliferative activity, especially against the gastric cancer cell line MGC-803, with an IC50 of 24.5 μM—superior to both chrysin and 5-fluorouracil. Conjugation with hydrophobic amino acids improved cell permeability and selectivity. The results emphasize that combining lipophilic linkers with polar amino acid residues can balance solubility and activity to yield enhanced anticancer efficacy. Later, Li et al. synthesized a series of 16 chrysin-based amino acid derivatives by introducing various L-amino acid fragments at the 7-position of chrysin through an alkylation–amidation strategy [50]. The key intermediate, obtained by O-alkylation of chrysin with ethyl 2-bromooctanoate, was hydrolyzed to the corresponding acid and subsequently coupled with different amino acid methyl ester hydrochlorides using EDCI/HOBt coupling. Among the synthesized compounds, 21 (chrysin conjugated with L-leucine methyl ester) exhibited the most potent antiproliferative activity, particularly against MDA-MB-231 and MCF-7 breast cancer cells, showing superior IC50 values compared with 5-fluorouracil. Mechanistic studies demonstrated that 21 induced G2/M phase cell cycle arrest, triggered apoptosis via the mitochondrial pathway, inhibited Akt phosphorylation, and regulated the expression of Bcl-2 and Bax proteins. The study highlights that amino acid side chains contribute to both target interaction and solubility. In particular, leucine methyl ester conjugation enhanced mitochondrial apoptosis, suggesting that hydrophobic side chains improve potency by facilitating intracellular delivery and pathway modulation. Kamloon et al. designed and synthesized a series of 33 chrysin derivatives bearing various substituents—such as alkyl carboxylates, tertiary amines, and alkyl bromides—at the 7- or 5,7-hydroxy groups to enhance antiproliferative activity through putative histone deacetylase (HDAC) inhibition [51]. Guided by molecular docking simulations targeting the HDAC active site, they identified several compounds, notably 22a, 22b, and 22c, that exhibited strong cytotoxicity against HeLa, HCT-116, A549, and MCF-7 cancer cell lines, with IC50 values in the low-to-mid micromolar range. The compound 21a docking and Zn2+ chelation assays revealed favorable binding of these carboxylated derivatives to the catalytic pocket, including key interactions with Zn2+, supporting a potential HDAC-inhibitory mechanism. The results confirm that carboxylated and halogenated substituents enhance HDAC binding by coordinating with Zn2+. The comparative potency of 22ac highlights that chain length and polarity fine-tune cytotoxicity through modulation of active-site interactions. The Ning group reported the design and synthesis of novel chrysin derivatives bearing a 1H-benzimidazole-4-carboxamide pharmacophore at the C-7 position, aiming to enhance inhibitory activity against poly(ADP-ribose) polymerase 1 (PARP1) [52]. Among the synthesized compounds, 23 exhibited the most potent activity, with an IC50 of 108 nmol·L−1 for PARP1 and strong antiproliferative effects against BRCA-deficient breast cancer cell lines (HCC-1937, IC50 = 3.9 µM; MDA-MB-436, IC50 = 4.5 µM). In vivo, 23 significantly reduced tumor growth in xenograft models by downgrading PARP 1 expression. Introduction of a benzimidazole pharmacophore dramatically improved potency by strengthening hydrogen-bonding and π–π interactions with PARP1. This result underlines the utility of heteroaryl pharmacophore fusion for designing highly selective anticancer inhibitors.
Oggero et al. reported PEGylated derivatives of chrysin to improve its poor water solubility while preserving biological activity [53]. Using tosylated methoxy-polyethylene glycols (mPEG, 350–2000 g/mol), they selectively conjugated PEG chains at the C7-OH position. The 500 g/mol PEG conjugate 24b exhibited the greatest solubility enhancement, formed stable nanoaggregates, and retained redox, antimicrobial, and cytotoxic activities. These findings demonstrate that PEG size is a critical determinant of drug-like optimization, with low-molecular-weight PEGylation offering a favorable balance of solubility and potency. Kulhari et al. developed PEGylated chrysin nanoparticles (PCNPs) 25 using PEG4000 with pH-sensitive linkers (succinoyl, cis-aconityl) [54]. These conjugates self-assembled into nanoparticles and released chrysin preferentially under acidic tumor microenvironments. Notably, the cis-aconityl system (PCNP-2) exhibited superior pH-triggered release and anticancer efficacy compared with both free chrysin and PCNP-1. These results demonstrated the importance of linker chemistry in controlling nanoparticle behavior and therapeutic performance.
In comparison to other delivery systems, PEG conjugation provides predictable improvements in aqueous solubility, stability, and circulation, with relatively simple chemistry. Micelles afford high encapsulation efficiency but often suffer from dilution-induced instability under physiological conditions [55]. Liposomes, validated in several clinical formulations, offer biocompatible encapsulation and targeted delivery [56]. Polymeric carriers such as PLGA nanoparticles enable sustained release and tunable pharmacokinetics, though concerns remain regarding degradation and clearance [57]. Collectively, PEGylation represents a straightforward and effective strategy, while micelles, liposomes, and polymeric nanoparticles serve as complementary but more complex alternatives for enhancing the therapeutic potential of chrysin derivatives. A comprehensive review of the recent advancements in flavonoid-based nanodelivery systems has recently been reported [58].
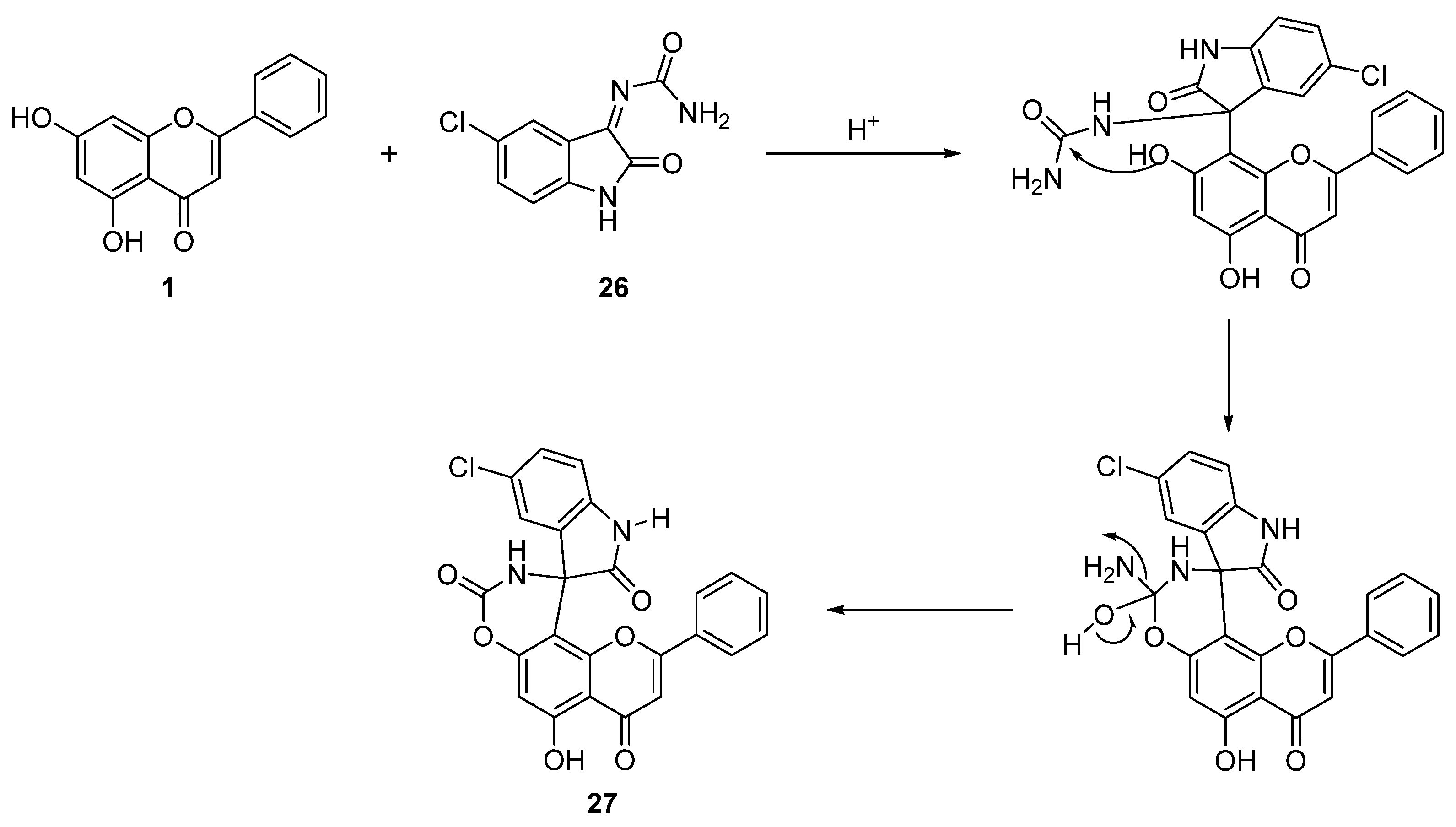
The Balaji group synthesized thirty spirooxindole carbamate derivatives of flavonoids (chrysin, oroxylin A, baicalein) via a one-pot three-component reaction using isatin, urea, and flavonoids, proceeding through Knoevenagel condensation and cyclization [59].
Scheme 4 shows the plausible reaction mechanism for the formation of spirooxindole carbamate derivatives. Among them, chrysin-based compound 27 showed the most potent anticancer activity, with an IC50 of 2.50 ± 0.25 μM against HepG2 cells. It induced significant early apoptosis, reduced CD133+ cancer stem-like cells, and inhibited tumorsphere formation. Docking studies revealed strong interaction with CD133 (−10.2 kcal/mol), and in vivo xenograft studies confirmed its tumor growth suppression. The spirooxindole carbamate scaffold provided a rigid three-dimensional pharmacophore that enhanced CD133 binding and stemness inhibition. The carbamate group contributed to stability and apoptosis induction, demonstrating the advantage of heterocyclic fusion for targeting cancer stem-like cells. A chrysin thiazole derivative 28 was synthesized and identified as a potential toll-like receptor 4 (TLR4) ligand capable of reprogramming tumor-associated macrophages (TAMs) toward the anti-tumorigenic M1 phenotype [60]. Compound 28 activated the TLR4/NF-κB signaling pathway, promoted NF-κB/p65 nuclear translocation, and enhanced the release of pro-inflammatory cytokines. It also triggered type I interferon signaling, increasing IFN-α, IFN-β, and target genes NOS2, MCP-1, and IP-10 in macrophages. These effects were abolished in TLR4/ macrophages generated using CRISPR/Cas9, confirming TLR4 dependence. Molecular docking further supported 28 as a TLR4-binding ligand, suggesting its potential as a lead compound for cancer therapy. Incorporation of a thiazole moiety at the 7-position enabled direct TLR4 engagement, transforming chrysin into an immunomodulatory scaffold. The electron-rich heteroaryl group facilitated receptor binding, linking structural modification to macrophage reprogramming and antitumor immunity. The carbonyl group of chrysin is known to react with nitrogen-containing strong nucleophiles to form imine (C=N) linkages. A green synthetic approach was employed to develop chrysin hydrazone derivatives by condensing chrysin with various aryl hydrazines under solvent-free conditions using the ionic liquid [Et3NH][HSO4] as a catalyst [61]. Structural diversity was achieved by introducing different electron-donating and electron-withdrawing substituents on the phenylhydrazine moiety. Among them, 29a (2-methoxyphenyl hydrazone) showed the most potent cytotoxicity against MCF-7 cells (IC50 = 101.44 µM), while 29b (4-methoxyphenyl hydrazone) was most effective against HepG2 cells (IC50 = 166.19 µM), both outperforming chrysin itself. The position of methoxy substitution influenced cytotoxicity, suggesting that electron-donating groups at ortho or para positions can modestly enhance efficacy. Nevertheless, overall activity remained low, indicating that hydrazone linkages are less effective in generating potent anticancer derivatives.
The incorporation of chrysin into organometallic complexes is a promising strategy for enhancing its therapeutic potential. Metal coordination has been shown to enhance lipophilicity, redox properties, and electronic distribution [35,36]. This, in turn, has been demonstrated to increase membrane permeability, metabolic stability, and target affinity. These hybrids frequently exhibit multi-mechanistic anticancer activity with notably lower IC50 values and greater selectivity compared with free chrysin. Organometallic scaffolds have been shown to exert therapeutic effects through enhanced target binding and cross-linking, induction of reactive oxygen species, mitochondrial dysfunction, and cell cycle arrest. These effects have been widely observed in platinum, ruthenium, copper, and other transition-metal complexes [62,63]. The choice of metal center and ligands allows for precise modulation of potency, selectivity, and mechanism of action. This provides a versatile platform for the development of novel therapeutic agents. A representative example is provided by Break et al., who reported a novel chrysin–ferrocene Schiff base 30 synthesized by condensation with aminoferrocene [64]. The chrysin–ferrocene conjugate 30 displayed potent cytotoxicity against HepG2, HCT-116, and A549 cancer cells (IC50 ≈ 3 µM) with ~5-fold selectivity over normal MRC5 cells, inducing G1-phase cell-cycle arrest and caspase-dependent apoptosis. It also inhibited topoisomerase II comparably to etoposide, while in silico studies highlighted the critical role of the ferrocenyl moiety in drug-like interactions. The ferrocene unit acted as a redox-active pharmacophore, boosting ROS generation and Topo II inhibition. This illustrates how organometallic conjugation can synergize with the flavonoid scaffold to yield multi-targeted cytotoxicity with improved selectivity. In another study, Alem et al. synthesized and structurally characterized two novel heteroleptic Cr(III) complexes incorporating the natural flavonoid chrysin: 31, a 1,10-phenanthroline–chrysin complex and 32, a metformin–chrysin complex [65]. The complexes were prepared by reacting Cr(III) salts with chrysin and the respective co-ligands, and their structures were confirmed via spectroscopic analyses and single-crystal X-ray diffraction. Both complexes were evaluated for their anticancer properties and demonstrated higher cytotoxicity against human cancer cell lines (including MCF-7 and HeLa) compared with free chrysin, with 31 showing the strongest activity. Coordination with Cr(III) enhanced lipophilicity and electronic tuning, while the phenanthroline co-ligand provided superior binding and cytotoxicity compared with metformin. These findings confirm that ligand environment critically modulates metal–chrysin activity. Manzano et al. reported the synthesis of a series of half-sandwich Ru(II), Rh(III), and Ir(III) complexes incorporating O-alkylated chrysin ligands coordinated to η5-Cp metal fragments 33a-c [66]. The resulting complexes exhibited potent cytotoxicity, particularly those containing Ir(III), which showed low-micromolar IC50 values against A2780, MCF-7, and HeLa cells, along with markedly higher selectivity over normal human dermal fibroblasts. Mechanistic studies indicated apoptosis via mitochondrial depolarization, ROS generation, and caspase activation. The comparative data emphasize that Ir(III) confers the greatest potency among the half-sandwich complexes, correlating with strong ROS induction and mitochondrial targeting. Additionally, variation in O-alkyl substituents modulated activity, showing that both the metal identity and organic ligand govern efficacy. Huang et al. developed a chrysin-derived difluoroboron complex 34 as the first example of a natural chrysin-based anion receptor [67]. In addition to its selective recognition of F, H2PO4, and AcO anions, Ch-FB displayed enhanced anticancer activity compared with the parent flavonoid. In vitro assays revealed that 34 inhibited the growth of MCF-7 and SKOV3 cells, with IC50 values of 29.7 μM and 31.9 μM, respectively, more than twofold improvement over chrysin. Coordination with difluoroboron altered electronic distribution and molecular planarity, strengthening interactions with cellular targets. This modification doubled cytotoxic potency, indicating that boron coordination chemistry can be exploited to improve the therapeutic profile of flavonoids.

3.2. Anti-Inflammatory Activity

New chrysin derivatives were synthesized by the Jeon group using a Claisen rearrangement strategy to explore their anti-inflammatory potential [68]. Allyl or prenyl substituents introduced at the 5-hydroxyl group underwent thermally induced Claisen rearrangement, affording the C-6 isomer 36 from the allyl intermediate 35 and the C-8 isomer 39 via an initial C-6 shift from the prenyl analog 38 (Scheme 5). Further dihydroxylation, oxidative cleavage, and reduction converted 36 and 39 into primary alcohols 41 and 43, followed by MOM deprotection to afford derivatives 37, 40, 42, and 44 (Scheme 6). Among them, 40 and 42 showed the most potent Cyclooxygenase-2 (COX-2) inhibition (IC50 = 6.76 and 9.63 μM), surpassing chrysin (18.48 μM), and effectively reduced IL-6, TNF-α, and PGE2 levels in Lipopolysaccharide (LPS)-stimulated RAW264.7 cells. Molecular docking confirmed their strong COX-2 binding through hydrogen bonding and hydrophobic interactions, indicating that C-6/C-8 rearrangement followed by oxidation extends hydrophobic interactions and improves COX-2 selectivity and anti-inflammatory efficacy.
Lin et al. synthesized a series of sulfonylated chrysin derivatives by introducing various substituted aryls on the 7-(2-aminoethoxy) position of chrysin [69]. Among them, compound 45 exhibited the most potent activity, significantly inhibiting LPS-induced NO, TNF-α, IL-6, and IL-17A production in RAW264.7 macrophages and HaCaT keratinocytes, with an IC50 of 8.0 μM, outperforming chrysin (31.7 μM) and dexamethasone (19.5 μM). In an imiquimod-induced psoriasis model, 45 effectively reduced epidermal thickening and inflammatory cytokine expression via NF-κB and STAT3 modulation, underscoring its therapeutic potential in psoriasis-related skin inflammation. Collectively, bulky arylsulfonyl groups at C-7 improved potency, likely by introducing polar pharmacophores that favor target engagement and downstream NF-κB/STAT3 inhibition. In an effort to enhance the therapeutic potential of chrysin for inflammatory bowel disease (IBD), Zhao et al. designed and synthesized a series of chrysin derivatives incorporating α-lipoic acid (α-LA) via pharmacophore fusion using various linkers [70]. Among them, compound 46—bearing a piperazine moiety—exhibited the most potent biological activity, significantly inhibiting TNF-α-induced monocyte adhesion to colon epithelial cells (IC50 = 4.71 μM), with superior potency compared with chrysin (>30 μM) and α-LA (12.7 μM). Mechanistic studies revealed that 46 suppressed ICAM-1 and MCP-1 expression, reduced ROS production, and inhibited NF-κB transcriptional activity in vitro. In a TNBS-induced colitis rat model, oral administration of 46 markedly attenuated disease symptoms and lowered pro-inflammatory cytokines (IL-6, IL-1β, TNF-α) by downregulating JAK2/STAT3 signaling. Fusion with α-lipoic acid, especially via a piperazine linker, significantly improved both anti-inflammatory potency and in vivo efficacy. This suggests that dual-pharmacophore hybrids can synergize to block multiple inflammatory pathways. Ávila-Román et al. synthesized two derivatives of chrysin-8-C-glucoside, 47a and 47b, to enhance stability and uptake [71]. Starting from chrysin-8-C-glucoside, extracted from M. rosei, they synthesized 47a and 47b through preacetylation and carbonylation, respectively. Both compounds significantly reduced ROS production and suppressed TNF-α, IL-1β, and COX-2 expression in LPS-stimulated THP-1 macrophages. Mechanistic studies revealed activation of the Keap1/Nrf2/HO-1 pathway, with compound 47a showing the strongest activity, highlighting their dual anti-inflammatory and antioxidant potentials. Substitution at the C-8 glucoside with acetyl or carbonate groups enhanced stability and Nrf2 pathway activation. Acetylation, in particular, provided the best activity, linking improved metabolic stability to stronger dual antioxidant/anti-inflammatory effects. The Byun group successfully synthesized novel chrysin derivatives 44 and 48 through radiation chemistry by γ-irradiating a methanol solution of chrysin at 100 kGy using a cobalt-60 source (Scheme 7). As reported, one of the products, 48, alleviated skin lesions and reduced inflammatory cytokines in a mouse model of atopic dermatitis, demonstrating in vivo anti-inflammatory efficacy [72]. Subsequent studies revealed that 44 exerted potent anti-inflammatory effects in LPS-stimulated RAW264.7 macrophages by upregulating Toll-interacting protein (Tollip), which suppressed NF-κB and MAPK activation and decreased TNF-α, IL-6, and NO production [73]. Moreover, 44 enhanced the expression of negative regulators such as TNFAIP3, contributing to the resolution of inflammation. Importantly, in vivo administration of 44 protected mice from endotoxin-induced lethal shock by reducing systemic cytokine levels and neutrophil infiltration, confirming its therapeutic potential against excessive inflammatory responses [74]. Radiation-driven structural rearrangements yielded unique derivatives with strong immunoregulatory capacity. Upregulation of Tollip and negative regulators illustrates that such non-classical modifications can produce compounds with distinct anti-inflammatory mechanisms compared with conventional substitutions.

3.3. Anti-Microbial Activity

Chrysin-based pyrimidine–piperazine hybrids have been developed as promising antimicrobial agents and systematically evaluated against a broad panel of pathogens [75]. Among several synthesized products, 49a and 49b exhibited the strongest antibacterial effects against Escherichia coli (E. coli) (MIC 6.25 and 12.5 µg/mL, respectively), which were better than standard antibiotics such as ampicillin, chloramphenicol, and ciprofloxacin. In addition, some derivatives demonstrated superior antifungal activity against Candida albicans (C. albicans) compared with griseofulvin. Structure–activity relationship analysis highlighted the importance of electron-withdrawing substituents and free phenolic hydroxyl groups for enhancing potency. Consistent with these findings, molecular docking revealed favorable binding of the active compounds to E. coli DNA gyrase (PDB ID: 1KZN) and C. albicans CYP51 (PDB ID: 5V5Z), with 49b displaying the strongest binding affinities, respectively. Incorporation of piperazine with electron-withdrawing groups improved bacterial enzyme binding and potency. Retaining free phenolic hydroxyls was also essential, underscoring their role in stabilizing target interactions. Bhowmik et al. synthesized twenty-two novel chrysin derivatives through 7-OH functionalization, employing two synthetic strategies: a click reaction and condensation with various α-chloroacetamide derivatives [76]. These compounds were evaluated for antimicrobial and antibiofilm activity against E. coli MTCC 40. Among them, 50a, 50b, 50c, and 51 exhibited the most potent effects, achieving over 92% biofilm inhibition at sub-MIC concentrations (93.57%, 92.14%, 92.14%, and 93.57%, respectively), exceeding that of chrysin (33.57%). In addition, these derivatives markedly suppressed E. coli motility and demonstrated improved dissolution profiles and higher bioavailability compared with chrysin. Introduction of triazole and α-chloroacetamide linkers at the 7-position strongly enhanced antibiofilm activity. Improved solubility and dissolution indicate that physicochemical optimization is tightly linked to antimicrobial efficacy. Xia et al. synthesized three xanthone and three flavone derivatives to evaluate their quorum-sensing inhibition in Pseudomonas aeruginosa (P. aeruginosa) [77]. The chrysin-derived phosphate ester 52 was the most active, with 100 μM significantly suppressing LasR-regulated virulence factors, including LasA protease (decreased by 18.8%), pyocyanin (decreased by 63.8%), and LasB elastase (decreased by 42.2%), along with inhibition of biofilm formation and bacterial motility. Molecular docking revealed that its phosphoramidate group interacts with Tyr47 in the LasR L3 loop, disrupting dimer stability and promoting DNA dissociation. Phosphate esterification introduced strong polar interactions, disrupting LasR signaling and quorum sensing. This highlights that polar substituents at C-7 can convert chrysin into an effective antivirulence agent. Ramesh et al. synthesized a series of C7-modified chrysin analogs through epoxide formation at the 7-OH position, followed by ring-opening with various secondary amines [78]. The resulting compounds were evaluated for in vitro antimicrobial activity against Gram-positive and Gram-negative bacteria, as well as fungi. Among them, 53 exhibited the most potent antibacterial and antifungal activity, with zones of inhibition >20 mm and MIC values of 4.68–9.37 μg/mL, while several others showed moderate effects. Molecular docking studies against E. coli FabH (PDB ID: 1HNJ) and Saccharomyces cerevisiae (S. cerevisiae) (PDB ID: 5EQB) supported the experimental findings, with binding scores correlating to the observed antimicrobial activity. Epoxide opening with bulky secondary amines produced derivatives with an enhanced spectrum of activities. Structural flexibility at the 7-position enabled stronger FabH and fungal enzyme inhibition. Kumari et al. synthesized a series of 7-O-piperazine-substituted chrysin analogs and evaluated their antibacterial activities against two Gram-positive strains, Streptococcus pyogenes (S. pyogenes) and Staphylococcus aureus (S. aureus), as well as two Gram-negative strains, E. coli and P. aeruginosa [79]. Among them, compound 54a showed strong activity against S. pyogenes (MIC 12.5 µg/mL), while 54b was highly active against E. coli (MIC 12.5 µg/mL). In contrast, 54c exhibited moderate antibacterial activity (MIC 125 µg/mL) but showed the highest docking affinities toward S. aureus TyrRS (−6.806 kcal/mol) and E. coli DNA GyrB (−7.129 kcal/mol). Piperazine substitution significantly enhanced antibacterial potency, though activity varied by bacterial strain. Docking results suggest that affinity for TyrRS and GyrB does not always directly translate to MIC potency, indicating complex SAR. Omonga et al. developed a novel synthetic method, including microwave-assisted O-alkylation, to prepare a series of chrysin derivatives [80]. Among them, the dinitrophenyl-substituted analog 55 exhibited the most potent antibacterial activity, with MIC values ranging from 25 to 62.5 µg/mL against multiple strains, including methicillin-resistant S. aureus, P. aeruginosa, Klebsiella pneumoniae (K. pneumoniae), E. coli, and E. faecalis. Compared with chrysin, compound 55 demonstrated up to a 20-fold increase in activity, demonstrating the impact of nitro substitution on antibacterial potency. Introduction of a strongly electron-withdrawing dinitrophenyl group markedly boosted antibacterial potency, particularly against resistant strains. This suggests that nitroaromatic substitution can serve as a key driver of activity enhancement.

3.4. Antioxidant Activity

The Gençkal group reported heteroleptic Cu(II) complexes incorporating 2,2′-bipyridine or substituted 1,10-phenanthrolines [81]. 2,2′-azino-bis(3-ethylbenzothiazoline-6-sulfonic acid) (ABTS) assays revealed that all Cu(II)–chrysin complexes exhibited significantly higher antioxidant capacities than free chrysin. The bathophenanthroline-containing complex 56 showed the highest activity, likely due to enhanced hydrogen atom transfer efficiency after complexation. Metal coordination with electron-rich ligands enhanced radical scavenging capacity. In particular, bulky phenanthroline derivatives improved hydrogen atom transfer, correlating ligand electronics with superior antioxidant effects. Yang et al. utilized the intrinsic antioxidant property of chrysin to develop multifunctional anti-Alzheimer’s agents [82]. Several chloroethylamines were reacted with the 7-hydroxyl group of chrysin to form ether linkages, and the products were chelated with CuCl2 to yield mononuclear complexes. The derivatives and their Cu(II) complexes exhibited strong antioxidant activity and selective butyrylcholinesterase inhibition with submicromolar IC50 values for both Acetylcholinesterase (AChE) and Butyrylcholinesterase (BuChE). They also effectively inhibited Aβ1–42 aggregation, particularly in the Cu2+-induced mode. With low cytotoxicity and favorable in silico predictions for BBB penetration and oral bioavailability, compound 57 was identified as a promising lead for further anti-AD drug development. Introduction of ether linkers and Cu(II) chelation enhanced both antioxidant and anti-amyloid properties. Mononuclear complexes outperformed monomers, indicating that multivalent binding motifs are advantageous for multifunctional AD leads. Liu et al. synthesized novel chrysin carbamate derivatives by reacting the 5- and 7-hydroxyl groups of chrysin with four different carbamyl chlorides [83]. The piperidine-containing analog 58 showed potent butyrylcholinesterase inhibition (IC50 = 0.0353 ± 0.0011 µM), with over 1000-fold selectivity over acetylcholinesterase. It also exhibited strong hydroxyl and superoxide radical scavenging activity and was able to release free chrysin via BuChE-mediated hydrolysis, which chelated Cu2+ and Fe2+ and more effectively inhibited Aβ1–42 fibril formation. Given that oxidative stress contributes to neuronal damage and Aβ aggregation in Alzheimer’s disease, the antioxidant property supports its potential as a multifunctional lead for AD therapy. Carbamate substitution at 5,7-positions conferred high BuChE selectivity and radical scavenging ability. The piperidine carbamate further enabled prodrug-like release of chrysin, coupling antioxidant and anti-amyloid effects. Later, the same group reported a protonated chrysin derivative complexed with Cu(II) [84]. Compound 59 exhibited enhanced antioxidant activity along with potent inhibition of Aβ1–42 aggregation and cholinesterase. Single-crystal X-ray analysis further provided structural insights, thereby validating its potential as a multi-target anti-AD agent. Protonation improved chelation with Cu(II), stabilizing radical scavenging and Aβ-binding interactions. The crystallographic data highlight how subtle protonation and coordination changes can fine-tune multi-target activity. Recently, the Byun group has utilized hydroxyethylated chrysin 44, a γ-irradiation-derived chrysin derivative [85]. In antioxidant assays, HE-chrysin showed higher activity than chrysin in 2,2-diphenyl-1-picrylhydrazyl (DPPH), ABTS, and Ferric Reducing Antioxidant Power (FRAP). At 2.5 μM in B16F10 cells, it reduced H2O2-induced ROS and suppressed IBMX-stimulated melanin production by inhibiting tyrosinase activity and downregulating TRP-1/2 expression, without cytotoxicity. In silico docking revealed stronger binding to tyrosinase (ΔGbind = −7.00 kcal/mol) than chrysin (−6.39) or arbutin (−5.12) through H-bonds with Glu256 and Asn260 and Cu metal chelation. Hydroxyethyl substitution increased both radical scavenging and tyrosinase inhibition. Radiation-derived modification enhanced binding affinity, illustrating that minor hydroxylation changes can markedly elevate antioxidant and antimelanogenic effects.

3.5. Anti-Diabetic Activity

Zhang et al. reported the design, synthesis, and mechanistic evaluation of 1-deoxynojirimycin–chrysin conjugates for managing type 2 diabetes [86]. The derivatives were synthesized by first introducing bromoalkyl linkers of varying lengths at the 7-position of chrysin, followed by substitution with 1-deoxynojirimycin. Among the synthesized derivatives, compound 60 exhibited the highest lipophilicity and demonstrated exceptional α-glucosidase inhibitory activity (IC50 = 0.51 ± 0.02 µM), approximately 16-fold stronger than 1-deoxynojirimycin. Kinetic and docking studies indicated reversible, mixed-type inhibition with strong binding to the catalytic site through hydrogen bonding and hydrophobic interactions. Linker length and lipophilicity played critical roles, with longer alkyl linkers improving catalytic site interactions. Hybridization with 1-deoxynojirimycin significantly enhanced potency compared with either pharmacophore alone. The Chavasiri group reported the design and synthesis of twenty-three chrysin derivatives via alkylation and bromination reactions [87]. Most derivatives exhibited stronger α-glucosidase inhibitory activity than acarbose. Among them, compounds 61a, 61b, and 62 showed remarkable potency with IC50 values of 0.08, 3.47, and 2.97 μM, respectively. Enzyme kinetics analysis revealed that 61a functioned as a competitive inhibitor, while 61b and 62 displayed mixed-type inhibition. The introduction of brominated substituents boosted α-glucosidase inhibition. The comparison of 61a versus 61b/62 illustrates that competitive versus mixed inhibition modes can be tuned by structural variation. The Noh group developed 7-prenylated chrysin derivatives, including chrysin 5-benzyl-7-prenylether (compound 63a) and chrysin 5,7-diprenylether (compound 63b), which exhibited improved pharmacological profiles compared with chrysin [88]. Both compounds induced adiponectin secretion in adipogenic human bone marrow mesenchymal stem cells, with compound 63b showing Peroxisome Proliferator-Activated Receptor gamma (PPARγ) binding affinity comparable to that of pioglitazone and telmisartan. Nuclear receptor binding and ligand-induced coactivator recruitment assays confirmed their role as PPARγ partial agonists. Molecular docking simulations further supported this, revealing interactions within the PPARγ ligand-binding domain consistent with partial agonist activity. Prenylation at the 7-position enhanced hydrophobic interactions and nuclear receptor engagement. The diprenylated analog 63b showed the strongest PPARγ activity, indicating that multiple prenyl units improve binding affinity and agonist efficacy.

3.6. Other Activities

The recent study by the Chavasiri group investigated methoxylated derivatives of chrysin and quercetin for their melanogenesis-stimulating effects [89]. Among more than twenty synthesized flavonoids, 5,7-dimethoxychrysin emerged as the most active chrysin derivative, while 3,3′,4′,5,7-pentamethoxyquercetin was the most potent quercetin derivative, both significantly enhancing melanin production without cytotoxicity. Methoxylation at 5,7 on the A-ring and 3′,4′ on the B-ring was key to promoting melanogenesis, highlighting how substitution patterns modulate pigment-related bioactivity; such methoxy substitution may also improve metabolic stability. A novel chrysin prodrug 65 was synthesized by introducing a hydrophilic group at the 7-hydroxyl position to improve water solubility and prevent rapid phase II metabolism [90]. Compound 65 reduced lipid accumulation, cellular damage, and oxidative stress in non-alcoholic fatty liver disease (NAFLD) model cells, while in db/db mice, it alleviated hyperlipidemia, liver injury, body and liver weight gain, and insulin resistance. Proteomic analysis indicated upregulation of lipid-catabolic and energy-metabolism proteins, and pharmacokinetic studies showed increased oral exposure relative to chrysin. Collectively, these data indicate that hydrophilic 7-O masking improves solubility and reduces rapid phase II conjugation, thereby translating into better pharmacokinetics and efficacy. Falbo et al. explored structural modifications of chrysin to develop novel vascular CaV1.2 channel blockers [91]. Four derivatives, 66a–d, were synthesized by alkylation and electrophilic aromatic substitution and evaluated using functional assays, electrophysiology, and molecular docking. Methylation of the 5- and 7-hydroxyl groups markedly reduced Ca2+ antagonistic potency, while C-8 nitro and amino derivatives retained similar biophysical properties to chrysin and, like nicardipine, bound with high affinity to and stabilized the CaV1.2 channel in its inactivated state. The vasorelaxant effects of these derivatives were vessel-specific, suggesting potential for tailoring chrysin-based scaffolds toward different vascular targets. Free hydroxyl groups at positions 5 and 7 were crucial for CaV1.2 channel modulation. Nitro and amino substitution at C-8 maintained potency, showing that electronic modification can adjust vascular selectivity without loss of core activity.

3.7. Promising Chrysin Derivatives Across Therapeutic Domains

A subset of chrysin derivatives can be distinguished as particularly promising scaffolds when evaluated against three rigorous criteria: (i) potency markedly exceeding that of the parent compound, (ii) mechanistic plausibility supported by structure–activity relationships, and (iii) demonstration of efficacy in relevant in vivo models.
In the anticancer domain, the benzimidazole pharmacophore 23 exhibited nanomolar PARP1 inhibition, with binding interactions corroborated by π–π stacking and hydrogen bond analyses. Its therapeutic potential was further established through significant tumor growth suppression in breast cancer xenografts. The spirooxindole carbamate 27 also met these criteria. It showed sub-micromolar cytotoxicity, selective inhibition of CD133+ cancer stem-like cells, and induction of apoptosis. The rigid heteroaryl–carbamate framework provided a clear mechanistic rationale, and in vivo studies in HepG2 xenografts confirmed its antitumor activity. In the anti-inflammatory domain, the sulfonyl derivative 45 suppressed NF-κB and STAT3 signaling more effectively than chrysin. The electron-withdrawing sulfonyl group accounted for this effect, and psoriasis models verified its in vivo efficacy. In addition, the α-lipoic acid conjugate 46 combined the flavone core with a redox-active moiety, which enhanced both antioxidant and anti-inflammatory properties. A TNBS-induced colitis rat model confirmed its therapeutic relevance. The hydroxyethyl-substituted derivative 44 can form either through radiation of chrysin or through conventional synthesis (Scheme 5 and Scheme 6). It induced tolerogenic properties in LPS-stimulated dendritic cells, demonstrating its potential as an immunomodulatory scaffold. Moreover, compound 48 upregulated Toll-interacting protein expression in LPS-stimulated macrophages and protected mice from endotoxin-induced lethal shock. These results also highlighted its in vivo relevance as an anti-inflammatory agent. In the metabolic domain, 7-OH acylated derivative 65 exemplifies the utility of prodrug strategies. It improved aqueous solubility and metabolic stability, which addressed a key limitation of chrysin. In vivo studies in db/db mice demonstrated attenuation of hepatic steatosis and significant improvement in NAFLD-related endpoints, thereby validating this scaffold for metabolic disorders. Based on these criteria, compounds 23, 27, 44, 45, 46, 48, and 65 can be regarded as priority scaffolds with strong potential for preclinical development. Their selection reflects an integrated assessment of potency, mechanistic foundation, and translational evidence; they are marked with † in Table 1 and Table 2 for clarity.

4. Research Progress on the Synthesis of Chrysin Derivatives

The diverse pharmacological activities of chrysin derivatives are closely linked to the breadth of synthetic methodologies developed over the past few decades. In particular, the ability to modify hydroxyl groups and expand the flavone core has enabled the generation of novel derivatives with improved potency and selectivity. Traditional modifications of chrysin have predominantly targeted O-functionalization at the 5- and 7-hydroxyl groups, but this strategy inherently restricts structural diversity. To overcome these limitations and expand the accessible chemical space, alternative synthetic methodologies have been developed that allow direct functionalization at carbon positions of the flavone backbone. These approaches have facilitated the preparation of structurally novel derivatives with potentially enhanced or diversified biological activities. In this section, we highlight such methodologies, with particular emphasis on C–C bond-forming strategies, utilizing transition-metal-catalyzed coupling reactions.

C-C Bond Formation via Transition-Metal-Mediated Coupling Reactions

One of the most widely used strategies for constructing new flavonoid derivatives via direct carbon–carbon (C–C) bond formation is transition-metal-catalyzed cross-coupling reactions, including Ullmann [92], Suzuki–Miyaura [93,94], Stille [95], and Sonogashira reactions [96]. Ullmann reaction, catalyzed by copper, enables the coupling of aryl iodides and has been effectively employed for the dimerization of iodinated flavonoid intermediates. A representative example is the synthesis of the biflavonoid ginkgetin (Scheme 8). In this process, compounds 67 and 68 undergo coupling under high-temperature conditions with copper powder to afford 69, and subsequent debenzylation yields ginkgetin [97,98]. The Ullmann reaction offers a simple and efficient route for generating bis-flavonoid scaffolds; however, it generally requires elevated temperatures and activated copper, often leading to undesired side products that complicate purification and reduce overall yield.
The Suzuki–Miyaura reaction, a palladium-catalyzed cross-coupling between aryl halides and aryl boronates, is widely recognized for its robustness, selectivity, and broad functional group tolerance under mild conditions. For application to chrysin derivatives, halogenated and boronate-substituted intermediates must first be prepared (Scheme 9), which can then undergo palladium-catalyzed coupling to form new C–C bonds in a chemoselective and regioselective manner. This strategy substantially expands the accessible chemical space of chrysin derivatives. Kim et al. employed this methodology to synthesize biflavone 72 from the 6-iodinated chrysin intermediate 70 and the boronate-substituted flavone 71 (Scheme 9) [99]. Next, deprotection of O-methyl groups using BBr3 provided the final product 73. This compound exhibited pronounced anti-inflammatory activity, strongly inhibiting COX-2-mediated PGE2 production (IC50 = 0.11 μM, ~38-fold more potent than the parent structure) without altering COX-2 expression. It also reduced NO production (46.9% at 50 μM) and demonstrated significant in vivo efficacy, attenuating carrageenan-induced paw edema and acetic acid-induced pain in mice.
Subsequently, the same group extended this strategy to the synthesis of 8-aryl-substituted chrysin derivatives by coupling the 8-iodoflavone intermediate 74 with various boronic acids under Pd(PPh3)4/K2CO3 conditions (Scheme 10) [100]. Among the synthesized products, 5,7-dihydroxy-8-(pyridin-4-yl)chrysin 76 displayed markedly improved activity over chrysin, significantly inhibiting COX-2-mediated PGE2 production and inducible nitric oxide synthase (iNOS)-dependent NO release in LPS-stimulated RAW 264.7 cells at 10 μM. Detailed evaluation revealed IC50 values of 6.2 μM (PGE2) and 22.6 μM (NO), together with potent suppression of the pro-inflammatory cytokines TNF-α and IL-6 (10–50 μM) [101]. In vivo, compound 76 reduced λ-carrageenan-induced paw edema (25.2–44.3% inhibition at 10–100 mg/kg) and attenuated collagen-induced arthritis at 50 mg/kg, suggesting its potential as a novel anti-inflammatory candidate.
In 2022, Křen et al. reported the synthesis of diverse unnatural flavonoid derivatives via the Suzuki–Miyaura cross-coupling reaction [102]. Specifically, halogenated flavonol intermediate 77 was coupled with aryl boronic acid 78 to generate structurally novel products (Scheme 11). The authors also optimized borylation conditions for halogenated flavonols, affording the borylated intermediate 81, which was subsequently employed in cross-coupling with brominated flavones to access a broad array of unnatural flavone scaffolds (Scheme 11).
Recently, da Silva et al. reported a chemoselective strategy for synthesizing aryl-substituted flavones from chrysin using transition-metal-catalyzed reactions, enabling aryl substitutions at positions 5, 5,8, 5,6, and 5,6,7 [103]. A key feature of this approach is the site-selective functionalization of the flavone backbone, dictated by the choice of catalyst and reaction conditions. As shown in Scheme 12, chrysin was first modified by tosylation and methylation at the 7- and 5-hydroxy groups, followed by iodination at C-9 to give the intermediate 83. Subsequent cross-coupling reactions catalyzed by palladium, nickel, or ruthenium selectively introduced aryl groups at the 9-, 7-, or 6-positions, respectively. Compound 89 was obtained as the final product through a sequence of three successive transition-metal-catalyzed cross-coupling reactions. Owing to the ready availability of chrysin and the operational simplicity of these transformations, this methodology expands the synthetic accessibility of structurally diverse chrysin derivatives. Notably, however, the biological activities of these new derivatives were not reported.
Stille coupling, another palladium-catalyzed cross-coupling reaction, has been less frequently applied to flavonoid synthesis than the Suzuki–Miyaura methodology. This transformation typically couples flavonoid triflates 90 with organostannane reagents in the presence of a palladium catalyst and base. Using distannane reagents, symmetrical bis-flavone derivatives can be obtained, as exemplified by the synthesis of the unnatural 7,7″-bis-chrysin dimer 91 (Scheme 13) [104].
Sonogashira coupling, which employs palladium and copper co-catalysts, has also been applied to the synthesis of novel flavone derivatives from iodinated flavones. Deodhar et al. reported the preparation of a range of bi-isoflavones and bisflavones through this strategy (Scheme 14) [97]. Iodinated compound 67 reacted with ethynyltrimethylsilane in the presence of palladium and copper catalysts to afford product 92. Unlike other cross-coupling methods, the Sonogashira reaction does not generate direct C–C linkages within the flavone backbone; rather, it introduces an alkyne moiety as a linker between flavone units, thereby affording structurally distinct flavonoid architectures.
Ridiculuflavone A and I3,II8-bis-apigenin were synthesized using the Sonogashira coupling strategy [105]. In this study, direct Suzuki–Miyaura coupling of two flavone units was unsuccessful, but coupling of an iodinated flavone derivative 93 with a phenylacetylene 94 via the Sonogashira reaction yielded an alkyne-containing intermediate 95 (Scheme 15). Subsequent oxidative cyclization catalyzed by rhodium in the presence of 2-hydroxy-4,6-diisopropoxybenzaldehyde and 1,2,3,4-tetraphenyl-1,3-cyclopentadiene yielded a new flavone product 96. Final demethylation with BBr3 yielded ridiculuflavone A 97. This synthetic route is distinct from traditional methods in that it employs Sonogashira coupling to generate an alkyne precursor, followed by oxidative cyclization, rather than forming a C–C bond between two flavone moieties.

5. Perspective

Over the past few decades, significant progress has been made in the synthesis and biological evaluation of chrysin derivatives. A wide spectrum of structural modifications has been reported, many of which confer enhanced pharmacological properties compared with the parent compound. These advances clearly highlight the potential of chrysin as a versatile scaffold for drug discovery and functional material development. From a synthetic standpoint, diverse methodologies—including etherification, esterification, sigmatropic rearrangements, and condensation—have been widely employed, while the advent of transition-metal-catalyzed reactions has been particularly transformative. These approaches enable the construction of C–C bonds at positions on the flavone core that are inaccessible through traditional transformations, thereby opening new chemical spaces for chrysin-based analogs. Future studies are expected to further exploit these methodologies, generating unprecedented structural variants that may harbor unique or superior bioactivities.
Despite these advances, current pharmacological evaluations remain largely confined to the cellular level. To ensure translational relevance, comprehensive pharmacological assessments in animal models—including efficacy, chronic toxicity, and disease-specific applications—will be essential. Such studies will help bridge the gap between promising in vitro activity and preclinical development. Equally important is the need to systematically address the pharmacokinetic limitations of chrysin derivatives, such as low solubility, rapid metabolism, and poor oral bioavailability. Innovative formulation approaches—such as nanoparticle encapsulation, liposomal carriers, and conjugation with functional nanostructures—offer promising solutions to enhance solubility, prolong systemic circulation, and enable targeted delivery.
Looking forward, the integration of artificial intelligence (AI) and machine learning (ML) is expected to accelerate the identification and optimization of promising flavonoid derivatives [106,107]. By incorporating synthetic accessibility, SAR patterns, and pharmacological profiling into predictive algorithms, AI can guide rational scaffold design and prioritize derivatives with improved therapeutic indices [108]. At the same time, molecular imaging approaches using radiolabeled derivatives will play a pivotal role in validating translational potential. Incorporation of isotopes such as 14C and 3H allows direct assessment of absorption, distribution, metabolism, and excretion (ADME) without altering the native structure of chrysin derivatives, making them ideal for quantitative whole-body autoradiography (QWBA) and liquid scintillation studies [109,110,111]. Such tracer studies can provide critical insights into tissue distribution, clearance, and metabolic fate in animal models, thereby establishing the pharmacokinetic foundation required for drug development.
Taken together, the future of chrysin research will depend on three converging strategies First, synthetic creativity should be expanded to access structurally diverse and biologically active derivatives. Second, comprehensive pharmacological validation should be secured in animal models, including imaging-based ADME assessment with 14C and 3H tracers. Finally, innovative formulation technologies and AI-assisted design need to overcome pharmacokinetic barriers and guide rational optimization.
Through these combined efforts, chrysin derivatives may ultimately evolve from laboratory curiosities into clinically relevant therapeutic agents and multifunctional platforms for disease management and diagnostics. By integrating advances in synthetic chemistry, computational modeling, nanodelivery technologies, and molecular imaging, chrysin is poised to serve not only as a promising natural product scaffold but also as a foundation for next-generation therapeutics with tangible translational impact.

Author Contributions

C.Y.J., C.-E.K., E.-B.B. and J.J. contributed to the collection of information and the writing of this review. All authors have read and agreed to the published version of the manuscript.

Funding

This research was funded by the National Research Foundation of Korea (NRF) grant number RS-2022-00164734.

Conflicts of Interest

The authors declare no conflicts of interest.

Abbreviations

GI5050% growth inhibition concentration
HDACHistone deacetylase
PARPPoly(ADP-ribose) polymerase 1
TLR4Toll-like receptor 4
COX-2Cyclooxygenase-2
LPSLipopolysaccharide
C. albicansCandida albicans
E. coliEscherichia coli
P. aeruginosaPseudomonas aeruginosa
S. aureusStaphylococcus aureus
S. cerevisiaeSaccharomyces cerevisiae
S. pyogenesStreptococcus pyogenes
ABTS2,2′-Azino-bis(3-ethylbenzothiazoline-6-sulfonic acid)
AChEAcetylcholinesterase
BuChEButyrylcholinesterase
K. pneumoniaeKlebsiella pneumoniae
DPPH2,2-Diphenyl-1-picrylhydrazyl
FRAPFerric Reducing Antioxidant Power
NAFLDNon-alcoholic fatty liver disease
PPARγPeroxisome Proliferator-Activated Receptor gamma
iNOSInducible nitric oxide synthase

References

  1. Kılıç, C.S.; Kışla, M.M.; Amasya, G.; Şengel-Türk, C.T.; Ateş Alagöz, Z.; Gençler Özkan, A.M.; Ateş, İ.; Gümüşok, S.; Herrera-Bravo, J.; Sharifi-Rad, J.; et al. Rhoifolin: A Promising Flavonoid with Cytotoxic and Anticancer Properties—Molecular Mechanisms and Therapeutic Potential. EXCLI J. 2025, 24, 289–320. [Google Scholar] [CrossRef] [PubMed]
  2. Carrillo-Martinez, E.J.; Flores-Hernández, F.Y.; Salazar-Montes, A.M.; Nario-Chaidez, H.F.; Hernández-Ortega, L.D. Quercetin, a Flavonoid with Great Pharmacological Capacity. Molecules 2024, 29, 1000. [Google Scholar] [CrossRef] [PubMed]
  3. Rana, J.N.; Mumtaz, S. Prunin: An Emerging Anticancer Flavonoid. Int. J. Mol. Sci. 2025, 26, 2678. [Google Scholar] [CrossRef] [PubMed]
  4. Talebi, M.; Talebi, M.; Farkhondeh, T.; Simal-Gandara, J.; Kopustinskiene, D.M.; Bernatoniene, J.; Samarghandian, S. Emerging Cellular and Molecular Mechanisms Underlying Anticancer Indications of Chrysin. Cancer Cell Int. 2021, 21, 214. [Google Scholar] [CrossRef]
  5. Kurkiewicz, M.; Moździerz, A.; Rzepecka-Stojko, A.; Stojko, J. Chrysin: A Comprehensive Review of Its Pharmacological Properties and Therapeutic Potential. Pharmaceuticals 2025, 18, 1162. [Google Scholar] [CrossRef]
  6. Mani, R.; Natesan, V. Chrysin: Sources, Beneficial Pharmacological Activities, and Molecular Mechanism of Action. Phytochemistry 2018, 145, 187–196. [Google Scholar] [CrossRef]
  7. Stompor-Gorący, M.; Bajek-Bil, A.; Machaczka, M. Chrysin: Perspectives on Contemporary Status and Future Possibilities as Pro-Health Agent. Nutrients 2021, 13, 2038. [Google Scholar] [CrossRef]
  8. Kasala, E.R.; Bodduluru, L.N.; Madana, R.M.; Gogoi, R.; Barua, C.C. Chemopreventive and Therapeutic Potential of Chrysin in Cancer: Mechanistic Perspectives. Toxicol. Lett. 2015, 233, 214–225. [Google Scholar] [CrossRef]
  9. Naz, S.; Imran, M.; Rauf, A.; Orhan, I.E.; Shariati, M.A.; Iahtisham-Ul-Haq; IqraYasmin; Shahbaz, M.; Qaisrani, T.B.; Shah, Z.A.; et al. Chrysin: Pharmacological and Therapeutic Properties. Life Sci. 2019, 235, 116797. [Google Scholar] [CrossRef]
  10. Mishra, A.; Mishra, P.S.; Bandopadhyay, R.; Khurana, N.; Angelopoulou, E.; Paudel, Y.N.; Piperi, C. Neuroprotective Potential of Chrysin: Mechanistic Insights and Therapeutic Potential for Neurological Disorders. Molecules 2021, 26, 6456. [Google Scholar] [CrossRef]
  11. Shamsudin, N.F.; Ahmed, Q.U.; Mahmood, S.; Ali Shah, S.A.; Khatib, A.; Mukhtar, S.; Alsharif, M.A.; Parveen, H.; Zakaria, Z.A. Antibacterial Effects of Flavonoids and Their Structure-Activity Relationship Study: A Comparative Interpretation. Molecules 2022, 27, 1149. [Google Scholar] [CrossRef]
  12. Garg, A.; Chaturvedi, S. A Comprehensive Review on Chrysin: Emphasis on Molecular Targets, Pharmacological Actions and Bio-Pharmaceutical Aspects. Curr. Drug Targets 2022, 23, 420–436. [Google Scholar] [CrossRef]
  13. Shahbaz, M.; Naeem, H.; Imran, M.; Ul Hassan, H.; Alsagaby, S.A.; Al Abdulmonem, W.; Waqar, A.B.; Ghorab, A.H.; Abdelgawad, M.A.; Ghoneim, M.M.; et al. Chrysin a Promising Anticancer Agent: Recent Perspectives. Int. J. Food Prop. 2023, 26, 2294–2337. [Google Scholar] [CrossRef]
  14. Gao, S.; Siddiqui, N.; Etim, I.; Du, T.; Zhang, Y.; Liang, D. Developing Nutritional Component Chrysin as a Therapeutic Agent: Bioavailability and Pharmacokinetics Consideration, and ADME Mechanisms. Biomed. Pharmacother. 2021, 142, 112080. [Google Scholar] [CrossRef] [PubMed]
  15. Walle, T.; Otake, Y.; Brubaker, J.A.; Walle, U.K.; Halushka, P.V. Disposition and Metabolism of the Flavonoid Chrysin in Normal Volunteers. Br. J. Clin. Pharmacol. 2001, 51, 143–146. [Google Scholar] [CrossRef] [PubMed]
  16. Wang, C.; Liu, X.; Zhao, R.; Yang, M.; Liu, W.; Dai, Q.; Bao, X.; Chen, Y.; Ma, J. The Amorphous Solid Dispersion of Chrysin in Plasdone® S630 Demonstrates Improved Oral Bioavailability and Antihyperlipidemic Performance in Rats. Pharmaceutics 2023, 15, 2378. [Google Scholar] [CrossRef]
  17. Yang, N.; Sun, R.; Liao, X.; Aa, J.; Wang, G. UDP-Glucuronosyltransferases (UGTs) and Their Related Metabolic Cross-Talk with Internal Homeostasis: A Systematic Review of UGT Isoforms for Precision Medicine. Pharmacol. Res. 2017, 121, 169–183. [Google Scholar] [CrossRef]
  18. Quan, E.; Wang, H.; Dong, D.; Zhang, X.; Wu, B. Characterization of Chrysin Glucuronidation in UGT1A1-Overexpressing HeLa Cells: Elucidating the Transporters Responsible for Efflux of Glucuronide. Drug Metab. Dispos. 2015, 43, 433–443. [Google Scholar] [CrossRef]
  19. Kumar, P.A. Simple Synthetic Processes for Chrysin, Norwogonin and Their Derivatives. Int. J. Res. Ayurveda Pharm. 2010, 1, 225–233. [Google Scholar]
  20. Zhu, Z.-Y.; Wang, W.-X.; Wang, Z.; Chen, L.-J.; Zhang, J.-Y.; Liu, X.; Wu, S.; Zhang, Y. Synthesis and Antitumor Activity Evaluation of Chrysin Derivatives. Eur. J. Med. Chem. 2014, 75, 297–300. [Google Scholar] [CrossRef]
  21. Jiang, Y.; Chen, X.; Qu, L.; Wang, J.; Yuan, J.; Chen, S.; Li, X.; Qu, C. Ultrasonic-Assisted Synthesis of Chrysin Derivatives Linked with 1,2,3-Triazoles by 1,3-Dipolar Cycloaddition Reaction. Ultrason. Sonochem. 2011, 18, 527–533. [Google Scholar] [CrossRef]
  22. Mayer, S.; Keglevich, P.; Ábrányi-Balogh, P.; Szigetvári, Á.; Dékány, M.; Szántay, C.; Hazai, L. Synthesis and In Vitro Anticancer Evaluation of Novel Chrysin and 7-Aminochrysin Derivatives. Molecules 2020, 25, 888. [Google Scholar] [CrossRef]
  23. Chen, N.; Wang, R.; Lu, L.-J.; Yan, L.-J.; Bai, L.-L.; Fu, Y.; Wang, Y.; Peng, D.-Q.; Chen, X.; Wang, C.-H.; et al. Synthesis of Chrysin Derivatives and Screening of Antitumor Activity. J. Asian Nat. Prod. Res. 2020, 22, 444–451. [Google Scholar] [CrossRef]
  24. Al-Oudat, B.A.; Alqudah, M.A.; Audat, S.A.; Al-Balas, Q.A.; El-Elimat, T.; Hassan, M.A.; Frhat, I.N.; Azaizeh, M.M. Design, Synthesis, and Biologic Evaluation of Novel Chrysin Derivatives as Cytotoxic Agents and Caspase-3/7 Activators. Drug Des. Devel. Ther. 2019, 13, 423–433. [Google Scholar] [CrossRef] [PubMed]
  25. Talebi, M.; Talebi, M.; Farkhondeh, T.; Kopustinskiene, D.M.; Simal-Gandara, J.; Bernatoniene, J.; Samarghandian, S. An Updated Review on the Versatile Role of Chrysin in Neurological Diseases: Chemistry, Pharmacology, and Drug Delivery Approaches. Biomed. Pharmacother. 2021, 141, 111906. [Google Scholar] [CrossRef]
  26. Zou, P.; Otero, P.; Mejuto, J.C.; Simal-Gandara, J.; Xiao, J.; Cameselle, C.; Chen, S.; Lin, S.; Cao, H. Exploring the Mechanism of Flavonoids Modification by Dimerization Strategies and Their Potential to Enhance Biological Activity. Food Chem. 2025, 467, 142266. [Google Scholar] [CrossRef] [PubMed]
  27. Selepe, M.A.; Mthembu, S.T.; Sonopo, M.S. Total Synthesis of Isoflavonoids. Nat. Prod. Rep. 2025, 42, 540–591. [Google Scholar] [CrossRef] [PubMed]
  28. Caleffi, G.S.; Demidoff, F.C.; Nájera, C.; Costa, P.R.R. Asymmetric Hydrogenation and Transfer Hydrogenation in the Enantioselective Synthesis of Flavonoids. Org. Chem. Front. 2022, 9, 1165–1194. [Google Scholar] [CrossRef]
  29. Santos, C.M.M.; Silva, A.M.S. Transition Metal-Catalyzed Transformations of Chalcones. Chem. Rec. 2024, 24, e202400060. [Google Scholar] [CrossRef]
  30. Noor, R.; Zahoor, A.F.; Irfan, M.; Hussain, S.M.; Ahmad, S.; Irfan, A.; Kotwica-Mojzych, K.; Mojzych, M. Transition Metal Catalyzed Hiyama Cross-Coupling: Recent Methodology Developments and Synthetic Applications. Molecules 2022, 27, 5654. [Google Scholar] [CrossRef]
  31. Daskiewicz, J.-B.; Bayet, C.; Barron, D. Rearrangement of 5- O -Prenyl Flavones: A Regioselective Access to 6- C -(1,1-Dimethylallyl)- and 8- C -(3,3-Dimethylallyl)-Flavones. Tetrahedron Lett. 2001, 42, 7241–7244. [Google Scholar] [CrossRef]
  32. Kolling, D.; Stierhof, M.; Lasch, C.; Myronovskyi, M.; Luzhetskyy, A. A Promiscuous Halogenase for the Derivatization of Flavonoids. Molecules 2021, 26, 6220. [Google Scholar] [CrossRef] [PubMed]
  33. Marzec, E.; Świtalska, M.; Winiewska-Szajewska, M.; Wójcik, J.; Wietrzyk, J.; Maciejewska, A.M.; Poznański, J.; Mieczkowski, A. The Halogenation of Natural Flavonoids, Baicalein and Chrysin, Enhances Their Affinity to Human Protein Kinase CK2. IUBMB Life 2020, 72, 1250–1261. [Google Scholar] [CrossRef] [PubMed]
  34. Daskiewicz, J.-B.; Bayet, C.; Barron, D. Regioselective Syntheses of 6-(1,1-Dimethylallyl)- and 8-(3,3-Dimethylallyl) Chrysins. Tetrahedron 2002, 58, 3589–3595. [Google Scholar] [CrossRef]
  35. Walencik, P.K.; Choińska, R.; Gołębiewska, E.; Kalinowska, M. Metal–Flavonoid Interactions—From Simple Complexes to Advanced Systems. Molecules 2024, 29, 2573. [Google Scholar] [CrossRef]
  36. Mihajlović, L.E.; Trif, M.; Živković, M.B. Metal Complexes with Hydroxyflavones: A Study of Anticancer and Antimicrobial Activities. Inorganics 2025, 13, 250. [Google Scholar] [CrossRef]
  37. Somsakeesit, L.; Senawong, T.; Senawong, G.; Kumboonma, P.; Samankul, A.; Namwan, N.; Yenjai, C.; Phaosiri, C. Evaluation and Molecular Docking Study of Two Flavonoids from Oroxylum indicum (L.) Kurz and Their Semi-Synthetic Derivatives as Histone Deacetylase Inhibitors. J. Nat. Med. 2024, 78, 236–245. [Google Scholar] [CrossRef]
  38. Wang, H.-J.; Zhou, Y.-Y.; Liu, X.-L.; Zhang, W.-H.; Chen, S.; Liu, X.-W.; Zhou, Y. Regioselective Synthesis and Evaluation of 2-Amino 3-Cyano Chromene-Chrysin Hybrids as Potential Anticancer Agents. Bioorg. Med. Chem. Lett. 2020, 30, 127087. [Google Scholar] [CrossRef]
  39. Al-Oudat, B.A.; Ramapuram, H.; Malla, S.; Audat, S.A.; Hussein, N.; Len, J.M.; Kumari, S.; Bedi, M.F.; Ashby, C.R.; Tiwari, A.K. Novel Chrysin-De-Allyl PAC-1 Hybrid Analogues as Anticancer Compounds: Design, Synthesis, and Biological Evaluation. Molecules 2020, 25, 3063. [Google Scholar] [CrossRef]
  40. Zhang, Q.; Yu, W.; Liu, Z.; Li, H.; Liu, Y.; Liu, X.; Han, Z.; He, J.; Zeng, Y.; Guo, Y.; et al. Design, Synthesis, Antitumor Activity and Ct-DNA Binding Study of Photosensitive Drugs Based on Porphyrin Framework. Int. J. Biol. Macromol. 2023, 230, 123147. [Google Scholar] [CrossRef]
  41. Liu, D.; Zhang, Q.; Zhang, L.; Yu, W.; Long, H.; He, J.; Liu, Y. Novel Photosensitizing Properties of Porphyrin–Chrysin Derivatives with Antitumor Activity in Vitro. J. Chem. Res. 2020, 44, 494–504. [Google Scholar] [CrossRef]
  42. Yan, X.; Song, J.; Yu, M.; Sun, H.-L.; Hao, H. Synthesis of Flavonoids Nitrogen Mustard Derivatives and Study on Their Antitumor Activity in Vitro. Bioorganic Chem. 2020, 96, 103613. [Google Scholar] [CrossRef]
  43. Németh-Rieder, A.; Keglevich, P.; Hunyadi, A.; Latif, A.D.; Zupkó, I.; Hazai, L. Synthesis and In Vitro Anticancer Evaluation of Flavone—1,2,3-Triazole Hybrids. Molecules 2023, 28, 626. [Google Scholar] [CrossRef] [PubMed]
  44. Noole, V.; Krishna, T.; Godeshala, S.; Meraji, S.; Rege, K.; Reddy, C.K.; Kedika, B. Synthesis and Biological Evaluation of New 1,2,3-Triazole Derivatives of the ChrysinFlavonoid as Anticancer Agents. Anticancer Agents Med. Chem. 2021, 22, 160–168. [Google Scholar] [CrossRef]
  45. Luan, T.; Quan, Z.; Fang, Y.; Yang, H. Design, Synthesis and Antiproliferative Activity of Chrysin Derivatives Bearing Triazole Moieties. Chin. J. Org. Chem. 2020, 40, 440. [Google Scholar] [CrossRef]
  46. Mayer, S.; Nagy, N.; Keglevich, P.; Szigetvári, Á.; Dékány, M.; Szántay Junior, C.; Hazai, L. Synthesis of Novel Vindoline-Chrysin Hybrids. Chem. Biodivers. 2022, 19, e202100725. [Google Scholar] [CrossRef]
  47. Xue, X.-Y.; He, J.-L.; Song, M.-W.; Yu, Z.; Shuang-Liu; Lin, M.-J.; Zhang, C.-P.; Bo-Ding; Hao-Wang; Ma, Z.-H.; et al. Design, Synthesis, Bioactivity, X-Ray Crystallography, and Molecular Docking Studies of Chrysin-1,3,5-Triazine Derivatives as Anticancer Agents. Bioorganic Chem. 2025, 161, 108486. [Google Scholar] [CrossRef]
  48. Yu, Q.; Huang, B.; Ling, Y. Design, Synthesis, and In Vitro Anticancer Activity of Novel ChrysinDerivatives. Lett. Drug Des. Discov. 2023, 20, 854–862. [Google Scholar] [CrossRef]
  49. Liu, Y.-M.; Li, Y.; Xiao, J.; Zhang, Q.-Z.; Song, J.-X. Design, Synthesis, and Preliminary Biological Evaluation of Chrysin Amino Acid Derivatives That Induce Apoptosis and Suppress Cell Migration. J. Asian Nat. Prod. Res. 2020, 22, 547–561. [Google Scholar] [CrossRef]
  50. Li, Y.; Zhang, Q.; He, J.; Yu, W.; Xiao, J.; Guo, Y.; Zhu, X.; Liu, Y. Synthesis and Biological Evaluation of Amino Acid Derivatives Containing Chrysin That Induce Apoptosis. Nat. Prod. Res. 2021, 35, 529–538. [Google Scholar] [CrossRef]
  51. Kamloon, T.; Senawong, T.; Senawong, G.; Namwan, N.; Kumboonma, P.; Somsakeesit, L.; Ritchumpon, P.; Nontakitticharoen, M.; Nasomjai, P.; Phaosiri, C. Exploring Putative Histone Deacetylase Inhibitors with Antiproliferative Activity of Chrysin Derivatives. Med. Chem. Res. 2025, 34, 1308–1320. [Google Scholar] [CrossRef]
  52. Yang, Y.; Tong, J.; Xie, X.; Cao, H.; Fu, Y.; Luo, Y.; Liu, S.; Chen, W.; Yang, N. Design, Synthesis, and Biological Evaluation of Novel Chrysin Derivatives as Poly(ADP-Ribose) Polymerase 1 (PARP1) Inhibitors for the Treatment of Breast Cancer. Chin. J. Nat. Med. 2024, 22, 455–465. [Google Scholar] [CrossRef]
  53. Oggero, J.; Gasser, F.B.; Zacarías, S.M.; Burns, P.; Baravalle, M.E.; Renna, M.S.; Ortega, H.H.; Vaillard, S.E.; Vaillard, V.A. PEGylation of Chrysin Improves Its Water Solubility While Preserving the In Vitro Biological Activity. J. Agric. Food Chem. 2023, 71, 19817–19831. [Google Scholar] [CrossRef] [PubMed]
  54. Jangid, A.K.; Solanki, R.; Patel, S.; Medicherla, K.; Pooja, D.; Kulhari, H. Improving Anticancer Activity of Chrysin Using Tumor Microenvironment pH-Responsive and Self-Assembled Nanoparticles. ACS Omega 2022, 7, 15919–15928. [Google Scholar] [CrossRef] [PubMed]
  55. Taldaev, A.; Svotin, A.A.; Obukhov, S.I.; Terekhov, R.P.; Selivanova, I.A. Modification of Biopharmaceutical Parameters of Flavonoids: A Review. Front. Chem. 2025, 13, 1602967. [Google Scholar] [CrossRef] [PubMed]
  56. Ranjbar, S.; Emamjomeh, A.; Sharifi, F.; Zarepour, A.; Aghaabbasi, K.; Dehshahri, A.; Sepahvand, A.M.; Zarrabi, A.; Beyzaei, H.; Zahedi, M.M.; et al. Lipid-Based Delivery Systems for Flavonoids and Flavonolignans: Liposomes, Nanoemulsions, and Solid Lipid Nanoparticles. Pharmaceutics 2023, 15, 1944. [Google Scholar] [CrossRef]
  57. Stevens Barrón, J.C.; Chapa González, C.; Álvarez Parrilla, E.; De La Rosa, L.A. Nanoparticle-Mediated Delivery of Flavonoids: Impact on Proinflammatory Cytokine Production: A Systematic Review. Biomolecules 2023, 13, 1158. [Google Scholar] [CrossRef]
  58. Rana, J.N.; Gul, K.; Mumtaz, S. Isorhamnetin: Reviewing Recent Developments in Anticancer Mechanisms and Nanoformulation-Driven Delivery. Int. J. Mol. Sci. 2025, 26, 7381. [Google Scholar] [CrossRef]
  59. Narendar, K.; Narsimha, K.; Sharma, N.; Siva, B.; Yaladanda, N.; Sridhar, B.; Mutheneni, S.R.; Balaji, A.S.; Babu, K.S. One-Pot Multi-Component Synthesis and Biological Evaluation of Spirooxindole Carbamate Derivatives of Major Flavonoids Isolated from Oroxylum indicum: Identification of Potent Anti-Proliferative Leads Active against Hepatocellular Carcinoma. Bioorganic Chem. 2025, 163, 108712. [Google Scholar] [CrossRef]
  60. Feng, X.; Yu, W.; Cao, L.; Meng, F.; Cong, M. A Novel Chrysin Thiazole Derivative Polarizes Macrophages to an M1 Phenotype via Targeting TLR4. Int. Immunopharmacol. 2020, 88, 106986. [Google Scholar] [CrossRef]
  61. Pouramiri, B.; Seyedhosseini, S.R.; Nematollahi, M.H.; Faramarz, S.; Seyedi, F.; Ayati, A. Green Synthesis and Anticancer Evaluation of Novel Chrysin Hydrazone Derivatives. Polycycl. Aromat. Compd. 2023, 43, 176–189. [Google Scholar] [CrossRef]
  62. Adhikari, S.; Nath, P.; Das, A.; Datta, A.; Baildya, N.; Duttaroy, A.K.; Pathak, S. A Review on Metal Complexes and Its Anti-Cancer Activities: Recent Updates from in Vivo Studies. Biomed. Pharmacother. 2024, 171, 116211. [Google Scholar] [CrossRef] [PubMed]
  63. Zhang, J.; Li, Y.; Fang, R.; Wei, W.; Wang, Y.; Jin, J.; Yang, F.; Chen, J. Organometallic Gold(I) and Gold(III) Complexes for Lung Cancer Treatment. Front. Pharmacol. 2022, 13, 979951. [Google Scholar] [CrossRef] [PubMed]
  64. Break, M.K.B.; Ansari, S.A.; Katamesh, A.A.; Albadari, N.; Alshammari, M.D.; Alkahtani, H.M. Synthesis, in Vitro and in Silico Studies of a Novel Chrysin-Ferrocene Schiff Base with Potent Anticancer Activity via G1 Arrest, Caspase-Dependent Apoptosis and Inhibition of Topoisomerase II. J. Enzym. Inhib. Med. Chem. 2025, 40, 2501377. [Google Scholar] [CrossRef] [PubMed]
  65. Alem, M.B.; Desalegn, T.; Damena, T.; Bayle, E.A.; Koobotse, M.O.; Ngwira, K.J.; Ombito, J.O.; Zachariah, M.; Demissie, T.B. Organic–Inorganic Hybrid Salt and Mixed Ligand Cr(III) Complexes Containing the Natural Flavonoid Chrysin: Synthesis, Characterization, Computational, and Biological Studies. Front. Chem. 2023, 11, 1173604. [Google Scholar] [CrossRef]
  66. Rubio, A.R.; González, R.; Busto, N.; Vaquero, M.; Iglesias, A.L.; Jalón, F.A.; Espino, G.; Rodríguez, A.M.; García, B.; Manzano, B.R. Anticancer Activity of Half-Sandwich Ru, Rh and Ir Complexes with Chrysin Derived Ligands: Strong Effect of the Side Chain in the Ligand and Influence of the Metal. Pharmaceutics 2021, 13, 1540. [Google Scholar] [CrossRef]
  67. Huang, Y.; Zheng, D.; Bai, J.; Wang, W.; Yang, Z.; Tian, Y.; Fang, Y. The First Chrysin-Based Receptor for Anions Recognition: Experimental Investigations, DFT Studies and Its in Vitro Antitumor Activity. J. Mol. Struct. 2023, 1286, 135637. [Google Scholar] [CrossRef]
  68. Lee, Y.; Gu, E.J.; Song, H.-Y.; Yoo, B.-G.; Park, J.E.; Jeon, J.; Byun, E.-B. Exploring the Anti-Inflammatory Potential of Novel Chrysin Derivatives through Cyclooxygenase-2 Inhibition. ACS Omega 2024, 9, 50491–50503. [Google Scholar] [CrossRef]
  69. Zhao, X.; Du, C.; Zeng, Y.; Chen, Y.; Xu, J.; Yin, X.; Hu, C.; Mao, Z.; Lin, Y. Discovery of Novel Chrysin Derivatives as Potential Anti-Psoriasis Agents. Bioorganic Chem. 2024, 150, 107599. [Google Scholar] [CrossRef]
  70. Zhao, P.; Hou, Y.; Yan, T.; Kang, J.; Tian, Y.; Li, J.; Zeng, C.; Geng, F.; Liao, Q. Synthesis and Biological Evaluation of Chrysin Derivatives Containing α-Lipoic Acid for the Treatment of Inflammatory Bowel Disease. Front. Chem. 2024, 12, 1406051. [Google Scholar] [CrossRef]
  71. Ávila-Román, J.; Quevedo-Tinoco, L.; Oliveros-Ortiz, A.J.; García-Gil, S.; Rodríguez-García, G.; Motilva, V.; Gómez-Hurtado, M.A.; Talero, E. Synthesis and Bioevaluation of New Stable Derivatives of Chrysin-8-C-Glucoside That Modulate the Antioxidant Keap1/Nrf2/HO-1 Pathway in Human Macrophages. Pharmaceuticals 2024, 17, 1388. [Google Scholar] [CrossRef]
  72. Song, H.-Y.; Sik Kim, W.; Moo Han, J.; Yong Park, W.; Lim, S.-T.; Byun, E.-B. HMOC, a Chrysin Derivative, Induces Tolerogenic Properties in Lipopolysaccharide-Stimulated Dendritic Cells. Int. Immunopharmacol. 2021, 95, 107523. [Google Scholar] [CrossRef]
  73. Byun, E.-B.; Song, H.-Y.; Kim, W.S.; Han, J.M.; Seo, H.S.; Park, W.Y.; Kim, K.; Byun, E.-H. Chrysin Derivative CM1 and Exhibited Anti-Inflammatory Action by Upregulating Toll-Interacting Protein Expression in Lipopolysaccharide-Stimulated RAW264.7 Macrophage Cells. Molecules 2021, 26, 1532. [Google Scholar] [CrossRef]
  74. Lee, J.-H.; Ko, Y.-B.; Choi, Y.-M.; Kim, J.; Cho, H.-D.; Choi, H.; Song, H.-Y.; Han, J.-M.; Cha, G.-H.; Lee, Y.-H.; et al. CM1, a Chrysin Derivative, Protects from Endotoxin-Induced Lethal Shock by Regulating the Excessive Activation of Inflammatory Responses. Nutrients 2024, 16, 641. [Google Scholar] [CrossRef]
  75. Patel, K.B.; Rajani, D.; Ahmad, I.; Patel, H.; Patel, H.D.; Kumari, P. Chrysin Based Pyrimidine-Piperazine Hybrids: Design, Synthesis, in Vitro Antimicrobial and in Silico E. Coli Topoisomerase II DNA Gyrase Efficacy. Mol. Divers. 2024, 28, 1377–1392. [Google Scholar] [CrossRef]
  76. Bhowmik, S.; Anand, P.; Das, R.; Sen, T.; Akhter, Y.; Das, M.C.; De, U.C. Synthesis of New Chrysin Derivatives with Substantial Antibiofilm Activity. Mol. Divers. 2022, 26, 137–156. [Google Scholar] [CrossRef] [PubMed]
  77. Xie, Y.; Chen, J.; Wang, B.; Peng, A.-Y.; Mao, Z.-W.; Xia, W. Inhibition of Quorum-Sensing Regulator from Pseudomonas Aeruginosa Using a Flavone Derivative. Molecules 2022, 27, 2439. [Google Scholar] [CrossRef] [PubMed]
  78. Ramesh, P.; Rao, V.S.; Reddy, P.M.; Babu, K.S.; Rao, M.S. Synthesis, Biological Evaluation and Molecular Modeling Studies of Novel C (7) Modified Analogues of Chrysin. Lett. Drug Des. Discov. 2020, 17, 873–883. [Google Scholar] [CrossRef]
  79. Patel, K.B.; Patel, R.V.; Ahmad, I.; Rajani, D.; Patel, H.; Mukherjee, S.; Kumari, P. Design, Synthesis, Molecular Docking, Molecular Dynamic Simulation, and MMGBSA Analysis of 7-O-Substituted 5-Hydroxy Flavone Derivatives. J. Biomol. Struct. Dyn. 2024, 42, 6378–6392. [Google Scholar] [CrossRef]
  80. Omonga, N.; Zia, Z.; Ghanbour, H.; Ragazzon-Smith, A.; Foster, H.; Hadfield, J.; Ragazzon, P. Facile Synthesis and Biological Evaluation of Chrysin Derivatives. J. Chem. Res. 2021, 45, 1083–1092. [Google Scholar] [CrossRef]
  81. Mutlu Gençkal, H. New Heteroleptic Cu(II) Complexes of Chrysin with 2,2′–Bipyridine and Substituted 1,10–Phenanthrolines: Synthesis, Characterization, Thermal Stability and Antioxidant Activity. J. Mol. Struct. 2020, 1209, 127917. [Google Scholar] [CrossRef]
  82. Yang, A.; Liu, C.; Zhang, H.; Wu, J.; Shen, R.; Kou, X. A Multifunctional Anti-AD Approach: Design, Synthesis, X-Ray Crystal Structure, Biological Evaluation and Molecular Docking of Chrysin Derivatives. Eur. J. Med. Chem. 2022, 233, 114216. [Google Scholar] [CrossRef]
  83. Liu, C.; Kou, X.; Wang, X.; Wu, J.; Yang, A.; Shen, R. Novel Chrysin Derivatives as Hidden Multifunctional Agents for Anti-Alzheimer’s Disease: Design, Synthesis and in Vitro Evaluation. Eur. J. Pharm. Sci. 2021, 166, 105976. [Google Scholar] [CrossRef]
  84. Liu, C.; Wu, J.; Hu, C.; Yang, A.; Shen, R.; Kou, X. Synthesis, Single Crystal Characterization and Anti-AD Activities of a Novel Complex of Cu(II) with in Situ Formed Protonated Chrysin Derivative Ligand. J. Inorg. Biochem. 2023, 239, 112086. [Google Scholar] [CrossRef] [PubMed]
  85. Lee, Y.; Song, H.-Y.; Byun, E.-B. Anti-Melanogenic Effects of Hydroxyethyl Chrysin through the Inhibition of Tyrosinase Activity: In Vitro and in Silico Approaches. Heliyon 2025, 11, e41718. [Google Scholar] [CrossRef] [PubMed]
  86. Zhang, R.; Zhang, Y.; Huang, G.; Xin, X.; Tang, L.; Li, H.; Lee, K.S.; Jin, B.R.; Gui, Z. Chemical Synthesis, Inhibitory Activity and Molecular Mechanism of 1-Deoxynojirimycin–Chrysin as a Potent α-Glucosidase Inhibitor. RSC Adv. 2021, 11, 38703–38711. [Google Scholar] [CrossRef] [PubMed]
  87. Hairani, R.; Chavasiri, W. A New Series of Chrysin Derivatives as Potent Non-Saccharide α-Glucosidase Inhibitors. Fitoterapia 2022, 163, 105301. [Google Scholar] [CrossRef]
  88. An, S.; Ko, H.; Jang, H.; Park, I.G.; Ahn, S.; Hwang, S.Y.; Gong, J.; Oh, S.; Kwak, S.Y.; Lee, Y.; et al. Prenylated Chrysin Derivatives as Partial PPARγ Agonists with Adiponectin Secretion-Inducing Activity. ACS Med. Chem. Lett. 2023, 14, 425–431. [Google Scholar] [CrossRef]
  89. Poungcho, P.; Hairani, R.; Chaotham, C.; De-Eknamkul, W.; Chavasiri, W. Methoxylated Chrysin and Quercetin as Potent Stimulators of Melanogenesis. Int. J. Mol. Sci. 2025, 26, 3281. [Google Scholar] [CrossRef]
  90. Zhang, R.; Gao, C.; Hu, M.; Wang, X.; Li, S.; An, Z.; Yang, X.; Xie, Y. Synthesis and Biological Evaluation of the Novel Chrysin Prodrug for Non-Alcoholic Fatty Liver Disease Treatment. Front. Pharmacol. 2024, 15, 1336232. [Google Scholar] [CrossRef]
  91. Falbo, F.; Carullo, G.; Panti, A.; Spiga, O.; Gianibbi, B.; Ahmed, A.; Campiani, G.; Ramunno, A.; Aiello, F.; Fusi, F. Exploring the Chemical Space around Chrysin to Develop Novel Vascular CaV 1.2 Channel Blockers, Promising Vasorelaxant Agents. Arch. Pharm. 2024, 357, e2400536. [Google Scholar] [CrossRef]
  92. Suzuki, A. Organoboron Compounds in New Synthetic Reactions. Pure Appl. Chem. 1985, 57, 1749–1758. [Google Scholar] [CrossRef]
  93. Miyaura, N.; Suzuki, A. Palladium-Catalyzed Cross-Coupling Reactions of Organoboron Compounds. Chem. Rev. 1995, 95, 2457–2483. [Google Scholar] [CrossRef]
  94. Ohe, T.; Miyaura, N.; Suzuki, A. Palladium-Catalyzed Cross-Coupling Reaction of Organoboron Compounds with Organic Triflates. J. Org. Chem. 1993, 58, 2201–2208. [Google Scholar] [CrossRef]
  95. Milstein, D.; Stille, J.K. A General, Selective, and Facile Method for Ketone Synthesis from Acid Chlorides and Organotin Compounds Catalyzed by Palladium. J. Am. Chem. Soc. 1978, 100, 3636–3638. [Google Scholar] [CrossRef]
  96. Chinchilla, R.; Nájera, C. The Sonogashira Reaction: A Booming Methodology in Synthetic Organic Chemistry. Chem. Rev. 2007, 107, 874–922. [Google Scholar] [CrossRef] [PubMed]
  97. Pereira, R.; Ribeiro, D.; Silva, V.L.M.; Fernandes, E. Synthetic Flavonoid Dimers: Synthesis Strategies and Biological Activities. Eur. J. Med. Chem. 2025, 291, 117669. [Google Scholar] [CrossRef]
  98. Nakazawa, K.; Ito, M. Syntheses of Ring-Substituted Flavonoids and Allied Compounds. X. Synthesis of Ginkgetin. Chem. Pharm. Bull. 1963, 11, 283–288. [Google Scholar] [CrossRef]
  99. Lim, H.; Kim, S.B.; Park, H.; Chang, H.W.; Kim, H.P. New Anti-Inflammatory Synthetic Biflavonoid with C-C (6-6″) Linkage: Differential Effects on Cyclooxygenase-2 and Inducible Nitric Oxide Synthase. Arch. Pharm. Res. 2009, 32, 1525–1531. [Google Scholar] [CrossRef]
  100. Che, H.; Lim, H.; Kim, H.P.; Park, H. A Chrysin Analog Exhibited Strong Inhibitory Activities against Both PGE2 and NO Production. Eur. J. Med. Chem. 2011, 46, 4657–4660. [Google Scholar] [CrossRef]
  101. Lim, H.; Jin, J.H.; Park, H.; Kim, H.P. New Synthetic Anti-Inflammatory Chrysin Analog, 5,7-Dihydroxy-8-(Pyridine-4yl)Flavone. Eur. J. Pharmacol. 2011, 670, 617–622. [Google Scholar] [CrossRef] [PubMed]
  102. Hurtová, M.; Biedermann, D.; Osifová, Z.; Cvačka, J.; Valentová, K.; Křen, V. Preparation of Synthetic and Natural Derivatives of Flavonoids Using Suzuki–Miyaura Cross-Coupling Reaction. Molecules 2022, 27, 967. [Google Scholar] [CrossRef] [PubMed]
  103. Schaeffer, E.; De Oliveira, N.C.; Pestana, Y.; Alves, M.A.; Da Silva, A.J.M. Regio- and Chemoselective Synthesis of Polyaryl Flavones by Combination of C-O/C-H Activation and Suzuki-Miyaura Cross Coupling Reactions. J. Mol. Struct. 2024, 1299, 137067. [Google Scholar] [CrossRef]
  104. Echavarren, A.M.; Stille, J.K. Palladium-Catalyzed Coupling of Aryl Triflates with Organostannanes. J. Am. Chem. Soc. 1987, 109, 5478–5486. [Google Scholar] [CrossRef]
  105. Lu, K.; Yang, K.; Jia, X.; Gao, X.; Zhao, X.; Pan, G.; Ma, Y.; Huang, Q.; Yu, P. Total Synthesis of I3,II8-Biapigenin and Ridiculuflavone A. Org. Chem. Front. 2017, 4, 578–586. [Google Scholar] [CrossRef]
  106. Santiago-de-la-Cruz, J.A.; Rivero-Segura, N.A.; Alvarez-Sánchez, M.E.; Gomez-Verjan, J.C. Network Pharmacology and Machine Learning Identify Flavonoids as Potential Senotherapeutics. Pharmaceuticals 2025, 18, 1176. [Google Scholar] [CrossRef]
  107. Taldaev, A.; Terekhov, R.; Nikitin, I.; Zhevlakova, A.; Selivanova, I. Insights into the Pharmacological Effects of Flavonoids: The Systematic Review of Computer Modeling. Int. J. Mol. Sci. 2022, 23, 6023. [Google Scholar] [CrossRef]
  108. Gangwal, A.; Lavecchia, A. Artificial Intelligence in Natural Product Drug Discovery: Current Applications and Future Perspectives. J. Med. Chem. 2025, 68, 3948–3969. [Google Scholar] [CrossRef]
  109. Park, J.E.; Ryu, S.-H.; Ito, S.; Shin, H.; Kim, Y.-H.; Jeon, J. Metabolite Analysis of 14C-Labeled Chloromethylisothiazolinone/Methylisothiazolinone for Toxicological Consideration of Inhaled Isothiazolinone Biocides in Lungs. Chemosphere 2024, 362, 142666. [Google Scholar] [CrossRef]
  110. Park, J.E.; Ryu, S.-H.; Ito, S.; Song, M.-K.; Gu, E.J.; Shin, H.; Kim, Y.-H.; Jeon, J. Bioaccumulation and in Vivo Fate of Toxic Benzylalkyldimethylammonium Chloride in Rats via the Radiotracer Analysis. Chemosphere 2023, 338, 139460. [Google Scholar] [CrossRef]
  111. Song, M.-K.; Eun Park, J.; Ryu, S.-H.; Baek, Y.-W.; Kim, Y.-H.; Im Kim, D.; Yoon, S.-H.; Shin, H.; Jeon, J.; Lee, K. Biodistribution and Respiratory Toxicity of Chloromethylisothiazolinone/Methylisothiazolinone Following Intranasal and Intratracheal Administration. Environ. Int. 2022, 170, 107643. [Google Scholar] [CrossRef]
Figure 1. Representative strategies for the synthesis of chrysin derivatives.
Figure 1. Representative strategies for the synthesis of chrysin derivatives.
Ijms 26 09467 g001
Scheme 1. Synthesis of chrysin derivative 6.
Scheme 1. Synthesis of chrysin derivative 6.
Ijms 26 09467 sch001
Scheme 2. Synthesis of chrysin derivative 12 containing two 1,2,3-triazole units.
Scheme 2. Synthesis of chrysin derivative 12 containing two 1,2,3-triazole units.
Ijms 26 09467 sch002
Scheme 3. Synthesis of chrysin derivative 18.
Scheme 3. Synthesis of chrysin derivative 18.
Ijms 26 09467 sch003
Scheme 4. Plausible mechanism for the synthesis of chrysin derivative 27.
Scheme 4. Plausible mechanism for the synthesis of chrysin derivative 27.
Ijms 26 09467 sch004
Scheme 5. Claisen rearrangement of chrysin derivatives (37, 40).
Scheme 5. Claisen rearrangement of chrysin derivatives (37, 40).
Ijms 26 09467 sch005
Scheme 6. Synthesis of hydroxyethylated chrysin derivatives (42, 44).
Scheme 6. Synthesis of hydroxyethylated chrysin derivatives (42, 44).
Ijms 26 09467 sch006
Scheme 7. Synthesis of chrysin derivatives 44, 48 through g-radiation of chrysin.
Scheme 7. Synthesis of chrysin derivatives 44, 48 through g-radiation of chrysin.
Ijms 26 09467 sch007
Scheme 8. Synthesis of biflavonoid via the Ullmann reaction.
Scheme 8. Synthesis of biflavonoid via the Ullmann reaction.
Ijms 26 09467 sch008
Scheme 9. Synthesis of biflavone 73 via the Suzuki–Miyaura coupling reaction.
Scheme 9. Synthesis of biflavone 73 via the Suzuki–Miyaura coupling reaction.
Ijms 26 09467 sch009
Scheme 10. Synthesis of 5,7-dihydroxy-8-(pyridine-4-yl) chrysin via the Suzuki–Miyaura coupling reaction.
Scheme 10. Synthesis of 5,7-dihydroxy-8-(pyridine-4-yl) chrysin via the Suzuki–Miyaura coupling reaction.
Ijms 26 09467 sch010
Scheme 11. Synthesis of the synthetic flavonol 82 via the Suzuki–Miyaura coupling reaction.
Scheme 11. Synthesis of the synthetic flavonol 82 via the Suzuki–Miyaura coupling reaction.
Ijms 26 09467 sch011
Scheme 12. Chemoselective polyarylation of flavone 89 via sequential transition-metal-mediated coupling reactions.
Scheme 12. Chemoselective polyarylation of flavone 89 via sequential transition-metal-mediated coupling reactions.
Ijms 26 09467 sch012
Scheme 13. Synthesis of 7,7″-bis-chrysin 91 via the Stille coupling reaction.
Scheme 13. Synthesis of 7,7″-bis-chrysin 91 via the Stille coupling reaction.
Ijms 26 09467 sch013
Scheme 14. Synthesis of bi-isoflavone 92 via the Sonogashira coupling reaction.
Scheme 14. Synthesis of bi-isoflavone 92 via the Sonogashira coupling reaction.
Ijms 26 09467 sch014
Scheme 15. Synthesis of ridiculuflavone 97 via the Sonogashira coupling reaction.
Scheme 15. Synthesis of ridiculuflavone 97 via the Sonogashira coupling reaction.
Ijms 26 09467 sch015
Table 1. Structures, synthesis methods, and antitumor activities (IC50) of chrysin derivatives.
Table 1. Structures, synthesis methods, and antitumor activities (IC50) of chrysin derivatives.
EntryStructureSynthesis MethodCell Lines (IC50)Key Findings and MechanismsRef
1Ijms 26 09467 i0012a: R = C2H5
2b: R = C3H7
2c: R = CH(CH3)CO2H
Etherification
(7-OH)
For 2c: Vero (152.28 ± 3.82 µM), HeLa (13.91 ± 0.34 µM), A549 (147.38 ± 7.56 µM)7-OH substitution altered enzyme selectivity. Compound 2c inhibited HDAC8, increased H3 acetylation, and induced apoptosis.[37]
2Ijms 26 09467 i0023Esterification
(7-OH)
HepG2 (14.79 µM)Long-chain myristoyl ester improved solubility. Enhanced membrane permeability translated into stronger cytotoxicity in HepG2 cells.[23]
3Ijms 26 09467 i0034Etherification with N-(chloroacetyl) aniline analogs (7-OH) followed by Smiles rearrangementGI50 values:
MCF-7 (0.03 µM), HCT-15 (0.06 µM)
Smiles rearrangement gave a diphenylamine scaffold. Stronger π–π interactions yielded nanomolar potency in breast and colon cancer cells.[22]
4Ijms 26 09467 i0046Michael addition followed by cyclization (Scheme 1)K562 (6.41 ± 0.49 µM)Chromene–chrysin hybrid induced mitochondrial apoptosis. Regulated Bax/Bcl-2 balance and suppressed
tumor growth in vivo.
[38]
5Ijms 26 09467 i0057a: R = 2,4-OH
7b: R = 2,3,4-OH
Etherification (7-OH),
hydrazide formation, and hydrazone condensation
For 7a: MDA-MB-231 (5.98 µM)
For 7b: MDA-MB-231 (9.40 µM)
PAC-1 hybrids induced G2 arrest and apoptosis. Triggered Bak upregulation, cytochrome c release, and caspase
activation.
[39]
6Ijms 26 09467 i0068Etherification (7-OH)
followed by coupling with porphyrin analogs
HeLa (6.26 ± 2.52 µM),
A549 (23.37 ± 4.24 µM)
Porphyrin–chrysin hybrid acted as a photosensitizer. Positive charge and EWG groups enhanced phototoxicity
under irradiation.
[40]
7Ijms 26 09467 i0079Etherification (7-OH)
followed by conjugation with porphyrin derivatives
MGC-803 (70.41 ± 2.15 µM),
HeLa (26.51 ± 1.15 µM)
Porphyrin conjugates bound ct-DNA and generated ROS. Free-base derivatives outperformed metalated analogs in terms of photodynamic efficiency.[41]
8Ijms 26 09467 i00810Etherification (7-OH),
substitution with diethanolamine, and chlorination
HeLa (1.43 µM),
A549 (7.34 µM),
HepG2 (11.31 µM),
MCF-7 (4.90 µM),
SH-SY5Y (7.86 µM),
PC-3 (2.32 µM),
DU145 (2.91 µM)
Nitrogen mustard–chrysin hybrids disrupted ΔΨm. Three-carbon linker produced the strongest cytotoxic effect.[42]
9Ijms 26 09467 i00912Propargylation (5,7-OH) followed by click reactionHeLa (0.7331 µM),
SiHa (1.352 µM)
Bis-triazole substitution improved H-bonding. Compound 12 achieved submicromolar IC50 in HeLa cells.[43]
10Ijms 26 09467 i01013Propargylation (5-OH)
followed by click reaction
PC3 (10.8 ± 0.04 µM),
MCF-7 (20.5 ± 0.2 µM)
Phenyl-triazole derivative enhanced π–π stacking. Showed potent activity in
PC3 and MCF-7 cells.
[44]
11Ijms 26 09467 i01114a: R = 3-F
14b: R = 2-Cl
Propargylation (7-OH)
followed by click reaction
For 14a: MGC-803 (18.40 µM)
For 14b: MGC-803 (5.92 µM)
Halogen-substituted triazoles improved activity. Chloro- and fluoroaryl groups boosted gastric cancer cell potency.[45]
12Ijms 26 09467 i01215Conjugation with a vindoline derivative
(7-OH) followed by Smiles rearrangement
GI50 values:
low micromolar levels for 60 human cancer cells
Vindoline–chrysin hybrids combined dual pharmacophores. Flexible linker design gave broad low-micromolar GI50 across the NCI-60 panel.[46]
13Ijms 26 09467 i01318Nucleophilic aromatic
substitution with 1,3,5-triazine derivatives (7-OH) (Scheme 3)
HeLa (9.86 ± 0.37 µM),
293 T (37.34 ± 1.28 µM)
Triazine–chrysin hybrids introduced electron-deficient heteroaryl moieties.
Compound 18 outperformed cisplatin in HeLa cells.
[47]
14Ijms 26 09467 i01419a: (R =1-methyl piperazine)
19b: (R = methyl)
Nucleophilic aromatic substitution with 4,6-dichloropyrimidine derivatives
(7-OH)
For 19a: A549 (30.30 µM), HepG2
(21.02 µM), MCF-7 (24.67 µM),
PC-3 (22.130 µM)
For 19b: HCT-116 (4.83 µM)
Pyrimidine–chrysin hybrids showed strong cytotoxicity. Compound 19b was especially potent against HCT-116 cells.[48]
15Ijms 26 09467 i01520Etherification (7-OH)
followed by coupling with L-amino acids
MGC-803 (24.5 ± 3.4 µM), Heptanoyl–L-amino acid conjugate increased solubility. Compound 20 showed improved efficacy in gastric
cancer.
[49]
16Ijms 26 09467 i01621Etherification (7-OH) followed by coupling with
L-amino esters
MCF-7 (32.4 ± 1.8 µM),
MDA-MB-231 (8.2 ± 1.6 µM)
Leucine methyl ester conjugate induced G2/M arrest. Activated mitochondrial apoptosis and inhibited Akt phosphorylation.[50]
17Ijms 26 09467 i01722a: n = 4
22b: n = 5
22c: n = 6
Etherification (7-OH)Vero (39.94~49.55 µM),
HeLa (15.96~18.00 µM),
HCT-116 (11.96~13.04 µM),
A549 (40.0~41.48 µM),
MCF-7 (21.82~37.28 µM)
Carboxylated derivatives targeted the HDAC active site. Zn2+ chelation supported inhibitory mechanism.[51]
18 †Ijms 26 09467 i01823Etherification (7-OH) followed by coupling with a benzimidazole derivativeMDA-MB-231 (6.2 ± 0.6 µM),
MDA-MB-436 (4.5 ± 1.4 µM),
HCC-1937 (3.9 ± 0.8 µM),
MCF-7 (14.2 ± 1.1µM)
Benzimidazole pharmacophore enhanced PARP1 binding. Compound 23 inhibited BRCA-deficient breast cancer cells at nanomolar levels.[52]
19Ijms 26 09467 i01924a: (mPEG 350 g/mol)
24b: (mPEG 500 g/mol)
24c: (mPEG 750 g/mol)
24d: (mPEG 2 kDa)
Etherification (7-OH)PC-3 (205.66 ± 2.60 µM),
HepG2 (122.72 ± 9.92 µM)
PEGylation improved solubility and
aggregation. mPEG-500 conjugate retained cytotoxic and redox activity.
[53]
20Ijms 26 09467 i02025Esterification (7-OH) with cis-aconityl functionalized PEG4000MDA-MB-231 (6.2 ± 2.3 µM),
MCF-7 (26.1 ± 3.5 µM)
PEG4000–cis-aconityl conjugate enabled pH-sensitive release. Showed enhanced efficacy in breast cancer cells.[54]
21 †Ijms 26 09467 i02127Formation of spirooxindole carbamate derivatives (Scheme 4)A549 (24.20 ± 2.60 µM),
MDA MB-231 (24.93 ± 2.50 µM),
HepG2 (2.50 ± 0.25 µM),
HeLa (7.48 ± 1.23 µM),
HEK-293 (14.25 ± 3.60 µM)
Spirooxindole carbamate bound to CD133 protein. Reduced CSC populations and inhibited tumorsphere formation.[59]
22Ijms 26 09467 i02228Etherification (7-OH)
followed by conjugation with a thiazolidine-2, 4-dione derivative
Anticancer agent as a TLR4 ligandThiazole derivative acted as a TLR4
ligand. Activated NF-κB signaling and reprogrammed TAMs to the M1 phenotype.
[60]
23Ijms 26 09467 i02329a: R = 2-OMe
29b: R = 4-OMe
Hydrazone formation
(condensation)
for 29a: MCF-7 (179.28 µM), HepG2 (166.19 µM)
for 29b: MCF-7 (101.44 µM), HepG2 (236.49 µM)
Hydrazone derivatives showed moderate cytotoxicity. Activity varied with methoxy substitution on
phenylhydrazine.
[61]
24Ijms 26 09467 i02430Imine formation
(condensation)
HepG2 (3.11 ± 0.41 µM),
HCT-116 (3.47 ± 0.69 µM),
A549 (3.35 ± 0.27 µM),
MCF-7 (14.08 ± 0.96 µM)
Ferrocene Schiff base inhibited Topo II.
Induced ROS-mediated apoptosis with ~5-fold selectivity over normal cells.
[64]
25Ijms 26 09467 i02531Chelation with Cr(III) mixed-ligand complexesMCF-7 (8.08 µM)Cr(III)–phenanthroline–chrysin complex increased uptake. Showed higher
cytotoxicity than free chrysin.
[65]
26Ijms 26 09467 i02632Chelation with Cr(III) mixed-ligand complexesMCF-7 (30.85 µM)Cr(III)–metformin–chrysin complex
altered polarity. Demonstrated
improved activity but less than that of
compound 31.
[65]
27Ijms 26 09467 i02733a: (M = Ru), 33b: (M = Rh)
33c: (M = Ir)
R = −(CH2)4-piperidine
Chelation with transition metal complexes For 33a: SW480 (28.5 ± 1.3 µM), A549 (31.3 ± 1.6 µM)
For 33b: SW480 (31.3 ± 1.3 µM), A549 (35.3 ± 1.0 µM)
For 33c: SW480 (15.9 ± 1.3 µM), A549 (18.9 ± 1.1 µM)
Half-sandwich Ru, Rh, Ir complexes showed distinct profiles. Ir(III) complex induced ROS and mitochondrial
apoptosis with high selectivity.
[66]
28Ijms 26 09467 i02834Chelation with boron difluorideMCF-7 (29.7 µM),
SKOV3 (31.9 µM)
Difluoroboron complex modified electronic distribution. Showed >2-fold improved cytotoxicity versus parent
chrysin.
[67]
† Prioritized scaffold, selected based on the following criteria: (i) potency superior to parent chrysin, (ii) mechanistic rationale supported by SAR, and (iii) efficacy demonstrated in in vivo models.
Table 2. Structures, synthesis methods, biological activities, and key mechanisms of chrysin derivatives.
Table 2. Structures, synthesis methods, biological activities, and key mechanisms of chrysin derivatives.
EntryStructureSynthesis MethodsBiological ActivityKey Findings and MechanismsRef
1Ijms 26 09467 i02940Claisen rearrangement of
prenyl group (5-OH)
Anti-inflammatoryInhibited COX-2 (IC50 = 6.76, 9.63 μM vs. chrysin, 18.48 μM) in RAW264.7 cells,
reducing IL-6, TNF-α, and PGE2. Docking showed strong COX-2 binding via H-bonds/hydrophobic contacts, confirming selective inhibition in vitro.
[68]
2Ijms 26 09467 i03042Claisen rearrangement of
allyl group (5-OH)
Anti-inflammatory[68]
3Ijms 26 09467 i03145Etherification (7-OH) followed by sulfonylationAnti-inflammatory/
Anti-psoriasis
Suppressed NO, TNF-α, IL-6, and IL-17A (IC50 = 8.0 μM vs. dexamethasone, 19.5 μM) in RAW264.7 and HaCaT cells. Reduced epidermal thickness and cytokine levels in mice with imiquimod-induced psoriasis through NF-κB/STAT3 inhibition.[69]
4Ijms 26 09467 i03246Etherification (7-OH) followed by conjugation with α-lipoic acidAnti-inflammatoryInhibited monocyte adhesion to colon epithelial cells (IC50 = 4.71 μM vs. α-LA, 12.7 μM).
Ameliorated TNBS-induced colitis in rats by suppressing ICAM-1/MCP-1 expression and JAK2/STAT3 signaling.
[70]
5Ijms 26 09467 i03347a: R = Ac
47b: R = CO2Et
47a: Acetylation using acetic anhydride
47b: Carbonylation using ethyl chloroformate
Anti-inflammatory/
Antioxidant
Reduced ROS, TNF-α, IL-1β, and COX-2 in LPS-stimulated THP-1 macrophages.
Activated Keap1/Nrf2/HO-1; 47a showed the strongest effect, supporting antioxidant/anti-inflammatory dual action.
[71]
6Ijms 26 09467 i03444γ-radiationAnti-inflammatoryReduced cytokine release (TNF-α, IL-6, NO) in RAW264.7 macrophages by upregulating Tollip. In vivo, alleviated dermatitis and endotoxin-induced shock in mice by suppressing NF-κB/MAPK
pathways.
[72,73]
7Ijms 26 09467 i03548γ-radiationAnti-inflammatory[74]
8Ijms 26 09467 i03649a: 2,3-dichlorophenyl
49b: diphenyl methyl
Nucleophilic aromatic substitution with 4,6-dichloropyrimidine derivatives (7-OH) followed by substitution with piperazine analogsAntimicrobialDisplayed strong antibacterial activity against E. coli (MIC 6.25–12.5 μg/mL) and antifungal effects against C. albicans. Docking confirmed binding to E. coli DNA gyrase and C. albicans CYP51, outperforming standard antibiotics.[75]
9Ijms 26 09467 i03750a: R = 3-Cl
50b: R = 4-F
50c: R = 2-OCH3
Conjugation with N-(chloroacetyl) aniline analogs (7-OH)AntimicrobialInhibited >92% biofilm formation in E. coli MTCC40 at sub-MIC levels (33.57% vs. chrysin). Suppressed motility and improved solubility/bioavailability, enhancing anti-biofilm efficacy.[76]
10Ijms 26 09467 i03851Propargylation (7-OH) followed by click reactionAntimicrobial[76]
11Ijms 26 09467 i03952Etherification (7-OH)AntimicrobialInhibited LasR-regulated virulence factors (LasA, pyocyanin, elastase) and biofilm in P. aeruginosa. Docking showed phosphate group binding to Tyr47 in the LasR loop, destabilizing dimerization and DNA binding.[77]
12Ijms 26 09467 i04053Etherification (7-OH) with epichlorohydrin, followed by epoxide openingAntimicrobialExhibited broad antibacterial/antifungal activity (MIC 4.68–9.37 μg/mL; inhibition zones > 20 mm). Docking supported binding to E. coli FabH and S. cerevisiae target enzymes, aligning with experimental potency.[78]
13Ijms 26 09467 i04154a: n = 3, R = 4-methoxyphenyl
54b: n = 3, R = benzyl
54c: n = 4, R = chlorodiphenylmethyl
Etherification (7-OH) followed by nucleophilic substitution with piperazine analogsAntimicrobialActive against S. pyogenes and E. coli (MIC 12.5 μg/mL); weaker activity for 54c.
Docking indicated strong affinity of 54c for S. aureus TyrRS and E. coli DNA GyrB despite higher MIC values.
[79]
14Ijms 26 09467 i04255Etherification (7-OH) under microwave irradiationAntimicrobialShowed potent antibacterial activity (MIC 25–62.5 μg/mL) against MRSA, P. aeruginosa, K. pneumoniae, and E. coli. Nitro substitution enhanced potency up to 20-fold versus chrysin, effective even on resistant strains.[80]
15Ijms 26 09467 i04356Chelation with Cu(II)–1,10-phenanthroline complexesAntioxidantDemonstrated highest antioxidant capacity in ABTS assays among Cu–chrysin complexes.
Improved H-atom transfer efficiency correlated with bulky phenanthroline ligand coordination.
[81]
16Ijms 26 09467 i04457Etherification (7-OH)Antioxidant
(Anti-Alzheimer)
Showed strong antioxidant and BuChE inhibition (sub-μM IC50) in vitro. Reduced Aβ1–42 aggregation and predicted BBB penetration, supporting AD therapeutic potential.[82]
17Ijms 26 09467 i04558Acylation with carbamoyl
chloride derivatives (5,7-OH)
Antioxidant
(Anti-Alzheimer)
Potent BuChE inhibitor (IC50 = 0.035 μM, >1000-fold more potent than AChE) with radical scavenging activity. Released free chrysin in vitro, chelating Cu2+/Fe2+ and blocking Aβ fibril formation.[83]
18Ijms 26 09467 i04659Etherification with morphine
derivative (7-OH) followed by chelation with Cu metal
Antioxidant
(Anti-Alzheimer)
Enhanced antioxidant activity and cholinesterase inhibition in vitro. Suppressed Aβ aggregation with structural validation using X-ray crystallography.[84]
19Ijms 26 09467 i04760Etherification (7-OH) followed by conjugation with 1-deoxynojirimycinAntidiabeticStrong α-glucosidase inhibition (IC50 = 0.51 μ M,
16× DNJ) via mixed-type binding.
Docking revealed stable H-bonds and hydrophobic contacts with catalytic site.
[86]
20Ijms 26 09467 i04861a: R = (CH2)7CH3
61b: R = CH2CHCH2
Etherification (7-OH)AntidiabeticShowed superior α-glucosidase inhibition (IC50 = 0.08–3.47 μM) vs. acarbose. Compound 61a was competitive, while 61b and 62 acted as mixed
inhibitors, demonstrating tunable inhibition modes.
[87]
21Ijms 26 09467 i04962BrominationAntidiabeticα-glucosidase inhibition (IC50 = 2.97 ± 0.03 μM) with mixed-type kinetics.[87]
22Ijms 26 09467 i05063a: R1 = prenyl, R2 = Bn
63b: R1 = prenyl, R2 = prenyl
Etherification
(5,7-OH)
AntidiabeticStimulated adiponectin secretion in hBMSCs and bound PPARγ. Compound 63b showed partial agonist activity comparable to that of pioglitazone, validated via docking and coactivator assays.[88]
23Ijms 26 09467 i05164Etherification
(5,7-OH)
Melanogenesis stimulationEnhanced melanogenesis: 2.7 times increase
(1.9 times higher than chrysin).
[89]
24Ijms 26 09467 i05265Acylation with carbamoyl
chloride derivatives
(7-OH)
Anti-NAFLDIn vitro, it reduced lipid accumulation, oxidative stress, and hepatocellular injury in NAFLD model cells. In vivo, it alleviated hyperlipidemia, liver injury, body and liver weight gain, and insulin resistance in db/db mice.[90]
25Ijms 26 09467 i05366a: R1 = H, R2 = CH3, R3 = H
66b: R1 = CH3, R2 = CH3, R3 = H
66c: R1 = H, R2 = H, R3 = NO2
66d: R1 = H, R2 = H, R3 = NH2
66a, b: Etherification (5,7-OH),
66c, d: Nitration followed by
reduction
Vasorelaxant66a: reduced Ca2+ antagonism, weak vasorelaxant activity
66b: minimal Ca2+ blocking
66c: most potent vasorelaxant (pIC50 = 5.80, Emax ~99%), strong CaV1.2 inhibition
66d: similar efficacy to chrysin (Emax ~93–99%),
vessel-selective vasorelaxation.
[91]
† Prioritized scaffold, selected based on the following criteria: (i) potency superior to parent chrysin, (ii) mechanistic rationale supported by SAR, and (iii) efficacy demonstrated in in vivo models.
Disclaimer/Publisher’s Note: The statements, opinions and data contained in all publications are solely those of the individual author(s) and contributor(s) and not of MDPI and/or the editor(s). MDPI and/or the editor(s) disclaim responsibility for any injury to people or property resulting from any ideas, methods, instructions or products referred to in the content.

Share and Cite

MDPI and ACS Style

Jeong, C.Y.; Kim, C.-E.; Byun, E.-B.; Jeon, J. Chrysin as a Bioactive Scaffold: Advances in Synthesis and Pharmacological Evaluation. Int. J. Mol. Sci. 2025, 26, 9467. https://doi.org/10.3390/ijms26199467

AMA Style

Jeong CY, Kim C-E, Byun E-B, Jeon J. Chrysin as a Bioactive Scaffold: Advances in Synthesis and Pharmacological Evaluation. International Journal of Molecular Sciences. 2025; 26(19):9467. https://doi.org/10.3390/ijms26199467

Chicago/Turabian Style

Jeong, Chae Yun, Chae-Eun Kim, Eui-Baek Byun, and Jongho Jeon. 2025. "Chrysin as a Bioactive Scaffold: Advances in Synthesis and Pharmacological Evaluation" International Journal of Molecular Sciences 26, no. 19: 9467. https://doi.org/10.3390/ijms26199467

APA Style

Jeong, C. Y., Kim, C.-E., Byun, E.-B., & Jeon, J. (2025). Chrysin as a Bioactive Scaffold: Advances in Synthesis and Pharmacological Evaluation. International Journal of Molecular Sciences, 26(19), 9467. https://doi.org/10.3390/ijms26199467

Note that from the first issue of 2016, this journal uses article numbers instead of page numbers. See further details here.

Article Metrics

Back to TopTop