The Promising Role of Selected Fibroblast Growth Factors as Potential Markers of Complications in Type 1 and Type 2 Diabetes
Abstract
1. Introduction
2. Results
2.1. Characteristics of the Study Group
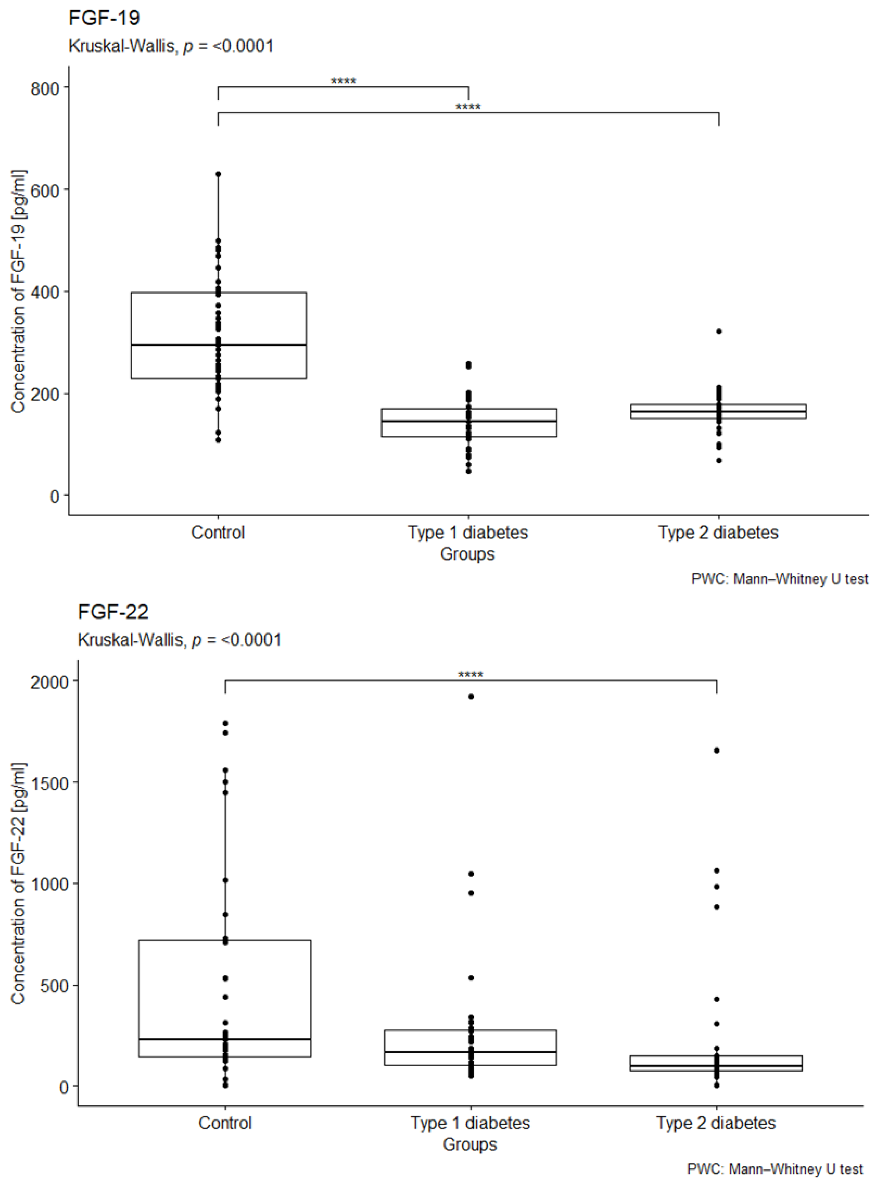
2.2. Analysis of FGF Levels Comparison
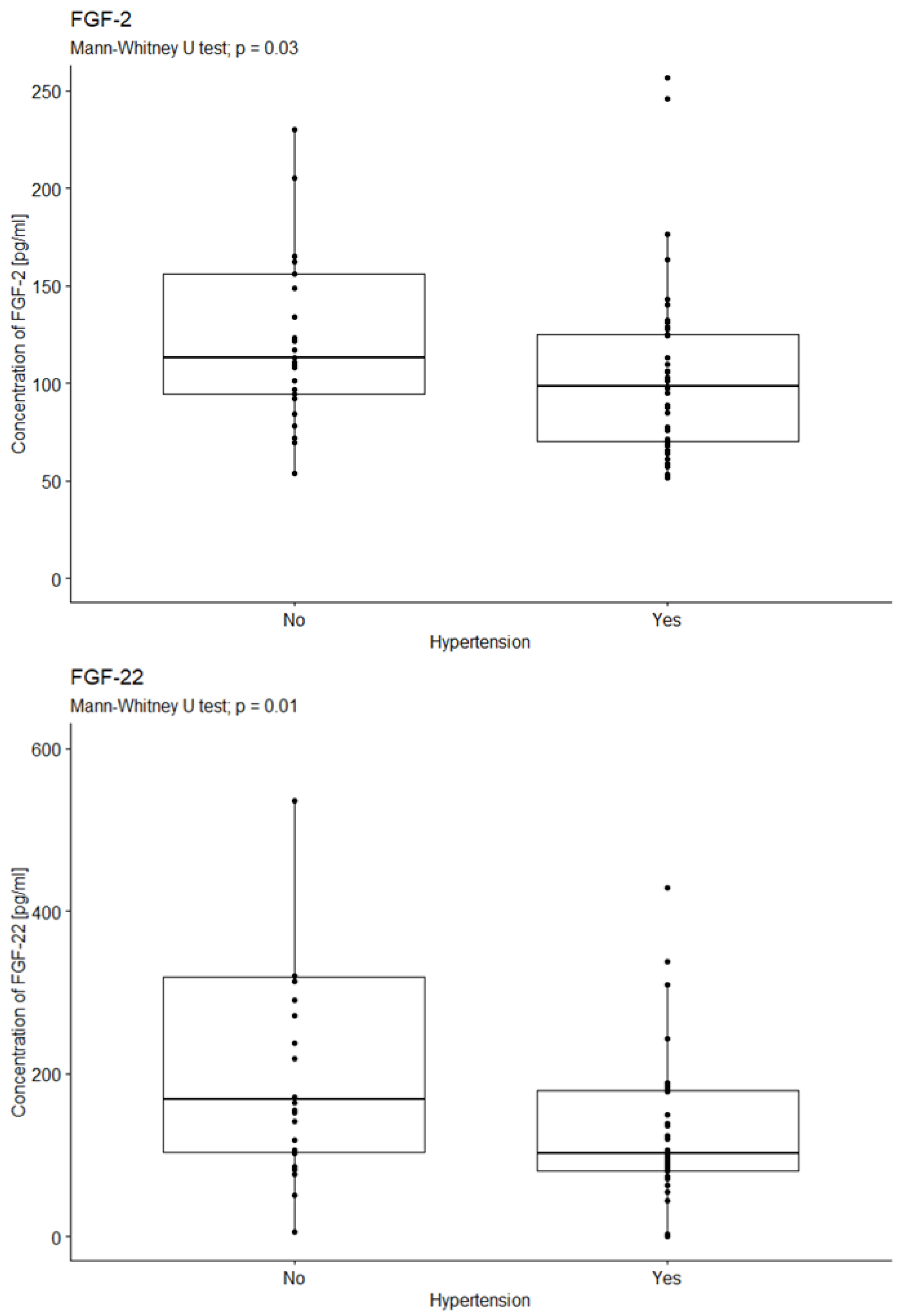
2.2.1. Analysis of the Relationship Between FGF Concentration in the Serum of Diabetic Patients with Hypertension
2.2.2. Analysis of the Relationship Between FGF Concentration in the Serum of Diabetic Patients and BMI
2.3. Analysis of the Relationship Between FGF Concentration in the Serum of Diabetic Patients with Joint Degeneration
2.4. Spearman’s Rank Correlation Analysis
2.5. ANCOVA and a Multivariate Regression Analysis
3. Discussion
4. Materials and Methods
4.1. Material
4.2. Determination of FGF-2 Concentration
4.3. Determination of FGF-19 Concentration
4.4. Determination of FGF-22 Concentration
4.5. Determination of FGF-23 Concentration
4.6. Statistical Analysis
5. Conclusions
Supplementary Materials
Author Contributions
Funding
Institutional Review Board Statement
Informed Consent Statement
Data Availability statement
Conflicts of Interest
References
- van der Vaart, A.; Yeung, S.M.H.; van Dijk, P.R.; Bakker, S.J.L.; de Borst, M.H. Phosphate and fibroblast growth factor 23 in diabetes. Clin. Sci. 2021, 135, 1669–1687. [Google Scholar] [CrossRef]
- Jin, Q.; Ma, R.C.W. Metabolomics in Diabetes and Diabetic Complications: Insights from Epidemiological Studies. Cells 2021, 10, 2832. [Google Scholar] [CrossRef]
- Artasensi, A.; Pedretti, A.; Vistoli, G.; Fumagalli, L. Type 2 Diabetes Mellitus: A Review of Multi-Target Drugs. Molecules 2020, 25, 1987. [Google Scholar] [CrossRef]
- Nuha, A.E.; Grazia, A.; Vanita, R.A.; Raveendhara, R.B.; Florence, M.B.; Dennis, B.; Billy, S.C.; Jason, L.G.; Marisa, E.H.; Diana, I.; et al. 2. Classification and Diagnosis of Diabetes: Standards of Care in Diabetes-2023. Diabetes Care 2023, 46 (Suppl. S1), S19–S40. [Google Scholar]
- Demir, S.; Nawroth, P.P.; Herzig, S.; Ekim Üstünel, B. Emerging Targets in Type 2 Diabetes and Diabetic Complications. Adv. Sci. 2021, 8, e2100275. [Google Scholar] [CrossRef] [PubMed]
- Udler, M.S.; McCarthy, M.I.; Florez, J.C.; Mahajan, A. Genetic Risk Scores for Diabetes Diagnosis and Precision Medicine. Endocr. Rev. 2019, 40, 1500–1520. [Google Scholar] [CrossRef]
- Deng, J.; Liu, Y.; Liu, Y.; Li, W.; Nie, X. The Multiple Roles of Fibroblast Growth Factor in Diabetic Nephropathy. J. Inflamm. Res. 2021, 14, 5273–5290. [Google Scholar] [CrossRef]
- Liu, Y.; Liu, Y.; Deng, J.; Li, W.; Nie, X. Fibroblast Growth Factor in Diabetic Foot Ulcer: Progress and Therapeutic Prospects. Front. Endocrinol. 2021, 12, 744868. [Google Scholar] [CrossRef]
- Megallaa, M.H.; Ismail, A.A.; Zeitoun, M.H.; Khalifa, M.S. Association of diabetic foot ulcers with chronic vascular diabetic complications in patients with type 2 diabetes. Diabetes Metab. Syndr. 2019, 13, 1287–1292. [Google Scholar]
- Guthrie, G.; Vonderohe, C.; Burrin, D. Fibroblast growth factor 15/19 expression, regulation, and function: An overview. Mol. Cell. Endocrinol. 2022, 548, 111617. [Google Scholar] [CrossRef]
- Rysz, J.; Gluba-Brzózka, A.; Mikhailidis, D.P.; Banach, M. Fibroblast growth factor 19-targeted therapies for treating metabolic disease. Expert. Opin. Investig. Drugs 2015, 24, 603–610. [Google Scholar] [PubMed]
- Donate-Correa, J.; Martín-Núñez, E.; González-Luis, A.; Ferri, C.M.; Luis-Rodríguez, D.; Tagua, V.G.; Mora-Fernández, C.; Navarro-González, J.F. Pathophysiological Implications of Imbalances in Fibroblast Growth Factor 23 in the Development of Diabetes. J. Clin. Med. 2021, 10, 2583. [Google Scholar] [CrossRef]
- Czaya, B.; Faul, C. FGF23 and inflammation-a vicious coalition in CKD. Kidney Int. 2019, 96, 813–815. [Google Scholar] [CrossRef] [PubMed]
- Xie, L.; Zhang, M.; Dong, B.; Guan, M.; Lu, M.; Huang, Z.; Gao, H.; Li, X. Improved Refractory Wound Healing with Administration of Acidic Fibroblast Growth Factor in Diabetic Rats. Diabetes Res. Clin. Pract. 2011, 93, 396–403. [Google Scholar] [CrossRef] [PubMed]
- Huang, C.; Orbay, H.; Tobita, M.; Miyamoto, M.; Tabata, Y.; Hyakusoku, H.; Mizuno, H. Proapoptotic Effect of Control-Released Basic Fibroblast Growth Factor on Skin Wound Healing in a Diabetic Mouse Model. Wound Repair. Regener 2016, 24, 65–74. [Google Scholar] [CrossRef]
- Cheng, X.; Zhu, B.; Jiang, F.; Fan, H. Serum FGF-21 Levels in Type 2 Diabetic Patients. Endocr. Res. 2011, 36, 142–148. [Google Scholar] [CrossRef]
- Yeung, S.M.H.; Bakker, S.J.L.; Laverman, G.D.; De Borst, M.H. Fibroblast Growth Factor 23 and Adverse Clinical Outcomes in Type 2 Diabetes: A Bitter-Sweet Symphony. Curr. Diab. Rep. 2020, 20, 50. [Google Scholar]
- Cole, J.B.; Florez, J.C. Genetics of diabetes mellitus and diabetes complications. Nat. Rev. Nephrol. 2020, 16, 377–390. [Google Scholar] [CrossRef]
- Brownlee, M. Biochemistry and molecular cell biology of diabetic complications. Nature 2001, 414, 813–820. [Google Scholar] [CrossRef]
- Zhang, C.Y.; Yang, M. Roles of fibroblast growth factors in the treating diabetes. World J. Diabetes 2024, 15, 392–402. [Google Scholar]
- Cho, H.W.; Jin, H.S.; Eom, Y.B. FGFRL1 and FGF genes are associated with height, hypertension, and osteoporosis. PLoS ONE 2022, 17, e0273237. [Google Scholar] [CrossRef]
- Dono, R.; Texido, G.; Dussel, R.; Ehmke, H.; Zeller, R. Impaired cerebral cortex development and blood pressure regulation in FGF-2-deficient mice. EMBO J. 1998, 17, 4213–4225. [Google Scholar] [CrossRef] [PubMed]
- Facchiano, F.; D’Arcangelo, D.; Russo, K.; Fogliano, V.; Mennella, C.; Ragone, R.; Zambruno, G.; Carbone, V.; Ribatti, D.; Peschle, C.; et al. Glycated fibroblast growth factor-2 is quickly produced in vitro upon low-millimolar glucose treatment and detected in vivo in diabetic mice. Mol. Endocrinol. 2006, 20, 2806–2818. [Google Scholar] [CrossRef] [PubMed]
- Huang, H.; Luo, L.; Liu, Z.; Li, Y.; Tong, Z.; Liu, Z. Role of TNF-α and FGF-2 in the Fracture Healing Disorder of Type 2 Diabetes Model Induced by High Fat Diet Followed by Streptozotocin. Diabetes Metab. Syndr. Obes. 2020, 13, 2279–2288. [Google Scholar] [CrossRef] [PubMed]
- Hiller, J.; Stratmann, B.; Timm, J.; Costea, T.C.; Tschoepe, D. Enhanced growth factor expression in chronic diabetic wounds treated by cold atmospheric plasma. Diabet. Med. 2022, 39, e14787. [Google Scholar] [CrossRef]
- Incani, M.; Sentinelli, F.; Perra, L.; Pani, M.G.; Porcu, M.; Lenzi, A.; Cavallo, M.G.; Cossu, E.; Leonetti, F.; Baroni, M.G. Glycated hemoglobin for diagnosing diabetes and prediabetes: Diagnostic impact on obese and lean subjects, and phenotypic characterization. J. Diabetes Investig. 2015, 6, 44–50. [Google Scholar] [CrossRef]
- Tu, L.; Dewachter, L.; Gore, B.; Fadel, E.; Dartevelle, P.; Simonneau, G.; Humbert, M.; Eddahibi, S.; Guignabert, C. Autocrine fibroblast growth factor-2 signaling contributes to altered endothelial phenotype in pulmonary hypertension. Am. J. Respir. Cell Mol. Biol. 2011, 45, 311–322. [Google Scholar] [CrossRef]
- Fior-Chadi, D.R.; Varella, T.C.; Maximino, J.R.; Chadi, G. Aortic coarctation hypertension induces fibroblast growth factor-2 immunoreactivity in the stimulated nucleus tractus solitarii. J. Mol. Histol. 2007, 38, 285–294. [Google Scholar] [CrossRef]
- Barutcuoglu, B.; Basol, G.; Cakir, Y.; Cetinkalp, S.; Parildar, Z.; Kabaroglu, C.; Ozmen, D.; Mutaf, I.; Bayindir, O. Fibroblast growth factor-19 levels in type 2 diabetic patients with metabolic syndrome. Ann. Clin. Lab. Sci. 2011, 41, 390–396. [Google Scholar]
- Barutcuoglu, B.; Basol, G.; Cakir, Y.; Cetinkalp, S.; Parildar, Z.; Kabaroglu, C.; Ozmen, D.; Mutaf, I.; Bayindir, O. Decreased serum fibroblast growth factor 19 level is a risk factor for type 1 diabetes. Ann. Transl. Med. 2021, 9, 376. [Google Scholar] [CrossRef]
- Fu, L.; John, L.M.; Adams, S.H.; Yu, X.X.; Tomlinson, E.; Renz, M.; Williams, P.M.; Soriano, R.; Corpuz, R.; Moffat, B.; et al. Fibroblast growth factor 19 increases metabolic rate and reverses dietary and leptin-deficient diabetes. Endocrinology 2004, 145, 2594–2603. [Google Scholar] [CrossRef]
- Tomlinson, E.; Fu, L.; John, L.; Hultgren, B.; Huang, X.; Renz, M.; Stephan, J.P.; Tsai, S.P.; Powell-Braxton, L.; French, D.; et al. Transgenic mice expressing human fibroblast growth factor-19 display increased metabolic rate and decreased adiposity. Endocrinology 2002, 143, 1741–1747. [Google Scholar] [CrossRef] [PubMed]
- Li, X.; Lu, W.; Kharitonenkov, A.; Luo, Y. Targeting the FGF19-FGFR4 pathway for cholestatic, metabolic, and cancerous diseases. J. Intern. Med. 2024, 295, 292–312. [Google Scholar] [CrossRef] [PubMed]
- Wang, D.; Zhu, W.; Li, J.; An, C.; Wang, Z. Serum concentrations of fibroblast growth factors 19 and 21 in women with gestational diabetes mellitus: Association with insulin resistance, adiponectin, and polycystic ovary syndrome history. PLoS ONE 2013, 8, e81190. [Google Scholar] [CrossRef] [PubMed]
- Mráz, M.; Lacinová, Z.; Kaválková, P.; Haluzíková, D.; Trachta, P.; Drápalová, J.; Hanušová, V.; Haluzík, M. Serum concentrations of fibroblast growth factor 19 in patients with obesity and type 2 diabetes mellitus: The influence of acute hyperinsulinemia, very-low calorie diet and PPAR-α agonist treatment. Physiol. Res. 2011, 60, 627–636. [Google Scholar]
- Lundåsen, T.; Gälman, C.; Angelin, B.; Rudling, M. Circulating intestinal fibroblast growth factor 19 has a pronounced diurnal variation and modulates hepatic bile acid synthesis in man. J. Intern. Med. 2006, 260, 530–536. [Google Scholar] [CrossRef]
- Angelin, B.; Larsson, T.E.; Rudling, M. Circulating fibroblast growth factors as metabolic regulators-a critical appraisal. Cell Metab. 2012, 16, 693–705. [Google Scholar]
- Gómez-Ambrosi, J.; Gallego-Escuredo, J.M.; Catalán, V.; Rodríguez, A.; Domingo, P.; Moncada, R.; Valentí, V.; Salvador, J.; Giralt, M.; Villarroya, F.; et al. FGF19 and FGF21 serum concentrations in human obesity and type 2 diabetes behave differently after diet- or surgically-induced weight loss. Clin. Nutr. 2017, 36, 861–868. [Google Scholar] [CrossRef]
- Stejskal, D.; Karpísek, M.; Hanulová, Z.; Stejskal, P. Fibroblast growth factor-19: Development, analytical characterization and clinical evaluation of a new ELISA test. Scand. J. Clin. Lab. Investig. 2008, 68, 501–507. [Google Scholar] [CrossRef]
- Asicioglu, E.; Kahveci, A.; Arikan, H.; Koc, M.; Tuglular, S.; Ozener, C. Fibroblast growth factor-23 levels are associated with uric acid but not carotid intima media thickness in renal transplant recipients. Transplant. Proc. 2014, 46, 180–183. [Google Scholar] [CrossRef]
- Xu, Y.H.; Yu, M.; Wei, H.; Yao, S.; Chen, S.Y.; Zhu, X.L.; Li, Y.F. Fibroblast growth factor 22 is a novel modulator of depression through interleukin-1β. CNS Neurosci. Ther. 2017, 23, 907–916. [Google Scholar] [CrossRef]
- Chaudhuri, A.; Janicke, D.; Wilson, M.F.; Tripathy, D.; Garg, R.; Bandyopadhyay, A.; Calieri, J.; Hoffmeyer, D.; Syed, T.; Ghanim, H.; et al. Anti-inflammatory and profibrinolytic effect of insulin in acute ST-segment-elevation myocardial infarction. Circulation 2004, 109, 849–854. [Google Scholar] [CrossRef] [PubMed]
- Jin, Z.; Zhang, Q.; Liu, K.; Wang, S.; Yan, Y.; Zhang, B.; Zhao, L. The association between interleukin family and diabetes mellitus and its complications: An overview of systematic reviews and meta-analyses. Diabetes Res. Clin. Pract. 2024, 210, 111615. [Google Scholar] [CrossRef] [PubMed]
- Donath, M.Y.; Meier, D.T.; Böni-Schnetzler, M. Inflammation in the pathophysiology and therapy of type 2 diabetes. Nat. Rev. Immunol. 2019, 19, 635–646. [Google Scholar]
- Dinarello, C.A. Interleukin-1 in the pathogenesis and treatment of inflammatory diseases. Blood 2011, 117, 3720–3732. [Google Scholar] [CrossRef]
- Xie, Y.; Su, N.; Yang, J.; Tan, Q.; Huang, S.; Jin, M.; Ni, Z.; Zhang, B.; Zhang, D.; Luo, F.; et al. FGF/FGFR signaling in health and disease. Signal Transduct. Target. Ther. 2020, 5, 181. [Google Scholar] [CrossRef]
- Fiorentino, T.V.; Prioletta, A.; Zuo, P.; Folli, F. Hyperglycemia-induced oxidative stress and its role in diabetes mellitus related cardiovascular diseases. Curr. Pharm. Des. 2013, 19, 5695–5703. [Google Scholar] [CrossRef]
- Kawai, T.; Autieri, M.V.; Scalia, R. Adipose tissue inflammation and metabolic dysfunction in obesity. Am. J. Physiol. Cell Physiol. 2021, 320, C375–C391. [Google Scholar]
- Miri, M.; Ahmadi, M.; Hatami, M. Correlation Between Fibroblast Growth Factor-23 and Pulmonary Arterial Hypertension in Hemodialysis Patients. Iran. J. Kidney Dis. 2021, 15, 300–305. [Google Scholar] [CrossRef]
- Kendrick, J.; Cheung, A.K.; Kaufman, J.S.; Greene, T.; Roberts, W.L.; Smits, G.; Chonchol, M.; HOST Investigators. FGF-23 associates with death, cardiovascular events, and initiation of chronic dialysis. J. Am. Soc. Nephrol. 2011, 22, 1913–1922. [Google Scholar] [CrossRef]
- Rodelo-Haad, C.; Rodríguez-Ortiz, M.E.; Martin-Malo, A.; Pendon-Ruiz de Mier, M.V.; Agüera, M.L.; Muñoz-Castañeda, J.R.; Soriano, S.; Caravaca, F.; Alvarez-Lara, M.A.; Felsenfeld, A.; et al. Phosphate control in reducing FGF23 levels in hemodialysis patients. PLoS ONE 2018, 13, e0201537. [Google Scholar] [CrossRef]
- Wahl, P.; Xie, H.; Scialla, J.; Anderson, C.A.; Bellovich, K.; Brecklin, C.; Chen, J.; Feldman, H.; Gutierrez, O.M.; Lash, J.; et al. Chronic Renal Insufficiency Cohort Study Group. Earlier onset and greater severity of disordered mineral metabolism in diabetic patients with chronic kidney disease. Diabetes Care 2012, 35, 994–1001. [Google Scholar] [CrossRef] [PubMed]
- Orfanidou, T.; Iliopoulos, D.; Malizos, K.N.; Tsezou, A. Involvement of SOX-9 and FGF-23 in RUNX-2 regulation in osteoarthritic chondrocytes. J. Cell Mol. Med. 2009, 13, 3186–3194. [Google Scholar] [CrossRef] [PubMed]
- Wang, S.; Yang, Q.; Yu, S.; Pan, R.; Jiang, D.; Liu, Y.; Hu, H.; Sun, W.; Hong, X.; Xue, H.; et al. Fibroblast growth factor 1 levels are elevated in newly diagnosed type 2 diabetes compared to normal glucose tolerance controls. Endocr. J. 2016, 63, 359–365. [Google Scholar] [CrossRef]
- Aleem, M.; Maqsood, H.; Younus, S.; Zafar, A.F.; Talpur, A.S.; Shakeel, H. Fibroblast Growth Factor 21 and Its Association With Oxidative Stress and Lipid Profile in Type 2 Diabetes Mellitus. Cureus 2021, 13, e17723. [Google Scholar] [CrossRef]
- Livingston, M.J.; Shu, S.; Fan, Y.; Li, Z.; Jiao, Q.; Yin, X.M.; Venkatachalam, M.A.; Dong, Z. Tubular cells produce FGF2 via autophagy after acute kidney injury leading to fibroblast activation and renal fibrosis. Autophagy 2023, 19, 256–277. [Google Scholar] [CrossRef]
- Razzaque, M.S. FGF23-mediated regulation of systemic phosphate homeostasis: Is Klotho an essential player? Am. J. Physiol. Renal Physiol. 2009, 296, F470–F476. [Google Scholar] [CrossRef]
- Gallego-Escuredo, J.M.; Gómez-Ambrosi, J.; Catalan, V.; Domingo, P.; Giralt, M.; Frühbeck, G.; Villarroya, F. Opposite alterations in FGF21 and FGF19 levels and disturbed expression of the receptor machinery for endocrine FGFs in obese patients. Int. J. Obes. 2015, 39, 121–129. [Google Scholar] [CrossRef]
- Tang, M.J.; Su, J.B.; Xu, T.L.; Wang, X.Q.; Zhang, D.M.; Liu, Y.; Zhang, Y.; Zhang, Y.H.; Wang, X.H. Serum fibroblast growth factor 19 and endogenous islet beta cell function in type 2 diabetic patients. Diabetol. Metab. Syndr. 2019, 11, 79. [Google Scholar] [CrossRef]
- Chen, H.-Y.; Fang, W.-C.; Chu, S.-C.; Wang, P.-H.; Lee, C.-C.; Wu, I.-W.; Sun, C.-Y.; Hsu, H.-J.; Chen, C.-Y.; Chen, Y.-C.; et al. Circulating Fibroblast Growth Factor-23 Levels Can Predict Rapid Kidney Function Decline in a Healthy Population: A Community-Based Study. Biomolecules 2023, 13, 31. [Google Scholar] [CrossRef]
- Marthi, A.; Donovan, K.; Haynes, R.; Wheeler, D.C.; Baigent, C.; Rooney, C.M.; Landray, M.J.; Moe, S.M.; Yang, J.; Holland, L.; et al. Fibroblast growth factor-23 and risks of cardiovascular and noncardiovascular diseases: A meta-analysis. J. Am. Soc. Nephrol. 2018, 29, 2015–2027. [Google Scholar] [CrossRef]
- Rodelo-Haad, C.; Santamaria, R.; Muñoz-Castañeda, J.R.; Pendón-Ruiz de Mier, M.V.; Martin-Malo, A.; Rodriguez, M. FGF23, biomarker or target? Toxins 2019, 11, 473. [Google Scholar] [CrossRef]





| Parameter | Control | Diabetes Type 1 | Diabetes Type 2 | p * | p ** |
|---|---|---|---|---|---|
| Sex | F-18 M-23 | F-15 M-18 | F-21 M-20 | NS | NS |
| Age [years] | 26.6 ± 8.23 | 40.1 ± 16.1 | 71.8 ± 12.5 | <0.0001 | <0.0001 |
| BMI | 23.7 ± 3.82 | 25.3 ± 4.85 | 31.9 ± 7.18 | <0.0001 | <0.0001 |
| Duration of the disease | - | 19.5 ± 14.8 | 13.4 ± 10.7 | NS | - |
| Medications Taken | Diabetes Type 1 | Diabetes Type 2 | ||||
|---|---|---|---|---|---|---|
| Number | Number of Components | % | Number | Number of Components | % | |
| Insulin | 31 | 31 | 96.88% | 12 | 12 | 29.27% |
| Metformin | 4 | 35 | 12.50% | 16 | 28 | 39.02% |
| Other tablets | 0 | 35 | 0.00% | 12 | 40 | 29.27% |
| Diabetic Complications | Diabetes Type 1 | Diabetes Type 2 | ||||
|---|---|---|---|---|---|---|
| Number | Number of Components | % | Number | Number of Components | % | |
| No complications | 19 | 19 | 59.38% | 7 | 7 | 17.07% |
| Diabetic foot | 4 | 23 | 12.50% | 1 | 8 | 2.44% |
| Retinopathy | 10 | 33 | 31.25% | 5 | 13 | 12.20% |
| Nephropathy | 12 | 45 | 37.50% | 3 | 16 | 7.32% |
| Neuropathy | 10 | 55 | 31.25% | 4 | 20 | 9.76% |
| Other complications | 20 | 75 | 62.50% | 39 | 59 | 95.12% |
| The Occurrence of Chronic Diseases | Diabetes Type 1 | Diabetes Type 2 | ||||
|---|---|---|---|---|---|---|
| Number | Number of Components | % | Number | Number of Components | % | |
| NO | 2 | 2 | 6.25% | 2 | 2 | 4.88% |
| Heart diseases | 4 | 6 | 12.50% | 11 | 13 | 26.83% |
| Other circulatory system diseases | 11 | 17 | 34.38% | 37 | 50 | 90.24% |
| Hypertension | 11 | 28 | 34.38% | 36 | 86 | 87.80% |
| Blood vessel diseases | 6 | 34 | 18.75% | 6 | 92 | 14.63% |
| Lung diseases | 1 | 35 | 3.12% | 7 | 99 | 17.07% |
| Digestive system diseases | 6 | 41 | 18.75% | 10 | 109 | 24.39% |
| Liver diseases | 0 | 41 | 0.00% | 4 | 113 | 9.76% |
| Urinary system diseases | 5 | 46 | 15.62% | 29 | 142 | 70.73% |
| Gout | 4 | 50 | 12.50% | 8 | 150 | 19.51% |
| Thyroid diseases | 6 | 56 | 18.75% | 13 | 163 | 31.71% |
| Nervous system diseases | 4 | 60 | 12.50% | 2 | 165 | 4.88% |
| Systemic diseases | 6 | 66 | 18.75% | 23 | 188 | 56.10% |
| Osteoarticular | 3 | 69 | 9.38% | 19 | 207 | 46.34% |
| Joint degeneration | 5 | 74 | 15.62% | 10 | 217 | 24.39% |
| Blood and coagulation diseases | 6 | 80 | 18.75% | 13 | 230 | 31.71% |
| Eye diseases | 7 | 87 | 21.88% | 0 | 230 | 0.00% |
| Mood changes | 2 | 89 | 6.25% | 2 | 232 | 4.88% |
| Infectious diseases | 1 | 90 | 3.12% | 3 | 235 | 7.32% |
| Rheumatic diseases | 0 | 90 | 0.00% | 1 | 236 | 2.44% |
| Osteoporosis | 5 | 95 | 15.62% | 36 | 272 | 87.80% |
| Variables | N | Rank Correlation Coefficient | p |
|---|---|---|---|
| Age vs. FGF-2 | 114 | −0.06 | NS |
| Age vs. FGF-19 | 114 | −0.28 | 0.004 |
| Age vs. FGF-22 | 114 | −0.45 | <0.001 |
| Age vs. FGF-23 | 114 | 0.19 | NS |
| BMI vs. FGF-2 | 114 | −0.00 | NS |
| BMI vs. FGF-19 | 114 | −0.28 | 0.005 |
| BMI vs. FGF-22 | 114 | −0.46 | <0.001 |
| BMI vs. FGF-23 | 114 | 0.05 | NS |
| Variables | N | Rank Correlation Coefficient | p |
| Age vs. FGF-2 | 73 | −0.27 | 0.022 |
| Age vs. FGF-19 | 73 | 0.22 | NS |
| Age vs. FGF-22 | 73 | −0.32 | 0.005 |
| Age vs. FGF-23 | 73 | 0.08 | NS |
| BMI vs. FGF-2 | 73 | −0.04 | NS |
| BMI vs. FGF-19 | 73 | 0.05 | NS |
| BMI vs. FGF-22 | 73 | −0.42 | <0.001 |
| BMI vs. FGF-23 | 73 | 0.06 | NS |
| Variables | N | Rank Correlation Coefficient | p |
| Age vs. FGF-2 | 31 | −0.26 | NS |
| Age vs. FGF-19 | 31 | 0.24 | NS |
| Age vs. FGF-22 | 31 | −0.39 | 0.027 |
| Age vs. FGF-23 | 31 | 0.21 | NS |
| BMI vs. FGF-2 | 31 | −0.14 | NS |
| BMI vs. FGF-19 | 31 | 0.35 | 0.05 |
| BMI vs. FGF-22 | 31 | −0.29 | NS |
| BMI vs. FGF-23 | 31 | 0.09 | NS |
| Variables | N | Rank Correlation Coefficient | P |
| Age vs. FGF-2 | 41 | −0.02 | NS |
| Age vs. FGF-19 | 41 | 0.25 | NS |
| Age vs. FGF-22 | 41 | 0.03 | NS |
| Age vs. FGF-23 | 41 | 0.14 | NS |
| BMI vs. FGF-2 | 41 | 0.16 | NS |
| BMI vs. FGF-19 | 41 | −0.35 | 0.022 |
| BMI vs. FGF-22 | 41 | −0.30 | NS |
| BMI vs. FGF-23 | 41 | −0.26 | NS |
| Variables | N | Rank Correlation Coefficient | p |
|---|---|---|---|
| HBA1C vs. FGF-2 | 73 | 0.16 | NS |
| HBA1C vs. FGF-19 | 73 | −0.09 | NS |
| HBA1C vs. FGF-22 | 73 | −0.13 | NS |
| HBA1C vs. FGF-23 | 73 | 0.64 | <0.001 |
| Independent Variable | β | R2 | p | p for Model | F | |
|---|---|---|---|---|---|---|
| FGF-2 | diabetic foot | 0.112965 | 0.263 | NS | NS | 0.850 |
| retinopathy | −0.110895 | NS | ||||
| nephropathy | −0.075255 | NS | ||||
| neuropathy | 0.047224 | NS | ||||
| or other chronic diseases? Yes/No | 0.070175 | NS | ||||
| heart diseases | −0.126949 | NS | ||||
| other circulatory system diseases | −0.138517 | NS | ||||
| arterial hypertension—YES/NO | 0.220509 | NS | ||||
| blood vessel diseases | −0.079959 | NS | ||||
| lung diseases | −0.083051 | NS | ||||
| systemic diseases, digestive system | 0.116100 | NS | ||||
| liver diseases | 0.084055 | NS | ||||
| systemic diseases, urinary tract | 0.586893 | 0.037 | ||||
| gout | −0.166920 | NS | ||||
| thyroid diseases | 0.020166 | NS | ||||
| systemic diseases nervous | −0.012424 | NS | ||||
| systemic diseases osteoarticular | −0.170370 | NS | ||||
| joint degeneration | 0.166763 | NS | ||||
| blood and systemic diseases, clotting | −0.004424 | NS | ||||
| eye diseases | 0.020460 | NS |
| Independent Variable | β | R2 | p | p for Model | F | |
|---|---|---|---|---|---|---|
| FGF-23 | diabetic foot | 0.148754 | 0.301 | NS | NS | 1.024 |
| retinopathy | −0.250782 | NS | ||||
| nephropathy | 0.150875 | NS | ||||
| neuropathy | 0.194741 | NS | ||||
| or other chronic diseases? Yes No | 0.055626 | NS | ||||
| heart diseases | 0.095206 | NS | ||||
| other circulatory system diseases | −0.055029 | NS | ||||
| arterial hypertension | 0.108258 | NS | ||||
| blood vessel diseases | −0.034295 | NS | ||||
| lung diseases | 0.136807 | NS | ||||
| systemic diseases, digestive system | 0.032524 | NS | ||||
| liver diseases | 0.012118 | NS | ||||
| systemic diseases, urinary tract | 0.241291 | NS | ||||
| gout | −0.356860 | 0.024 | ||||
| thyroid diseases | 0.213651 | NS | ||||
| systemic diseases nervous | −0.101706 | NS | ||||
| systemic diseases osteoarticular | 0.031397 | NS | ||||
| joint degeneration | 0.311688 | NS | ||||
| blood and systemic diseases, clotting | −0.034704 | NS | ||||
| eye diseases | −0.108087 | NS |
| FGF-19 | F | p |
|---|---|---|
| Age | 0.842 | NS |
| BMI | 0.708 | NS |
| Group | 3.362 | 0.038 |
| Systemic diseases, urinary tract | 2.440 | NS |
| Joint degeneration | 0.034 | NS |
| FGF-23 | F | p |
| Age | 0.118 | NS |
| BMI | 2.604 | NS |
| Systemic diseases, urinary tract | 72.3300 | <0.001 |
| Joint degeneration | 550.575 | <0.001 |
Disclaimer/Publisher’s Note: The statements, opinions and data contained in all publications are solely those of the individual author(s) and contributor(s) and not of MDPI and/or the editor(s). MDPI and/or the editor(s) disclaim responsibility for any injury to people or property resulting from any ideas, methods, instructions or products referred to in the content. |
© 2025 by the authors. Licensee MDPI, Basel, Switzerland. This article is an open access article distributed under the terms and conditions of the Creative Commons Attribution (CC BY) license (https://creativecommons.org/licenses/by/4.0/).
Share and Cite
Cecerska-Heryć, E.; Michałów, J.; Engwert, W.; Marciniak, J.; Birger, R.; Serwin, N.; Heryć, R.; Polikowska, A.; Goszka, M.; Wiśniewska, M.; et al. The Promising Role of Selected Fibroblast Growth Factors as Potential Markers of Complications in Type 1 and Type 2 Diabetes. Int. J. Mol. Sci. 2025, 26, 8754. https://doi.org/10.3390/ijms26178754
Cecerska-Heryć E, Michałów J, Engwert W, Marciniak J, Birger R, Serwin N, Heryć R, Polikowska A, Goszka M, Wiśniewska M, et al. The Promising Role of Selected Fibroblast Growth Factors as Potential Markers of Complications in Type 1 and Type 2 Diabetes. International Journal of Molecular Sciences. 2025; 26(17):8754. https://doi.org/10.3390/ijms26178754
Chicago/Turabian StyleCecerska-Heryć, Elżbieta, Jaśmina Michałów, Weronika Engwert, Julia Marciniak, Radosław Birger, Natalia Serwin, Rafał Heryć, Aleksandra Polikowska, Małgorzata Goszka, Magda Wiśniewska, and et al. 2025. "The Promising Role of Selected Fibroblast Growth Factors as Potential Markers of Complications in Type 1 and Type 2 Diabetes" International Journal of Molecular Sciences 26, no. 17: 8754. https://doi.org/10.3390/ijms26178754
APA StyleCecerska-Heryć, E., Michałów, J., Engwert, W., Marciniak, J., Birger, R., Serwin, N., Heryć, R., Polikowska, A., Goszka, M., Wiśniewska, M., & Dołęgowska, B. (2025). The Promising Role of Selected Fibroblast Growth Factors as Potential Markers of Complications in Type 1 and Type 2 Diabetes. International Journal of Molecular Sciences, 26(17), 8754. https://doi.org/10.3390/ijms26178754

