A Novel Method for Obtaining Well-Separated Mn3O4 Nanocrystallites Deposited on the Surface of Spherical Silica
Abstract
1. Introduction
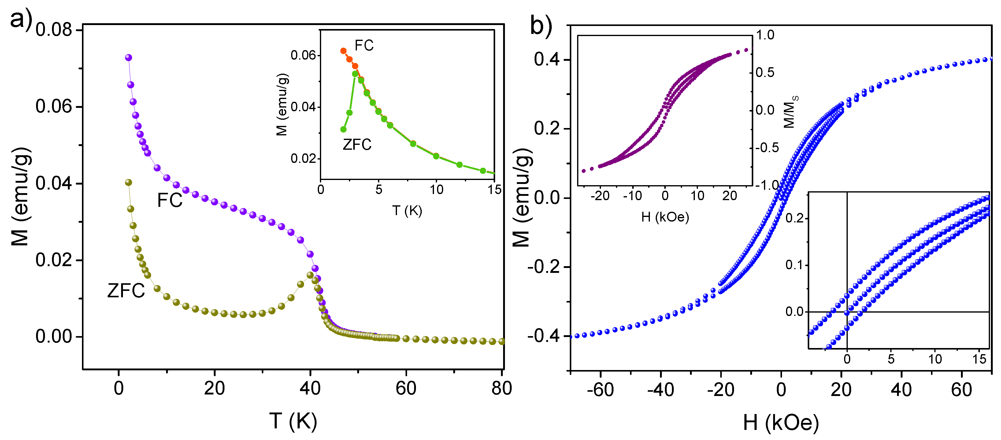
2. Results and Discussion
3. Materials and Methods
3.1. Synthesis Procedure
3.2. Characterization Methods
4. Conclusions
Supplementary Materials
Author Contributions
Funding
Data Availability Statement
Conflicts of Interest
References
- Pan, H.; Shao, Y.; Yan, P.; Cheng, Y.; Han, K.S.; Nie, Z.; Wang, C.; Yang, J.; Li, X.; Bhattacharya, P.; et al. Reversible aqueous zinc/manganese oxide energy storage from conversion reactions. Nat. Energy 2016, 1, 16039. [Google Scholar] [CrossRef]
- Liu, X.; Chen, C.; Zhao, Y.; Jia, B. A review on the synthesis of manganese oxide nanomaterials and their applications on lithium-ion batteries. J. Nanomater. 2013, 2013, 736375. [Google Scholar] [CrossRef]
- Yan, D.; Cheng, S.; Zhuo, R.; Chen, J.; Feng, J.; Feng, H.; Li, H.; Wu, Z.; Wang, J.; Yan, P. Nanoparticles and 3D sponge-like porous networks of manganese oxides and their microwave absorption properties. Nanotechnology 2009, 20, 105706. [Google Scholar] [CrossRef] [PubMed]
- Laskowski, Ł.; Laskowska, M.; Jelonkiewicz, J.; Boullanger, A. Molecular approach to hopfield neural network. In Proceedings of the Artificial Intelligence and Soft Computing: 14th International Conference, ICAISC 2015, Zakopane, Poland, 14–18 June 2015; Proceedings, Part I 14. Springer: Cham, Switzerland, 2015; pp. 72–78. [Google Scholar]
- Chang, Y.; Xu, X.; Luo, X.; Chen, C.; Yu, D. Synthesis and characterization of Mn3O4 nanoparticles. J. Cryst. Growth 2004, 264, 232–236. [Google Scholar] [CrossRef]
- Dhaouadi, H.; Ghodbane, O.; Hosni, F.; Touati, F. Mn3O4 Nanoparticles: Synthesis, Characterization, and Dielectric Properties. ISRN Spectrosc. 2012, 2012, 706398. [Google Scholar] [CrossRef]
- Seo, W.S.; Jo, H.H.; Lee, K.; Kim, B.; Oh, S.J.; Park, J.T. Size-dependent magnetic properties of colloidal Mn3O4 and MnO nanoparticles. Angew. Chem. Int. Ed. 2004, 43, 1115–1117. [Google Scholar] [CrossRef] [PubMed]
- Beeran, A.E.; Fernandez, F.B.; Nazeer, S.S.; Jayasree, R.S.; John, A.; Anil, S.; Vellappally, S.; Al Kheraif, A.A.A.; Varma, P.H. Multifunctional nano manganese ferrite ferrofluid for efficient theranostic application. Colloids Surf. B Biointerfaces 2015, 136, 1089–1097. [Google Scholar] [CrossRef]
- Gurban, A.M.; Burtan, D.; Rotariu, L.; Bala, C. Manganese oxide based screen-printed sensor for xenoestrogens detection. Sens. Actuators B Chem. 2015, 210, 273–280. [Google Scholar] [CrossRef]
- Tamizh Selvi, K.; Alamelu Mangai, K.; Priya, M.; Suresh Kumar, P.; Rathnakumari, M. Structural, electrical and magnetic properties of Mn3O4/MgO nanocomposite. J. Mater. Sci. Mater. Electron. 2017, 28, 2317–2324. [Google Scholar] [CrossRef]
- Grootendorst, E.; Verbeek, Y.; Ponec, V. The role of the mars and van krevelen mechanism in the selective oxidation of nitrosobenzene and the deoxygenation of nitrobenzene on oxidic catalysts. J. Catal. 1995, 157, 706–712. [Google Scholar] [CrossRef]
- Chen, L.; Horiuchi, T.; Mori, T. Catalytic reduction of NO over a mechanical mixture of NiGa2O4 spinel with manganese oxide: Influence of catalyst preparation method. Appl. Catal. A Gen. 2001, 209, 97–105. [Google Scholar] [CrossRef]
- Zwinkels, M.F.; Järås, S.G.; Menon, P.G.; Griffin, T.A. Catalytic materials for high-temperature combustion. Catal. Rev. Eng. 1993, 35, 319–358. [Google Scholar] [CrossRef]
- Han, Y.F.; Chen, F.; Zhong, Z.Y.; Ramesh, K.; Widjaja, E.; Chen, L.W. Synthesis and characterization of Mn3O4 and Mn2O3 nanocrystals on SBA-15: Novel combustion catalysts at low reaction temperatures. Catal. Commun. 2006, 7, 739–744. [Google Scholar] [CrossRef]
- Shaik, M.R.; Syed, R.; Adil, S.F.; Kuniyil, M.; Khan, M.; Alqahtani, M.S.; Shaik, J.P.; Siddiqui, M.R.H.; Al-Warthan, A.; Sharaf, M.A.; et al. Mn3O4 nanoparticles: Synthesis, characterization and their antimicrobial and anticancer activity against A549 and MCF-7 cell lines. Saudi J. Biol. Sci. 2021, 28, 1196–1202. [Google Scholar] [CrossRef] [PubMed]
- Perachiselvi, M.; Bagavathy, M.S.; Samraj, J.J.; Pushpalaksmi, E.; Annadurai, G. Synthesis and characterization of Mn3O4 nanoparticles for biological studies. Appl. Ecol. Environ. Sci. 2020, 8, 273–277. [Google Scholar]
- Ziolo, R.F.; Giannelis, E.P.; Weinstein, B.A.; O’Horo, M.P.; Ganguly, B.N.; Mehrotra, V.; Russell, M.W.; Huffman, D.R. Matrix-mediated synthesis of nanocrystalline γ-Fe2O3: A new optically transparent magnetic material. Science 1992, 257, 219–223. [Google Scholar] [CrossRef]
- Zhang, W.; Yang, Z.; Liu, Y.; Tang, S.; Han, X.; Chen, M. Controlled synthesis of Mn3O4 nanocrystallites and MnOOH nanorods by a solvothermal method. J. Cryst. Growth 2004, 263, 394–399. [Google Scholar] [CrossRef]
- Thota, S.; Prasad, B.; Kumar, J. Formation and magnetic behaviour of manganese oxide nanoparticles. Mater. Sci. Eng. B 2010, 167, 153–160. [Google Scholar] [CrossRef]
- Vázquez-Olmos, A.; Redón, R.; Rodríguez-Gattorno, G.; Mata-Zamora, M.E.; Morales-Leal, F.; Fernández-Osorio, A.L.; Saniger, J.M. One-step synthesis of Mn3O4 nanoparticles: Structural and magnetic study. J. Colloid Interface Sci. 2005, 291, 175–180. [Google Scholar] [CrossRef] [PubMed]
- Zhang, J.; Du, J.; Wang, H.; Wang, J.; Qu, Z.; Jia, L. A novel mild route to hausmannite Mn3O4 nanocubes at room temperature and its catalytic performance. Mater. Lett. 2011, 65, 2565–2567. [Google Scholar] [CrossRef]
- Raj, B.G.S.; Asiri, A.M.; Wu, J.J.; Anandan, S. Synthesis of Mn3O4 nanoparticles via chemical precipitation approach for supercapacitor application. J. Alloys Compd. 2015, 636, 234–240. [Google Scholar]
- Pandey, V.; Adiba, A.; Munjal, S.; Ahmad, T. Structural and magnetic properties of tetragonal Mn3O4 nanoparticles synthesized by sol-gel method. AIP Conf. Proc. 2020, 2220, 020163. [Google Scholar]
- Sankar, K.V.; Kalpana, D.; Selvan, R.K. Electrochemical properties of microwave-assisted reflux-synthesized Mn3O4 nanoparticles in different electrolytes for supercapacitor applications. J. Appl. Electrochem. 2012, 42, 463–470. [Google Scholar] [CrossRef]
- Lei, S.; Tang, K.; Fang, Z.; Zheng, H. Ultrasonic-assisted synthesis of colloidal Mn3O4 nanoparticles at normal temperature and pressure. Cryst. Growth Des. 2006, 6, 1757–1760. [Google Scholar] [CrossRef]
- Hyeon, T. Chemical synthesis of magnetic nanoparticles. Chem. Commun. 2003, 34, 927–934. [Google Scholar] [CrossRef]
- Rabelo, D.; Lima, E.; Reis, A.; Nunes, W.; Novak, M.; Garg, V.; Oliveira, A.; Morais, P. Preparation of magnetite nanoparticles in mesoporous copolymer template. Nano Lett. 2001, 1, 105–108. [Google Scholar] [CrossRef]
- Folch, B.; Larionova, J.; Guari, Y.; Guérin, C.; Mehdi, A.; Reyé, C. Formation of Mn3O4 nanoparticles from the cluster [Mn12O12(C2H5COO)16(H2O)3] anchored to hybrid mesoporous silica. J. Mater. Chem. 2004, 14, 2703–2711. [Google Scholar] [CrossRef]
- Shi, X.; Zhang, S.; Chen, X.; Chu, P.K.; Tang, T.; Mijowska, E. Formation of ultra-small Mn3O4 nanoparticles trapped in nanochannels of hollow carbon spheres by nanoconfinement with excellent supercapacitor performance. Int. J. Hydrogen Energy 2019, 44, 13675–13683. [Google Scholar] [CrossRef]
- Li, N.; Geng, Z.; Cao, M.; Ren, L.; Zhao, X.; Liu, B.; Tian, Y.; Hu, C. Well-dispersed ultrafine Mn3O4 nanoparticles on graphene as a promising catalyst for the thermal decomposition of ammonium perchlorate. Carbon 2013, 54, 124–132. [Google Scholar] [CrossRef]
- Xiao, Y.; Cao, Y.; Gong, Y.; Zhang, A.; Zhao, J.; Fang, S.; Jia, D.; Li, F. Electrolyte and composition effects on the performances of asymmetric supercapacitors constructed with Mn3O4 nanoparticles–graphene nanocomposites. J. Power Sources 2014, 246, 926–933. [Google Scholar] [CrossRef]
- Song, Y.; Zhao, R.; Zhang, K.; Ding, J.; Lv, X.; Chen, M.; Xie, J. Facile synthesis of Mn3O4/double-walled carbon nanotube nanocomposites and its excellent supercapacitive behavior. Electrochim. Acta 2017, 230, 350–357. [Google Scholar] [CrossRef]
- Laskowski, L.; Kityk, I.; Konieczny, P.; Pastukh, O.; Schabikowski, M.; Laskowska, M. The separation of the Mn12 single-molecule magnets onto spherical silica nanoparticles. Nanomaterials 2019, 9, 764. [Google Scholar] [CrossRef]
- Laskowska, M.; Pastukh, O.; Kuźma, D.; Laskowski, Ł. How to Control the Distribution of Anchored, Mn12–Stearate, Single-Molecule Magnets. Nanomaterials 2019, 9, 1730. [Google Scholar] [CrossRef]
- Giri, A.; Goswami, N.; Pal, M.; Myint, M.T.Z.; Al-Harthi, S.; Singha, A.; Ghosh, B.; Dutta, J.; Pal, S.K. Rational surface modification of Mn3O4 nanoparticles to induce multiple photoluminescence and room temperature ferromagnetism. J. Mater. Chem. C 2013, 1, 1885–1895. [Google Scholar] [CrossRef]
- Ndouka, P.N.; Kenmoe, S.; Mache, J.R.; Acayanka, E.; Douma, D.H.; Gebauer, R.; Kouotou, P.M. Low-temperature catalytic methane deep oxidation over sol-gel derived mesoporous hausmannite (Mn3O4) spherical particles. ChemPhysMater 2024, 3, 329–340. [Google Scholar] [CrossRef]
- Sumantha, H.; Rajagopal, S.; Shashank, M.; Nagaraju, G.; Pattar, V.K.; Shanmugaraj, P.; Ayyasamy, S.; Suresha, B. Green synthesis and characterization of Mn3O4 nanoparticles for photocatalytic and supercapacitors. Ionics 2023, 29, 733–749. [Google Scholar] [CrossRef]
- Sharma, S.K.; Mammone, J.F.; Nicol, M.F. Raman investigation of ring configurations in vitreous silica. Nature 1981, 292, 140–141. [Google Scholar] [CrossRef]
- Jehng, J.M.; Tung, W.C.; Huang, C.H.; Wachs, I.E. Structural characteristics and reactivity properties of the tantalum modified mesoporous silicalite (MCM-41) catalysts. Microporous Mesoporous Mater. 2007, 99, 299–307. [Google Scholar] [CrossRef]
- White, W.B.; Minser, D.G. Raman spectra and structure of natural glasses. J. Non-Cryst. Solids 1984, 67, 45–59. [Google Scholar] [CrossRef]
- Bertoluzza, A.; Fagnano, C.; Morelli, M.A.; Gottardi, V.; Guglielmi, M. Raman and infrared spectra on silica gel evolving toward glass. J. Non-Cryst. Solids 1982, 48, 117–128. [Google Scholar] [CrossRef]
- Spano, T.L.; Redding, C.; Roach, J.M.; Nizinski, C.A.; Warzecha, E.; Athon, M.; Hunt, R.; Miskowiec, A.; Ladd-Lively, J. Optical vibrational spectroscopic signatures of ammonium diuranate process parameters. Heliyon 2025, 11, e42568. [Google Scholar] [CrossRef]
- Li, F.; Li, Z.; Wang, Y.; Wang, S.; Wang, X.; Sun, C.; Men, Z. A Raman spectroscopy study on the effects of intermolecular hydrogen bonding on water molecules absorbed by borosilicate glass surface. Spectrochim. Acta Part A Mol. Biomol. Spectrosc. 2018, 196, 317–322. [Google Scholar] [CrossRef]
- Yuan, P.; He, H.; Wu, D.; Wang, D.; Chen, L. Characterization of diatomaceous silica by Raman spectroscopy. Spectrochim. Acta Part A Mol. Biomol. Spectrosc. 2004, 60, 2941–2945. [Google Scholar] [CrossRef]
- Aguiar, H.; Serra, J.; González, P.; León, B. Structural study of sol–gel silicate glasses by IR and Raman spectroscopies. J. Non-Cryst. Solids 2009, 355, 475–480. [Google Scholar] [CrossRef]
- Eshelman, E.; Daly, M.; Slater, G.; Dietrich, P.; Gravel, J.F. An ultraviolet Raman wavelength for the in-situ analysis of organic compounds relevant to astrobiology. Planet. Space Sci. 2014, 93, 65–70. [Google Scholar] [CrossRef]
- Verma, S.; Verma, A.; Srivastava, A.K.; Gupta, A.; Singh, S.P.; Singh, P. Structural and magnetic properties of Mn12-Stearate nanomagnets. Mater. Chem. Phys. 2016, 177, 140–146. [Google Scholar] [CrossRef]
- Frost, R.L.; Erickson, K.L.; Weier, M.L. Hydrogen bonding in selected vanadates: A Raman and infrared spectroscopy study. Spectrochim. Acta Part A Mol. Biomol. Spectrosc. 2004, 60, 2419–2423. [Google Scholar] [CrossRef] [PubMed]
- Laskowska, M.; Pastukh, O.; Konieczny, P.; Dulski, M.; Zalsiński, M.; Laskowski, L. Magnetic Behaviour of Mn12-Stearate Single-Molecule Magnets Immobilized on the Surface of 300 nm Spherical Silica Nanoparticles. Materials 2020, 13, 2624. [Google Scholar] [CrossRef] [PubMed]
- Rani, B.J.; Ravina, M.; Ravi, G.; Ravichandran, S.; Ganesh, V.; Yuvakkumar, R. Synthesis and characterization of hausmannite (Mn3O4) nanostructures. Surf. Interfaces 2018, 11, 28–36. [Google Scholar] [CrossRef]
- Diallo, A.; Tandjigora, N.; Ndiaye, S.; Jan, T.; Ahmad, I.; Maaza, M. Green synthesis of single phase hausmannite Mn3O4 nanoparticles via Aspalathus linearis natural extract. SN Appl. Sci. 2021, 3, 1–11. [Google Scholar] [CrossRef]
- Zuo, J.; Xu, C.; Liu, Y.; Qian, Y. Crystallite size effects on the Raman spectra of Mn3O4. Nanostruct. Mater. 1998, 10, 1331–1335. [Google Scholar] [CrossRef]
- Zhao, N.; Nie, W.; Liu, X.; Tian, S.; Zhang, Y.; Ji, X. Shape-and size-controlled synthesis and dependent magnetic properties of nearly monodisperse Mn3O4 nanocrystals. Small 2008, 4, 77–81. [Google Scholar] [CrossRef] [PubMed]
- Gatteschi, D.; Sessoli, R.; Villain, J. Molecular Nanomagnets; Oxford University Press: Oxford, UK, 2006. [Google Scholar] [CrossRef]
- Winkler, E.; Zysler, R.; Fiorani, D. Surface and magnetic interaction effects in Mn3O4 nanoparticles. Phys. Rev. B—Condens. Matter Mater. Phys. 2004, 70, 174406. [Google Scholar] [CrossRef]
- Gross, A.F.; Diehl, M.R.; Beverly, K.C.; Richman, E.K.; Tolbert, S.H. Controlling magnetic coupling between cobalt nanoparticles through nanoscale confinement in hexagonal mesoporous silica. J. Phys. Chem. B 2003, 107, 5475–5482. [Google Scholar] [CrossRef]
- Aulakh, D.; Pyser, J.B.; Zhang, X.; Yakovenko, A.A.; Dunbar, K.R.; Wriedt, M. Metal–organic frameworks as platforms for the controlled nanostructuring of single-molecule magnets. J. Am. Chem. Soc. 2015, 137, 9254–9257. [Google Scholar] [CrossRef]
- Tackett, R.; Parsons, J.; Machado, B.; Gaytan, S.; Murr, L.; Botez, C. Evidence of low-temperature superparamagnetism in Mn3O4 nanoparticle ensembles. Nanotechnology 2010, 21, 365703. [Google Scholar] [CrossRef][Green Version]
- Besson, E.; Mehdi, A.; Réyé, C.; Gibaud, A.; Corriu, R.J. Direct synthesis of mesoporous hybrid organic-inorganic silica powders and thin films for potential non linear optic applications. In Silicon Based Polymers: Advances in Synthesis and Supramolecular Organization; Springer: Dordrecht, The Netherlands, 2008; pp. 223–231. [Google Scholar]
- Hamanaka, Y.; Fukuta, K.; Nakamura, A.; Liz-Marzán, L.; Mulvaney, P. Enhancement of third-order nonlinear optical susceptibilities in silica-capped Au nanoparticle films with very high concentrations. Appl. Phys. Lett. 2004, 84, 4938–4940. [Google Scholar] [CrossRef]
- Roussignol, P.; Ricard, D.; Flytzanis, C. Quantum confinement mediated enhancement of optical kerr effect in CdSxSe1−x semiconductor microcrystallites. Appl. Phys. B 1990, 51, 437–442. [Google Scholar] [CrossRef]
- Laskowska, M.; Kityk, I.; Dulski, M.; Jędryka, J.; Wojciechowski, A.; Jelonkiewicz, J.; Wojtyniak, M.; Laskowski, Ł. Functionalized mesoporous silica thin films as a tunable nonlinear optical material. Nanoscale 2017, 9, 12110–12123. [Google Scholar] [CrossRef] [PubMed]
- Laskowska, M.; Kityk, I.; Pastukh, O.; Dulski, M.; Zubko, M.; Jedryka, J.; Cpałka, K.; Zieliński, P.M.; Laskowski, Ł. Nanocomposite for photonics—Nickel pyrophosphate nanocrystals synthesised in silica nanoreactors. Microporous Mesoporous Mater. 2020, 306, 110435. [Google Scholar] [CrossRef]
- Zhang, Y.X.; Wang, Y.H. Nonlinear optical properties of metal nanoparticles: A review. RSC Adv. 2017, 7, 45129–45144. [Google Scholar] [CrossRef]
- Wang, Q.; Xu, J.; Xie, R.H. Nonlinear optics of nanoparticles and nanocomposites. In Encyclopedia of Nanoscience and Nanotechnology; American Scientific Publishers: Stevenson Ranch, CA, USA, 2004; Volume 7, pp. 101–111. [Google Scholar]
- Brevet, P.F. 3.11—Second Harmonic Generation in Nanostructures. In Comprehensive Nanoscience and Technology; Andrews, D.L., Scholes, G.D., Wiederrecht, G.P., Eds.; Academic Press: Amsterdam, The Netherlands, 2011; pp. 351–381. [Google Scholar] [CrossRef]
- Boyd, R.W.; Gaeta, A.L.; Giese, E. Nonlinear optics. In Springer Handbook of Atomic, Molecular, and Optical Physics; Springer: New York, NY, USA, 2008; pp. 1097–1110. [Google Scholar]
- Hill, J.; McMorrow, D. Resonant exchange scattering: Polarization dependence and correlation function. Found. Crystallogr. 1996, 52, 236–244. [Google Scholar] [CrossRef]
- Pisarev, R. Second harmonic generation spectroscopy in magnetic and multiferroic materials. J. Lumin. 2013, 133, 169–174. [Google Scholar] [CrossRef]
- Ticha, H.; Tichy, L. Semiempirical relation between non-linear susceptibility (refractive index), linear refractive index and optical gap and its application to amorphous chalcogenides. J. Optoelectron. Adv. Mater 2002, 4, 381–386. [Google Scholar]
- Stöber, W.; Fink, A.; Bohn, E. Controlled growth of monodisperse silica spheres in the micron size range. J. Colloid Interface Sci. 1968, 26, 62–69. [Google Scholar] [CrossRef]
- Laskowska, M.; Karczmarska, A.; Schabikowski, M.; Adamek, M.; Maximenko, A.; Pawlik, K.; Kowalska, O.; Olejniczak, Z.; Laskowski, Ł. Synthetic Opals or Versatile Nanotools—A One-Step Synthesis of Uniform Spherical Silica Particles. Int. J. Mol. Sci. 2023, 24, 13693. [Google Scholar] [CrossRef]
- Park, C.D.; Jeong, D.Y. Soluble Single-Molecule Magnet: Mn12-stearate. Bull. Korean Chem. Soc. 2001, 22, 611–615. [Google Scholar]
- Schneider, C.A.; Rasband, W.S.; Eliceiri, K.W. NIH Image to ImageJ: 25 years of image analysis. Nat. Methods 2012, 9, 671–675. [Google Scholar] [CrossRef] [PubMed]







Disclaimer/Publisher’s Note: The statements, opinions and data contained in all publications are solely those of the individual author(s) and contributor(s) and not of MDPI and/or the editor(s). MDPI and/or the editor(s) disclaim responsibility for any injury to people or property resulting from any ideas, methods, instructions or products referred to in the content. |
© 2025 by the authors. Licensee MDPI, Basel, Switzerland. This article is an open access article distributed under the terms and conditions of the Creative Commons Attribution (CC BY) license (https://creativecommons.org/licenses/by/4.0/).
Share and Cite
Pastukh, O.; Laskowska, M.; Jędryka, J.; Zubko, M.; Laskowski, Ł. A Novel Method for Obtaining Well-Separated Mn3O4 Nanocrystallites Deposited on the Surface of Spherical Silica. Int. J. Mol. Sci. 2025, 26, 8413. https://doi.org/10.3390/ijms26178413
Pastukh O, Laskowska M, Jędryka J, Zubko M, Laskowski Ł. A Novel Method for Obtaining Well-Separated Mn3O4 Nanocrystallites Deposited on the Surface of Spherical Silica. International Journal of Molecular Sciences. 2025; 26(17):8413. https://doi.org/10.3390/ijms26178413
Chicago/Turabian StylePastukh, Oleksandr, Magdalena Laskowska, Jarosław Jędryka, Maciej Zubko, and Łukasz Laskowski. 2025. "A Novel Method for Obtaining Well-Separated Mn3O4 Nanocrystallites Deposited on the Surface of Spherical Silica" International Journal of Molecular Sciences 26, no. 17: 8413. https://doi.org/10.3390/ijms26178413
APA StylePastukh, O., Laskowska, M., Jędryka, J., Zubko, M., & Laskowski, Ł. (2025). A Novel Method for Obtaining Well-Separated Mn3O4 Nanocrystallites Deposited on the Surface of Spherical Silica. International Journal of Molecular Sciences, 26(17), 8413. https://doi.org/10.3390/ijms26178413

