Sustainable Synthesis and Dual-Function Sorption of Carbonated Hydroxyapatite for Cadmium and Nitrate Removal
Abstract
1. Introduction
2. Results
2.1. Compositional and Morpho-Structural Characterization of Hydroxyapatite as Sorbent
2.2. Hydroxyapatite Powder Adsorption Capacity Characterization
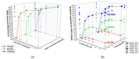
2.2.1. Supernatant Liquid Analysis After cHA Powder Contacted with Aqueous Solutions of Cd (NO3)2 and KNO3
2.2.2. Adsorbent Powder Analysis After Contact with Aqueous Solutions of NO3− and Cd2+
3. Discussion
4. Materials and Methods
4.1. Carbonated Hydroxyapatite Synthesis from Eggshell
4.2. Methods
5. Conclusions
Supplementary Materials
Author Contributions
Funding
Institutional Review Board Statement
Informed Consent Statement
Data Availability Statement
Acknowledgments
Conflicts of Interest
References
- Martín-León, V.; Paz, S.; D’Eufemia, P.A.; Plasencia, J.J.; Sagratini, G.; Marcantoni, G.; Navarro-Romero, M.; Gutiérrez, Á.J.; Hardisson, A.; Rubio-Armendáriz, C. Human Exposure to Toxic Metals (Cd, Pb, Hg) and Nitrates (NO3−) from Seaweed Consumption. Appl. Sci. 2021, 11, 6934. [Google Scholar] [CrossRef]
- Deak, G.; Daescu, V.; Holban, E.; Marinescu, P.; Tanase, S.; Csergo, R.; Andreea Ioana, D.; Gaman, S. Health-environment relation: A key issue of Romanian environmental protection. J. Environ. Prot. Ecol. 2015, 16, 304–315. [Google Scholar]
- Predoi, S.A.; Ciobanu, S.C.; Chifiriuc, M.C.; Motelica-Heino, M.; Predoi, D.; Iconaru, S.L. Hydroxyapatite Nanopowders for Effective Removal of Strontium Ions from Aqueous Solutions. Materials 2022, 16, 229. [Google Scholar] [CrossRef]
- Burakov, A.E.; Galunin, E.V.; Burakova, I.V.; Kucherova, A.E.; Agarwal, S.; Tkachev, A.G.; Gupta, V.K. Adsorption of heavy metals on conventional and nanostructured materials for wastewater treatment purposes: A review. Ecotoxicol. Environ. Saf. 2018, 148, 702–712. [Google Scholar] [CrossRef] [PubMed]
- Gu, S.; Zheng, X.; Gao, X.; Liu, Y.; Chen, Y.; Zhu, J. Cadmium-Induced Oxidative Damage and the Expression and Function of Mitochondrial Thioredoxin in Phascolosoma esculenta. Int. J. Mol. Sci. 2024, 25, 13283. [Google Scholar] [CrossRef] [PubMed]
- Yang, Y.; Hassan, M.F.; Ali, W.; Zou, H.; Liu, Z.; Ma, Y. Effects of Cadmium Pollution on Human Health: A Narrative Review. Atmosphere 2025, 16, 225. [Google Scholar] [CrossRef]
- Zhou, H.; Tan, Y.; Gao, W.; Zhang, Y.; Yang, Y. Selective nitrate removal from aqueous solutions by a hydrotalcite-like absorbent FeMgMn-LDH. Sci. Rep. 2020, 10, 16126. [Google Scholar] [CrossRef] [PubMed]
- Shaban, J.; Al-Najar, H.; Kocadal, K.; Almghari, K.; Saygi, S. The Effect of Nitrate-Contaminated Drinking Water and Vegetables on the Prevalence of Acquired Methemoglobinemia in Beit Lahia City in Palestine. Water 2023, 15, 1989. [Google Scholar] [CrossRef]
- Nawaz, H.; Anwar-ul-Haq, M.; Akhtar, J.; Arfan, M. Cadmium, chromium, nickel and nitrate accumulation in wheat (Triticum aestivum L.) using wastewater irrigation and health risks assessment. Ecotoxicol. Environ. Saf. 2021, 208, 111685. [Google Scholar] [CrossRef]
- Satyam, S.; Patra, S. Innovations and challenges in adsorption-based wastewater remediation: A comprehensive review. Heliyon 2024, 10, e29573. [Google Scholar] [CrossRef]
- Chen, G.; Shah, K.J.; Shi, L.; Chiang, P.-C. Removal of Cd(II) and Pb(II) ions from aqueous solutions by synthetic mineral adsorbent: Performance and mechanisms. Appl. Surf. Sci. 2017, 409, 296–305. [Google Scholar] [CrossRef]
- Gao, S.; Kang, X.; Li, Y.; Yu, J.; Wang, H.; Pan, H.; Yang, Q.; Yang, Z.; Sun, Y.; Zhuge, Y.; et al. Treatment of Cadmium-Contaminated Water Systems Using Modified Phosphate Rock Powder: Contaminant Uptake, Adsorption Ability, and Mechanisms. Water 2024, 16, 862. [Google Scholar] [CrossRef]
- Liu, L.; Xu, Y.-L.; Liu, J.-X.; Wang, S.; Zhu, Q.-X. Preparation and characterization of high flux cellulose acetate/hydroxyapatite composite ultrafiltration membranes for water treatment. Desalination Water Treat. 2024, 317, 100309. [Google Scholar] [CrossRef]
- El Kaim Billah, R.; Şimşek, S.; Kaya, S.; Katin, K.; Essenni, S.; Jugade, R.; Shekhawat, A.; Achak, M. Nano-hydroxyapatite as an efficient adsorbent for cadmium Removal: Experimental and theoretical insights. J. Mol. Struct. 2025, 1325, 140712. [Google Scholar] [CrossRef]
- Pal, A.; Paul, S.; Choudhury, A.R.; Balla, V.K.; Das, M.; Sinha, A. Synthesis of hydroxyapatite from Lates calcarifer fish bone for biomedical applications. Mater. Lett. 2017, 203, 89–92. [Google Scholar] [CrossRef]
- Dumitrescu, C.R.; Neacsu, I.A.; Surdu, V.A.; Nicoara, A.I.; Iordache, F.; Trusca, R.; Ciocan, L.T.; Ficai, A.; Andronescu, E. Nano-Hydroxyapatite vs. Xenografts: Synthesis, Characterization, and In Vitro Behavior. Nanomaterials 2021, 11, 2289. [Google Scholar] [CrossRef]
- Suresh Kumar, C.; Dhanaraj, K.; Vimalathithan, R.M.; Ilaiyaraja, P.; Suresh, G. Hydroxyapatite for bone related applications derived from sea shell waste by simple precipitation method. J. Asian Ceram. Soc. 2020, 8, 416–429. [Google Scholar] [CrossRef]
- Adeogun, A.I.; Ofudje, A.E.; Idowu, M.A.; Kareem, S.O. Facile Development of Nano Size Calcium Hydroxyapatite Based Ceramic from Eggshells: Synthesis and Characterization. Waste Biomass Valorization 2017, 9, 1469–1473. [Google Scholar] [CrossRef]
- Maya Ibrahim, M.L. Jean-Marc Giraudon, Jean-François Lamonier, Hydroxyapatite, a multifunctional material for air, water and soil pollution control: A review. J. Hazard. Mater. 2020, 383, 121139. [Google Scholar] [CrossRef] [PubMed]
- Yeganeh, M.; Charkhloo, E.; Sobhi, H.R.; Esrafili, A.; Gholami, M. Photocatalytic processes associated with degradation of pesticides in aqueous solutions: Systematic review and meta-analysis. Chem. Eng. J. 2022, 428, 130081. [Google Scholar] [CrossRef]
- Kharisov, B.I.; Kharissova, O.V.; González, L.T.; Méndez, Y.P.; Uflyand, I.E.; Gómez de la Fuente, I. Hydroxyapatite composites with carbon allotropes: Preparation, properties, and applications. Particuology 2024, 88, 239–265. [Google Scholar] [CrossRef]
- Moerbeck-Filho, P.; Sartoretto, S.C.; Uzeda, M.J.; Barreto, M.; Medrado, A.; Alves, A.; Calasans-Maia, M.D. Evaluation of the In Vivo Biocompatibility of Amorphous Calcium Phosphate-Containing Metals. J. Funct. Biomater. 2020, 11, 45. [Google Scholar] [CrossRef]
- Mosina, M.; Locs, J. Synthesis of Amorphous Calcium Phosphate: A Review. Key Eng. Mater. 2020, 850, 199–206. [Google Scholar] [CrossRef]
- Wu, J.; Gao, D.; Wang, L.; Du, X.; Zhang, Z.; Liang, H. Bioremediation of 2,4,6-trichlorophenol by extracellular enzymes of white rot fungi immobilized with sodium alginate/hydroxyapatite/chitosan microspheres. Environ. Res. 2024, 252, 118937. [Google Scholar] [CrossRef] [PubMed]
- Zhang, W.-H.; Sun, R.-B.; Xu, L.; Liang, J.-N.; Zhou, J. Assessment of bacterial communities in Cu-contaminated soil immobilized by a one-time application of micro-/nano-hydroxyapatite and phytoremediation for 3 years. Chemosphere 2019, 223, 240–249. [Google Scholar] [CrossRef]
- El-Sayed, W.N.; Elwakeel, K.Z.; Shahat, A.; Awual, M.R. Investigation of novel nanomaterial for the removal of toxic substances from contaminated water. RSC Adv. 2019, 9, 14167–14175. [Google Scholar] [CrossRef] [PubMed]
- Adekanmi, D.G.; Garcia, C.R.; Lopez-Badillo, C.M. Carbonate Hydroxyapatite-A Multifunctional Bioceramics with Non-Medical Applications. Eng. Chem. 2024, 7, 1–24. [Google Scholar] [CrossRef]
- Rosskopfová, O.; Galamboš, M.; Ometáková, J.; Caplovicová, M.; Rajec, P. Study of sorption processes of copper on synthetic hydroxyapatite. J. Radioanal. Nucl. Chem. 2012, 293, 641–647. [Google Scholar] [CrossRef]
- Noviyanti, A.R.; Akbar, N.; Deawati, Y.; Ernawati, E.E.; Malik, Y.T.; Fauzia, R.P. A novel hydrothermal synthesis of nanohydroxyapatite from eggshell-calcium-oxide precursors. Heliyon 2020, 6, e03655. [Google Scholar] [CrossRef]
- Karunakaran, G.; Kumar, G.S.; Cho, E.-B.; Sunwoo, Y.; Kolesnikov, E.; Kuznetsov, D. Microwave-assisted hydrothermal synthesis of mesoporous carbonated hydroxyapatite with tunable nanoscale characteristics for biomedical applications. Ceram. Int. 2019, 45, 970–977. [Google Scholar] [CrossRef]
- Goh, K.W.; Wong, Y.H.; Ramesh, S.; Chandran, H.; Krishnasamy, S.; Ramesh, S.; Sidhu, A.; Teng, W.D. Effect of pH on the properties of eggshell-derived hydroxyapatite bioceramic synthesized by wet chemical method assisted by microwave irradiation. Ceram. Int. 2021, 47, 8879–8887. [Google Scholar] [CrossRef]
- Jaswal, A.; Samir, S.; Manna, A. Synthesis of Nanocrystalline Hydroxyapatite Biomaterial from Waste Eggshells by Precipitation Method. Trans. Indian. Inst. Met. 2023, 76, 2221–2230. [Google Scholar] [CrossRef]
- Hussain, S.; Sabiruddin, K. Effect of heating temperature and time of hydrothermal reaction on the synthesis of hydroxyapatite from hen’s eggshell. J. Aust. Ceram. Soc. 2023, 59, 707–726. [Google Scholar] [CrossRef]
- Ben Hamouda, S.; Touati, K.; Ben Amor, M. Donnan dialysis as membrane process for nitrate removal from drinking water: Membrane structure effect. Arab. J. Chem. 2017, 10, S287–S292. [Google Scholar] [CrossRef]
- Cao, L.; Yang, Y.; Xue, Y.; Ma, H.; Li, Y.-Y.; Hu, Y. A review of efficient nitrogen removal and phosphorus recovery by anammox-hydroxyapatite based processes: Challenges and opportunities. J. Environ. Chem. Eng. 2023, 11, 111103. [Google Scholar] [CrossRef]
- Abo-El-Enein, S. Nitrate Removal from Groundwater Using Sodium Alginate Doped with Nano-Hydroxyapatite. Adv. Mater. 2017, 6, 102. [Google Scholar] [CrossRef]
- Srinivasan, M.; Ferraris, C.; White, T. Cadmium and Lead Ion Capture with Three Dimensionally Ordered Macroporous Hydroxyapatite. Environ. Sci. Technol. 2006, 40, 7054–7059. [Google Scholar] [CrossRef]
- Marchat, D.; Bernache-Assollant, D.; Champion, E. Cadmium fixation by synthetic hydroxyapatite in aqueous solution--thermal behaviour. J. Hazard. Mater. 2007, 139, 453–460. [Google Scholar] [CrossRef]
- Jamarun, N.; Amirullah, T.Y.; Syukri, S.; Prasejati, A.; Wulandari, W.; Caniago, S.; Tricahyani, N.A. Effect of Temperature on Synthesis of Hydroxyapatite/Chitosan Composite Using the In-Situ Method as a Heavy Metal Adsorbent. Indones. J. Chem. 2025, 25, 29–36. [Google Scholar] [CrossRef]
- Renda, C.G.; Ruellas, T.M.O.; Malafatti, J.O.D.; Araújo, C.S.S.; Silva, G.L.D.; Figueira, B.A.M.; Quaranta, S.; Paris, E.C. A “Zero-Cost” Adsorbing Hydroxyapatite-Based Material from Amazon Fishery Waste for Water Remediation and Nutrient Release for Agriculture. Physchem 2023, 3, 34–60. [Google Scholar] [CrossRef]
- Zhang, Y.; Mei, B.; Tian, X.; Jia, L.; Zhu, W. Remediation of uranium(VI)-containing wastewater based on a novel graphene oxide/hydroxyapatite membrane. J. Membr. Sci. 2023, 675, 121543. [Google Scholar] [CrossRef]
- Bouazzi, D.; Chérif, I.; Lefi, N.; Teresa Caccamo, M.; Magazù, S.; Barhoumi, H.; Ayachi, S.; Michel Nunzi, J.; Laghzizil, A.; Badraoui, B. Development of novel hybrid hydroxyapatite-based sensors for the ultrasensitive detection of L-tryptophan and L-tyrosine. Microchem. J. 2024, 207, 112126. [Google Scholar] [CrossRef]
- Alzaydien, A.; Manasreh, W. Equilibrium, kinetic and thermodynamic studies on the adsorption of phenol onto activated phosphate rock. Int. J. Phys. Sci. 2009, 4, 172–181. [Google Scholar]
- Sebei, H.; Pham Minh, D.; Lyczko, N.; Sharrock, P.; Nzihou, A. Hydroxyapatite-based sorbents: Elaboration, characterization and application for the removal of catechol from the aqueous phase. Env. Technol. 2017, 38, 2611–2620. [Google Scholar] [CrossRef]
- Bouyarmane, H.; Asri, S.E.; Rami, A.; Roux, C.; Mahly, M.A.; Saoiabi, A.; Coradin, T.; Laghzizil, A. Pyridine and phenol removal using natural and synthetic apatites as low cost sorbents: Influence of porosity and surface interactions. J. Hazard. Mater. 2010, 181, 736–741. [Google Scholar] [CrossRef]
- Mondal, S.; Hoang, G.; Manivasagan, P.; Moorthy, M.S.; Vy Phan, T.T.; Kim, H.H.; Nguyen, T.P.; Oh, J. Rapid microwave-assisted synthesis of gold loaded hydroxyapatite collagen nano-bio materials for drug delivery and tissue engineering application. Ceram. Int. 2019, 45, 2977–2988. [Google Scholar] [CrossRef]
- Jaber, H.L.; Hammood, A.S.; Parvin, N. Synthesis and characterization of hydroxyapatite powder from natural Camelus bone. J. Aust. Ceram. Soc. 2017, 54, 1–10. [Google Scholar] [CrossRef]
- Wu, S.-C.; Tsou, H.-K.; Hsu, H.-C.; Hsu, S.-K.; Liou, S.-P.; Ho, W.-F. A hydrothermal synthesis of eggshell and fruit waste extract to produce nanosized hydroxyapatite. Ceram. Int. 2013, 39, 8183–8188. [Google Scholar] [CrossRef]
- Antonakos, A.; Liarokapis, E.; Leventouri, T. Micro-Raman and FTIR studies of synthetic and natural apatites. Biomaterials 2007, 28, 3043–3054. [Google Scholar] [CrossRef]
- Thompson, T.J.U.; Gauthier, M.; Islam, M. The application of a new method of Fourier Transform Infrared Spectroscopy to the analysis of burned bone. J. Archaeol. Sci. 2009, 36, 910–914. [Google Scholar] [CrossRef]
- Islam, M.; Patel, R. Nitrate sorption by thermally activated Mg/Al chloride hydrotalcite-like compound. J. Hazard. Mater. 2009, 169, 524–531. [Google Scholar] [CrossRef]
- Ismail, S.; Ali, E.; Hussien, A.; Alheety, M. Green synthesis and characterization of CdO nanoparticles from Crocus sativus: A promising material for hydrogen gas storage. Energy Storage 2023, 6, e534. [Google Scholar] [CrossRef]
- Elayaperumal, M.; Pandian, P.; Syed Ali, B.M.; Kennedy, J. One dimensional well-aligned CdO nanocrystal by solvothermal method. J. Alloys Compd. 2014, 593, 67–70. [Google Scholar]
- Saghatforoush, L.; Sanati, S.; Mehdizadeh, R.; Hasanzadeh, M. Solvothermal synthesis of Cd(OH)2 and CdO nanocrystalsand application as a new electrochemical sensor forsimultaneous determination of norfloxacin and lomefloxacin. Superlattices Microstruct. 2012, 52, 885. [Google Scholar] [CrossRef]
- Yu, H.-P.; Zhu, Y.-J.; Lu, B.-Q. Highly efficient and environmentally friendly microwave-assisted hydrothermal rapid synthesis of ultralong hydroxyapatite nanowires. Ceram. Int. 2018, 44, 12352–12356. [Google Scholar] [CrossRef]
- Nga, N.K.; Thuy Chau, N.T.; Viet, P.H. Facile synthesis of hydroxyapatite nanoparticles mimicking biological apatite from eggshells for bone-tissue engineering. Colloids Surf. B Biointerfaces 2018, 172, 769–778. [Google Scholar] [CrossRef]
- Núñez, D.; Elgueta, E.; Varaprasad, K.; Oyarzún, P. Hydroxyapatite nanocrystals synthesized from calcium rich bio-wastes. Mater. Lett. 2018, 230, 64–68. [Google Scholar] [CrossRef]
- Okur, H.E. Rietveld refinement-based structural analysis of biogenic hydroxyapatite and its PVA composite for dye removal. Mater. Today Commun. 2025, 43, 111723. [Google Scholar] [CrossRef]
- Scaggion, C.; Marinato, M.; Dal Sasso, G.; Nodari, L.; Saupe, T.; Aneli, S.; Pagani, L.; Scheib, C.L.; Rigo, M.; Artioli, G. A fresh perspective on infrared spectroscopy as a prescreening method for molecular and stable isotopes analyses on ancient human bones. Sci. Rep. 2024, 14, 1028. [Google Scholar] [CrossRef] [PubMed]
- Rietveld, H.M. A Profile Refinement Method for Nuclear and Magnetic Structures. J. Appl. Cryst. 1969, 2, 65. [Google Scholar] [CrossRef]
- Sahadat Hossain, M.; Tarannum, S.; Kawsar, M.; Bahadur, N.M.; Ahmed, S. Synthesis of pure and Cd-doped hydroxyapatite for the photo-catalytic degradation of Amoxicillin and Ciprofloxacin: Crystallographic characterization using XRD. J. Hazard. Mater. Adv. 2024, 13, 100406. [Google Scholar] [CrossRef]
- Öztürk, N.; Bektaş, T.E. Nitrate removal from aqueous solution by adsorption onto various materials. J. Hazard. Mater. 2004, 112, 155–162. [Google Scholar] [CrossRef] [PubMed]












| Unit Cell Parameters Calculated After Rietveld Structural Refinement | PDF 00-064-0738 Ca10(PO4)6(OH)2 Hexagonal P63/m Ref. Pattern | PDF 01-075-3728 Ca5(PO4)2.829(CO3)0.26(OH)2.6 Hexagonal P63/m Ref. Pattern | cHA | cHA | cHA | ||
|---|---|---|---|---|---|---|---|
| 59.2% Ca10(PO4)6(OH)2 Hexagonal, P63/m PDF 00-064-0738 | 40.8% Ca5(PO4)2.829(CO3)0.26(OH)1.59 Hexagonal, P63/m PDF 01-075-3728 | 100% Ca10(PO4)6(OH)2 Hexagonal, P63/m PDF 00-064-0738 | 100% Ca5(PO4)2.829(CO3)0.26(OH)1.59 Hexagonal, P63/m PDF 01-075-3728 | ||||
| a (Å) (deviation) | 9.4210 | 9.480 | 9.4157 (0.016) | 10.4640 (0.018) | 9.4155 (0.002) | 9.4183 (0.002) | |
| b (Å) (deviation) | 9.4210 | 9.480 | 9.4157 (0.016) | 10.4640 (0.018) | 9.4155 (0.002) | 9.4183 (0.002) | |
| c (Å) (deviation) | 6.8800 | 6.885 | 6.8765 (0.018) | 6.9184 (0.032) | 6.8752 (0.001) | 6.8771 (0.0017) | |
| V (Å3) | 528.83 (Z:1) | 535.92 (Z:2) | 527.97 | 656.058 | 527.84 | 528.31 | |
| α (°) | 90 | 90 | 90 | 90 | 90 | 90 | |
| β (°) | 90 | 90 | 90 | 90 | 90 | 90 | |
| γ (°) | 120 | 120 | 120 | 120 | 120 | 120 | |
| Crystallinity (%) | - | - | 57.47 | 58.28 | 57.7 | ||
| Average crystallite size (nm) | - | - | 13.01 ± 1.958 | 1.45 ± 0.055 | 12.94 ± 1.458 | 9.17 ± 1.650 | |
| Micro-strain (%) | - | - | 0.136 ± 0.059 | 0.142 ± 0.042 | 0.165 ± 0.00001 | ||
| Agreed indices | Rexp | - | - | 11.38 | 11.33 | 9.25 | |
| Rp | - | - | 7.08 | 9.31 | 8.70 | ||
| GOF | - | - | 0.682 | 1.190 | 1.639 | ||
| Powder Sample Denomination (3 h Contact Time, at 25 °C) | Initial Concentration of Cd and NO3 in Cd (NO3)2aquous Solution | Initial Concentration of NO3 in KNO3aquous Solution | |
|---|---|---|---|
| Cd2+ | NO3 | ||
| cHA | - | - | - |
| HA10N | - | - | 10 mgNO3/L |
| HA50N | - | - | 50 mgNO3/L |
| HA100N | - | - | 100 mgNO3/L |
| HA5Cd | 5 mgCd/L | 105.5 mgNO3/L | - |
| HA10Cd | 10 mgCd/L | 211 mgNO3/L | - |
| HA15Cd | 15 mgCd/L | 316.6 mgNO3/L | - |
| Unit Cell Parameters Under Rietveld Refinement | cHA | HA5N | HA100N | HA5Cd | HA15Cd | |||
|---|---|---|---|---|---|---|---|---|
| 100% Ca5(PO4)2.829(CO3)0.26 (OH)1.59 Hexagonal, P63/m PDF 01-075-3728 | 83.5% Ca10(PO4)6 (OH)2 Hexagonal P63/m PDF 00-064-0738 | 16.5% Ca5(PO4)2.829(CO3)0.26 (OH)1.59 Hexagonal, P63/m PDF 01-075-3728 | 61.6% Ca10(PO4)6 (OH)2 Hexagonal P63/m PDF 00-064-0738 | 38.4% Ca5(PO4)2.829(CO3)0.26(OH)1.59 Hexagonal, P63/m PDF 01-075-0425 | 100% Ca4.94Cd0.06 (PO4)3(OH) Hexagonal, P63/m PDF04-017-8041 | 100% Ca4.94Cd0.97 (PO4)3(OH) Hexagonal, P63/m PDF01-075-0425 | ||
| a (Å) (deviation) | 9.4183 (0.002) | 9.394 (0.0021) | 9.418 (0.0043) | 9.4032 (0.001) | 9.4772 (0.0000) | 9.4108 (0.0012) | 9.4230 (0.0010) | |
| b (Å) (deviation) | 9.4183 (0.002) | 9.394 (0.0021) | 9.418 (0.0043) | 9.4032 (0.001) | 9.4772 (0.0000) | 9.4108 (0.0012) | 9.4230 (0.0010) | |
| c (Å) (deviation) | 6.8771 (0.0017) | 6.9022 (0.002) | 6.8929 (0.0058) | 6.8923 (0.0011) | 6.8886 (0.0000) | 6.888 (0.0009) | 6.895 (0.0009) | |
| V (Å3) | 528.31 | 527.53 | 535.01 | 527.77 | 536.84 | 528.33 | 530.26 | |
| Structural density (g/cm3) Unit cell atomic mass (g/mol) | 3.21 1020.3 | 3.15 1000.7 | 3.16 1020.3 | 3.15 1000.7 | 3.17 1020.3 | 3.20 1016.9 | 3.58 1142.8 | |
| α (°) = β (°) | 90 | 90 | 90 | 90 | 90 | 90 | 90 | |
| γ (°) | 120 | 120 | 120 | 120 | 120 | 120 | 120 | |
| Crystallinity (%) | 57.7 | 50.49 | 48.14 | 50.13 | 47.42 | |||
| Average crystallite size (nm) | 9.17 ± 1.650 | 16.467 ± 2.482 | 10.253 ± 1.559 | 19.92267 ± 2.844 | 12.447 ± 0.974 | 16.457 ± 1.446 | 15.991 ± 2.046 | |
| Micro-strain (%) | 0.165 ± 0.00001 | 0.624 ± 0.325 | 0.750 ± 0.391 | 0.565 ± 0.234 | 0.985 ± 0.273 | |||
| Agreed indices | Rexp | 9.25 | 11.33 | 12.16 | 11.96 | 11.71 | ||
| Rp | 8.70 | 8.46 | 9.58 | 9.63 | 9.86 | |||
| GOF | 1.639 | 1.02 | 1.08 | 1.31 | 1.38 | |||
Disclaimer/Publisher’s Note: The statements, opinions and data contained in all publications are solely those of the individual author(s) and contributor(s) and not of MDPI and/or the editor(s). MDPI and/or the editor(s) disclaim responsibility for any injury to people or property resulting from any ideas, methods, instructions or products referred to in the content. |
© 2025 by the authors. Licensee MDPI, Basel, Switzerland. This article is an open access article distributed under the terms and conditions of the Creative Commons Attribution (CC BY) license (https://creativecommons.org/licenses/by/4.0/).
Share and Cite
Dumitrescu, C.R.; Matei, M.; Deák, G.; Boboc, M.; Holban, E.; Gheorghe, F.D. Sustainable Synthesis and Dual-Function Sorption of Carbonated Hydroxyapatite for Cadmium and Nitrate Removal. Int. J. Mol. Sci. 2025, 26, 7766. https://doi.org/10.3390/ijms26167766
Dumitrescu CR, Matei M, Deák G, Boboc M, Holban E, Gheorghe FD. Sustainable Synthesis and Dual-Function Sorption of Carbonated Hydroxyapatite for Cadmium and Nitrate Removal. International Journal of Molecular Sciences. 2025; 26(16):7766. https://doi.org/10.3390/ijms26167766
Chicago/Turabian StyleDumitrescu, Cristina Rodica, Monica Matei, György Deák, Mădălina Boboc, Elena Holban, and Florina Diana Gheorghe. 2025. "Sustainable Synthesis and Dual-Function Sorption of Carbonated Hydroxyapatite for Cadmium and Nitrate Removal" International Journal of Molecular Sciences 26, no. 16: 7766. https://doi.org/10.3390/ijms26167766
APA StyleDumitrescu, C. R., Matei, M., Deák, G., Boboc, M., Holban, E., & Gheorghe, F. D. (2025). Sustainable Synthesis and Dual-Function Sorption of Carbonated Hydroxyapatite for Cadmium and Nitrate Removal. International Journal of Molecular Sciences, 26(16), 7766. https://doi.org/10.3390/ijms26167766

