The Red Shift in Estrogen Research: An Estrogen-Receptor Targeted aza-BODIPY–Estradiol Fluorescent Conjugate
Abstract
1. Introduction
2. Results and Discussion
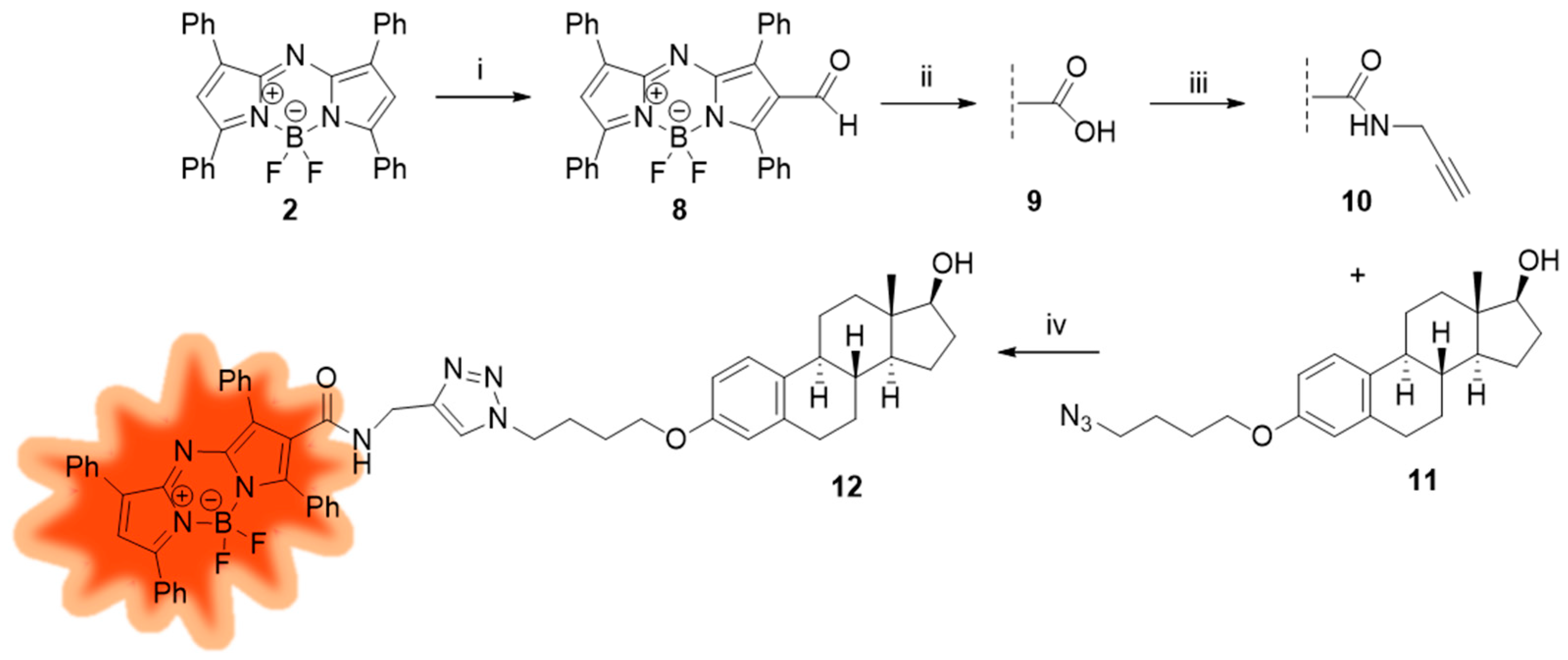
2.1. Chemistry
2.2. Pharmacology
2.3. Photophysical Characterization of 10 and 12
2.4. Docking Calculations

3. Materials and Methods
3.1. Chemistry, General
3.1.1. Synthesis of Chalcone 5
3.1.2. Synthesis of 4-Nitro-1,3-Diphenylbutan-1-One 6
3.1.3. Synthesis of (3,5-Diphenyl-1H-Pyrrol-2-Yl)-(3,5-Diphenyl-Pyrrol-2-Ylidene)Amine 7
Method A
Method B
3.1.4. Synthesis of aza-BODIPY 2
3.1.5. Formylation of Compound 2
3.1.6. Oxidation of Compound 8
3.1.7. Reaction of Compound 9 with Propargyl Amine
3.1.8. Synthesis of aza-BODIPY–E2 Conjugate 12
3.2. UV-Vis and Fluorescence Spectroscopic Measurements
3.3. Cell Cultures
3.4. MTT Assay
3.5. Luciferase Reporter Gene Assay
3.6. Fluorescent Confocal Microscopy
3.7. Computational Simulations
4. Conclusions
Supplementary Materials
Author Contributions
Funding
Institutional Review Board Statement
Informed Consent Statement
Data Availability Statement
Conflicts of Interest
References
- Ikeda, K.; Horie-Inoue, K.; Inoue, S. Functions of estrogen and estrogen receptor signaling on skeletal muscle. J. Steroid Biochem. Mol. Biol. 2019, 191, 105375. [Google Scholar] [CrossRef] [PubMed]
- Pelletier, G. Steroidogenic enzymes in the brain: Morphological aspects. Prog. Brain Res. 2010, 181, 193–207. [Google Scholar] [PubMed]
- Gajadeera, N.; Hanson, R.N. Review of fluorescent steroidal ligands for the estrogen receptor 1995–2018. Steroids 2019, 144, 30–46. [Google Scholar] [CrossRef] [PubMed]
- Jirikowski, G.F.; Reimar, K. Steroid-Styrylfarbstoff-Konjugate Zur Simulation und Direkten Lichtoptischen Detektion des Verhaltens von Steroiden im Lebenden Biologischen Gewebe und in Gegenwart von Steroidbindenden Proteinen. Patent DE 102010027016A1, 12 January 2012. [Google Scholar]
- Felion, C.; Lopez-Gonzalez, R.; Sewell, A.L.; Marquez, R.; Gauchotte-Lindsay, C. BODIPY-labeled estrogens for fluorescence analysis of environmental microbial degradation. ACS Omega 2022, 7, 41284–41295. [Google Scholar] [CrossRef] [PubMed]
- Peřina, M.; Börzsei, R.; Ágoston, H.; Hlogyik, T.; Poór, M.; Rigó, R.; Özvegy-Laczka, C.; Batta, G.; Hetényi, C.; Vojáčková, V.; et al. Synthesis and estrogenic activity of BODIPY-labeled estradiol conjugates. Eur. J. Pharm. Sci. 2024, 199, 106813. [Google Scholar] [CrossRef] [PubMed]
- Loudet, A.; Burgess, K. BODIPY dyes and their derivatives: Syntheses and spectroscopic properties. Chem. Rev. 2007, 107, 4891–4932. [Google Scholar] [CrossRef] [PubMed]
- Bumagina, N.A.; Antina, E.V. Review of advances in development of fluorescent BODIPY probes (chemosensors and chemodosimeters) for cation recognition. Coord. Chem. Rev. 2024, 505, 215688. [Google Scholar] [CrossRef]
- Oliveira, E.; Bértolo, E.; Núñez, C.; Pilla, V.; Santos, H.M.; Fernández-Lodeiro, J.; Fernández-Lodeiro, A.; Djafari, J.; Capelo, J.L.; Lodeiro, C. Green and Red Fluorescent Dyes for Translational Applications in Imaging and Sensing Analytes: A Dual-Color Flag. ChemistryOpen 2018, 7, 9–52. [Google Scholar] [CrossRef] [PubMed]
- Leung, B.O.; Chou, K.C. Review of super-resolution fluorescence microscopy for biology. Optica 2011, 65, 967–980. [Google Scholar] [CrossRef] [PubMed]
- Santi, P.A. Light sheet fluorescence microscopy. J. Histochem. Cytochem. 2011, 59, 129–138. [Google Scholar] [CrossRef] [PubMed]
- Ge, Y.; O’Shea, D.F. Azadipyrromethenes: From traditional dye chemistry to leading edge applications. Chem. Soc. Rev. 2016, 45, 3846–3864. [Google Scholar] [CrossRef] [PubMed]
- Shi, Z.; Han, X.; Hu, W.; Bai, H.; Peng, B.; Ji, L.; Fan, Q.; Li, L.; Huang, W. Bioapplications of small molecule Aza-BODIPY: From rational structural design to in vivo investigations. Chem. Soc. Rev. 2020, 49, 7533–7567. [Google Scholar] [CrossRef] [PubMed]
- Gai, L.; Sun, W. Recent advances in estrogen receptor-targeted probes conjugated to BODIPY dyes. Steroids 2022, 183, 109031. [Google Scholar] [CrossRef] [PubMed]
- Osati, S.; Ali, H.; Marques, F.; Paquette, M.; Beaudoin, S.; Guerin, B.; Leyton, J.V.; van Lier, J.E. BODIPY-17α-ethynylestradiol conjugates: Synthesis, fluorescence properties and receptor binding affinities. Bioorg. Med. Chem. Lett. 2017, 27, 443–446. [Google Scholar] [CrossRef] [PubMed]
- Osati, S.; Ali, H.; Guerin, B.; van Lier, J.E. Synthesis and spectral properties of estrogen- and androgen-BODIPY conjugates. Steroids 2017, 123, 27–36. [Google Scholar] [CrossRef] [PubMed]
- Killoran, J.; Allen, L.; Gallagher, J.F.; Gallagher, W.M.; O’Shea, D.F. Synthesis of BF2 chelates of tetraarylazadipyrromethenes and evidence for their photodynamic therapeutic behaviour. Chem. Commun. 2002, 17, 1226–1227. [Google Scholar]
- Jameson, L.P.; Dzyuba, S.V. Aza-BODIPY: Improved synthesis and interaction with soluble Aβ1–42 oligomers. Bioorg. Med. Chem. Lett. 2013, 23, 1732–1735. [Google Scholar] [CrossRef] [PubMed][Green Version]
- Gut, A.; Łapok, Ł.; Jamróz, D.; Nowakowska, M. Synthesis of thermally robust, photostable aza-dipyrromethene ligands substituted with nitro groups. Asian J. Org. Chem. 2017, 6, 207–223. [Google Scholar] [CrossRef]
- Zhao, W.; Carreira, E.M. Conformationally restricted Aza-BODIPY: Highly fluorescent, stable near-infrared absorbing dyes. Org. Lett. 2006, 12, 7254–7263. [Google Scholar] [CrossRef] [PubMed]
- Donyagina, V.F.; Shimizu, S.; Kobayashi, N.; Lukyanets, E.A. Synthesis of N,N-difluoroboryl complexes of 3,3′-diarylazadiisoindolylmethenes. Tetrahedron Lett. 2008, 49, 6152–6154. [Google Scholar] [CrossRef]
- Hlogyik, T.; Laczkó-Rigó, R.; Bakos, É.; Poór, M.; Kele, Z.; Özvegy-Laczka, C.; Mernyák, E. Synthesis and in vitro photodynamic activity of aza-BODIPY-based photosensitizers. Org. Biomol. Chem. 2023, 21, 6018–6027. [Google Scholar] [CrossRef] [PubMed]
- Zhou, X.; Yu, C.; Feng, Z.; Yu, Y.; Wang, J.; Hao, E.; Jiao, L. Highly regioselective α-chlorination of the BODIPY chromophore with copper(II) chloride. Org. Lett. 2015, 17, 4632–4635. [Google Scholar] [CrossRef] [PubMed]
- Loredo, A.; Tang, J.; Wang, L.; Wu, K.-L.; Peng, Z.; Xiao, H. Tetrazine as a general phototrigger to turn on fluorophores. Chem. Sci. 2020, 11, 4410–4415. [Google Scholar] [CrossRef] [PubMed]
- Tekin, K.; Hao, N.; Karagoz, S.; Ragauskas, A.J. Ethanol: A promising green solvent for the deconstruction of lignocellulose. ChemSusChem 2018, 11, 3559–3575. [Google Scholar] [CrossRef] [PubMed]
- Salihu, R.; Razak, S.I.A.; Zawawi, N.A.; Kadir, M.R.A.; Ismail, N.I.; Jusoh, N.; Mohamad, M.R.; Nayan, N.H.M. Citric acid: A green cross-linker of biomaterials for biomedical applications. Eur. Polym. J. 2021, 146, 110271. [Google Scholar] [CrossRef]
- Baranov, D.S.; Vasilevsky, S.F.; Gold, B.; Alabugin, I.V. Urea as an organic solvent and reagent for the addition/cyclization/fragmentation cascades leading to 2-R-7H-dibenzo[de,h]quinolin-7-one analogues of Aporphinoid alkaloids. RSC Adv. 2011, 1, 1745–1750. [Google Scholar] [CrossRef]
- Jafari, H.; Rostami, A.; Ahmad-Jangi, F.; Ghorbani-Choghamarani, A. Sulfamic Acid–Catalyzed Oxidation of Sulfides to Sulfoxides and Sulfones Using H2O2: Green and Chemoselective Method. Synth. Commun. 2012, 42, 3150–3156. [Google Scholar] [CrossRef]
- Chopra, P.K.P.G.; Lambat, T.L.; Mahmood, S.H.; Chaudhary, R.G.; Banerjee, S. Sulfamic Acid as Versatile Green Catalyst Used for Synthetic Organic Chemistry: A Comprehensive Update. ChemSelect 2021, 6, 6867–6889. [Google Scholar] [CrossRef]
- Wilson, V.S.; Bobseine, K.; Gray, L.E., Jr. Development and characterization of a cell line that stably expresses an estrogen-responsive luciferase reporter for the detection of estrogen receptor agonists and antagonists. Toxicol. Sci. 2004, 81, 69–77. [Google Scholar] [CrossRef] [PubMed]
- Chou, H.-M.; Chao, H.-R.; Lin, C.; Chiang, P.-C.; Wang, G.-S.; Tsou, T.-C. An improved estrogenic activity reporter gene assay (T47D-KBluc) for detecting estrogenic activity in wastewater and drinking water. Toxicol. Environ. Chem. 2016, 98, 376–384. [Google Scholar] [CrossRef]
- Bálint, M.; Jeszenői, N.; Horváth, I.; Ábrahám, I.M.; Hetényi, C. Dynamic changes in binding interaction networks of sex steroids establish their non-classical effects. Sci. Rep. 2017, 7, 14847. [Google Scholar] [CrossRef] [PubMed]
- Norman, A.W.; Mizwicki, M.T.; Norman, D.P.G. Steroid-hormone rapid actions, membrane receptors and a conformational ensemble model. Nat. Rev. Drug Discov. 2004, 3, 27–41. [Google Scholar] [CrossRef] [PubMed]
- Brzozowski, A.M.; Pike, A.C.W.; Dauter, Z.; Hubbard, R.E.; Bonn, T.; Engström, O.; Carlquist, M. Molecular basis of agonism and antagonism in the oestrogen receptor. Nature 1997, 389, 753–758. [Google Scholar] [CrossRef] [PubMed]
- Tanenbaum, D.M.; Wang, Y.; Williams, S.P.; Sigler, P.B. Crystallographic comparison of the estrogen and progesterone receptor’s ligand binding domains. Proc. Natl. Acad. Sci. USA 1998, 95, 5998–6003. [Google Scholar] [CrossRef] [PubMed]
- Xu, Y.; Zhao, M.; Zou, L.; Wu, L.; Xie, M.; Yang, T.; Liu, S.; Huang, W.; Zhao, Q. Highly Stable and Multifunctional Aza-BODIPY-Based Phototherapeutic Agent for Anticancer Treatment. ACS Appl. Mater. Interfaces 2018, 10, 44324–44335. [Google Scholar] [CrossRef] [PubMed]
- Bakos, É.; Ágoston, H.; Ignácz, R.; Hunyadi, A.; Poór, M.; Erostyák, J.; Kele, Z.; Özvegy-Laczka, C.; Mernyák, E. Facile Synthesis of Pyridyl Rosamines as Potential Photosensitizers. Int. J. Mol. Sci. 2025, 26, 1482. [Google Scholar] [CrossRef] [PubMed]
- Schrödinger Release, version 2023-1; Maestro, LLC: New York, NY, USA, 2021.
- Stewart, J.J.P. MOPAC2016, version 2016; Stewart Computational Chemistry: Colorado Springs, CO, USA, 2016. Available online: http://OpenMOPAC.net (accessed on 10 July 2025).
- Berman, H.M.; Westbrook, J.; Feng, Z.; Gilliland, G.; Bhat, T.N.; Weissig, H.; Shindyalov, I.N.; Bourne, P.E. The Protein Data Bank. Nucleic Acids Res. 2000, 28, 235–242. [Google Scholar] [CrossRef] [PubMed]
- Nettles, K.W.; Bruning, J.B.; Gil, G.; Nowak, J.; Sharma, S.K.; Hahm, J.B.; Kulp, K.; Hochberg, R.B.; Zhou, H.; Katzenellenbogen, J.A.; et al. NFκB Selectivity of Estrogen Receptor Ligands Revealed by Comparative Crystallographic Analyses. Nat. Chem. Biol. 2008, 4, 241–247. [Google Scholar] [CrossRef] [PubMed]
- The PyMOL Molecular Graphics System, version 2.5.0; Schrödinger, LLC: New York, NY, USA, 2020.
- Morris, G.M.; Huey, R.; Lindstrom, W.; Sanner, M.F.; Belew, R.K.; Goodsell, D.S.; Olson, A.J. AutoDock4 and AutoDockTools4: Automated Docking with Selective Receptor Flexibility. J. Comput. Chem. 2009, 30, 2785–2791. [Google Scholar] [CrossRef] [PubMed]







| Entry | Reagent (Equiv.) | Acid (Equiv.) | Solvent | Temp (°C) | Time (min) | 6 a (%) | 
|---|---|---|---|---|---|---|
| 1 | NH4OAc (20) | - | ethanol | 100 | 30 | 39 | 
| 2 | NH4OAc (20) | - | ethanol | 150 | 30 | 33 | 
| 3 | NH4OAc (20) | - | water | 100 | 30 | 18 | 
| 4 | NH4OAc (20) | - | water | 150 | 30 | 20 | 
| 5 | NH4OAc (20) | - | - | 100 | 3 | 48 | 
| 6 | NH4OAc (20) | - | - | 150 | 3 | 8 | 
| 7 | urea (20) | - | ethanol | 100 | 30 | - | 
| 8 | urea (20) | - | ethanol | 150 | 30 | - | 
| 9 | urea (20) | AA (10) | ethanol | 100 | 30 | 30 | 
| 10 | urea (20) | AA (10) | ethanol | 150 | 30 | 40 | 
| 11 | urea (20) | AA (10) | water | 100 | 30 | 32 | 
| 12 | urea (20) | AA (10) | water | 150 | 30 | 42 | 
| 13 | urea (20) | CA (3) | ethanol | 100 | 30 | 35 | 
| 14 | urea (20) | CA (3) | ethanol | 150 | 30 | 40 | 
| 15 | urea (20) | CA (3) | water | 100 | 30 | 38 | 
| 16 | urea (20) | CA (3) | water | 150 | 30 | 51 | 
| Cell Type | Receptor Status | Concentration (µM) | Inhibition (%) | SEM | 
|---|---|---|---|---|
| MDA-MB-231 | ER–, PR–, HER2– | 10 | 53.30 | 3.17 | 
| 30 | 57.38 | 2.59 | ||
| T-47-D | ER+, PR+, HER2– | 10 | −4.30 | 3.46 | 
| 30 | 20.72 | 2.23 | ||
| NIH/3T3 | 10 | 27.37 | 0.87 | |
| 30 | 15.40 | 1.70 | 
| Compound | Solvent | λabs (nm) | λem (nm) | Δλ (nm) | εmax (M−1 cm−1) | ΦFL (%) | 
|---|---|---|---|---|---|---|
| 10 | DMSO | 645 | 664 | 19 | 7.40 × 104 | 18.1 | 
| 12 | DMSO | 645 | 663 | 18 | 6.74 × 104 | 18.2 | 
| Disclaimer/Publisher’s Note: The statements, opinions and data contained in all publications are solely those of the individual author(s) and contributor(s) and not of MDPI and/or the editor(s). MDPI and/or the editor(s) disclaim responsibility for any injury to people or property resulting from any ideas, methods, instructions or products referred to in the content. | 
© 2025 by the authors. Licensee MDPI, Basel, Switzerland. This article is an open access article distributed under the terms and conditions of the Creative Commons Attribution (CC BY) license (https://creativecommons.org/licenses/by/4.0/).
Share and Cite
Hlogyik, T.; Bózsity, N.; Börzsei, R.; Kovács, B.; Labos, P.; Hetényi, C.; Kiricsi, M.; Huliák, I.; Kele, Z.; Poór, M.; et al. The Red Shift in Estrogen Research: An Estrogen-Receptor Targeted aza-BODIPY–Estradiol Fluorescent Conjugate. Int. J. Mol. Sci. 2025, 26, 7075. https://doi.org/10.3390/ijms26157075
Hlogyik T, Bózsity N, Börzsei R, Kovács B, Labos P, Hetényi C, Kiricsi M, Huliák I, Kele Z, Poór M, et al. The Red Shift in Estrogen Research: An Estrogen-Receptor Targeted aza-BODIPY–Estradiol Fluorescent Conjugate. International Journal of Molecular Sciences. 2025; 26(15):7075. https://doi.org/10.3390/ijms26157075
Chicago/Turabian StyleHlogyik, Tamás, Noémi Bózsity, Rita Börzsei, Benjámin Kovács, Péter Labos, Csaba Hetényi, Mónika Kiricsi, Ildikó Huliák, Zoltán Kele, Miklós Poór, and et al. 2025. "The Red Shift in Estrogen Research: An Estrogen-Receptor Targeted aza-BODIPY–Estradiol Fluorescent Conjugate" International Journal of Molecular Sciences 26, no. 15: 7075. https://doi.org/10.3390/ijms26157075
APA StyleHlogyik, T., Bózsity, N., Börzsei, R., Kovács, B., Labos, P., Hetényi, C., Kiricsi, M., Huliák, I., Kele, Z., Poór, M., Erostyák, J., Hunyadi, A., Zupkó, I., & Mernyák, E. (2025). The Red Shift in Estrogen Research: An Estrogen-Receptor Targeted aza-BODIPY–Estradiol Fluorescent Conjugate. International Journal of Molecular Sciences, 26(15), 7075. https://doi.org/10.3390/ijms26157075
 
        





 
       