Glycerol Biosynthesis Pathways from Starch Endow Dunaliella salina with the Adaptability to Osmotic and Oxidative Effects Caused by Salinity
Abstract
1. Introduction
2. Results
2.1. Sequencing, Reads Assembly, Gene Annotation and Functional Analysis
2.2. Identification of Differentially Expressed Genes (DEGs)
2.3. RNA-Seq Expression Validation by RT-qPCR
2.4. Glycerol Metabolism Pathway in Response to Salinity and Hypertonic Stresses
2.5. Starch and Sucrose Metabolism in Response to Salinity Stress
2.6. The KEGG Enrichment of Salinity-Responsive Pathways Involved in Starch Degradation
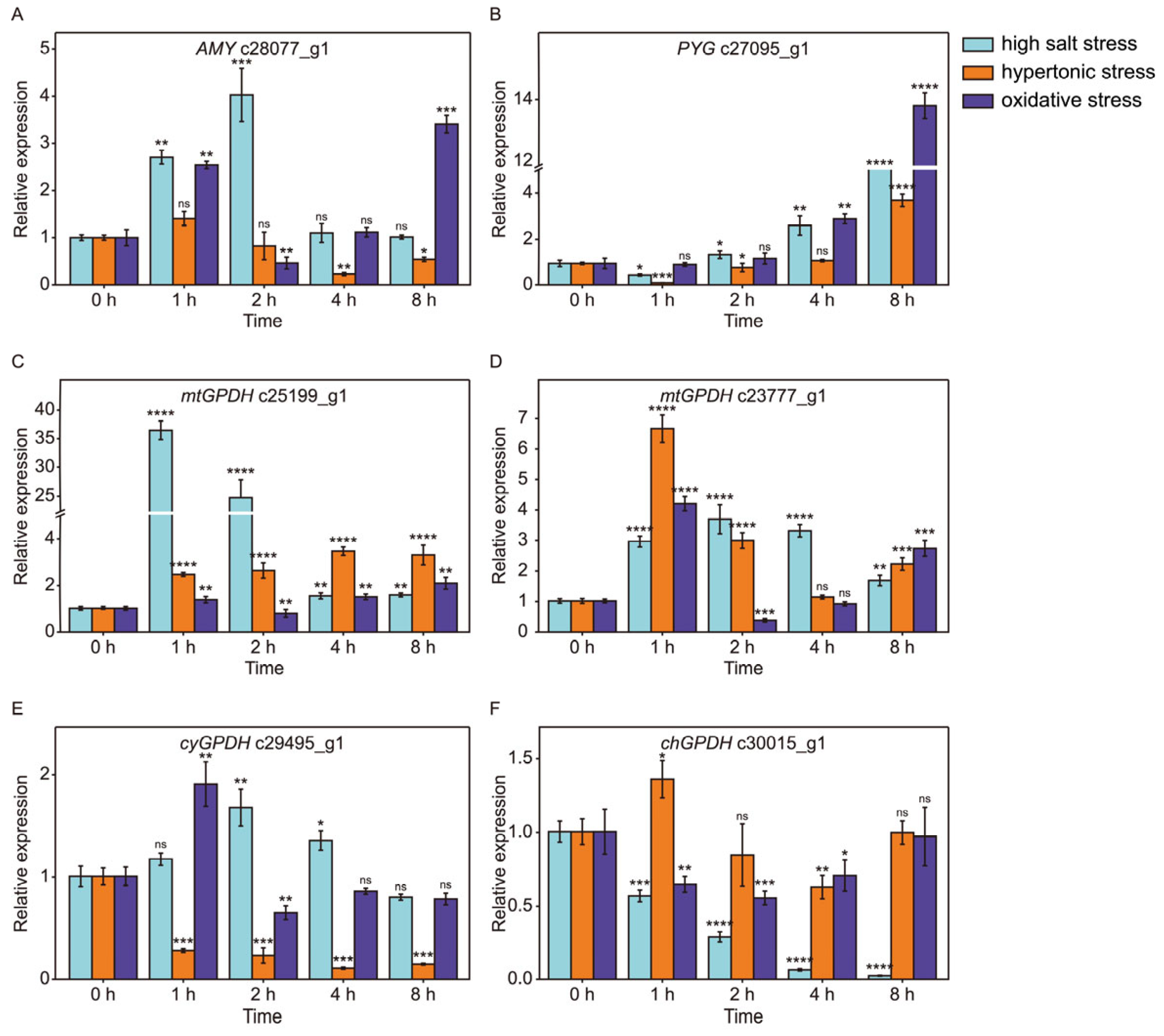
2.7. The Dynamic Expression of Key Genes Involved in Starch Hydrolysis and Glycerol Biosynthesis
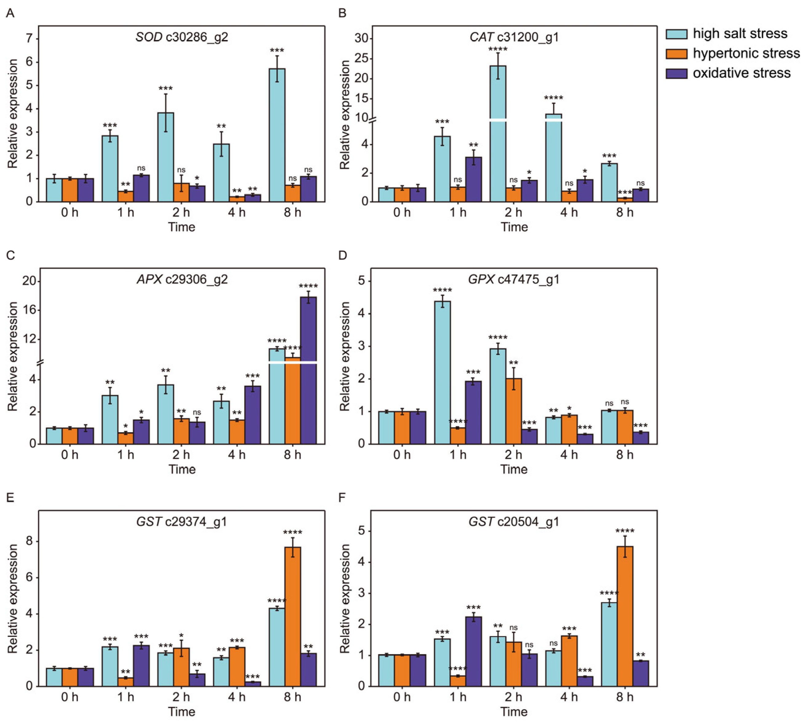
2.8. The Dynamic Change in Some Antioxidant Enzyme Genes Involved in ROS Scavenging
2.9. Transcription Factors (TFs) Responding to Abiotic Stresses
2.10. The Dynamic Expression of TFs Under Abiotic Stresses
3. Discussion
3.1. Starch and Sucrose Metabolism as Well as Glycerol Metabolism Were Reprogrammed Under High Salt Stress Condition
3.2. Starch Serves as a Temporary Pioneer in Response to Salinity Stress Through Different Catabolic Pathways
3.3. Starch Breakdown Might Be Triggered Mainly by Salinity Causing Oxidative Effect and Regulated by Both AMY and PYG with Alternative Expression Patterns Under Salt Stress
3.4. Glycerol-3-Phosphate Shuttle and Antioxidant Enzymes Participate in Solving the Problem of Redox Imbalance Under Abiotic Stresses
3.5. A R2R3-MYB Gene (c23845_g1) Might Be a Core TF in Response to Different Stresses by Regulating the Transcription of ROS-Related Genes
4. Materials and Methods
4.1. Materials and Stress Treatments
4.2. Transcriptome Sequencing, Reads Assembly and Functional Annotation
4.3. Differential Expression Analysis of Transcripts
4.4. Intracellular Starch Staining of D. salina
4.5. RT-qPCR Analysis
5. Conclusions
Supplementary Materials
Author Contributions
Funding
Institutional Review Board Statement
Informed Consent Statement
Data Availability Statement
Conflicts of Interest
References
- Chen, H.; Jiang, J.G. Osmotic responses of Dunaliella to the changes of salinity. J. Cell. Physiol. 2009, 219, 251–258. [Google Scholar] [CrossRef]
- Ramos, A.A.; Polle, J.; Tran, D.; Cushman, J.C.; Jin, E.S.; Varela, J.C. The unicellular green alga Dunaliella salina Teod. as a model for abiotic stress tolerance: Genetic advances and future perspectives. Algae 2011, 26, 3–20. [Google Scholar] [CrossRef]
- Takagi, M.; Karseno; Yoshida, T. Effect of salt concentration on intracellular accumulation of lipids and triacylglyceride in marine microalgae Dunaliella cells. J. Biosci. Bioeng. 2006, 101, 223–226. [Google Scholar] [CrossRef]
- Tianxiang, W.; Xiaojie, C.; Yuting, C.; Liying, L.; Yiqiong, L. Advances in studies on molecular mechanism of salt tolerance in Dunaliella salina. Agric. Sci. Technol. 2016, 17, 291. [Google Scholar]
- Zhu, Q.; Wu, M.; Xiao, J.; Gao, L.; Song, R.; Yang, Z.; Xia, L.; Zheng, J.; Liu, J. Comparative transcriptome combined with physiological analyses revealed key genes and pathways for cadmium tolerance in wild-type and mutant microalgae Dunaliella salina. Algal Res. 2024, 79, 103475. [Google Scholar] [CrossRef]
- Jiang, X.; Yang, L.; Wang, Y.; Jiang, F.; Lai, J.; Pan, K. Proteomics provide insight into the interaction between selenite and the microalgae Dunaliella salina. Processes 2023, 11, 563. [Google Scholar] [CrossRef]
- Bhuiyan, M.S.; Maynard, G.; Raman, A.; Hodgkins, D.; Mitchell, D.; Nicol, H. Salt effects on proline and glycine betaine levels and photosynthetic performance in Melilotus siculus, Tecticornia pergranulata and Thinopyrum ponticum measured in simulated saline conditions. Funct. Plant Biol. 2016, 43, 254–265. [Google Scholar] [CrossRef] [PubMed]
- Zheng, Q.X.; Luo, J.Y.; Wang, Q.H.; Chen, H.H.; Jiang, J.G. Molecular insights into salt tolerance in Dunaliella tertiolecta involving two betaine aldehyde dehydrogenases. World J. Microbiol. Biotechnol. 2025, 41, 8. [Google Scholar] [CrossRef] [PubMed]
- Tavakoli, M.; Poustini, K.; Alizadeh, H. Proline accumulation and related genes in wheat leaves under salinity stress. J. Agric. Sci. Technol. 2016, 18, 707–716. [Google Scholar]
- Zhao, Y.; Li, Q.; Gu, D.; Yu, L.; Yu, X. The synergistic effects of gamma-aminobutyric acid and salinity during the enhancement of microalgal lipid production in photobioreactors. Energy Convers. Manag. 2022, 267, 115928. [Google Scholar] [CrossRef]
- Prior, B.; Hohmann, S. Glycerol production and osmoregulation. In Yeast Sugar Metabolism; CRC Press: Boca Raton, FL, USA, 2024; pp. 313–337. [Google Scholar]
- Lloret, A.; Martínez-Fuentes, A.; Agustí, M.; Badenes, M.L.; Ríos, G. Chromatin-associated regulation of sorbitol synthesis in flower buds of peach. Plant Mol. Biol. 2017, 95, 507–517. [Google Scholar] [CrossRef]
- Lv, H.; Kim, M.; Park, S.; Baek, K.; Oh, H.; Polle, J.E.; Jin, E. Comparative transcriptome analysis of short-term responses to salt and glycerol hyperosmotic stress in the green alga Dunaliella salina. Algal Res. 2021, 53, 102147. [Google Scholar] [CrossRef]
- Ben-Amotz, A.; Avron, M. Glycerol and ß-carotene metabolism in the halotolerant alga Dunaliella: A model system for biosolar energy conversion. Trends Biochem. Sci. 1981, 6, 297–299. [Google Scholar] [CrossRef]
- Xia, B.B.; Wang, S.H.; Duan, J.B.; Bai, L.H. The relationship of glycerol and glycolysis metabolism patway under hyperosmotic stress in Dunaliella salina. Open Life Sci. 2014, 9, 901–908. [Google Scholar] [CrossRef]
- Cruz-Powell, I.; Subedi, B.; Kim, Y.; Morales-Sánchez, D.; Cerutti, H. Post-translational regulation of a bidomain glycerol-3-phosphate dehydrogenase catalyzing glycerol synthesis under salinity stress in Chlamydomonas reinhardtii. Phycology 2024, 4, 213–234. [Google Scholar] [CrossRef]
- Yuasa, T.; Muto, S. Activation of 40-kDa protein kinases in response to hypo-and hyperosmotic shock in the halotolerant green alga Dunaliella tertiolecta. Plant Cell Physiol. 1996, 37, 35–42. [Google Scholar] [CrossRef][Green Version]
- Miller, G.; Shulaev, V.; Mittler, R. Reactive oxygen signaling and abiotic stress. Physiol. Plant. 2008, 133, 481–489. [Google Scholar] [CrossRef] [PubMed]
- Ahanger, M.A.; Tomar, N.S.; Tittal, M.; Argal, S.; Agarwal, R. Plant growth under water/salt stress: ROS production; antioxidants and significance of added potassium under such conditions. Physiol. Mol. Biol. Plants 2017, 23, 731–744. [Google Scholar] [CrossRef] [PubMed]
- Nath, M.; Bhatt, D.; Prasad, R.; Tuteja, N. Reactive oxygen species (ROS) metabolism and signaling in plant-mycorrhizal association under biotic and abiotic stress conditions. In Mycorrhiza-Eco-Physiology, Secondary Metabolites, Nanomaterials; Springer: Berlin/Heidelberg, Germany, 2017; pp. 223–232. [Google Scholar]
- Li, Y.; Li, P.; Xu, P.; Wu, Y.; Liu, W.; Santhoshkumar, C. Effect of nutrients and antioxidant enzyme activities from Microcystis aeruginosa. Int. J. Curr. Microbiol. App. Sci. 2016, 5, 571–576. [Google Scholar] [CrossRef][Green Version]
- Wang, C.; Wang, X.; Wang, P.; Chen, B.; Hou, J.; Qian, J.; Yang, Y. Effects of iron on growth, antioxidant enzyme activity, bound extracellular polymeric substances and microcystin production of Microcystis aeruginosa FACHB-905. Ecotoxicol. Environ. Saf. 2016, 132, 231–239. [Google Scholar] [CrossRef]
- Wu, H. Effect of different light qualities on growth, pigment content, chlorophyll fluorescence, and antioxidant enzyme activity in the red alga Pyropia haitanensis (Bangiales, Rhodophyta). BioMed Res. Int. 2016, 2016, 7383918. [Google Scholar] [CrossRef]
- Hamed, S.M.; Selim, S.; Klöck, G.; AbdElgawad, H. Sensitivity of two green microalgae to copper stress: Growth, oxidative and antioxidants analyses. Ecotoxicol. Environ. Saf. 2017, 144, 19–25. [Google Scholar] [CrossRef]
- Wei, S.; Bian, Y.; Zhao, Q.; Chen, S.; Mao, J.; Song, C.; Cheng, K.; Xiao, Z.; Zhang, C.; Ma, W.; et al. Salinity-induced palmella formation mechanism in halotolerant algae Dunaliella salina revealed by quantitative proteomics and phosphoproteomics. Front. Plant Sci. 2017, 8, 810. [Google Scholar] [CrossRef]
- Tammam, A.A.; Fakhry, E.M.; El-Sheekh, M. Effect of salt stress on antioxidant system and the metabolism of the reactive oxygen species in Dunaliella salina and Dunaliella tertiolecta. Afr. J. Biotechnol. 2011, 10, 3795–3808. [Google Scholar]
- Liu, Z.-J.; Guo, Y.-K.; Bai, J.-G. Exogenous hydrogen peroxide changes antioxidant enzyme activity and protects ultrastructure in leaves of two cucumber ecotypes under osmotic stress. J. Plant Growth Regul. 2010, 29, 171–183. [Google Scholar] [CrossRef]
- Fang, L.; Qi, S.; Xu, Z.; Wang, W.; He, J.; Chen, X.; Liu, J. De novo transcriptomic profiling of Dunaliella salina reveals concordant flows of glycerol metabolic pathways upon reciprocal salinity changes. Algal Res. 2017, 23, 135–149. [Google Scholar] [CrossRef]
- Zhang, X.; Tang, X.; Wang, M.; Zhang, W.; Zhou, B.; Wang, Y. ROS and calcium signaling mediated pathways involved in stress responses of the marine microalgae Dunaliella salina to enhanced UV-B radiation. J. Photochem. Photobiol. B. 2017, 173, 360–367. [Google Scholar] [CrossRef]
- Liang, M.H.; Jiang, J.G. Analysis of carotenogenic genes promoters and WRKY transcription factors in response to salt stress in Dunaliella bardawil. Sci. Rep. 2017, 7, 37025. [Google Scholar] [CrossRef]
- Golldack, D.; Luking, I.; Yang, O. Plant tolerance to drought and salinity: Stress regulating transcription factors and their functional significance in the cellular transcriptional network. Plant Cell Rep. 2011, 30, 1383–1391. [Google Scholar] [CrossRef]
- Wang, H.; Wang, H.; Shao, H.; Tang, X. Recent advances in utilizing transcription factors to improve plant abiotic stress tolerance by transgenic technology. Front. Plant Sci. 2016, 7, 67. [Google Scholar] [CrossRef]
- Qin, Y.; Tian, Y.; Han, L.; Yang, X. Constitutive expression of a salinity-induced wheat WRKY transcription factor enhances salinity and ionic stress tolerance in transgenic Arabidopsis thaliana. Biochem. Biophys. Res. Commun. 2013, 441, 476–481. [Google Scholar] [CrossRef] [PubMed]
- Wang, C.; Deng, P.; Chen, L.; Wang, X.; Ma, H.; Hu, W.; Yao, N.; Feng, Y.; Chai, R.; Yang, G. A wheat WRKY transcription factor TaWRKY10 confers tolerance to multiple abiotic stresses in transgenic tobacco. PLoS ONE 2013, 8, e65120. [Google Scholar] [CrossRef] [PubMed]
- Qin, Y.; Tian, Y.; Liu, X. A wheat salinity-induced WRKY transcription factor TaWRKY93 confers multiple abiotic stress tolerance in Arabidopsis thaliana. Biochem. Biophys. Res. Commun. 2015, 464, 428–433. [Google Scholar] [CrossRef] [PubMed]
- Wei, Q.; Luo, Q.; Wang, R.; Zhang, F.; He, Y.; Zhang, Y.; Qiu, D.; Li, K.; Chang, J.; Yang, G. A Wheat R2R3-type MYB transcription factor TaODORANT1 positively regulates drought and salt stress responses in transgenic tobacco plants. Front. Plant Sci. 2017, 8, 1374. [Google Scholar] [CrossRef]
- He, Q.; Qiao, D.; Bai, L.; Zhang, Q.; Yang, W.; Li, Q.; Cao, Y. Cloning and characterization of a plastidic glycerol 3-phosphate dehydrogenase cDNA from Dunaliella salina. J. Plant Physiol. 2007, 164, 214–220. [Google Scholar] [CrossRef]
- Goyal, A. Osmoregulation in Dunaliella, Part II: Photosynthesis and starch contribute carbon for glycerol synthesis during a salt stress in Dunaliella tertiolecta. Plant Physiol. Biochem. 2007, 45, 705–710. [Google Scholar] [CrossRef]
- Kaplan, F.; Guy, C.L. beta-Amylase induction and the protective role of maltose during temperature shock. Plant Physiol. 2004, 135, 1674–1684. [Google Scholar] [CrossRef]
- Basu, P.; Ali, M.; Chaturvedi, S. Osmotic adjustment increases water uptake, remobilization of assimilates and maintains photosynthesis in chickpea under drought. Indian J. Exp. Biol. 2007, 45, 261–267. [Google Scholar]
- Kempa, S.; Krasensky, J.; Dal Santo, S.; Kopka, J.; Jonak, C. A central role of abscisic acid in stress-regulated carbohydrate metabolism. PLoS ONE 2008, 3, e3935. [Google Scholar] [CrossRef]
- Chitlaru, E.; Pick, U. Regulation of glycerol synthesis in response to osmotic changes in Dunaliella. Plant Physiol. 1991, 96, 50–60. [Google Scholar] [CrossRef][Green Version]
- Ngara, R.; Ndimba, R.; Borch-Jensen, J.; Jensen, O.N.; Ndimba, B. Identification and profiling of salinity stress-responsive proteins in Sorghum bicolor seedlings. J. Proteom. 2012, 75, 4139–4150. [Google Scholar] [CrossRef]
- Trivedi, D.K.; Bhatt, H.; Pal, R.K.; Tuteja, R.; Garg, B.; Johri, A.K.; Bhavesh, N.S.; Tuteja, N. Structure of RNA-interacting cyclophilin A-like protein from Piriformospora indica that provides salinity-stress tolerance in plants. Sci. Rep. 2013, 3, 3001. [Google Scholar] [CrossRef] [PubMed]
- Ziemann, M.; Kamboj, A.; Hove, R.M.; Loveridge, S.; El-Osta, A.; Bhave, M. Analysis of the barley leaf transcriptome under salinity stress using mRNA-Seq. Acta Physiol. Plant. 2013, 35, 1915–1924. [Google Scholar] [CrossRef]
- Larsson, C.; Påhlman, I.L.; Ansell, R.; Rigoulet, M.; Adler, L.; Gustafsson, L. The importance of the glycerol 3-phosphate shuttle during aerobic growth of Saccharomyces cerevisiae. Yeast 1998, 14, 347–357. [Google Scholar] [CrossRef]
- Rigoulet, M.; Aguilaniu, H.; Avéret, N.; Bunoust, O.; Camougrand, N.; Grandier-Vazeille, X.; Larsson, C.; Pahlman, I.-L.; Manon, S.; Gustafsson, L. Organization and regulation of the cytosolic NADH metabolism in the yeast Saccharomyces cerevisiae. Mol. Cell Biochem. 2004, 256, 73–81. [Google Scholar] [CrossRef]
- Shen, W.; Wei, Y.; Dauk, M.; Tan, Y.; Taylor, D.C.; Selvaraj, G.; Zou, J. Involvement of a glycerol-3-phosphate dehydrogenase in modulating the NADH/NAD+ ratio provides evidence of a mitochondrial glycerol-3-phosphate shuttle in Arabidopsis. Plant Cell 2006, 18, 422–441. [Google Scholar] [CrossRef]
- Yang, W.; Cao, Y.; Sun, X.; Huang, F.; He, Q.; Qiao, D.; Bai, L. Isolation of a FAD-GPDH gene encoding a mitochondrial FAD-dependent glycerol-3-phosphate dehydrogenase from Dunaliella salina. J. Basic Microbiol. 2007, 47, 266–274. [Google Scholar] [CrossRef]
- Apel, K.; Hirt, H. Reactive oxygen species: Metabolism, oxidative stress, and signal transduction. Annu. Rev. Plant Biol. 2004, 55, 373–399. [Google Scholar] [CrossRef]
- Munne-Bosch, S.; Pinto-Marijuan, M. Free radicals, oxidative stress and antioxidants. Encycl. Appl. Plant Sci 2016, 2, 16–19. [Google Scholar]
- Choudhury, F.K.; Rivero, R.M.; Blumwald, E.; Mittler, R. Reactive oxygen species, abiotic stress and stress combination. Plant J. 2017, 90, 856–867. [Google Scholar] [CrossRef]
- Chokshi, K.; Pancha, I.; Ghosh, A.; Mishra, S. Nitrogen starvation-induced cellular crosstalk of ROS-scavenging antioxidants and phytohormone enhanced the biofuel potential of green microalga Acutodesmus dimorphus. Biotechnol. Biofuels 2017, 10, 60. [Google Scholar] [CrossRef]
- Einali, A. The induction of salt stress tolerance by propyl gallate treatment in green microalga Dunaliella bardawil, through enhancing ascorbate pool and antioxidant enzymes activity. Protoplasma 2017, 255, 601–611. [Google Scholar] [CrossRef] [PubMed]
- Gao, Q.; Wong, Y.; Tam, N.F. Antioxidant responses of different microalgal species to nonylphenol-induced oxidative stress. J. Appl. Phycol. 2017, 29, 1317–1329. [Google Scholar] [CrossRef]
- Zhao, Y.; Wang, Y.; Li, Y.; Santschi, P.H.; Quigg, A. Response of photosynthesis and the antioxidant defense system of two microalgal species (Alexandrium minutum and Dunaliella salina) to the toxicity of BDE-47. Mar. Pollut. Bull. 2017, 124, 459–469. [Google Scholar] [CrossRef] [PubMed]
- Mittler, R.; Vanderauwera, S.; Gollery, M.; Van Breusegem, F. Reactive oxygen gene network of plants. Trends Plant Sci. 2004, 9, 490–498. [Google Scholar] [CrossRef] [PubMed]
- Wang, Y.; Zhao, X.; Tang, X. Antioxidant system responses in two co-occurring green-tide algae under stress conditions. Chin. J. Oceanol. Limnol. 2016, 34, 102–108. [Google Scholar] [CrossRef]
- Chen, B.; Niu, F.; Liu, W.-Z.; Yang, B.; Zhang, J.; Ma, J.; Cheng, H.; Han, F.; Jiang, Y.-Q. Identification, cloning and characterization of R2R3-MYB gene family in canola (Brassica napus L.) identify a novel member modulating ROS accumulation and hypersensitive-like cell death. DNA Res. 2016, 23, 101–114. [Google Scholar] [CrossRef]
- Zhu, N.; Cheng, S.; Liu, X.; Du, H.; Dai, M.; Zhou, D.-X.; Yang, W.; Zhao, Y. The R2R3-type MYB gene OsMYB91 has a function in coordinating plant growth and salt stress tolerance in rice. Plant Sci. 2015, 236, 146–156. [Google Scholar] [CrossRef]
- Pick, U.; Karni, L.; Avron, M. Determination of ion content and ion fluxes in the halotolerant alga Dunaliella salina. Plant Physiol. 1986, 81, 92–96. [Google Scholar] [CrossRef]
- Ashburner, M.; Ball, C.A.; Blake, J.A.; Botstein, D.; Butler, H.; Cherry, J.M.; Davis, A.P.; Dolinski, K.; Dwight, S.S.; Eppig, J.T. Gene Ontology: Tool for the unification of biology. Nat. Genet. 2000, 25, 25. [Google Scholar] [CrossRef]
- Kanehisa, M.; Goto, S.; Kawashima, S.; Okuno, Y.; Hattori, M. The KEGG resource for deciphering the genome. Nucleic Acids Res. 2004, 32, D277–D280. [Google Scholar] [CrossRef]
- Powell, S.; Forslund, K.; Szklarczyk, D.; Trachana, K.; Roth, A.; Huerta-Cepas, J.; Gabaldón, T.; Rattei, T.; Creevey, C.; Kuhn, M. eggNOG v4. 0: Nested orthology inference across 3686 organisms. Nucleic Acids Res. 2014, 42, D231–D239. [Google Scholar] [CrossRef] [PubMed]
- Conesa, A.; Götz, S. Blast2GO: A comprehensive suite for functional analysis in plant genomics. Int. J. Plant Genom. 2008, 2008, 619832. [Google Scholar] [CrossRef]
- Wu, T.; Hu, E.; Xu, S.; Chen, M.; Guo, P.; Dai, Z.; Feng, T.; Zhou, L.; Tang, W.; Zhan, L.; et al. clusterProfiler 4.0: A universal enrichment tool for interpreting omics data. Innovation 2021, 2, 100141. [Google Scholar] [CrossRef]
- Li, B.; Dewey, C.N. RSEM: Accurate transcript quantification from RNA-Seq data with or without a reference genome. BMC Bioinform. 2011, 12, 323. [Google Scholar] [CrossRef]
- Livak, K.J.; Schmittgen, T.D. Analysis of relative gene expression data using real-time quantitative PCR and the 2(-Delta Delta C(T)) Method. Methods 2001, 25, 402–408. [Google Scholar] [CrossRef]










Disclaimer/Publisher’s Note: The statements, opinions and data contained in all publications are solely those of the individual author(s) and contributor(s) and not of MDPI and/or the editor(s). MDPI and/or the editor(s) disclaim responsibility for any injury to people or property resulting from any ideas, methods, instructions or products referred to in the content. |
© 2025 by the authors. Licensee MDPI, Basel, Switzerland. This article is an open access article distributed under the terms and conditions of the Creative Commons Attribution (CC BY) license (https://creativecommons.org/licenses/by/4.0/).
Share and Cite
Yao, H.; Xu, Y.; Yang, H.; Guo, Y.; Jiao, P.; Xiang, D.; Xu, H.; Cao, Y. Glycerol Biosynthesis Pathways from Starch Endow Dunaliella salina with the Adaptability to Osmotic and Oxidative Effects Caused by Salinity. Int. J. Mol. Sci. 2025, 26, 7019. https://doi.org/10.3390/ijms26147019
Yao H, Xu Y, Yang H, Guo Y, Jiao P, Xiang D, Xu H, Cao Y. Glycerol Biosynthesis Pathways from Starch Endow Dunaliella salina with the Adaptability to Osmotic and Oxidative Effects Caused by Salinity. International Journal of Molecular Sciences. 2025; 26(14):7019. https://doi.org/10.3390/ijms26147019
Chicago/Turabian StyleYao, Huiying, Yi Xu, Huahao Yang, Yihan Guo, Pengrui Jiao, Dongyou Xiang, Hui Xu, and Yi Cao. 2025. "Glycerol Biosynthesis Pathways from Starch Endow Dunaliella salina with the Adaptability to Osmotic and Oxidative Effects Caused by Salinity" International Journal of Molecular Sciences 26, no. 14: 7019. https://doi.org/10.3390/ijms26147019
APA StyleYao, H., Xu, Y., Yang, H., Guo, Y., Jiao, P., Xiang, D., Xu, H., & Cao, Y. (2025). Glycerol Biosynthesis Pathways from Starch Endow Dunaliella salina with the Adaptability to Osmotic and Oxidative Effects Caused by Salinity. International Journal of Molecular Sciences, 26(14), 7019. https://doi.org/10.3390/ijms26147019
