Predicting the Fate of Bisphenol A During Electrochemical Oxidation: A Simple Semiempirical Method Based on the Concentration Profile of Hydroxyl Radicals
Abstract
1. Introduction
2. Results
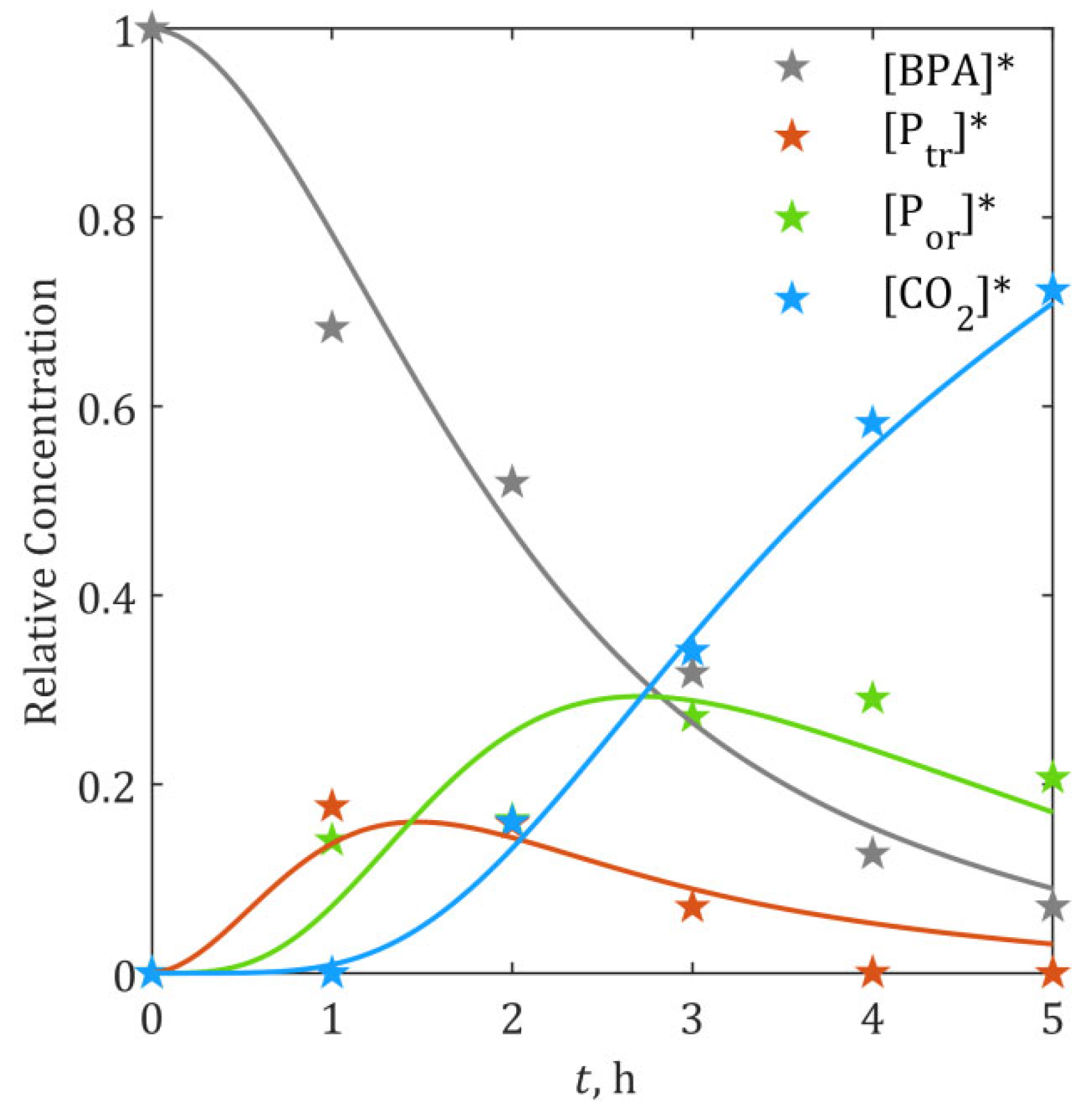
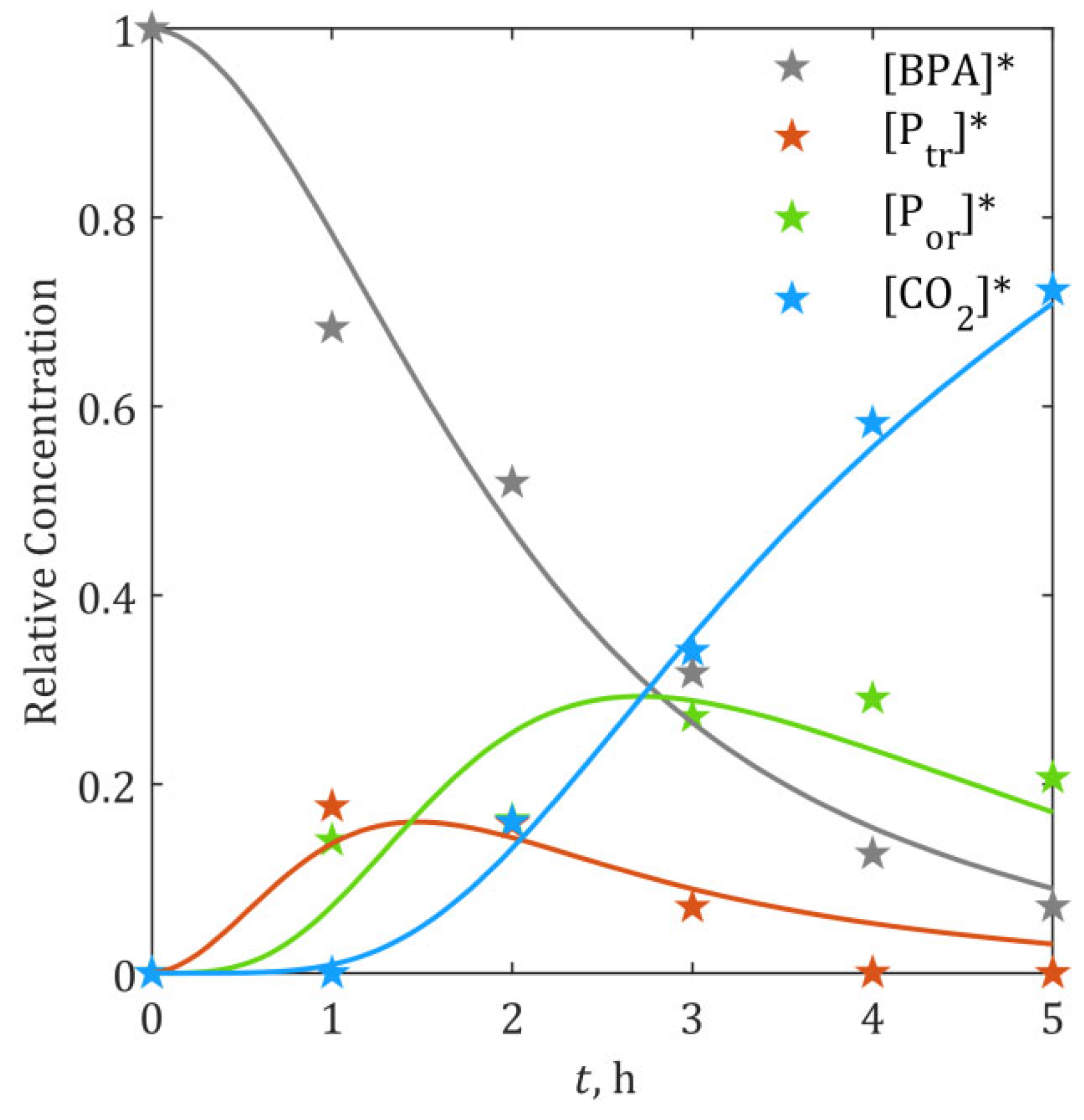
2.1. Determination of Bisphenol A (BPA) Degradation Intermediates
2.2. Kinetic Model Framework
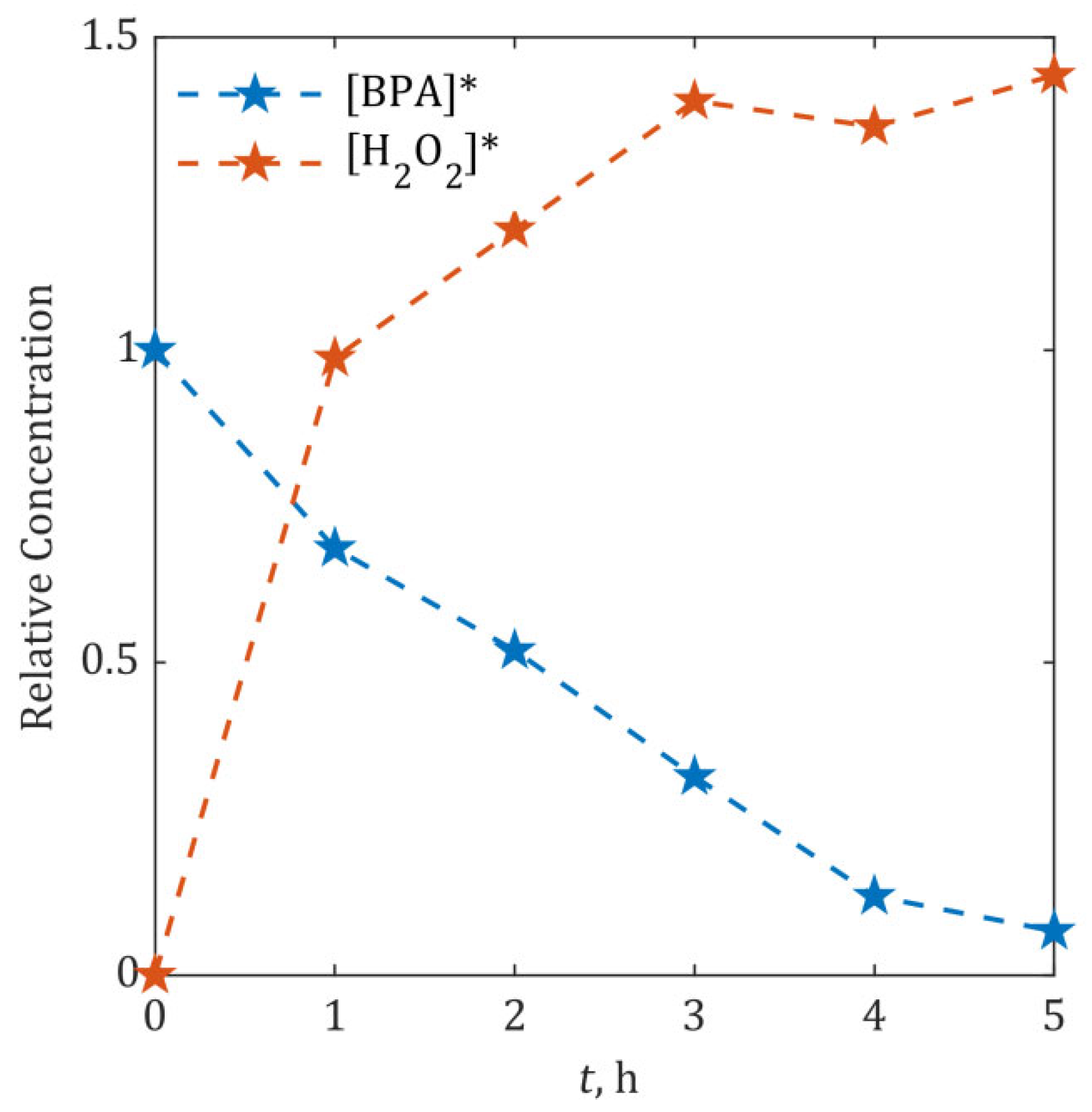
2.3. Hydroxyl Radical Concentration Dynamics from H2O2 Experimental Measurements
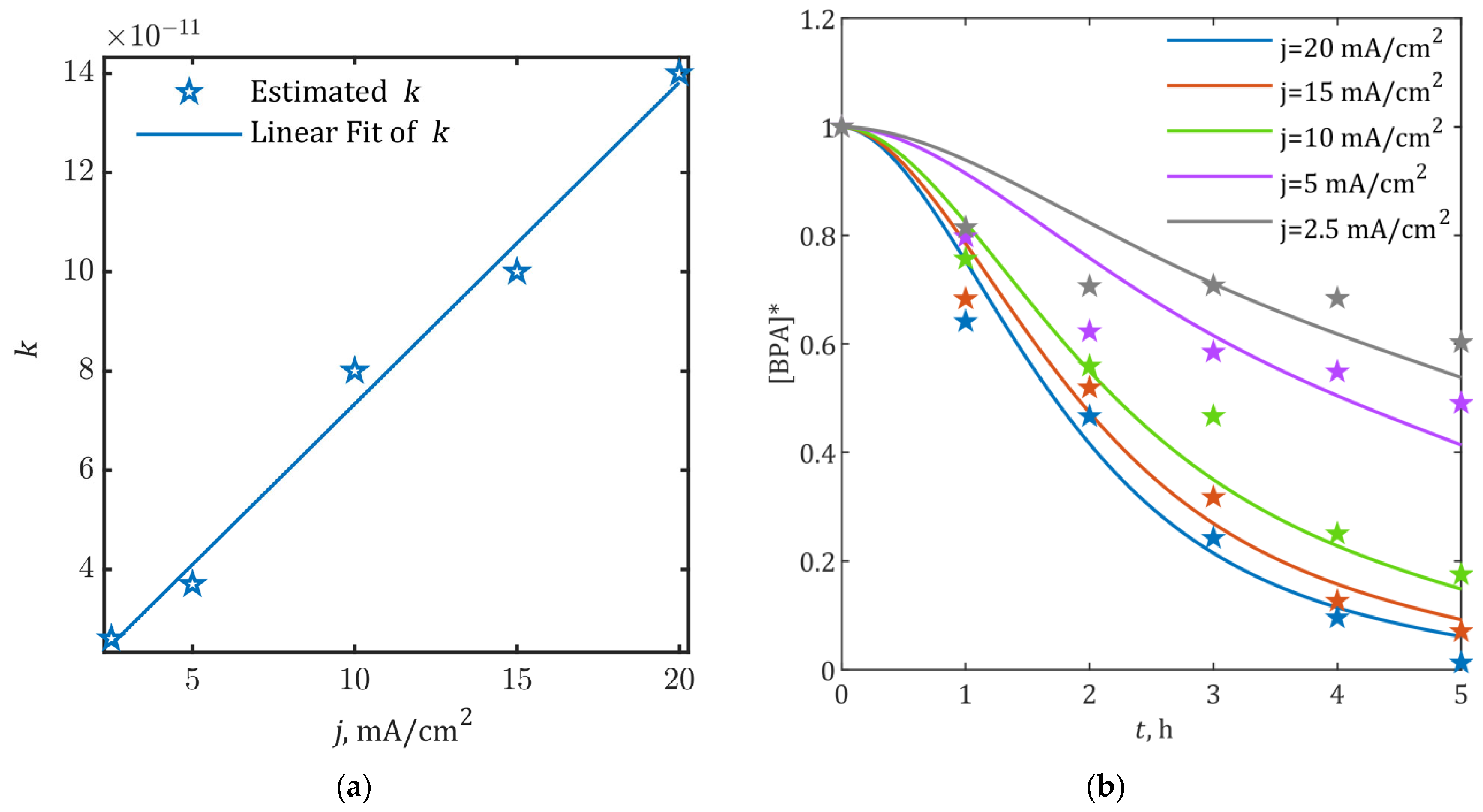
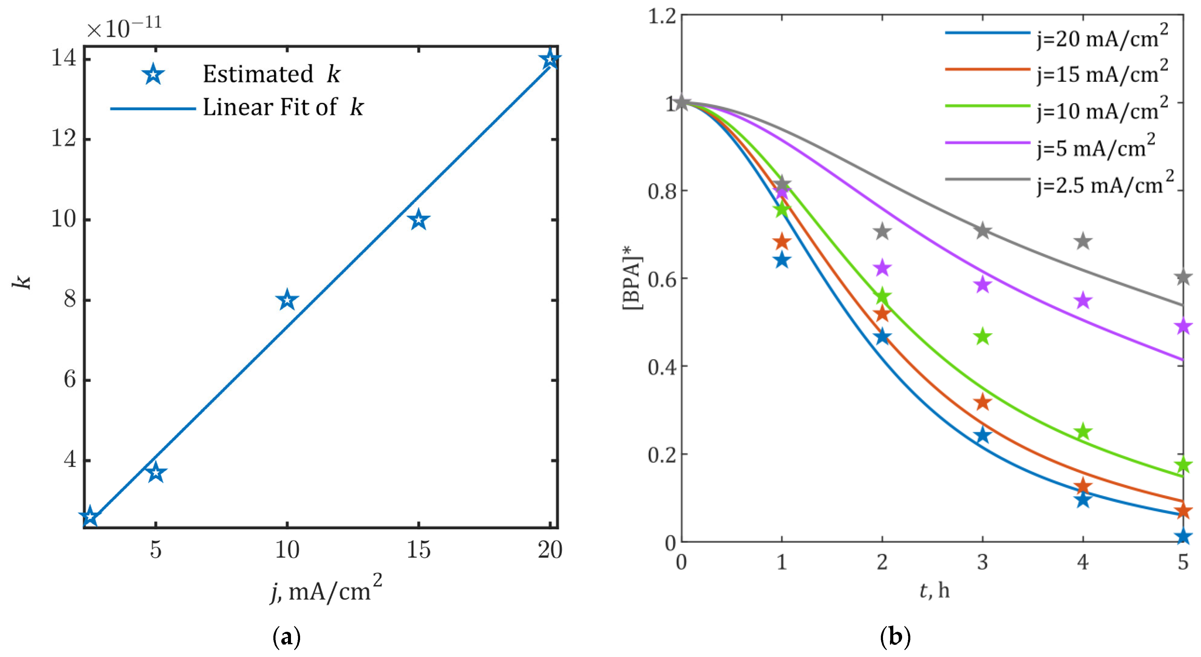
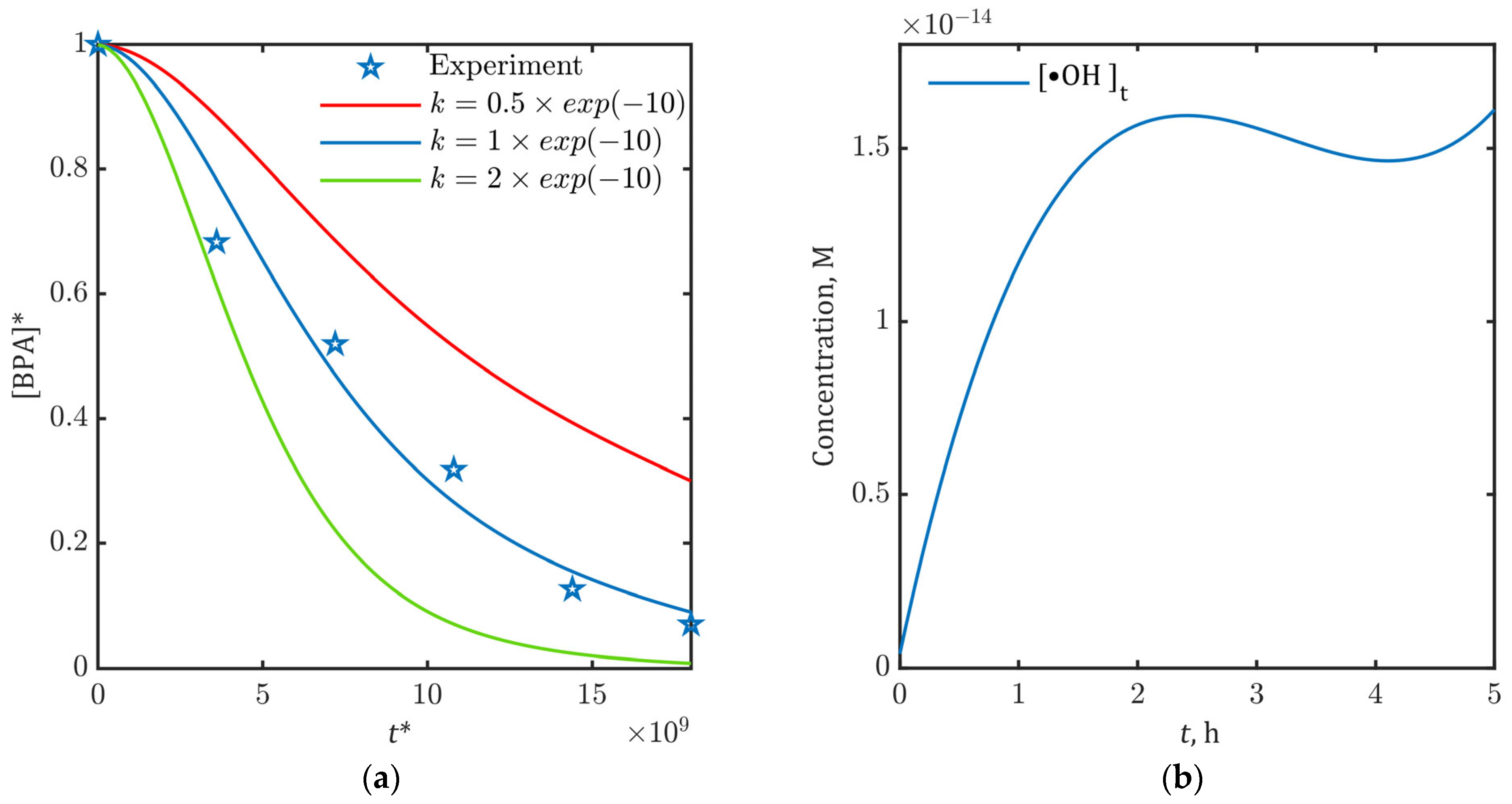
2.4. Determination of Second-Order Rate Constants via Kinetic Modelling
2.5. Generalization and Validation of the Model for Different Current Densities
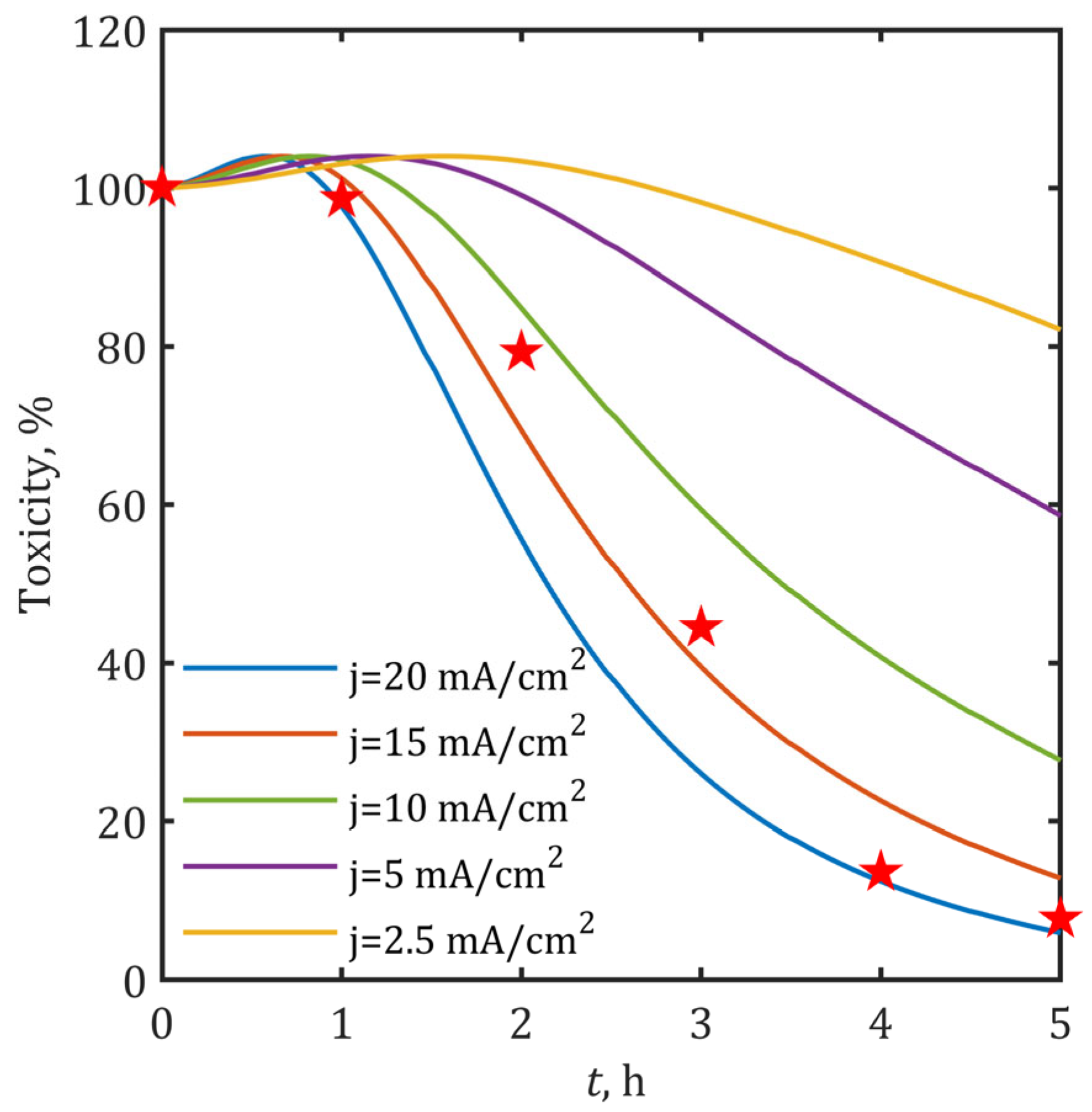
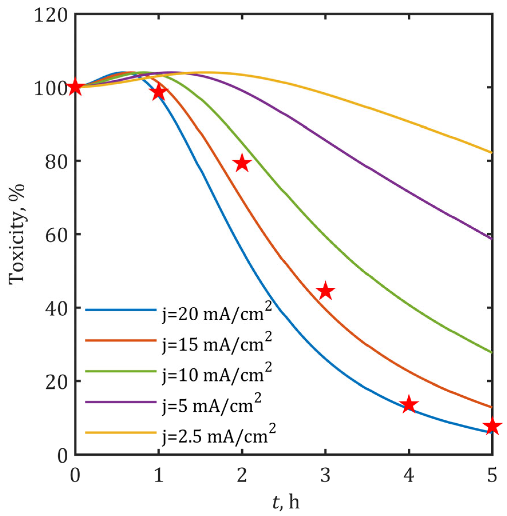
2.6. Prediction of Intermediate Concentration and Toxicity Profiles at Different Current Densities
2.7. Generalizability Assessment for •OH-Mediated Electrochemical Oxidation of Organic Pollutants
3. Discussion
4. Materials and Methods
4.1. Electrochemical Oxidation
4.2. Time-Dependent Toxicity Profiling During BPA Electrooxidation
4.3. Mathematical Modelling
Supplementary Materials
Author Contributions
Funding
Institutional Review Board Statement
Informed Consent Statement
Data Availability Statement
Acknowledgments
Conflicts of Interest
Abbreviations
| Letter designations | |
| AOPs | Advanced oxidation processes |
| BPA | Bisphenol A |
| EAOPs | Electrochemical advanced oxidation processes |
| EF | Electro-Fenton process |
| EO | Electrooxidation process |
| EPR | Electron paramagnetic resonance spectroscopy |
| HO2• | Hydroperoxyl radicals |
| •OH | Hydroxyl radical |
| Por | Lumped one-ring BPA degradation intermediates |
| Ptr | Lumped two-ring BPA degradation intermediates |
| P1 | Lumped aromatic rhodamine B degradation intermediates |
| P2 | Lumped aliphatic rhodamine B degradation intermediates |
| SnO2-MWCNT@SS | Tin oxide/multi-walled carbon nanotube composite on stainless steel substrate |
| SO4•− | Sulfate radical |
| T.E.S.T. | U.S. EPA’s toxicity estimation software tool |
| Physical Quantities | |
| [BPA]0 | Initial BPA concentration (M) |
| Zero-order polynomial coefficient for H2O2 fit (dimensionless) | |
| First-order polynomial coefficient for H2O2 fit (1/s) | |
| Second-order polynomial coefficient for H2O2 fit (1/s2) | |
| Third-order polynomial coefficient for H2O2 fit (1/s3) | |
| [i]t | Time-dependent concentration of species i = BPA, Ptr, Por, CO2, •OH, H2O2 (M) |
| [i]* | Relative concentration of species i = BPA, Ptr, Por, CO2, •OH, H2O2 (dimensionless) |
| j | Current density (mA/cm2) |
| Proportionality factor (dimensionless) | |
| Pseudo-second-order rate constant of •OH radicals with pollutants (1/(M∙s)) | |
| kB | Second-order rate constant for Ptr cleavage (1/(M∙s)) |
| kM | Second-order rate constant for Por mineralization (1/(M∙s)) |
| kS | Second-order rate constant for BPA degradation (1/(M∙s)) |
| Normalized rate constant for Ptr cleavage (dimensionless) | |
| Normalized rate constant for Por mineralization (dimensionless) | |
| Normalized rate constant for BPA degradation (dimensionless) | |
| LC50 | 96-h acute toxicity for Pimephales promelas (Fathead Minnow) (mg/L) |
| M | Molar mass (g/mol) |
| R2 | Coefficient of determination (dimensionless) |
| RMSE | Root mean square error (units match predicted variable) |
| RSS | Residual sum of squares (matches the square of the predicted variable’s units) |
| t | Time (s) |
| t* | Scaled time (dimensionless) |
| TOC | Total organic carbon content (mg/L) |
| V | System volume (L) |
| Mathematical Operators | |
| ∆ | Difference operator |
| ∑ | Summation operator |
References
- Vinayagam, V.; Palani, K.N.; Ganesh, S.; Rajesh, S.; Akula, V.V.; Avoodaiappan, R.; Kushwaha, O.S.; Pugazhendhi, A. Recent Developments on Advanced Oxidation Processes for Degradation of Pollutants from Wastewater with Focus on Antibiotics and Organic Dyes. Environ. Res. 2024, 240, 117500. [Google Scholar] [CrossRef] [PubMed]
- Brdarić, T.P.; Aćimović, D.D.; Švorc, Ľ.; Vasić Anićijević, D.D. Bibliometric Study of Electrochemical Advanced Oxidation Processes (EAOPs) for Wastewater Treatment. Coatings 2024, 14, 1060. [Google Scholar] [CrossRef]
- Hübner, U.; Spahr, S.; Lutze, H.; Wieland, A.; Rüting, S.; Gernjak, W.; Wenk, J. Advanced Oxidation Processes for Water and Wastewater Treatment—Guidance for Systematic Future Research. Heliyon 2024, 10, e30402. [Google Scholar] [CrossRef]
- Zhang, L.; Peng, W.; Wang, W.; Cao, Y.; Fan, G.; Huang, Y.; Qi, M. A Comprehensive Review of the Electrochemical Advanced Oxidation Processes: Detection of Free Radical, Electrode Materials and Application. J. Environ. Chem. Eng. 2024, 12, 113778. [Google Scholar] [CrossRef]
- Liu, G.; Tian, Y.; Zou, H.; Ren, N.; You, S. Thermodynamic and Kinetic Investigation on Electrogeneration of Hydroxyl Radicals for Water Purification. ACS EST Eng. 2023, 3, 2161–2170. [Google Scholar] [CrossRef]
- Özcan, A.; Şahin, Y.; Koparal, A.S.; Oturan, M.A. Propham Mineralization in Aqueous Medium by Anodic Oxidation Using Boron-Doped Diamond Anode: Influence of Experimental Parameters on Degradation Kinetics and Mineralization Efficiency. Water Res. 2008, 42, 2889–2898. [Google Scholar] [CrossRef]
- Cai, J.; Zhou, M.; Pan, Y.; Du, X.; Lu, X. Extremely Efficient Electrochemical Degradation of Organic Pollutants with Co-Generation of Hydroxyl and Sulfate Radicals on Blue-TiO2 Nanotubes Anode. Appl. Catal. B Environ. 2019, 257, 117902. [Google Scholar] [CrossRef]
- Kuang, C.; Zeng, G.; Zhou, Y.; Wu, Y.; Li, D.; Wang, Y.; Li, C. Integrating Anodic Sulfate Activation with Cathodic H2O2 Production/Activation to Generate the Sulfate and Hydroxyl Radicals for the Degradation of Emerging Organic Contaminants. Water Res. 2023, 229, 119464. [Google Scholar] [CrossRef]
- Xie, J.; Zhang, C.; Waite, T.D. Hydroxyl Radicals in Anodic Oxidation Systems: Generation, Identification and Quantification. Water Res. 2022, 217, 118425. [Google Scholar] [CrossRef]
- Fu, R.; Zhang, P.-S.; Jiang, Y.-X.; Sun, L.; Sun, X.-H. Wastewater Treatment by Anodic Oxidation in Electrochemical Advanced Oxidation Process: Advance in Mechanism, Direct and Indirect Oxidation Detection Methods. Chemosphere 2023, 311, 136993. [Google Scholar] [CrossRef]
- Dai, M.; Niu, Q.; Wu, S.; Lin, Y.; Biswas, J.K.; Yang, C. Hydroxyl Radicals in Ozone-Based Advanced Oxidation of Organic Contaminants: A Review. Environ. Chem. Lett. 2024, 22, 3059–3106. [Google Scholar] [CrossRef]
- Bielski, B.H.J.; Cabelli, D.E.; Arudi, R.L.; Ross, A.B. Reactivity of HO2/O−2 Radicals in Aqueous Solution. J. Phys. Chem. Ref. Data 1985, 14, 1041–1100. [Google Scholar] [CrossRef]
- Neta, P.; Huie, R.E.; Ross, A.B. Rate Constants for Reactions of Inorganic Radicals in Aqueous Solution. J. Phys. Chem. Ref. Data 1988, 17, 1027–1284. [Google Scholar] [CrossRef]
- Buxton, G.V.; Greenstock, C.L.; Helman, W.P.; Ross, A.B. Critical Review of Rate Constants for Reactions of Hydrated Electrons, Hydrogen Atoms and Hydroxyl Radicals (·OH/·O− in Aqueous Solution. J. Phys. Chem. Ref. Data 1988, 17, 513–886. [Google Scholar] [CrossRef]
- Cao, Y.; Yao, J.; Knudsen, T.Š.; Pang, W.; Zhu, J.; Liu, B.; Li, H.; Li, M.; Su, J. Radical Chemistry, Degradation Mechanism and Toxicity Evolution of BPA in the UV/Chlorine and UV/H2O2. Chemosphere 2023, 312, 137169. [Google Scholar] [CrossRef]
- Luo, Z.; Yan, Y.; Spinney, R.; Dionysiou, D.D.; Villamena, F.A.; Xiao, R.; Vione, D. Environmental Implications of Superoxide Radicals: From Natural Processes to Engineering Applications. Water Res. 2024, 261, 122023. [Google Scholar] [CrossRef]
- Alanazi, M.; Yong, J.; Wu, M.; Zhang, Z.; Tian, D.; Zhang, R. Recent Advances in Detection of Hydroxyl Radical by Responsive Fluorescence Nanoprobes. Chem.—Asian J. 2024, 19, e202400105. [Google Scholar] [CrossRef]
- Braxton, E.; Fox, D.J.; Breeze, B.G.; Tully, J.J.; Levey, K.J.; Newton, M.E.; Macpherson, J.V. Electron Paramagnetic Resonance for the Detection of Electrochemically Generated Hydroxyl Radicals: Issues Associated with Electrochemical Oxidation of the Spin Trap. ACS Meas. Sci. Au 2022, 3, 21–31. [Google Scholar] [CrossRef]
- Barroso-Martínez, J.S.; Romo, A.I.B.; Pudar, S.; Putnam, S.T.; Bustos, E.; Rodríguez-López, J. Real-Time Detection of Hydroxyl Radical Generated at Operating Electrodes via Redox-Active Adduct Formation Using Scanning Electrochemical Microscopy. J. Am. Chem. Soc. 2022, 144, 18896–18907. [Google Scholar] [CrossRef]
- Roberts, J.G.; Voinov, M.A.; Schmidt, A.C.; Smirnova, T.I.; Sombers, L.A. The Hydroxyl Radical Is a Critical Intermediate in the Voltammetric Detection of Hydrogen Peroxide. J. Am. Chem. Soc. 2016, 138, 2516–2519. [Google Scholar] [CrossRef]
- Hu, Y.-L.; Lu, Y.; Zhou, G.-J.; Xia, X.-H. A Simple Electrochemical Method for the Determination of Hydroxyl Free Radicals without Separation Process. Talanta 2008, 74, 760–765. [Google Scholar] [CrossRef] [PubMed]
- Minakata, D. Development of an Elementary Reaction-Based Kinetic Model to Predict the Aqueous-Phase Fate of Organic Compounds Induced by Reactive Free Radicals. Acc. Chem. Res. 2024, 57, 1658–1669. [Google Scholar] [CrossRef]
- Fu, J.; Li, H.; Jiang, G.; Feng, D.; Yi, J.; Liu, Y.; Gong, R.; Guo, J.; Liu, P.; Cui, K. Enhanced Removal of Tetracycline Hydrochloride by Activation of Persulfate with Sludge-Red Mud Magnetic Biochar: Synergistic Effect between Adsorption and Radical-Nonradical Pathways. Inorg. Chem. Commun. 2024, 170, 113451. [Google Scholar] [CrossRef]
- Ziola, A.C.; Ziemann, P.J. Effects of a Carboxyl Group on the Products, Mechanism, and Kinetics of the OH Radical-Initiated Oxidation of 3-Butenoic Acid Under Low NOx Conditions. J. Phys. Chem. A 2025, 129, 1688–1703. [Google Scholar] [CrossRef] [PubMed]
- Mandel, P.; Roche, P.; Wolbert, D. Large-Scale Experimental Validation of a Model for the Kinetics of Ozone and Hydroxyl Radicals with Natural Organic Matter. Ozone Sci. Eng. 2014, 36, 73–85. [Google Scholar] [CrossRef]
- Zhang, Y.; Guo, L.; Hoffmann, M.R. Ozone- and Hydroxyl Radical-Mediated Oxidation of Pharmaceutical Compounds Using Ni-Doped Sb–SnO2 Anodes: Degradation Kinetics and Transformation Products. ACS Est Eng. 2023, 3, 335–348. [Google Scholar] [CrossRef]
- Liu, H.; Li, X.Z.; Leng, Y.J.; Wang, C. Kinetic Modeling of Electro-Fenton Reaction in Aqueous Solution. Water Res. 2007, 41, 1161–1167. [Google Scholar] [CrossRef]
- Groenen-Serrano, K.; Weiss-Hortala, E.; Savall, A.; Spiteri, P. Role of Hydroxyl Radicals During the Competitive Electrooxidation of Organic Compounds on a Boron-Doped Diamond Anode. Electrocatalysis 2013, 4, 346–352. [Google Scholar] [CrossRef]
- Turchi, C.S.; Ollis, D.F. Photocatalytic Degradation of Organic Water Contaminants: Mechanisms Involving Hydroxyl Radical Attack. J. Catal. 1990, 122, 178–192. [Google Scholar] [CrossRef]
- Yazdani, E.B.; Mehrizad, A. Sonochemical Preparation and Photocatalytic Application of Ag-ZnS-MWCNTs Composite for the Degradation of Rhodamine B under Visible Light: Experimental Design and Kinetics Modeling. J. Mol. Liq. 2018, 255, 102–112. [Google Scholar] [CrossRef]
- Wols, B.A.; Harmsen, D.J.H.; Wanders-Dijk, J.; Beerendonk, E.F.; Hofman-Caris, C.H.M. Degradation of Pharmaceuticals in UV (LP)/H2O2 Reactors Simulated by Means of Kinetic Modeling and Computational Fluid Dynamics (CFD). Water Res. 2015, 75, 11–24. [Google Scholar] [CrossRef]
- Luo, S.; Gao, L.; Wei, Z.; Spinney, R.; Dionysiou, D.D.; Hu, W.-P.; Chai, L.; Xiao, R. Kinetic and Mechanistic Aspects of Hydroxyl Radical–mediated Degradation of Naproxen and Reaction Intermediates. Water Res. 2018, 137, 233–241. [Google Scholar] [CrossRef]
- Takahashi, Y.; Kobayashi, M.; Kawase, Y. Photocatalytic Degradation Process of Antibiotic Sulfamethoxazole by ZnO in Aquatic Systems: A Dynamic Kinetic Model Based on Contributions of OH Radical, Oxygenated Radical Intermediates and Dissolved Oxygen. J. Environ. Sci. Health Part A 2024, 59, 113–124. [Google Scholar] [CrossRef] [PubMed]
- Ateia, M.; Alalm, M.G.; Awfa, D.; Johnson, M.S.; Yoshimura, C. Modeling the Degradation and Disinfection of Water Pollutants by Photocatalysts and Composites: A Critical Review. Sci. Total Environ. 2020, 698, 134197. [Google Scholar] [CrossRef] [PubMed]
- Nakagawa, H.; Takagi, S.; Maekawa, J. Fered-Fenton Process for the Degradation of 1,4-Dioxane with an Activated Carbon Electrode: A Kinetic Model Including Active Radicals. Chem. Eng. J. 2016, 296, 398–405. [Google Scholar] [CrossRef]
- Sun, M.; Liu, H.-H.; Zhang, Y.; Zhai, L.-F. Degradation of Bisphenol A by Electrocatalytic Wet Air Oxidation Process: Kinetic Modeling, Degradation Pathway and Performance Assessment. Chem. Eng. J. 2020, 387, 124124. [Google Scholar] [CrossRef]
- Ferreiro, C.; Sanz, J.; Villota, N.; de Luis, A.; Lombraña, J.I. Kinetic Modelling for Concentration and Toxicity Changes during the Oxidation of 4-Chlorophenol by UV/H2O2. Sci. Rep. 2021, 11, 15726. [Google Scholar] [CrossRef]
- Koli, M.; Kanwar, B.; Singh, S.P. Impact of Operating Parameters on the Electrooxidation of Methylene Blue and Ciprofloxacin: A Comprehensive Analysis and Degradation Pathway. Environ. Sci. Pollut. Res. 2025, 32, 4656–4669. [Google Scholar] [CrossRef]
- Song, Z.; Wu, X.; Gao, T.; Yao, F.; Tang, X.; Mahmood, Q.; Tang, C.-J. Performance Enhancement Strategies for Electrooxidation Degradation of Landfill Leachate: A Review. Chin. Chem. Lett. 2025, 111008. [Google Scholar] [CrossRef]
- Pignatello, J.J.; Oliveros, E.; MacKay, A. Advanced Oxidation Processes for Organic Contaminant Destruction Based on the Fenton Reaction and Related Chemistry. Crit. Rev. Environ. Sci. Technol. 2006, 36, 1–84. [Google Scholar] [CrossRef]
- Balseviciute, A.; Patiño-Cantero, I.; Carrillo-Abad, J.; Giner-Sanz, J.J.; García-Gabaldón, M.; Pérez-Herranz, V.; Martí-Calatayud, M.C. Degradation of Multicomponent Pharmaceutical Mixtures by Electrochemical Oxidation: Insights about the Process Evolution at Varying Applied Currents and Concentrations of Organics and Supporting Electrolyte. Sep. Purif. Technol. 2025, 362, 131697. [Google Scholar] [CrossRef]
- PubChem. Bisphenol A. Available online: https://pubchem.ncbi.nlm.nih.gov/compound/6623 (accessed on 19 June 2024).
- Li, L.; Zhang, H.; Liu, Z.; Su, Y.; Du, C. Adsorbent Biochar Derived from Corn Stalk Core for Highly Efficient Removal of Bisphenol A. Environ. Sci. Pollut. Res. 2023, 30, 74916–74927. [Google Scholar] [CrossRef] [PubMed]
- Sun, J.; Tong, L.; Shen, S.; Chen, Z.; Zhang, Z.; Gong, B.; Cui, L.; He, Y.; Huang, Z. Electrochemical Oxidation of Bisphenol A with a Fe-N-C/Persulfate Three-Dimensional Electrochemical System. J. Environ. Chem. Eng. 2024, 12, 114245. [Google Scholar] [CrossRef]
- Zhang, Q.; Wu, C.-Z.; Huang, Z.; Liu, Y.; Hong, J. Electrochemical Treatment of Bisphenol a Facilitated by a Dual-Ligand Copper Metal-Organic Framework/Graphene Oxide Hybrid Catalyst. J. Environ. Chem. Eng. 2025, 13, 116243. [Google Scholar] [CrossRef]
- Sharma, J.; Mishra, I.M.; Kumar, V. Mechanistic Study of Photo-Oxidation of Bisphenol-A (BPA) with Hydrogen Peroxide (H2O2) and Sodium Persulfate (SPS). J. Environ. Manag. 2016, 166, 12–22. [Google Scholar] [CrossRef]
- Kaplan, R.; Erjavec, B.; Senila, M.; Pintar, A. Catalytic Wet Air Oxidation of Bisphenol A Solution in a Batch-Recycle Trickle-Bed Reactor over Titanate Nanotube-Based Catalysts. Environ. Sci. Pollut. Res. 2014, 21, 11313–11319. [Google Scholar] [CrossRef]
- Ječmenica Dučić, M.; Aćimović, D.; Savić, B.; Rakočević, L.; Simić, M.; Brdarić, T.; Vasić Anićijević, D. Is It Possible to Restrain OER on Simple Carbon Electrodes to Efficiently Electrooxidize Organic Pollutants? Molecules 2022, 27, 5203. [Google Scholar] [CrossRef]
- Simić, M.D.; Savić, B.G.; Ognjanović, M.R.; Stanković, D.M.; Relić, D.J.; Aćimović, D.D.; Brdarić, T.P. Degradation of Bisphenol A on SnO2-MWCNT Electrode Using Electrochemical Oxidation. J. Water Process Eng. 2023, 51, 103416. [Google Scholar] [CrossRef]
- Cui, Y.; Li, X.; Chen, G. Electrochemical Degradation of Bisphenol A on Different Anodes. Water Res. 2009, 43, 1968–1976. [Google Scholar] [CrossRef]
- Wu, W.; Huang, Z.-H.; Lim, T.-T. A Comparative Study on Electrochemical Oxidation of Bisphenol A by Boron-Doped Diamond Anode and Modified SnO2-Sb Anodes: Influencing Parameters and Reaction Pathways. J. Environ. Chem. Eng. 2016, 4, 2807–2815. [Google Scholar] [CrossRef]
- Han, Q.; Wang, M.; Sun, F.; Yu, B.; Dong, Z.; Li, P.; Luo, J.; Li, M.; Jin, X.; Dai, Z. Effectiveness and Degradation Pathways of Bisphenol A (BPA) Initiated by Hydroxyl Radicals and Sulfate Radicals in Water: Initial Reaction Sites Based on DFT Prediction. Environ. Res. 2023, 216, 114601. [Google Scholar] [CrossRef] [PubMed]
- Ding, J.; Bu, L.; Zhao, Q.; Kabutey, F.T.; Wei, L.; Dionysiou, D.D. Electrochemical Activation of Persulfate on BDD and DSA Anodes: Electrolyte Influence, Kinetics and Mechanisms in the Degradation of Bisphenol A. J. Hazard. Mater. 2020, 388, 121789. [Google Scholar] [CrossRef]
- Kundu, S.; Das, B.K.; Wodeyar, A.; Majumder, P.; Jana, S.; Biswas, A.; Das, S.; Besra, R. Clearing the Path: Unraveling Bisphenol a Removal and Degradation Mechanisms for a Cleaner Future. J. Environ. Manag. 2025, 373, 123558. [Google Scholar] [CrossRef] [PubMed]
- Darsinou, B.; Frontistis, Z.; Antonopoulou, M.; Konstantinou, I.; Mantzavinos, D. Sono-Activated Persulfate Oxidation of Bisphenol A: Kinetics, Pathways and the Controversial Role of Temperature. Chem. Eng. J. 2015, 280, 623–633. [Google Scholar] [CrossRef]
- PubChem. PubChem. Available online: https://pubchem.ncbi.nlm.nih.gov/ (accessed on 28 March 2025).
- Simić, M.D.; Brdarić, T.P.; Savić Rosić, B.G.; Švorc, Ľ.; Relić, D.J.; Aćimović, D.D. Degradation of Bisphenol A via the Electro–Fenton Process Using Nanostructured Carbon-Metal Oxide Anodes: Intermediates and Reaction Mechanisms Study. J. Environ. Chem. Eng. 2024, 12, 113369. [Google Scholar] [CrossRef]
- Poerschmann, J.; Trommler, U.; Górecki, T. Aromatic Intermediate Formation during Oxidative Degradation of Bisphenol A by Homogeneous Sub-Stoichiometric Fenton Reaction. Chemosphere 2010, 79, 975–986. [Google Scholar] [CrossRef]
- Kusvuran, E.; Yildirim, D. Degradation of Bisphenol A by Ozonation and Determination of Degradation Intermediates by Gas Chromatography–Mass Spectrometry and Liquid Chromatography–Mass Spectrometry. Chem. Eng. J. 2013, 220, 6–14. [Google Scholar] [CrossRef]
- Lu, N.; Lu, Y.; Liu, F.; Zhao, K.; Yuan, X.; Zhao, Y.; Li, Y.; Qin, H.; Zhu, J. H3PW12O40/TiO2 Catalyst-Induced Photodegradation of Bisphenol A (BPA): Kinetics, Toxicity and Degradation Pathways. Chemosphere 2013, 91, 1266–1272. [Google Scholar] [CrossRef]
- Gözmen, B.; Oturan, M.A.; Oturan, N.; Erbatur, O. Indirect Electrochemical Treatment of Bisphenol A in Water via Electrochemically Generated Fenton’s Reagent. Environ. Sci. Technol. 2003, 37, 3716–3723. [Google Scholar] [CrossRef]
- Mandal, S. Reaction Rate Constants of Hydroxyl Radicals with Micropollutants and Their Significance in Advanced Oxidation Processes. J. Adv. Oxid. Technol. 2018, 21, 20170075. [Google Scholar] [CrossRef]
- Lin, Z.; Qin, W.; Sun, L.; Yuan, X.; Xia, D. Kinetics and Mechanism of Sulfate Radical- and Hydroxyl Radical-Induced Degradation of Bisphenol A in VUV/UV/Peroxymonosulfate System. J. Water Process Eng. 2020, 38, 101636. [Google Scholar] [CrossRef]
- Kondrakov, A.O.; Ignatev, A.N.; Frimmel, F.H.; Bräse, S.; Horn, H.; Revelsky, A.I. Formation of Genotoxic Quinones during Bisphenol A Degradation by TiO2 Photocatalysis and UV Photolysis: A Comparative Study. Appl. Catal. B Environ. 2014, 160–161, 106–114. [Google Scholar] [CrossRef]
- Xiao, R.; Gao, L.; Wei, Z.; Spinney, R.; Luo, S.; Wang, D.; Dionysiou, D.D.; Tang, C.; Yang, W. Mechanistic Insight into Degradation of Endocrine Disrupting Chemical by Hydroxyl Radical: An Experimental and Theoretical Approach. Environ. Pollut. 2017, 231, 1446–1452. [Google Scholar] [CrossRef]
- Gao, J.; Duan, X.; O’Shea, K.; Dionysiou, D.D. Degradation and Transformation of Bisphenol A in UV/Sodium Percarbonate: Dual Role of Carbonate Radical Anion. Water Res. 2020, 171, 115394. [Google Scholar] [CrossRef]
- Xie, Z.-H.; He, C.-S.; Zhou, H.-Y.; Li, L.-L.; Liu, Y.; Du, Y.; Liu, W.; Mu, Y.; Lai, B. Effects of Molecular Structure on Organic Contaminants’ Degradation Efficiency and Dominant ROS in the Advanced Oxidation Process with Multiple ROS. Environ. Sci. Technol. 2022, 56, 8784–8795. [Google Scholar] [CrossRef] [PubMed]
- Dai, Q.; Jiang, L.; Luo, X. Electrochemical Oxidation of Rhodamine B: Optimization and Degradation Mechanism. Int. J. Electrochem. Sci. 2017, 12, 4265–4276. [Google Scholar] [CrossRef]
- Zhang, Y.; Luo, G.; Wang, Q.; Zhang, Y.; Zhou, M. Kinetic Study of the Degradation of Rhodamine B Using a Flow-through UV/Electro-Fenton Process with the Presence of Ethylenediaminetetraacetic Acid. Chemosphere 2020, 240, 124929. [Google Scholar] [CrossRef]
- Ferguson, M.W.; Beaumont, P.C.; Jones, S.E.; Navaratnam, S.; Parsons, B.J. Excited State and Free Radical Properties of Rhodamine 123: A Laser Flash Photolysis and Radiolysis Study. Phys. Chem. Chem. Phys. 1999, 1, 261–268. [Google Scholar] [CrossRef]
- Navaratnam, S.; Parsons, B.J. Kinetic and Spectral Properties of Rhodamine 6G Free Radicals: A Pulse Radiolysis Study. J. Photochem. Photobiol. Chem. 2002, 153, 153–162. [Google Scholar] [CrossRef]
- Amphlett, C.B.; Adams, G.E.; Michael, B.D. Pulse Radiolysis Studies of Deaerated Aqueous Salicylate Solutions. In Radiation Chemistry; Advances in Chemistry; American Chemical Society: Washington, DC, USA, 1968; Volume 81, pp. 231–250. ISBN 978-0-8412-0082-1. [Google Scholar]
- Guinea, E.; Arias, C.; Cabot, P.L.; Garrido, J.A.; Rodríguez, R.M.; Centellas, F.; Brillas, E. Mineralization of Salicylic Acid in Acidic Aqueous Medium by Electrochemical Advanced Oxidation Processes Using Platinum and Boron-Doped Diamond as Anode and Cathodically Generated Hydrogen Peroxide. Water Res. 2008, 42, 499–511. [Google Scholar] [CrossRef]
- Li, Q.; Zhang, Q.; Cui, H.; Ding, L.; Wei, Z.; Zhai, J. Fabrication of Cerium-Doped Lead Dioxide Anode with Improved Electrocatalytic Activity and Its Application for Removal of Rhodamine B. Chem. Eng. J. 2013, 228, 806–814. [Google Scholar] [CrossRef]
- Benvenuti, T.; Gabriel, A.P.; Heberle, A.N.A.; Lucena, M.P.P.; Petter, P.M.H.; Meneguzzi, Á.; Bernardes, A.M. Evaluation of direct photolysis, electrooxidation and photoelectrooxidation for Rhodamine-B degradation. Braz. J. Chem. Eng. 2018, 35, 957–968. [Google Scholar] [CrossRef]
- Sellers, R.M. Spectrophotometric Determination of Hydrogen Peroxide Using Potassium Titanium(IV) Oxalate. Analyst 1980, 105, 950–954. [Google Scholar] [CrossRef]
- Little, J.; Moler, C. MATLAB; MathWorks: Natick, MA, USA, 2023. [Google Scholar]
- Solve Nonlinear Curve-Fitting (Data-Fitting) Problems in Least-Squares Sense—MATLAB Lsqcurvefit. Available online: https://www.mathworks.com/help/optim/ug/lsqcurvefit.html?s_tid=srchtitle_site_search_1_lscurvefit (accessed on 31 March 2024).
- Coleman, T.F.; Li, Y. On the Convergence of Interior-Reflective Newton Methods for Nonlinear Minimization Subject to Bounds. Math. Program. 1994, 67, 189–224. [Google Scholar] [CrossRef]
- Coleman, T.F.; Li, Y. An Interior Trust Region Approach for Nonlinear Minimization Subject to Bounds. SIAM J. Optim. 1996, 6, 418–445. [Google Scholar] [CrossRef]
- Solve Nonstiff Differential Equations—Medium Order Method—MATLAB Ode45. Available online: https://www.mathworks.com/help/matlab/ref/ode45.html (accessed on 1 April 2024).
- Dormand, J.R.; Prince, P.J. A Family of Embedded Runge-Kutta Formulae. J. Comput. Appl. Math. 1980, 6, 19–26. [Google Scholar] [CrossRef]
- Shampine, L.F.; Reichelt, M.W. The MATLAB ODE Suite. SIAM J. Sci. Comput. 1997, 18, 1–22. [Google Scholar] [CrossRef]








| Compound Name | Structural Formula [56] | Retention Time (min) | Molar Mass (g/mol) | 96-h LC50 Fathead Minnow (mg/L) |
|---|---|---|---|---|
| Bisphenol A C15H16O2 | ![]() | 23.15 | 228.29 | 3.24 |
| Product A 2-(3,4-dihydroxyphenyl)-2-(4-hydroxyphenyl)acetaldehyde C14H12O4 | ![]() | 24.33 | 244.24 | 1.83 |
| Product B 2-(2-4-dihydroxyphenyl)-2-(4-hydroxyphenyl)acetaldehyde C14H12O4 | ![]() | 24.05 | 244.24 | 2.26 |
| 4-hydroxybenzoic acid C7H6O3 | ![]() | 16.5 | 138.12 | 92.62 |
| Hydroquinone C6H6O2 | ![]() | 13.45 | 110.11 | 43.29 |
| 4-isopropenylphenol C9H16O | ![]() | 12.9 | 140.22 | 7.67 |
| Benzoic Acid C7H6O2 | ![]() | 11.1 | 122.12 | 101.5 |
| j, mA/cm2 | R2 | RMSE, 1 | RSS, 1 |
|---|---|---|---|
| 20 | 0.9623 | 0.0659 | 0.0260 |
| 15 | 0.9712 | 0.0549 | 0.0181 |
| 10 | 0.9700 | 0.0491 | 0.0144 |
| 5 | 0.7536 | 0.0863 | 0.0447 |
| 2.5 | 0.6157 | 0.0786 | 0.0371 |
Disclaimer/Publisher’s Note: The statements, opinions and data contained in all publications are solely those of the individual author(s) and contributor(s) and not of MDPI and/or the editor(s). MDPI and/or the editor(s) disclaim responsibility for any injury to people or property resulting from any ideas, methods, instructions or products referred to in the content. |
© 2025 by the authors. Licensee MDPI, Basel, Switzerland. This article is an open access article distributed under the terms and conditions of the Creative Commons Attribution (CC BY) license (https://creativecommons.org/licenses/by/4.0/).
Share and Cite
Ječmenica Dučić, M.; Vasić Anićijević, D.; Aćimović, D.; Švorc, Ľ.; Bugarski, B.; Pešić, R.; Brdarić, T. Predicting the Fate of Bisphenol A During Electrochemical Oxidation: A Simple Semiempirical Method Based on the Concentration Profile of Hydroxyl Radicals. Int. J. Mol. Sci. 2025, 26, 4785. https://doi.org/10.3390/ijms26104785
Ječmenica Dučić M, Vasić Anićijević D, Aćimović D, Švorc Ľ, Bugarski B, Pešić R, Brdarić T. Predicting the Fate of Bisphenol A During Electrochemical Oxidation: A Simple Semiempirical Method Based on the Concentration Profile of Hydroxyl Radicals. International Journal of Molecular Sciences. 2025; 26(10):4785. https://doi.org/10.3390/ijms26104785
Chicago/Turabian StyleJečmenica Dučić, Marija, Dragana Vasić Anićijević, Danka Aćimović, Ľubomír Švorc, Branko Bugarski, Radojica Pešić, and Tanja Brdarić. 2025. "Predicting the Fate of Bisphenol A During Electrochemical Oxidation: A Simple Semiempirical Method Based on the Concentration Profile of Hydroxyl Radicals" International Journal of Molecular Sciences 26, no. 10: 4785. https://doi.org/10.3390/ijms26104785
APA StyleJečmenica Dučić, M., Vasić Anićijević, D., Aćimović, D., Švorc, Ľ., Bugarski, B., Pešić, R., & Brdarić, T. (2025). Predicting the Fate of Bisphenol A During Electrochemical Oxidation: A Simple Semiempirical Method Based on the Concentration Profile of Hydroxyl Radicals. International Journal of Molecular Sciences, 26(10), 4785. https://doi.org/10.3390/ijms26104785








