Mitigation Effect of Exogenous Nano-Silicon on Salt Stress Damage of Rice Seedlings
Abstract
1. Introduction
2. Results
2.1. Effects of Nano-Silicon on the Above-Ground Morphological Parameters of Rice Seedlings Under NaCl Stress
2.2. Effects of Nano-Silicon on the Root Parameters of Rice Seedlings Under NaCl Stress
2.3. Effects of Nano-Silica on RWC of Leaves, R/S, and Seedling Index of Rice Seedlings Under NaCl Stress
2.4. Effects of Nano-Silicon on the Photosynthetic System of Rice Seedlings Under NaCl Stress
2.5. Effects of Nano-Silicon on Membrane Damage Indices and Reactive Oxygen Species Accumulation in Rice Seedlings Under NaCl Stress
2.6. Effects of Nano-Silicon on Antioxidant Enzymes in Rice Seedlings Under NaCl Stress
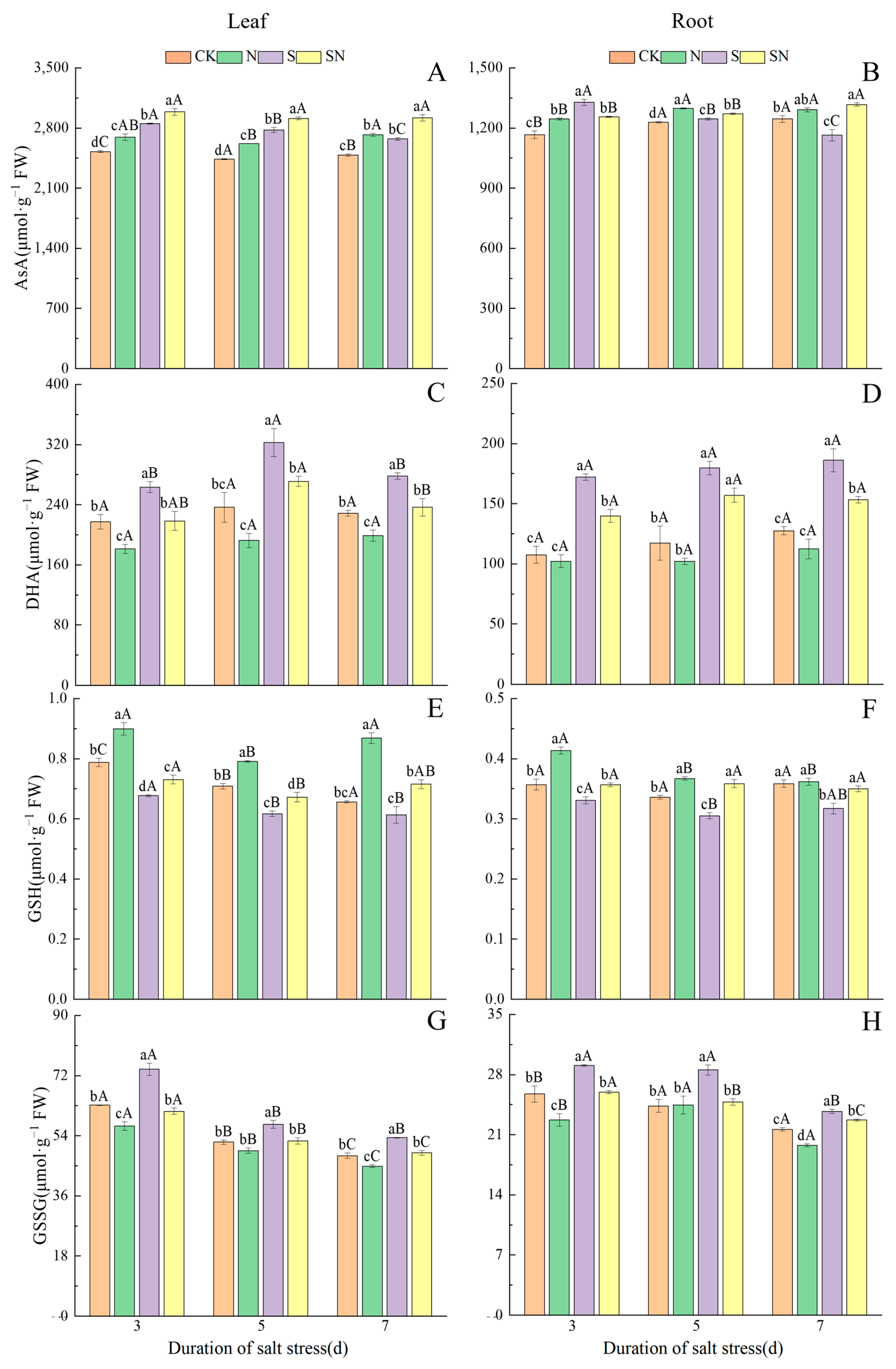
2.7. Effect of Nano-Silicon on Ascorbate-Glutathione Cycle in Rice Seedlings Under NaCl Stress
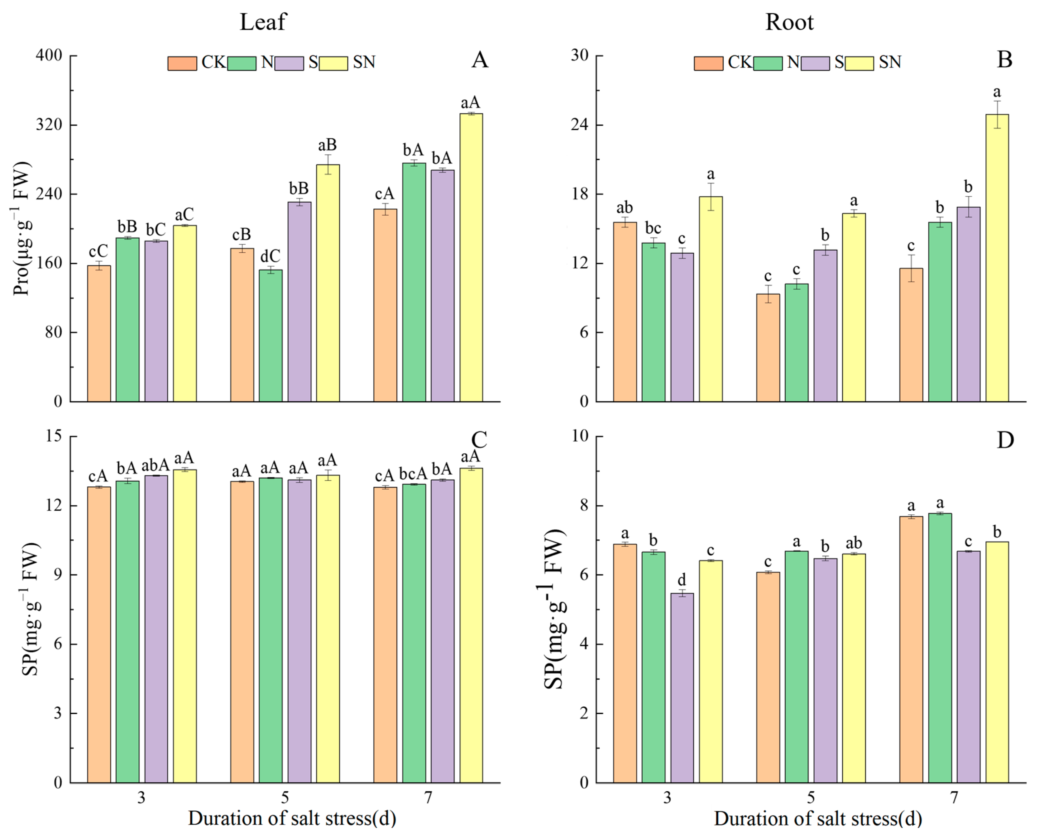
2.8. Effects of Nano-Silicon on the Pro and SP Contents in Rice Seedlings Under NaCl Stress
2.9. Effects of Nano-Silicon on Growth Hormone Content of Rice Seedlings Under NaCl Stress
2.10. Effect of Nano-Silicon on Ion Content of Rice Seedlings Under NaCl Stress
2.11. Changes in Stomata and Chloroplast Ultrastructure of Rice Seedling Leaves
2.12. Two-Factor Analysis and Correlation Analysis
3. Discussion
3.1. Effect of Nano-Silicon on Morphological Growth Parameters of Rice Seedlings Under NaCl Stress
3.2. Effect of Nano-Silicon on Antioxidant System and Reactive Oxygen Species Accumulation in Rice Seedlings Under NaCl Stress
3.3. Effect of Nano-Silicon on the Accumulation of Osmoregulatory Substances in Rice Seedlings Under NaCl Stress
3.4. Effect of Nano-Silicon on Endogenous Hormones in Rice Seedlings Under NaCl Stress
3.5. Foliar Application of Nano-Silicon Modulates Ionic Homeostasis in Rice Seedlings
4. Materials and Methods
4.1. Plant Material and Growth Conditions
4.2. Characterization of Nano-Silica Materials
4.3. Experimental Design
4.4. Determination of Indices and Methods
4.4.1. Morphological Indicators
4.4.2. Determination of Root Oxidative Activity
4.4.3. Determination of Photosynthetic Pigment Content and Photosynthetic Gas Exchange Parameters
4.4.4. Determination of Reactive Oxygen Species and Membrane Damage Indices
4.4.5. Determination of Antioxidant System
4.4.6. Determination of Osmotic Adjustment Substances
4.4.7. Determination of Endogenous Hormone Contents
4.4.8. Ion Content Determination
4.4.9. Observation of Rice Leaf Cell and Chloroplast Ultrastructure by Scanning Electron Microscopy and Transmission Electron Microscopy
4.5. Statistical Analyses
5. Conclusions
Supplementary Materials
Author Contributions
Funding
Institutional Review Board Statement
Informed Consent Statement
Data Availability Statement
Acknowledgments
Conflicts of Interest
References
- He, L.; Luo, Y. Effects of long-term sand mixing ameliorating measures on soil salinity characteristics of saline-alkali land in northern Shaanxi. IOP Conf. Ser. Earth Environ. Sci. 2021, 781, 22084–22089. [Google Scholar] [CrossRef]
- Qin, H.; Li, Y.; Huang, R. Advances and challenges in the breeding of salt-tolerant rice. Int. J. Mol. Sci. 2020, 21, 8385. [Google Scholar] [CrossRef] [PubMed]
- Li, Q.; Zhu, P.; Yu, X.; Xu, J.; Liu, G. Physiological and molecular mechanisms of rice tolerance to salt and drought stress: Advances and future directions. Int. J. Mol. Sci. 2024, 25, 9404. [Google Scholar] [CrossRef]
- Hussain, S.; Zhang, J.-H.; Zhong, C.; Zhu, L.-F.; Cao, X.-C.; Yu, S.-M.; Bohr, J.A.; Hu, J.-J.; Jin, Q.-Y. Effects of salt stress on rice growth, development characteristics, and the regulating ways: A review. J. Integr. Agric. 2017, 16, 2357–2374. [Google Scholar] [CrossRef]
- Wang, L.; Ning, C.; Pan, T.; Cai, K. Role of silica nanoparticles in abiotic and biotic stress tolerance in plants: A review. Int. J. Mol. Sci. 2022, 23, 1947. [Google Scholar] [CrossRef] [PubMed]
- Liu, L.; Wang, B. Protection of halophytes and their uses for cultivation of saline-alkali soil in China. Biology 2021, 10, 353. [Google Scholar] [CrossRef] [PubMed]
- Hasanuzzaman, M.; Raihan, M.R.H.; Masud, A.A.C.; Rahman, K.; Nowroz, F.; Rahman, M.; Nahar, K.; Fujita, M. Regulation of reactive oxygen species and antioxidant defense in plants under salinity. Int. J. Mol. Sci. 2021, 22, 9326. [Google Scholar] [CrossRef]
- Chung, Y.S.; Kim, K.S.; Hamayun, M.; Kim, Y. Silicon confers soybean resistance to salinity stress through regulation of reactive oxygen and reactive nitrogen species. Front. Plant Sci. 2019, 10, 1725–1732. [Google Scholar] [CrossRef]
- Aslam, M.M.; Raja, S.; Saeed, S.; Farhat, F.; Tariq, A.; Rai, H.M.; Javaid, A.; Shahzadi, I.; Asim, M.; Zulfiqar, S.; et al. Revisiting the crucial role of reactive oxygen species and antioxidant defense in plant under abiotic stress. Antioxidants 2022, 9, 681–690. [Google Scholar]
- Rahman, M.; Ghosh, P.K.; Akter, M.; Al Noor, M.; Rahman, A.; Keya, S.S.; Roni, S.; Biswas, A.; Bulle, M. Green vanguards: Harnessing the power of plant antioxidants, signal catalysts, and genetic engineering to combat reactive oxygen species under multiple abiotic stresses. Plant Stress 2024, 13, 100547–100554. [Google Scholar] [CrossRef]
- Hasanuzzaman, M.; Bhuyan, M.H.M.B.; Anee, T.I.; Parvin, K.; Nahar, K.; Mahmud, J.A.; Fujita, M. Regulation of ascorbate-glutathione pathway in mitigating oxidative damage in plants under abiotic stress. Antioxidants 2019, 8, 384. [Google Scholar] [CrossRef] [PubMed]
- Zahra, N.; Al Hinai, M.S.; Hafeez, M.B.; Rehman, A.; Wahid, A.; Siddique, K.H.; Farooq, M. Regulation of photosynthesis under salt stress and associated tolerance mechanisms. Plant Physiol. 2022, 178, 55–69. [Google Scholar] [CrossRef]
- Lutts, S.; Kinet, J.M.; Bouharmont, J. Changes in plant response to NaCl during development of rice (Oryza sativa L.) varieties differing in salinity resistance. J. Exp. Bot. 1995, 46, 1843–1852. [Google Scholar] [CrossRef]
- Chen, T.; Shabala, S.; Niu, Y.; Chen, Z.-H.; Shabala, L.; Meinke, H.; Venkataraman, G.; Pareek, A.; Xu, J.; Zhou, M. Molecular mechanisms of salinity tolerance in rice. Crop. J. 2021, 9, 506–520. [Google Scholar] [CrossRef]
- Pavlovic, J.; Kostic, L.; Bosnic, P.; Kirkby, E.A.; Nikolic, M. Interactions of silicon with essential and beneficial elements in plants. Front. Plant Sci. 2021, 12, 6975–6992. [Google Scholar] [CrossRef] [PubMed]
- Wang, P.; Zhang, H.; Hu, X.; Xu, L.; An, X.; Jin, T.; Ma, R.; Li, Z.; Chen, S.; Du, S.; et al. Comparing the potential of silicon nanoparticles and conventional silicon for salinity stress alleviation in soybean (Glycine max L.): Growth and physiological traits and rhizosphere/endophytic bacterial communities. J. Agric. Food Chem. 2024, 72, 10781–10793. [Google Scholar] [CrossRef]
- Shoukat, A.; Pitann, B.; Hossain, S.; Saqib, Z.A.; Nawaz, A.; Mühling, K.H. Zinc and silicon fertilizers in conventional and nano-forms: Mitigating salinity effects in maize (Zea mays L.). J. Plant Nutr. Soil Sci. 2024, 3, 232–239. [Google Scholar] [CrossRef]
- Taha, R.S.; Seleiman, M.F.; Shami, A.; Alhammad, B.A.; Mahdi, A.H.A. Integrated application of selenium and silicon enhances growth and anatomical structure, antioxidant defense system and yield of wheat grown in salt-stressed soil. Plants 2021, 10, 1040. [Google Scholar] [CrossRef] [PubMed]
- Mandlik, R.; Thakral, V.; Raturi, G.; Shinde, S.; Nikolić, M.; Tripathi, D.K.; Sonah, H.; Deshmukh, R. Significance of silicon uptake, transport, and deposition in plants. J. Exp. Bot. 2020, 71, 6703–6718. [Google Scholar] [CrossRef] [PubMed]
- Naidu, S.; Pandey, J.; Mishra, L.C.; Chakraborty, A.; Roy, A.; Singh, I.K.; Singh, A. Silicon nanoparticles: Synthesis, uptake and their role in mitigation of biotic stress. Ecotoxicol. Environ. Saf. 2023, 255, 114783–114788. [Google Scholar] [CrossRef]
- Weisany, W.; Razmi, J.; Eshaghabadi, A.H.; Pashang, D. Silicon nanoparticles (SiNP): A novel and sustainable strategy for mitigating environmental stresses in plants. J. Soil Sci. Plant Nutr. 2024, 24, 2167–2191. [Google Scholar] [CrossRef]
- Badawy, S.A.; Zayed, B.A.; Bassiouni, S.M.A.; Mahdi, A.H.A.; Majrashi, A.; Ali, E.F.; Seleiman, M.F. Influence of nano silicon and nano selenium on root characters, growth, ion selectivity, yield, and yield components of rice (Oryza sativa L.) under salinity conditions. Plants 2021, 10, 1657. [Google Scholar] [CrossRef]
- Riaz, M.; Kamran, M.; Fahad, S.; Wang, X. Nano-silicon mediated alleviation of Cd toxicity by cell wall adsorption and antioxidant defense system in rice seedlings. Plant Soil 2022, 486, 103–117. [Google Scholar] [CrossRef]
- Ijaz, U.; Ahmed, T.; Rizwan, M.; Noman, M.; Shah, A.A.; Azeem, F.; Alharby, H.F.; Bamagoos, A.A.; Alharbi, B.M.; Ali, S. Rice straw based silicon nanoparticles improve morphological and nutrient profile of rice plants under salinity stress by triggering physiological and genetic repair mechanisms. Plant Physiol. Biochem. 2023, 201, 107788–107790. [Google Scholar] [CrossRef]
- Abd-El-Aty, M.S.; Kamara, M.M.; Elgamal, W.H.; Mesbah, M.I.; Abomarzoka, E.A.; Alwutayd, K.M.; Mansour, E.; Ben Abdelmalek, I.; Behiry, S.I.; Almoshadak, A.S.; et al. Exogenous application of nano-silicon, potassium sulfate, or proline enhances physiological parameters, antioxidant enzyme activities, and agronomic traits of diverse rice genotypes under water deficit conditions. Heliyon 2024, 10, e26077. [Google Scholar] [CrossRef] [PubMed]
- Mahawar, L.; Ramasamy, K.P.; Suhel, M.; Prasad, S.M.; Živčák, M.; Brestic, M.; Rastogi, A.; Skalický, M. Silicon nanoparticles: Comprehensive review on biogenic synthesis and applications in agriculture. Environ. Res. 2023, 232, 116292. [Google Scholar] [CrossRef] [PubMed]
- Li, T.Z.; Chen, A.T.; Li, C.; Yang, D.; He, N. Effects of silicon on growth and physiological responses of rice seedlings under cadmium stress. J. Agro-Environ. Sci. 2018, 5, 15–26. [Google Scholar]
- Tarolli, P.; Luo, J.; Park, E.; Barcaccia, G.; Masin, R. Soil salinization in agriculture: Mitigation and adaptation strategies combining nature-based solutions and bioengineering. iScience 2024, 27, e108830. [Google Scholar] [CrossRef] [PubMed]
- Heenan, D.; Lewin, L.; Mccaffery, D. Salinity tolerance in rice varieties at different growth stages. Agric. Food Sci. 1988, 28, 343–349. [Google Scholar] [CrossRef]
- Mu, D.W.; Feng, N.J.; Zheng, D.F.; Zhou, H.; Liu, L.; Chen, G.J.; Mu, B. Physiological mechanism of exogenous brassinolide alleviating salt stress injury in rice seedlings. Sci. Rep. 2022, 12, 20439–20445. [Google Scholar] [CrossRef] [PubMed]
- Zhou, H.; Shi, H.; Yang, Y.; Feng, X.; Chen, X.; Xiao, F.; Lin, H.; Guo, Y. Insights into plant salt stress signaling and tolerance. J. Genet. Genom. 2024, 51, 16–34. [Google Scholar] [CrossRef] [PubMed]
- Yetgin, A. Exploring the dynamic nature of root plasticity and morphology in the face of changing environments. Ecol. Front. 2024, 44, 112–119. [Google Scholar] [CrossRef]
- Chapman, N.; Miller, A.J.; Lindsey, K.; Whalley, W.R. Roots, water, and nutrient acquisition: Let’s get physical. Trends Plant Sci. 2012, 17, 701–710. [Google Scholar] [CrossRef] [PubMed]
- Alharbi, K.; Osman, H.S.; Rashwan, E.; Hafez, E.M.; Omara, A.E.D. Stimulating the growth, anabolism, antioxidants, and yield of rice plants grown under salt stress by combined application of bacterial inoculants and nano-dilicon. Plants 2022, 11, 3431. [Google Scholar] [CrossRef]
- Nazari, M.; Kordrostami, M.; Ghasemi-Soloklui, A.A.; Eaton-Rye, J.J.; Pashkovskiy, P.; Kuznetsov, V.; Allakhverdiev, S.I. Enhancing photosynthesis and plant productivity through genetic modification. Cells 2024, 13, 1319. [Google Scholar] [CrossRef] [PubMed]
- Das, K.; Roychoudhury, A. Reactive oxygen species (ROS) and response of antioxidants as ROS-scavengers during environmental stress in plants. Front. Environ. Sci. 2014, 2, 53–59. [Google Scholar] [CrossRef]
- Wang, Y.; Tan, C.; Li, Y.; Meng, F.; Du, Y.; Zhang, S.; Jiang, W.; Feng, N.; Zhao, L.; Zheng, D. 5-ALA, DTA-6, and nitrogen mitigate NaCl stress by promoting photosynthesis and carbon metabolism in rice deedlings. Metabolites 2024, 14, 142. [Google Scholar] [CrossRef]
- Zaki, F.S.; Elsayed, A.E.; Ahmed, A.M.; Khalid, K.A. Salinity stress and different types of nano silicon’s effects on lupine morphology and biochemical accumulations. Biocatal. Agric. Biotechnol. 2024, 55, 102997–103005. [Google Scholar] [CrossRef]
- Zhao, S.; Kamran, M.; Rizwan, M.; Ali, S.; Yan, L.; Alwahibi, M.S.; Elshikh, M.S.; Riaz, M. Regulation of proline metabolism, AsA-GSH cycle, cadmium uptake and subcellular distribution in Brassica napus L. under the effect of nano-silicon. Environ. Pollut. 2023, 335, 122321. [Google Scholar] [CrossRef] [PubMed]
- Yabuta, Y.; Motoki, T.; Yoshimura, K.; Takeda, T.; Ishikawa, T.; Shigeoka, S. Thylakoid membrane-bound ascorbate peroxidase is a limiting factor of antioxidative systems under photo-oxidative stress. Plant J. 2002, 32, 915–925. [Google Scholar] [CrossRef]
- Fan, N.; Zhao, C.; Yue, L.; Ji, H.; Wang, X.; Xiao, Z.; Rasmann, S.; Wang, Z. Nanosilicon alters oxidative stress and defence reactions in plants: A meta-analysis, mechanism and perspective. Environ. Sci. Nano 2022, 9, 3742–3755. [Google Scholar] [CrossRef]
- Hasanuzzaman, M.; Nahar, K.; Anee, T.I.; Fujita, M. Exogenous silicon attenuates cadmium-induced oxidative stress in Brassica napus L. by modulating AsA-GSH pathway and glyoxalase system. Front. Plant Sci. 2017, 8, 1061–1068. [Google Scholar] [CrossRef] [PubMed]
- Sahoo, M.R.; Devi, T.R.; Dasgupta, M.; Nongdam, P.; Prakash, N. Reactive oxygen species scavenging mechanisms associated with polyethylene glycol mediated osmotic stress tolerance in Chinese potato. Sci. Rep. 2020, 10, 5404–5412. [Google Scholar] [CrossRef] [PubMed]
- Nazim, M.; Li, X.; Anjum, S.; Ahmad, F.; Ali, M.; Muhammad, M.; Shahzad, K.; Lin, L.; Zulfiqar, U. Silicon nanoparticles: A novel approach in plant physiology to combat drought stress in arid environment. Biocatal. Agric. Biotechnol. 2024, 58, 103190–103198. [Google Scholar] [CrossRef]
- Kanawapee, N.; Sanitchon, J.; Lontom, W.; Threerakulpisut, P. Evaluation of salt tolerance at the seedling stage in rice genotypes by growth performance, ion accumulation, proline and chlorophyll content. Plants 2012, 358, 235–249. [Google Scholar] [CrossRef]
- Singh, A.; Rajput, V.D.; Sharma, R.; Ghazaryan, K.; Minkina, T. Salinity stress and nanoparticles: Insights into antioxidative enzymatic resistance, signaling, and defense mechanisms. Environ. Res. 2023, 235, 1165–1185. [Google Scholar] [CrossRef]
- Yan, G.; Fan, X.; Peng, M.; Yin, C.; Xiao, Z.; Liang, Y. Silicon improves rice salinity resistance by alleviating ionic toxicity and osmotic constraint in an organ-specific pattern. Front. Plant Sci. 2020, 11, 260–266. [Google Scholar] [CrossRef] [PubMed]
- Duan, N.; Jia, Y.K.; Xu, J.; Chen, H.L.; Sun, P. Research progress on plant endogenous hormones. Chin. Agric. Sci. Bull. 2015, 31, 159–165. [Google Scholar]
- Ahmad, J.; Bashir, H.; Bagheri, R.; Baig, A.; Al-Huqail, A.; Ibrahim, M.M.; Qureshi, M.I. Drought and salinity induced changes in ecophysiology and proteomic profile of parthenium hysterophorus. PLoS ONE 2017, 12, e0185118. [Google Scholar] [CrossRef]
- Chhaya; Yadav, B.; Jogawat, A.; Gnanasekaran, P.; Kumari, P.; Lakra, N.; Lal, S.K.; Pawar, J.; Narayan, O.P. An overview of recent advancement in phytohormones-mediated stress management and drought tolerance in crop plants. Plant Gene 2020, 25, 100264–100270. [Google Scholar] [CrossRef]
- Tripathi, D.K.; Vishwakarma, K.; Singh, V.P.; Prakash, V.; Sharma, S.; Muneer, S.; Nikolic, M.; Deshmukh, R.; Vaculík, M.; Corpas, F.J. Silicon crosstalk with reactive oxygen species, phytohormones and other signaling molecules. J. Hazard. Mater. 2020, 408, 124820–124826. [Google Scholar] [CrossRef] [PubMed]
- Abouelsaad, I.; Renault, S. Enhanced oxidative stress in the jasmonic acid-deficient tomato mutant def-1 exposed to NaCl stress. J. Plant Physiol. 2018, 226, 136–144. [Google Scholar] [CrossRef] [PubMed]
- Wang, J.; Cao, X.; Wang, C.; Xiao, Z.; Chen, F.; Feng, Y.; Yue, L.; Wang, Z.; Xing, B. Transcriptomics and metabolomics reveal the mechanisms of enhanced constitutive resistance in rice (Oryza sativa L.) by silica nanomaterials. Environ. Sci. Nano 2023, 10, 2831–2848. [Google Scholar] [CrossRef]
- Mukarram, M.; Petrik, P.; Mushtaq, Z.; Khan, M.M.A.; Gulfishan, M.; Lux, A. Silicon nanoparticles in higher plants: Uptake, action, stress tolerance, and crosstalk with phytohormones, antioxidants, and other signalling molecules. Environ. Pollut. 2022, 310, 119855–119875. [Google Scholar] [CrossRef]
- Zhao, S.; Zhang, Q.; Liu, M.; Zhou, H.; Ma, C.; Wang, P. Regulation of plant responses to salt stress. Int. J. Mol. Sci. 2021, 22, 4609. [Google Scholar] [CrossRef] [PubMed]
- Dar, F.A.; Tahir, I.; Hakeem, K.R.; Rehman, R.U. Silicon application enhances the photosynthetic pigments and phenolic/flavonoid content by modulating the phenylpropanoid pathway in common buckwheat under aluminium stress. Silicon 2021, 14, 323–334. [Google Scholar] [CrossRef]
- Naz, M.; Afzal, M.R.; Raza, M.A.; Pandey, S.; Qi, S.; Dai, Z.; Du, D. Calcium (Ca2+) signaling in plants: A plant stress perspective. S. Afr. J. Bot. 2024, 169, 464–485. [Google Scholar] [CrossRef]
- Lian, W.; Geng, A.; Wang, Y.; Liu, M.; Zhang, Y.; Wang, X.; Chen, G. The molecular mechanism of potassium absorption, transport, and utilization in rice. Int. J. Mol. Sci. 2023, 24, 16682. [Google Scholar] [CrossRef]
- Bosnic, P.; Bosnic, D.; Jasnic, J.; Nikolic, M. Silicon mediates sodium transport and partitioning in maize under moderate salt stress. Environ. Exp. Bot. 2018, 155, 681–687. [Google Scholar] [CrossRef]
- Gong, H.J.; Randall, D.P.; Flowers, T.J. Silicon Deposition in the Root Reduces Sodium Uptake in Rice (Oryza sativa L.) Seedlings by Reducing Bypass Flow. Plant Cell Environ. 2006, 29, 1970–1979. [Google Scholar] [CrossRef]
- Zuo, G.; Huo, J.; Yang, X.; Mei, W.; Zhang, R.; Khan, A.; Feng, N.; Zehng, D. Photosynthetic mechanisms underlying NaCl-induced salinity tolerance in rice (Oryza sativa). BMC Plant Biol. 2024, 24, 41–50. [Google Scholar] [CrossRef]
- Weatherley, P.E. Studies in the water relations of the cotton plant 1. The field measurement of water deficits in leaves. New Phytol. 2010, 49, 81–97. [Google Scholar] [CrossRef]
- Ōta, Y. Diagnostic methods for the measurement of root activity in rice plant. JARQ Jpn. Agric. Res. Q. 1970, 5, 1–6. [Google Scholar]
- Wang, X.; Huang, J. Principles and Techniques of Plant Physiological Biochemical Experiment; Higher Education Press: Beijing, China, 2015. [Google Scholar]
- Sales, C.R.; Molero, G.; Evans, J.R.; Taylor, S.H.; Joynson, R.; Furbank, R.T.; Hall, A.; Carmo-Silva, E. Phenotypic variation in photosynthetic traits in wheat grown under field versus glasshouse conditions. J. Exp. Bot. 2022, 73, 10–18. [Google Scholar] [CrossRef] [PubMed]
- Zahra, J.; Nazim, H.; Faiza, I.; Zeng, J.; Tahir, A.; Zhang, G. Physiological and antioxidant responses of cultivated and wild barley under salt stress. Plant Soil Environ. 2020, 66, 334–344. [Google Scholar] [CrossRef]
- Elstner, E.F.; Heupel, A. Inhibition of nitrite formation from hydroxylammoniumchloride: A simple assay for superoxide dismutase. Anal. Biochem. 1976, 70, 616–620. [Google Scholar] [CrossRef] [PubMed]
- Yoshiyuki, N.; Kozi, A. Hydrogen peroxide is scavenged by ascorbate-specific peroxidase in Spinach chloroplasts. Plant Cell Physiol. 1981, 22, 867–880. [Google Scholar]
- Bates, L.S.; Waldren, R.P.; Teare, I.D. Rapid determination of proline for water stress studies. Plant Soil Environ. 1973, 39, 305–307. [Google Scholar] [CrossRef]
- Bradford, M.M. A rapid and sensitive method for the quantitation of microgram quantities of protein utilizing the principle of protein-dye binding. Anal. Biochem. 1976, 72, 248–254. [Google Scholar] [CrossRef] [PubMed]
- Ahmed, T.; Masood, H.A.; Noman, M.; Al-Huqail, A.A.; Alghanem, S.M.; Khan, M.M.; Muhammad, S.; Manzoor, N.; Rizwan, M.; Qi, X.; et al. Biogenic silicon nanoparticles mitigate cadmium (Cd) toxicity in rapeseed (Brassica napus L.) by modulating the cellular oxidative stress metabolism and reducing Cd translocation. J. Hazard. Mater. 2023, 459, 1320–1327. [Google Scholar] [CrossRef] [PubMed]












| Treatment | Morphological Indicators | ||||
|---|---|---|---|---|---|
| Shoot Length (cm) | Stem Diameter (mm) | Leaf Area (mm2) | Shoot Fresh Weight (×10−2 g) | Shoot Dry Weight (×10−2 g) | |
| CK | 32.46 ± 0.10 a | 6.58 ± 0.05 a | 872.47 ± 28.09 a | 94.80 ± 1.82 a | 17.96 ± 0.58 b |
| N | 32.88 ± 0.58 a | 6.74 ± 0.02 a | 794.41 ± 29.65 a | 99.18 ± 3.24 a | 19.60 ± 0.72 a |
| S | 28.74 ± 0.10 c | 5.18 ± 0.10 c | 575.51 ± 7.31 c | 64.94 ± 0.84 c | 13.80 ± 0.39 d |
| SN | 30.10 ± 0.04 b | 5.86 ± 0.14 b | 688.46 ± 31.34 b | 74.16 ± 1.10 b | 15.88 ± 0.31 c |
| Treatment | Morphological Indicators | ||
|---|---|---|---|
| Root Length (cm) | Root Fresh Weight (×10−2 g) | Root Dry Weight (×10−2 g) | |
| CK | 20.18 ± 0.34 a | 32.82 ± 1.32 a | 3.98 ± 0.13 a |
| N | 20.70 ± 0.58 a | 33.74 ± 1.53 a | 4.18 ± 0.10 a |
| S | 17.78 ± 0.43 b | 22.86 ± 0.59 c | 2.56 ± 0.07 c |
| SN | 19.58 ± 0.13 a | 27.30 ± 0.89 b | 3.22 ± 0.02 b |
| Treatment | Morphological Indicators | |||||
|---|---|---|---|---|---|---|
| Total Root Length (cm) | Root Surface (cm2) | Root Volume (cm3) | Root Diameter (×10−2 mm) | Root Bifurcation Number | Root Tips Number | |
| CK | 288.27 ± 49.07 ab | 29.03 ± 3.23 b | 0.55 ± 0.04 ab | 43.34 ± 0.31 a | 481.00 ± 26.15 b | 634.33 ± 42.19 b |
| N | 361.63 ± 31.15 a | 39.44 ± 3.38 a | 0.71 ± 0.08 a | 43.97 ± 1.16 a | 732.67 ± 58.95 a | 927.00 ± 90.28 a |
| S | 150.16 ± 4.62 c | 12.93 ± 1.01 c | 0.17 ± 0.06 c | 32.08 ± 2.21 b | 231.33 ± 35.15 c | 271.00 ± 16.52 c |
| SN | 253.22 ± 6.59 b | 25.96 ± 0.50 b | 0.43 ± 0.04 b | 41.74 ± 1.60 a | 396.33 ± 31.47 b | 502.33 ± 17.53 b |
| Treatment | Photosynthetic Gas Exchange Parameter | ||||||
|---|---|---|---|---|---|---|---|
| Pn (mmol·m−2s−1) | Tr (µmol·−2s−1) | Ci (µmol·mol−1) | Gs (mmol·m−2s−1) | WUE (mg·kg−1) | Ls (×10−2) | AMC (×10−2) | |
| CK | 17.42 ± 1.24 a | 5.02 ± 0.28 a | 302.94 ± 4.11 b | 346.94 ± 13.02 a | 628.99 ± 19.96 ab | 22.14 ± 0.97 c | 4.57 ± 0.15 a |
| N | 17.64 ± 0.70 a | 4.12 ± 0.28 b | 316.75 ± 4.83 a | 332.98 ± 38.39 a | 683.45 ± 62.59 a | 24.21 ± 0.93 c | 4.26 ± 0.05 b |
| S | 10.59 ± 0.28 c | 2.13 ± 0.12 d | 258.24 ± 2.21 d | 94.70 ± 2.64 c | 430.99 ± 11.41 c | 35.08 ± 0.56 a | 3.64 ± 0.03 c |
| SN | 13.47 ± 0.88 b | 3.00 ± 0.17 c | 281.84 ± 2.76 c | 179.93 ± 5.03 b | 551.05 ± 7.64 b | 32.32 ± 0.29 b | 4.00 ± 0.04 b |
| Treatment | Endogenous Auxin | ||||||
|---|---|---|---|---|---|---|---|
| IAA (×10−3 nmol·g−1 FW) | CTK (ng·g−1 FW) | GA (pmol·g−1 FW) | ABA (ng·g−1 FW) | SA (ng·g−1 FW) | JA (pmol·g−1 FW) | ||
| Leaf | CK | 404.30 ± 11.04 b | 319.89 ± 9.50 b | 1.12 ± 0.02 b | 545.81 ± 9.17 c | 44.44 ± 0.43 d | 12.96 ± 0.16 d |
| N | 457.10 ± 1.96 a | 429.41 ± 9.18 a | 1.32 ± 0.02 a | 456.89 ± 15.10 d | 52.47 ± 0.71 c | 14.89 ± 0.31 c | |
| S | 264.00 ± 4.45 d | 228.70 ± 7.97 c | 0.73 ± 0.02 d | 802.96 ± 10.51 a | 59.06 ± 1.13 b | 16.30 ± 0.19 b | |
| SN | 322.30 ± 6.11 c | 299.30 ± 7.61 b | 1.00 ± 0.02 c | 678.13 ± 15.43 b | 69.35 ± 1.31 a | 19.92 ± 0.44 a | |
| Root | CK | 485.40 ± 4.29 b | 298.12 ± 6.54 b | 0.91 ± 0.02 b | 695.15 ± 12.660 c | 37.45 ± 0.76 d | 11.63 ± 0.28 b |
| N | 514.00 ± 3.42 a | 359.22 ± 8.84 a | 1.04 ± 0.03 a | 548.13 ± 6.77 d | 47.84 ± 0.98 c | 15.41 ± 0.13 a | |
| S | 327.10 ± 8.57 d | 182.19 ± 2.10 c | 0.75 ± 0.02 c | 908.46 ± 8.73 a | 55.21 ± 0.74 b | 10.66 ± 0.39 b | |
| SN | 406.00 ± 6.84 c | 284.46 ± 8.18 b | 0.77 ± 0.03 c | 788.26 ± 11.86 b | 61.10 ± 0.85 a | 14.50 ± 0.38 a | |
| Treatment | Rice Seedling Ion Content | ||||||
|---|---|---|---|---|---|---|---|
| Na+ (μg/g) | Cl− (μg/g) | Si4+ (μg/g) | K+ (μg/g) | Ca2+ (μg/g) | Na+/K+ (×10−3) | ||
| Leaf | CK | 321.20 ± 0.75 c | 1462.02 ± 64.01 c | 188.65 ± 3.30 c | 8970.17 ± 14.25 a | 1501.88 ± 1.07 b | 35.80 ± 0.14 c |
| N | 127.06 ± 0.23 d | 433.62 ± 25.34 d | 367.92 ± 6.96 a | 8666.60 ± 304.47 a | 1833.36 ± 30.44 a | 14.70 ± 0.54 d | |
| S | 749.05 ± 2.60 a | 4990.51 ± 73.55 a | 124.54 ± 1.45 d | 7448.48 ± 129.32 b | 1419.38 ± 10.13 c | 100.60 ± 1.40 a | |
| SN | 650.04 ± 24.06 b | 3830.46 ± 329.07 b | 216.51 ± 10.45 b | 7961.65 ± 143.74 b | 1531.60 ± 7.31 b | 81.60 ± 1.55 b | |
| Root | CK | 161.38 ± 0.55 c | 428.27 ± 9.55 c | 83.21 ± 0.16 c | 2331.08 ± 10.65 a | 214.88 ± 1.78 b | 69.20 ± 0.08 c |
| N | 150.70 ± 0.16 c | 262.43 ± 8.97 d | 109.57 ± 1.30 a | 2362.18 ± 94.98 a | 239.54 ± 5.45 a | 64.00 ± 2.51 c | |
| S | 837.68 ± 0.56 a | 1137.89 ± 20.41 a | 63.93 ± 1.07 d | 1368.44 ± 22.56 b | 113.64 ± 3.65 c | 612.50 ± 10.51 a | |
| SN | 778.04 ± 11.89 b | 1091.88 ± 3.95 b | 101.83 ± 0.23 b | 1493.62 ± 5.25 b | 207.05 ± 1.30 b | 521.00 ± 9.79 b | |
Disclaimer/Publisher’s Note: The statements, opinions and data contained in all publications are solely those of the individual author(s) and contributor(s) and not of MDPI and/or the editor(s). MDPI and/or the editor(s) disclaim responsibility for any injury to people or property resulting from any ideas, methods, instructions or products referred to in the content. |
© 2024 by the authors. Licensee MDPI, Basel, Switzerland. This article is an open access article distributed under the terms and conditions of the Creative Commons Attribution (CC BY) license (https://creativecommons.org/licenses/by/4.0/).
Share and Cite
Xiong, J.; Yang, X.; Sun, M.; Zhang, J.; Ding, L.; Sun, Z.; Feng, N.; Zheng, D.; Zhao, L.; Shen, X. Mitigation Effect of Exogenous Nano-Silicon on Salt Stress Damage of Rice Seedlings. Int. J. Mol. Sci. 2025, 26, 85. https://doi.org/10.3390/ijms26010085
Xiong J, Yang X, Sun M, Zhang J, Ding L, Sun Z, Feng N, Zheng D, Zhao L, Shen X. Mitigation Effect of Exogenous Nano-Silicon on Salt Stress Damage of Rice Seedlings. International Journal of Molecular Sciences. 2025; 26(1):85. https://doi.org/10.3390/ijms26010085
Chicago/Turabian StyleXiong, Jian, Xiaohui Yang, Minmin Sun, Jianqin Zhang, Linchong Ding, Zhiyuan Sun, Naijie Feng, Dianfeng Zheng, Liming Zhao, and Xuefeng Shen. 2025. "Mitigation Effect of Exogenous Nano-Silicon on Salt Stress Damage of Rice Seedlings" International Journal of Molecular Sciences 26, no. 1: 85. https://doi.org/10.3390/ijms26010085
APA StyleXiong, J., Yang, X., Sun, M., Zhang, J., Ding, L., Sun, Z., Feng, N., Zheng, D., Zhao, L., & Shen, X. (2025). Mitigation Effect of Exogenous Nano-Silicon on Salt Stress Damage of Rice Seedlings. International Journal of Molecular Sciences, 26(1), 85. https://doi.org/10.3390/ijms26010085

