Next Article in Journal
A B-Box (BBX) Transcription Factor from Cucumber, CsCOL9 Positively Regulates Resistance of Host Plant to Bemisia tabaci
Next Article in Special Issue
The Complete Chloroplast Genomic Characteristics and Phylogenetic Analysis of Abutilon theophrasti Medicus
Previous Article in Journal
Emerging Role of the DREAM Complex in Cancer and Therapeutic Opportunities
Previous Article in Special Issue
The Roles of RNA Modifications in Regulating Chloroplast Performance and Photosynthesis Efficiency
 
 
Font Type:
Arial Georgia Verdana
Font Size:
Aa Aa Aa
Line Spacing:
Column Width:
Background:
Article

Chloroplast Genome Diversity and Molecular Evolution in Hypericaceae: New Insights from Three Hypericum Species

1
School of Biological and Pharmaceutical Engineering, Lanzhou Jiaotong University, Lanzhou 730070, China
2
College of Agronomy, Gansu Agricultural University, Lanzhou 730070, China
*
Author to whom correspondence should be addressed.
These authors contributed equally to this work.
Int. J. Mol. Sci. 2025, 26(1), 323; https://doi.org/10.3390/ijms26010323
Submission received: 25 September 2024 / Revised: 6 November 2024 / Accepted: 9 November 2024 / Published: 2 January 2025

Abstract

The Hypericaceae family, comprising nine genera and over seven hundred species, includes Hypericum plants traditionally used for medicinal purposes. In this study, we performed high-throughput sequencing on three Hypericum species: Hypericum acmosepalum, Hypericum addingtonii, and Hypericum beanii, and conducted comparative genomic analyses with related species. The chloroplast genome sizes were 152,654 bp, 122,570 bp, and 137,652 bp, respectively, with an average GC content of 37.9%. All genomes showed a quadripartite structure, with significant variations in IR regions (3231–26,846 bp). The total number of genes ranged from 91 to 129. SSRs were predominantly located in the LSC region, with mononucleotide repeats being dominant. Comparative analysis identified several hotspot regions, including accD, rpoC2, rpoB, and rpl22 in the LSC region and matK, rpl32, rpl33, and rps4 in the SSC region. Nucleotide polymorphism analysis revealed eight highly variable regions and eleven gene loci, providing potential molecular markers for species identification. Phylogenetic analysis indicated that Triadenum and Cratoxylum are closely related to Hypericum, with H. acmosepalum and H. beanii being closest relatives and Hypericum hookerianum as their sister species. These findings provide molecular tools for species identification and insights for conservation strategies of medicinal Hypericum species.

1. Introduction

The Hypericaceae family, commonly known as the St. John’s wort family, comprises nine genera and over seven hundred species. It is divided into three tribes: Cratoxyleae, Hypericeae, and Vismieae [1]. However, the relationships within these tribes remain contentious. The largest genus within Hypericaceae is Hypericum, consisting of nearly five hundred herbaceous plants, shrubs, and small trees [2]. These plants are widely distributed globally, excluding Antarctica, with major concentrations in Eurasia and the Andes in South America. Significant numbers of species are also found in North America, Southeast Asia, and Africa [3]. Many Hypericum species have considerable medicinal value and have been traditionally used in various cultures to treat ailments such as eczema, menstrual disorders, burns, and digestive diseases [4,5,6]. The most renowned species, Hypericum perforatum (commonly known as St. John’s wort) [7], has been extensively studied and utilized for its antidepressant, antioxidant, antidiabetic, antihyperlipidemic, wound-healing, hepatoprotective, antiparkinsonian, renoprotective, anti-inflammatory, and antimicrobial properties [8,9,10] This species has brought significant economic value to the pharmaceutical and nutraceutical industries. Studies have shown that medicinal Hypericum species contain chemical compounds such as phloroglucinols, naphthodianthrones, xanthones, flavonoids, and terpenes [11,12], which are recognized for their biological activities.
Due to the significant medicinal value of Hypericum family members and their ability to adapt to various environmental conditions, they have become valuable resources for both agriculture and the pharmaceutical industry. Certain species of Hypericum plants have been cultivated commercially and at a large scale. However, the systematic taxonomy of Hypericum remains controversial due to the numerous species and their morphologically similar appearances. Accurate identification of Hypericum species with medicinal value is a key focus in plant breeding [13]. Understanding the chloroplast genomics of Hypericum species can significantly contribute to crop improvement strategies and the conservation of medicinal plants. This knowledge can lead to the development of more resilient and productive varieties, supporting sustainable agricultural practices. Moreover, insights gained from chloroplast genome analysis can inform conservation efforts for wild Hypericum populations, ensuring the preservation of genetic diversity crucial for future breeding programs and maintaining the availability of these important medicinal resources.
As early as the 18th century, Hypericum attracted the attention of taxonomists. Subsequently, Robson divided Hypericum into 36 sections, distinguishing species based on morphological traits such as habits, indumentum, glands, stems, leaves, sepals, and geographical distribution, proposing phylogenetic relationships among certain Hypericum species [14]. Further phylogenetic analysis using ITS sequences by Nürk et al. [2] revealed that Thornea is closely related to Hypericum, while Triadenum is nested within Hypericum. In recent years, the phylogenetic study of Hypericum has been a focal point for researchers. Early studies primarily relied on morphological characteristics, but with advancements in molecular biology techniques, molecular data have increasingly been applied to Hypericum phylogenetic research. Some researchers have used molecular markers such as nuclear genomes (nrDNA) and chloroplast genomes (cpDNA) to explore the phylogenetic relationships within Hypericum. For instance, Meseguer et al. [15]. conducted a comprehensive study of Hypericum phylogeny by integrating nuclear and chloroplast genome data. Despite these efforts, chloroplast genome studies on Hypericum remain relatively scarce, particularly lacking systematic comparative genomic analyses.
The chloroplast is a semi-autonomous organelle derived from ancient endosymbiotic cyanobacteria, responsible for photosynthesis in most higher plants [16,17]. It has the capability for self-replication, transcription, and translation. In most angiosperms, the chloroplast genome size ranges between 120 kb and 160 kb [18], featuring a typical quadripartite structure that includes a large single-copy region (LSC) and a small single-copy region (SSC) separated by a pair of inverted repeats (IRa and IRb) [19,20,21]. With the continuous development of sequencing technologies, chloroplast genome sequencing has become an effective tool for species identification [22]. The chloroplast genome is more conserved in terms of gene composition, structure, and gene number compared to nuclear and mitochondrial genomes [23]. Gene loss, IR expansion, structural rearrangements, and inversions frequently occur among different taxa [24,25], providing crucial insights into plant origins and evolutionary histories. Therefore, the chloroplast genome is a valuable source of information for phylogenetics, population genetics, and evolutionary studies.
In this study, high-throughput sequencing was performed for the first time on three Hypericum species: Hypericum acmosepalum, Hypericum addingtonii, and Hypericum beanii. These genomes were compared with those of eleven Hypericaceae species previously published in NCBI (National Center for Biotechnology Information), including Hypericum ascyron and Hypericum hookerianum, with two Populus species as outgroups. The objectives of this study were as follows: (1) to provide complete chloroplast genome data that reveal the chloroplast genome structural characteristics of these three species and reveal the chloroplast genome structural characteristics of these three species; (2) to develop potential molecular markers for the identification of Hypericum species; (3) to explore the phylogenetic positions of these three species within Hypericum and their relationships with subgenera in Hypericum; (4) to analyze evolutionary differences between Hypericum and its closely related genera, thereby providing data support for phylogenetic research and germplasm identification in Hypericum, and laying a foundation for understanding the evolutionary relationships within Hypericum.

2. Results

2.1. Genome Sequencing and Assembly

To elucidate the chloroplast genome sequence and structural characteristics of Hypericum acmosepalum, Hypericum addingtonii, and Hypericum beanii, sequencing was conducted using the NovaSeq6000 platform. The statistics of the obtained clean reads are presented in Table 1, showing that the sequencing error rate for the three Hypericum species was approximately 2.4%. The proportion of bases with Phred scores greater than 20 and 30 exceeded 95%, and the average length of sequencing fragments was around 147 bp.
Using software such as NOVOPlasty and GetOrganelle, the sequencing files were assembled by splicing genome fragments and filling gaps, resulting in complete circular chloroplast genomes for H. acmosepalum, H. addingtonii, and H. beanii. Chloroplast genome maps were generated using OGDRAW (Figure 1). The total lengths of the genomes were 152,654 bp for H. acmosepalum (GC content ~37.55%), 122,570 bp for H. addingtonii (GC content ~38.01%), and 137,652 bp for H. beanii (GC content ~38.14%). Three genomes displayed a similar quadripartite structure and functional genes, though the sizes of the quadripartite regions varied, as did the genes transcribed in the inner and outer circles and the functions and positions of the genes.

2.2. Basic Structural Characteristics of the Chloroplast Genome

As shown in the chloroplast genome maps, the chloroplast genome structures of the three Hypericum species conform to the quadripartite structure. Comparing the basic structural data of the chloroplast genomes of 14 Hypericaceae species and two outgroup species (Table 2), the total length of these chloroplast genomes ranged from 122,570 bp to 167,693 bp, with a difference of 45,123 bp between the longest and shortest genomes. The total number of genes in the 16 genomes ranged from 91 to 129, with the total gene count in Hypericum species fluctuating between 109 and 127, while Cratoxylum species had a stable gene count of around 128. The average length of the chloroplast genomes of the 16 species was 151,009.50 bp. H. addingtonii had the shortest genome length, followed by H. beanii, both significantly shorter than the average chloroplast genome length. Triadenum breviflorum had the longest genome length.
In all 16 species, the chloroplast genomes contained four characteristic regions. The LSC length ranged from 84,618 bp (Populus alba) to 126,934 bp (H. acmosepalum), the SSC length ranged from 3044 bp (H. acmosepalum) to 18,971 bp (Cratoxylum maingayi), and these two regions were separated by two IR regions (IRa and IRb) ranging from 3231 bp (Hypericum hookerianum) to 35,620 bp (Triadenum breviflorum). Significant structural differences were observed among the chloroplast genomes of different genera, such as Cratoxylum sumatranum, Cratoxylum pruniflorum, Cratoxylum maingayi, and Cratoxylum formosum, which had stable LSC, SSC, and IR regions sizes around 86,037 bp, 26,124 bp, and 18,811 bp, respectively. In contrast, the LSC length of the seven Hypericum chloroplast genomes fluctuated between 85,268 bp and 126,934 bp, SSC length between 3044 bp and 11,185 bp, and IR length between 3231 bp and 35,620 bp, with notable variation in IR region sizes. Notably, the chloroplast genome of H. acmosepalum exhibited the most unique structure among the seven Hypericum species, with the largest LSC region (126,934 bp) and the smallest SSC region (3044 bp). Moreover, the total GC content of the 16 chloroplast genomes ranged from 36.15% (Cratoxylum arborescens) to 38.14% (H. beanii), with a difference of 1.99%. The average total GC content was approximately 37.04%. Hypericum species had an average GC content of 37.76%, while Cratoxylum species had an average GC content of 36.23%, indicating higher GC content in Hypericum species and significant variation in IR-region GC content. Further analysis suggested that structural changes in the Hypericum chloroplast genomes might be related to base substitution rates.
As shown in Table 2, Hypericum species exhibited more notable fluctuations in gene numbers compared to Cratoxylum species, attributed to the instability of protein-coding genes and tRNA genes in Hypericum. In Hypericum species, the total gene count ranged from 109 to 127, protein-coding genes (PCGs) from 71 to 86, and tRNA genes from 29 to 37, with significant variation in the number of multi-copy genes within the PCGs. In contrast, Cratoxylum species had stable chloroplast genome total gene counts of 127 or 128, stable protein-coding gene counts of 82 or 83, stable tRNA counts of 37, and stable rRNA counts of eight, with minimal fluctuations in the number of multi-copy genes.The functional gene tables of the genomes of three Hypericum plants (Hypericum acmosepalum, Hypericum addingtonii, and Hypericum beanie) are shown in Supplementary Table (Table S1). The genes of three species of Hypericum plants can be broadly categorized into three major types: self-replication genes, photosynthesis-related genes, and other genes. Table S1 can visually represent the variations in the types and quantities of genes among different species. For instance, the chloroplast genome of H. acmosepalum lacks the matK gene, which is crucial for the functional expression of chloroplast genes. The chloroplast genome of H. addingtonii does not contain the ndhH gene, which is involved in the composition of dehydrogenase and plays a role in stress response [26].

2.3. Simple Sequence Repeats Analysis

Simple sequence repeats (SSRs) are efficient molecular markers characterized by high abundance, good reproducibility, co-dominant inheritance, uniparental inheritance, and relative conservation, making them ideal for species identification and genetic variation assessment at both population and individual levels [27,28].
Using MISA technology, we analyzed the number and distribution of SSRs in the chloroplast genomes of 16 species (Figure 2). The results showed that the numbers of SSRs in H. acmosepalum, H. addingtonii, and H. beanii were 86, 60, and 73, respectively. Among the 16 species, SSRs primarily consisted of three types: mononucleotide repeats, dinucleotide repeats, and trinucleotide repeats, with only H. ascyron, H. perforatum, and T. breviflorum lacking trinucleotide repeats in their chloroplast genomes. SSRs were widely distributed within the quadripartite structure of the chloroplast genome, predominantly in the LSC region, with mononucleotide repeats being the main SSR type. In Hypericum species, the LSC region was the primary distribution area for SSRs, with trinucleotide repeats only appearing in the LSC region. Unlike Hypericum species, Cratoxylum species also had SSRs in the SSC region, with a full range of SSR types, though predominantly mononucleotide and trinucleotide repeats. Notably, differences in SSR distribution among Hypericum species were mainly concentrated in the IR region. The specific distribution locations and areas of SSRs in the chloroplast genomes of H. acmosepalum, H. addingtonii, and H. beanii are provided in the Supplementary Table (Table S2), indicating that most SSRs were located in intergenic regions, with a few in intron regions. The genes containing SSRs primarily include trnG-UCC, rpoC1, rpl32, ndhA, petB, atpF, ycf3, rps19, rpl2, ndhH, rps12, trnA-UGC, rpoC2, and psbF, among others.
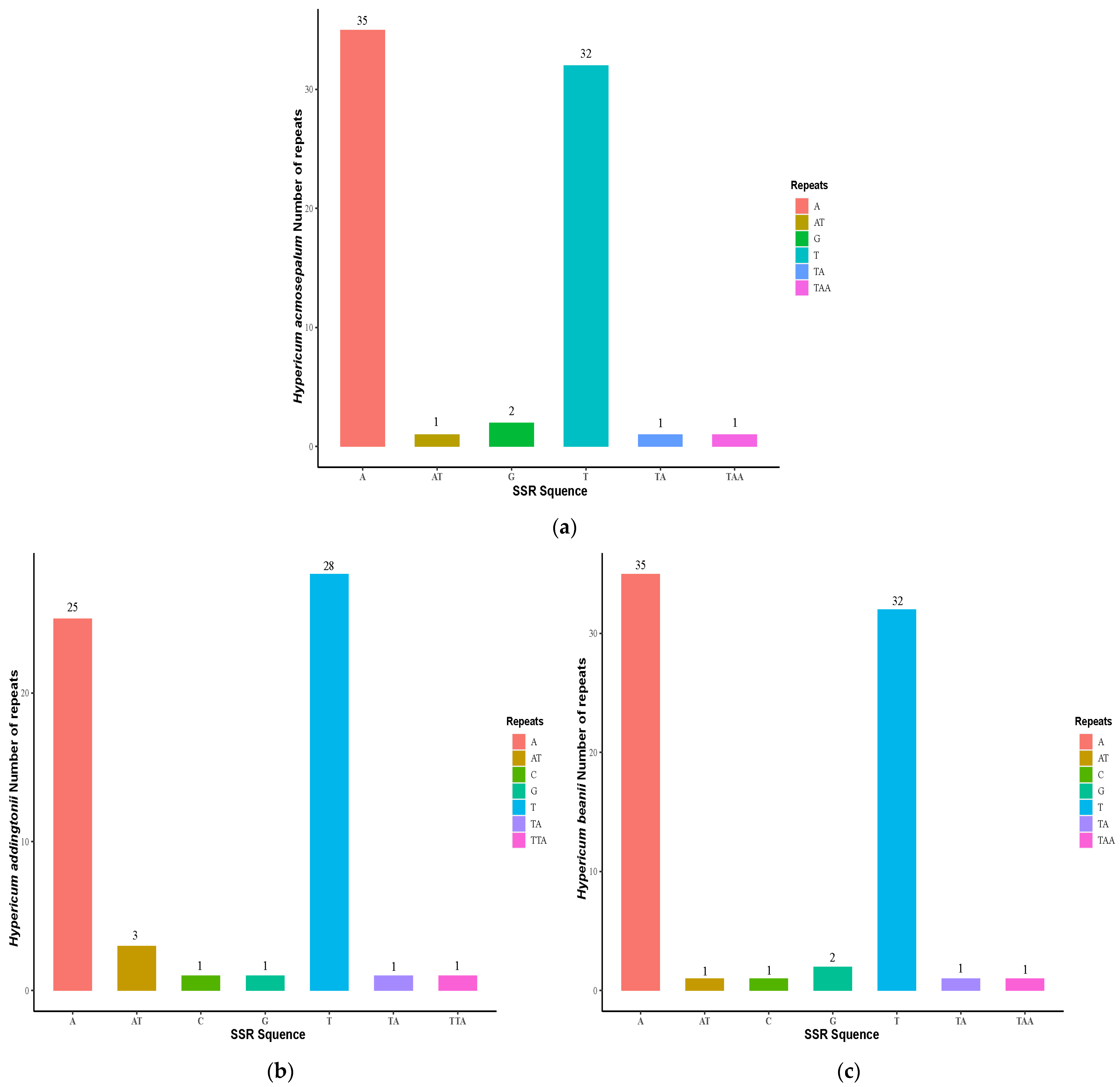
Figure 3 shows the base repeat types and repeat quantities of SSRs in the chloroplast genomes of H. acmosepalum, H. addingtonii, and H. beanii. The results indicate that in the three sequenced Hypericum species, SSRs mainly consisted of A and T bases, which accounted for a high proportion of all SSR sequences (93.06% in H. acmosepalum, 88.33% in H. addingtonii, and 91.78% in H. beanii). Among them, A base repeats were more frequent in the chloroplast genomes of H. acmosepalum and H. beanii, while T base repeats were more frequent in the chloroplast genome of H. addingtonii.

2.4. Analysis of Long-Repeat Sequences

Long-repeat sequences can be categorized by length into five types (<30, 30–49, 50–69, 70–89, ≥90 bp) and by type into forward (F), reverse (R), complement (C), and palindromic (P) repeats. The long-repeat sequences in the complete chloroplast genomes of 16 species were analyzed (Figure 4). In terms of repeat sequence types, Hypericaceae plants had only forward and palindromic repeats, with no complement or reverse repeats. For Cratoxylum plants, the numbers of forward and palindromic repeats were roughly similar, with a ratio close to 1:1. However, for Hypericum plants, the number of forward repeats was significantly greater than that of palindromic repeats, showing a 2:1 trend.
Regarding the length of long-repeat sequences, all plants had sequences with lengths of <30 bp, 30–49 bp, and 50–69 bp. Only H. acmosepalum, H. ascyron, C. arborescens, T. breviflorum, and the two outgroup plants lacked sequences of 70–89 bp. For Hypericum plants, long-repeat sequences were mainly large fragments (sequence sizes greater than 30 bp), similar to T. breviflorum, while Cratoxylum species predominantly had small-fragment sequences (sequence sizes less than 30 bp). Notably, the large-fragment long repeats in Hypericum were mainly concentrated in forward repeats, possibly related to gene rearrangements.

2.5. Codon Usage Preference Analysis

Codon usage preference refers to the non-uniform usage of synonymous codons encoding the same amino acid. This phenomenon results from the combined effects of mechanisms such as mutation and selection over long periods of evolution. In organisms, genes with high expression levels tend to use certain codons more frequently to enhance accuracy and efficiency. Therefore, codon usage preference analysis can help infer the degree of gene expression selection in different species [29].
Figure 5 shows the codon usage frequencies of different amino acids relative to leucine (Leu) in 16 plant species. Among them, the codons encoding Leu were the most frequently used, followed by those encoding isoleucine (Ile) and serine (Ser). Figure 6 illustrates the relative synonymous codon usage (RSCU) of H. acmosepalum, H. addingtonii, and H. beanii. According to the data in Figure 6, most amino acids showed codon preference (RSCU value greater than 1) in the three sequenced plants. The codons preferred for Leu, Ile, and Ser were TTA, ATT, and TCT, respectively.
ENC-plot analysis is commonly used to display the factors influencing codon usage preference in genomes. A higher ENC value indicates more uniform codon usage. Gene points falling above the diagonal line suggest that factors other than GC3s (GC content at the third position of synonymous codons) are influencing codon usage preference [30]. According to the ENC plot (Figure 7), coding genes exhibited certain codon preferences, with a stronger inclination towards A and T bases. The points in the graph mainly hovered near the expected curve, indicating that the formation of codon usage preference is primarily influenced by base mutations.

2.6. Expansion and Contraction of Boundary Regions

The expansion and contraction of inverted repeats (IRs) can lead to structural changes in the chloroplast genome, such as variations in the number of gene copies or the production of pseudogenes in boundary regions, making them significant factors in chloroplast genome variation [31]. The specific positions and lengths of these regions are crucial evolutionary characteristics between species. Therefore, we compared the boundaries and boundary genes of 16 species, including 14 Hypericaceae species and two outgroup species, and analyzed the expansion and contraction of the junction regions in detail (Figure 8).
Alignment analysis of the chloroplast genomes of 16 species revealed significant structural differences. The genome structure of Cratoxylum was relatively stable, while the genome structure of Hypericum showed more pronounced differences. For the chloroplast genomes of seven Hypericum species, the LSC–IRb boundary rarely overlapped with genes, except in H. beanii, where it was located within the rps12 gene. The IRb–SSC boundary deviated by 25 bp from the ndhF gene in most Hypericum chloroplast genomes. In contrast, the rps15 and rrn16 genes corresponded to the ndhF gene position in the chloroplast genomes of H. acmosepalum and H. addingtonii, while the ndhF gene was absent in the H. beanii chloroplast genome. The SSC–IRa boundary in Hypericum species and Triadenum breviflorum’s chloroplast genomes almost did not intersect with genes, except in H. ascyron, where the ndhF gene spanned the boundary by 11 bp.
Regarding gene arrangement, structure, and quantity, Cratoxylum plants were generally similar to outgroup plants but differed significantly from Hypericum plants. Notably, T. breviflorum’s chloroplast genome structure partially resembled that of Hypericum and Cratoxylum chloroplast genomes, appearing as a mosaic of chloroplast genomes from different genera. Additionally, there were differences in gene arrangement, structure, and quantity among the chloroplast genomes of Hypericum species. It can be preliminarily inferred that Hypericum plants underwent more nucleotide variations during evolution. Further analysis, as shown in the figure, indicates significant variation in the IR regions of Hypericum chloroplast genomes, with sizes ranging from 3231 bp to 26,846 bp, all dissimilar. This suggests that changes in the IRs region are the main reasons for the structural differences in Hypericum chloroplast genomes.

2.7. Sequence Diversity Analysis of the Chloroplast Genome

The mVISTA whole-genome sequence alignment tool was employed to analyze the sequence similarity of the chloroplast genomes of 16 plant species, visualizing the homology among them. The results indicated that the chloroplast genomes of Hypericum species exhibited high sequence similarity (Figure 9), suggesting relatively conserved genome structures at the gene sequence level. Similarly, the chloroplast genomes of Cratoxylum species also showed high sequence similarity but displayed significant differences when compared to Hypericum species. Notably, the chloroplast genome sequences of Cratoxylum species were highly similar to those of the outgroup species. Further analysis revealed that the IR regions of the 16 species exhibited less variation compared to the LSC and SSC regions. The chloroplast genome structure of Hypericum species was found to be less stable than that of Cratoxylum species, with significant differences between the genome structures of the two genera. Therefore, identifying highly variable nucleotide regions in the 16 chloroplast genomes is crucial for applications such as species phylogeny, molecular identification, and molecular barcoding. For example, in the LSC region, highly variable non-coding sequences included psbA-rbcL, trnV-UAC-trnL-UAA, ycf3-psaA, trnG-GCC-psbZ, psbD-trnT-GGU, atpI-atpH, accD-trnN-GUU, and trnT-UGU-rps4. Highly variable exonic sequences included the accD, rpoC2, and rpoB genes. In the SSC region, highly variable non-coding sequences included matK-trnN-GUU, psaI-rpl32, rpl32-matK, trnL-UAG-rpl32, rps15-ndhF, ndhD-ccsA, and ndhG-ndhI. Highly variable exonic sequences included the rpl32, rps4, rps15, ccsA, clpP, rpl33, rpl22, ycf2, and matK genes. For Hypericum species, the non-coding regions exhibited significant sequence differences, with many highly variable regions, while the exonic gene regions were relatively stable, with most of the highly variable regions concentrated in the SSC region. These highly variable regions could serve as potential molecular markers for species identification and germplasm resource development in Hypericum.

2.8. Nucleotide Polymorphism Analysis

Nucleotide polymorphism analysis identifies highly variable sites across the chloroplast genome, which is crucial for species identification and phylogenetic analysis. In this study, sliding window analysis was used to conduct nucleotide diversity (Pi) tests on 16 species, including Hypericaceae and outgroup plants, resulting in the identification of eight highly variable regions with 11 gene loci (Figure 10). The peaks in the line chart correspond to nucleotide polymorphism sites with respective Pi values. For instance, the Pi values for the rpl20 and rpl22 loci were 0.09245, and for the rpl33 and rpl36 loci were 0.1161, while the Pi values for the rps3 and rps4 loci were 0.13615. The highest nucleotide diversity was observed in the rps3 and rps4 regions (Pi value of 0.13615), followed by the rpl33 and rpl36 regions and the rps14 region, all with values greater than 0.06.

2.9. Phylogenetic Analysis

To analyze the phylogenetic relationships of the three Hypericum species, a phylogenetic tree of 16 species was constructed using the maximum likelihood (ML) method, assessing the phylogenetic relationships and positions of H. acmosepalum, H. addingtonii, and H. beanii. dN/dS analysis was performed on 53 protein-coding genes of the 16 species, and the ratio of synonymous (Ks) to non-synonymous (Ka) substitution rates (ω = Ka/Ks) was calculated using the CODEML tool in PAML. In Ka/Ks analysis, ω > 1 indicates positive selection; ω = 1 indicates neutral selection; ω < 1 indicates purifying selection (indicating that nucleotide changes are naturally occurring without selective pressure). As shown in Figure 11, we calculated the ω values of 53 protein-coding genes and selected 41 genes with ω values of 1 for constructing a phylogenetic tree using their CDS sequences (Figure 12). According to the molecular clock theory, nucleotide evolution rates among different lineages are roughly constant and proportional to time. Constructing an evolutionary tree using these sequences can visually represent species evolution, phylogenetic relationships, and divergence times.
The results showed high support values for all nodes in the ML tree topology. The phylogenetic tree indicated that Triadenum species shared a common ancestor with Hypericum species, suggesting a close relationship between Triadenum and Hypericum. In contrast, Cratoxylum species were more distantly related to Hypericum. In the Hypericum branch, H. hookerianum, H. acmosepalum, H. beanii, and H. addingtonii were closely related, with H. acmosepalum and H. beanii being the closest (support value of 100%). They also shared a common ancestor with H. hookerianum (support value of 84%). Additionally, the branch lengths in the phylogenetic tree for Hypericum species were longer compared to those of Cratoxylum species, indicating a higher degree of genetic variation among Hypericum species, which may be related to Hypericum’s strong adaptability.
Moreover, this study utilized data from the TimeTree online database, which constructs divergence time trees based on extensive published literature data (Figure 13). These data allow us to infer divergence times and phylogenetic relationships among different genera, explaining the structural differences in their chloroplast genomes. The divergence time tree indicated that Hypericum and Triadenum diverged from their common ancestor around 26.88 MYA (18.90–33.50 MYA), a time point calibrated through fossil records and molecular data [32,33,34]. This divergence time provides key evidence for the evolutionary relationship between the two genera. Cratoxylum diverged around 52.1 MYA, which may explain the similarities and differences in the chloroplast genome structures of the three genera. Based on fossil records and molecular clock calibration results, 52.1 MYA (38.5–77.0 MYA) is likely the earliest divergence time for Hypericaceae plants [15,35,36,37]. Within this time frame, the common ancestor of Hypericaceae species evolved for various reasons, leading to the differentiation of Cratoxylum species, which gradually increased over time. This reflects the unique position of Cratoxylum in the evolutionary history of Hypericaceae and explains the stability of its chloroplast genome structure. From 19.46 MYA (14.52–24.40 MYA), species such as H. hookerianum, H. acmosepalum, and H. beanii gradually evolved. Among them, H. perforatum is the first species to diverge within Hypericum, followed by H. ascyron, enriching the Hypericum family [15,36,38,39]. The phylogenetic tree clarified the evolutionary positions of H. acmosepalum, H. addingtonii, and H. beanii within Hypericum species and provided accurate data illustrating the phylogenetic relationships among Hypericaceae species.

3. Discussion

3.1. Structural Variations in the Chloroplast Genomes of Hypericum Species

In this study, we successfully elucidated the complete chloroplast genome sequences of Hypericum acmosepalum, Hypericum addingtonii, and Hypericum beanii and conducted an in-depth comparative genomic analysis. The results showed that the average size of the chloroplast genomes of these three species was 137,625 bp, with an average GC content of 37.9%, which is highly consistent with the structural characteristics, gene content, and arrangement of typical angiosperm chloroplast genomes. However, significant differences were observed in the chloroplast genomes among Hypericum species compared to other closely related species. By comparing the chloroplast genomes of seven Hypericum species, six Cratoxylum species, and one Triadenum species, we found that the quadripartite structure size varied significantly in Hypericum, especially in the IR region, spanning from 3231 bp to 26,846 bp, and that rearrangements and deletions accompany genes such as ndhF, rps19, and rpl2, suggesting instability in the chloroplast genome structure of Hypericum species. Xinyu Liu et al. demonstrated that sequence rearrangements and deletions in the genome are among the reasons for variation in genome size [7], which is consistent with our results. This genome compression may enhance replication efficiency and reduce energy consumption, potentially providing advantages in their respective environments.
To investigate the causes of structural differences in chloroplast genomes, we analyzed long-repeat sequences. The results showed that, unlike the outgroup plants, Hypericaceae plants only had forward and palindromic repeats, with no complement or reverse repeats. Cratoxylum plants had similar numbers of forward and palindromic repeats, with a roughly 1:1 ratio and predominantly small-fragment repeats less than 30 bp. In contrast, Hypericum had more large-fragment repeats, mainly concentrated in forward repeats, with a forward-to-palindromic repeat ratio trending towards 2:1. Claude et al. suggested that repeat sequences might contribute to rearrangements, which are considered one of the causes of gene structure variations [40]. Therefore, the high content of long-repeat sequences in Hypericum might indicate a higher tendency for genome rearrangements, potentially explaining the structural variations in Hypericum chloroplast genomes.
Furthermore, the contraction and expansion of the IR region are considered important mechanisms for chloroplast genome structural variation and evolution [24,41,42]. Comparative analysis of the chloroplast genomes of 16 species revealed significant structural differences, with Cratoxylum exhibiting relatively stable genome structures and Hypericum showing more pronounced differences. In the chloroplast genomes of the seven Hypericum species, the boundaries mostly did not overlap with genes, except for genes located near the boundaries. For example, the IRb–SSC boundary deviated by 25 bp from the ndhF gene in most Hypericum chloroplast genomes. Notably, the rps15 and rrn16 genes, instead of the ndhF gene, were present at the corresponding position in the chloroplast genomes of H. acmosepalum and H. addingtonii, while the ndhF gene was absent in H. beanii. In addition, the substituted ndhF genes in H. acmosepalum and H. addingtonii are found in the SSC and LSC regions, respectively. This suggests that structural changes in the chloroplast genome might be related to variations in the IR region. In the chloroplast genomes of Hypericum, the size of the IR region varied significantly, ranging from 3231 bp to 26,846 bp, with dissimilar sizes in the IR regions of the seven Hypericum species. The data testified to the above view.
Using CodonW software, we analyzed the codon usage preferences of protein-coding genes in the chloroplast genomes of 16 species. The results indicated that 64 codons were utilized, with leucine (Leu) being the most frequently encoded amino acid, followed by isoleucine (Ile) and serine (Ser). The most commonly used codons for these amino acids were TTA, ATT, and TCT, respectively. Previous studies have shown that GC content is closely related to mutational pressure or natural selection, and that mutational pressure acts on GC3s [43]. According to the ENC plot of the 16 species, most genes exhibited specific codon preferences, with GC3s values primarily around 0.25–0.30, suggesting a stronger preference for A and T bases in coding genes. Most genes clustered near the expected curve, implying that the codon usage bias is predominantly influenced by mutational pressure resulting from environmental stress, consistent with Claude et al.’s findings [40]. This suggests that high base mutation rates may play a significant role in the evolution of Hypericum species, while differences in codon usage frequencies among species could be related to evolutionary status, living environments, and base composition [7]. Furthermore, SSRs exhibit a preference for A and T bases as well. The two hydrogen bonds formed by A/T base pairing are more susceptible to breakage compared to the three hydrogen bonds formed by G/C base pairing. Consequently, the preference for A and T bases in the chloroplast genome of Hypericum species may be a contributing factor to their strong environmental adaptability and significant genomic structural variations. The formation of the preference for A and T bases may be related to the accumulation of G/C→A/T mutations during DNA replication and repair processes, as well as facilitating the unwinding of the strand during transcription and replication [44]. However, further research is needed to elucidate the underlying mechanisms.

3.2. Molecular Marker Development and Species Identification of Hypericum

For Hypericum species, whether for studying plant evolutionary relationships or for medicinal production, developing molecular markers and conducting species identification are essential. High-efficiency molecular markers can be utilized for species identification of Hypericum plants with medicinal value at any stage of preservation, enabling the distinction between morphologically similar species with low pharmaceutical efficacy and facilitating the large-scale cultivation of Hypericum medicinal plants [45]. Among them, the characteristics of SSR (simple sequence repeat) molecular markers are conducive to distinguishing between homozygotes and heterozygotes. When traits of interest are associated with genes, molecular markers can be used to select appropriate parents, facilitating efficient plant breeding based on genetic information [46,47,48,49]. This study analyzed the number and repeat types of SSRs in the chloroplast genomes of 16 species. The results showed that SSRs in Hypericum chloroplast genomes were primarily distributed in the LSC region and mainly consisted of mononucleotide repeats. Subsequently, the types, quantities, and locations of SSRs in H. acmosepalum, H. addingtonii, and H. beanii were statistically analyzed. The findings indicated that SSRs exhibited rich polymorphism among closely related species, predominantly located in intergenic regions and intron sequences, covering genes such as ndhA, petB, atpF, ycf3, rps19, rpl2, ndhH, and rps12. Notably, the ndhH gene is associated with stress responses [50]. Studies have shown that the IR region is highly variable in the chloroplast genome. The differences observed in genes such as rps19 and rpl2 in H. acmosepalum, H. addingtonii, and H. beanii, compared to other Hypericum species within the chloroplast genome IR regions, suggest that SSR polymorphism may be related to the expansion and contraction of its boundaries, which can alter the distribution positions of some SSR sites [51]. This provides data support for identifying potential molecular markers for species identification and molecular breeding.
To understand the evolutionary characteristics of Hypericum chloroplast genomes, we conducted whole-genome comparisons using the mVISTA software. The results revealed that the chloroplast genomes of Hypericaceae species were relatively conserved within the same genus, while differences were more pronounced among different genera. Based on the comparison results, we identified several highly variable regions, such as the accD, rpl22, and rpoB genes in the LSC region, and the matK, rpl32, rpl22, rpl33, and rps4 genes in the SSC region. Further analysis using DnaSP6 software identified highly variable sites among the 16 species, including Hypericaceae and outgroup plants, revealing 11 gene loci: accD, atpI, rpl20, rpl22, rpl33, rpl36, rpoC2, rps11, rps14, rps33, and rps4. These loci exhibited high nucleotide diversity indices among the common coding genes of the 16 species. These variable regions are expected to provide potential molecular markers or DNA barcodes for Hypericum species identification, germplasm resource development, and elucidation of the evolutionary relationships of Hypericaceae.

3.3. Evolutionary Relationships of Hypericum Species

Regarding the phylogenetic relationships of Hypericum, this study found that Hypericum monogynum had the shortest branch length in the phylogenetic tree, indicating it diverged from the common ancestor most recently, followed by H. addingtonii. Hypericum hookerianum, H. beanii, and H. acmosepalum followed in divergence. H. hookerianum and H. acmosepalum were closely related, with H. acmosepalum being more closely related to H. beanii, supported by a value of 100%, indicating they are the closest relatives.
In 2012, Robson et al. morphologically classified Triadenum as a genus adjacent but distinct from Hypericum. In 2013, Nürk et al. [2] conducted a phylogenetic analysis of Hypericaceae using ITS sequences of nuclear DNA and classified Triadenum within Hypericum, which led to significant disagreement. In this study, phylogenetic analyses of the chloroplast genomes of Hypericum, Triadenum, and Cratoxylum were performed. The results showed that although the evolutionary position of Triadenum is close to Hypericum, Figure 8 indicates that the chloroplast gene structure of Triadenum is partially similar to that of Hypericum (SSC region and part of the IR region) and partially similar to that of Cratoxylum (LSC region and part of the IR region). Furthermore, the divergence time analysis in Figure 13 reveals that Triadenum diverged earlier than Hypericum, roughly by 7.42 million years ago (MYA). These data suggest a high probability that Triadenum is a genus adjacent but distinct from Hypericum. These findings support the independent divergent status of Triadenum at the molecular level. Additionally, the phylogenetic tree constructed by Nürk et al. using ITS sequences provided unclear phylogenetic relationships among H. beanii, H. hookerianum, and H. acmosepalum, with support values below 70%, indicating low data reliability. In contrast, chloroplast genomes, characterized by simple structures, conserved sequences, and moderate evolutionary rates, offer higher resolution and reliability for constructing phylogenetic trees [31]. Figure 12 clarifies the phylogenetic relationships among H. beanii, H. hookerianum, and H. acmosepalum, with a support value of 84%, indicating reliable data. H. acmosepalum and H. beanii are the closest relatives, while H. hookerianum is the sister species to both H. acmosepalum and H. beanii. H. addingtonii shares a common ancestor with H. acmosepalum, H. beanii, and H. hookerianum, supported by 100%, 84%, and 100%, respectively. Notably, in our study, the branch length of H. monogynum in the phylogenetic tree was shorter than that of H. addingtonii, with a support value of 100%, indicating that H. monogynum experienced more nucleotide variation than H. addingtonii, contrary to Nürk et al.’s phylogenetic analysis results for H. monogynum and H. addingtonii. This provides additional data for studying the complete phylogenetic relationships of Hypericum. This study used chloroplast genome data to achieve higher support values and resolution, providing more reliable evidence for elucidating the evolutionary history of Hypericum species.

3.4. Implications for Sustainable Agriculture and Medicinal Plant Conservation

This study’s findings have significant implications for sustainable agriculture and the conservation of medicinal Hypericum species. We identified highly variable regions in both coding and non-coding areas of the chloroplast genome, providing a comprehensive set of molecular tools for crop improvement and conservation efforts. In the LSC region, we found highly variable coding sequences (accD, rpoC2, rpoB) and non-coding sequences (psbA-rbcL, trnV-UAC-trnL-UAA, trnG-GCC-psbZ, psbD-trnT-GGU, atpI-atpH, accD-trnN-GUU). The SSC region also showed variable coding sequences (matK, rpl32, rpl33, rps4) and non-coding sequences (matK-trnN-GUU, psaI-rpl32, rps15-ndhF). These diverse markers can be utilized in marker-assisted selection programs to develop Hypericum varieties with enhanced medicinal properties or improved agricultural traits. For instance, the accD gene and its adjacent non-coding region (accD-trnN-GUU) could be targets for improving fatty acid biosynthesis and overall plant metabolism. The rpoB and rpoC2 genes, along with intergenic regions like psbA-rbcL, might be explored for developing varieties with improved stress tolerance, a key factor in sustainable cultivation [52]. The various ribosomal protein genes and their associated intergenic regions provide multiple targets for investigating plant growth and development, potentially leading to more robust and productive Hypericum varieties.
The SSR and long-repeat sequence data, combined with the identified variable re-gions, offer powerful tools for genetic diversity assessment, crucial for both breeding programs and conservation strategies. By analyzing these markers across different Hypericum populations, we can gain comprehensive insights into the genetic structure and diversity of these species. This information is essential for identifying unique genetic resources and prioritizing populations for conservation. For example, populations with high diversity in both coding genes and intergenic regions could be given priority in conservation efforts to preserve maximum genetic variability. In breeding programs, these genetic diversity data can guide the selection of parental lines to maximize heterosis and develop varieties with improved traits. The intergenic regions, particularly those like trnV-UAC-trnL-UAA and trnG-GCC-psbZ, which are known to be highly variable in many plant species, could be especially useful for distinguishing closely related Hypericum species or populations.
The molecular tools developed in this study, including both coding and non-coding regions, have significant applications in the authentication of Hypericum species used in herbal products, contributing to sustainable use and conservation. Accurate identification is crucial in the medicinal plant industry to ensure product quality and efficacy. The highly variable regions identified, such as the matK gene and intergenic spacers like psbD-trnT-GGU and atpI-atpH, could serve as effective DNA barcodes for species authentication. This application extends beyond quality control in the herbal product industry; it can also aid in monitoring wild harvesting practices and prevent the overexploitation of rare Hypericum species. By providing a reliable means of species identification using both coding and non-coding markers, these molecular tools can support the development of sustainable wildcrafting guidelines and help balance conservation needs with the commercial use of Hypericum species [53]. Future research should focus on validating these markers across a wider range of Hypericum species and populations, developing user-friendly, cost-effective authentication protocols, and exploring how the diversity in these regions correlates with medicinal properties and environmental adaptations.

4. Materials and Methods

4.1. Sample Collection and DNA Extraction

Wild Hypericum plants (Hypericum acmosepalum, Hypericum addingtonii, and Hypericum beanii) were collected from the field in Kunming, Yunnan. The twigs and leaves of H. acmosepalum, H. addingtonii, and H. beanii were collected by Kunming Zhifen Biotechnology Company from Yunnan Province in June 2020. The authentication of the plant material was also carried out by the company. Fresh leaves from each of the three Hypericum species were harvested, sealed, and transported to the laboratory for genomic DNA extraction. The leaves were quickly frozen in liquid nitrogen and ground using a mortar and pestle. Genomic DNA was extracted from the pulverized samples using the Magen Plant DNA Extraction Kit. The concentration and purity of the DNA were evaluated using a NanoDrop 2000 spectrophotometer.

4.2. DNA Sequencing and Assembly

DNA sequencing was performed by Shanghai Yuanxin BioPharmaceutical Technology Co., Ltd. (Shanghai, China), using the Illumina NovaSeq6000 sequencing platform. The quality and integrity of the genomic DNA were initially assessed via 1% agarose gel electrophoresis. Qualified samples were then fragmented to suitable sizes by ultrasonic shearing, followed by end repair and purification to construct sequencing libraries for high-throughput sequencing. Base-calling analysis converted the raw image data files from sequencing into FASTQ format. Cutadapt V1.16 [54] was used to filter raw reads, removing low-quality sequences, adapter sequences, sequences with a high percentage of Ns (>10%), and sequences with a quality score below Q20. Quality control checks were performed using FastQC V0.11.4 [55] to obtain clean reads of acceptable quality. The clean reads were saved in FASTQ format for further analysis to ensure the reliability of the results.
De novo assembly of the chloroplast genomes was performed using three software tools: NOVOPlasty V4.2 [56], Fast-plast V1.2.8 [57], and GetOrganelle V1.7.0+ [58], with cross-validation to confirm the accuracy of the assembly. The most optimal assembly result was selected. The assembled chloroplast genomes were confirmed to be complete and circular.

4.3. Chloroplast Genome Annotation

Chloroplast genome gene prediction and annotation were conducted using tools such as PGA (https://github.com/quxiaojian/PGA) (accessed on 20 December 2023) [59] and GeSeq (https://chlorobox.mpimp-golm.mpg.de/geseq.html) (accessed on 20 December 2023) [60]. Manual correction of annotation results for all samples was performed using Notepad++ and Geneious [61]. Subsequently, annotated genome sequence files were submitted to OGDRAW (http://ogdraw.mpimp-golm.mpg.de) (accessed on 22 December 2023) [62] using default settings to establish the localization of inverted repeat sequences (IRs) relative to large single-copy (LSC) and small single-copy (SSC) regions, aiding in the creation of physical maps of the circular chloroplast genomes. The annotated chloroplast genome sequence files were submitted to the National Center for Biotechnology Information (NCBI) database (https://www.ncbi.nlm.nih.gov/) (accessed on 30 August 2024) to obtain genome accession numbers: Hypericum acmosepalum (SRR30615080), Hypericum addingtonii (SRR30615079), and Hypericum beanie (SRR30615078).

4.4. SSRs, Long Repeats, and Codon Usage Analysis

Simple sequence repeats (SSRs) in the chloroplast genomes of Hypericum species were analyzed using MISA (https://webblast.ipk-gatersleben.de/misa/) (accessed on 8 February 2024) [63], identifying the types, quantities, and loci of SSRs in the whole chloroplast genome sequences of the three Hypericum species. The analysis parameters were set as follows: the minimum repeat unit number for mononucleotides was set to 10, for dinucleotides to 6, and for trinucleotides, tetranucleotides, pentanucleotides, and hexanucleotides to 5. The maximum allowable interruption between SSRs was set to 100 base pairs (bp).
Long-repeat sequences, including palindromic, forward, reverse, and complementary repeats, were detected in the chloroplast genome sequences using the REPuter [64] online tool (https://bibiserv.cebitec.uni-bielefeld.de/reputer?id=reputer_manual_manual) (accessed on 8 February 2024) with the following parameters: Hamming distance of 3 and minimum repeat size of 30 bp. Additionally, relative synonymous codon usage (RSCU) of protein-coding genes was analyzed using CodonW (version 1.4.4, written by John Peden, http://sourceforge.net/projects/codonw) (accessed on 8 February 2024) [65] to study codon usage preferences of the target organisms.

4.5. Genome Comparison and Structural Analysis

Comparative maps of the IR boundary regions were created using IRScope (https://irScope.shinyapps.io/Irapp/) (accessed on 24 February 2024) [66] to quantitatively compare the gene features of each boundary region (LSC–IRa, Ira–SSC, SSC–IRb, IRb–LSC) and adjacent genes, providing an intuitive analysis of boundary changes in the evolutionary history of Hypericaceae species. The chloroplast genome sequences were aligned and visualized using the mVISTA [67] online tool (https://genome.lbl.gov/vista/mvista/submit.shtml) (accessed on 24 February 2024) in Shuffle-LAGAN global alignment mode with other parameters set to default to detect gene rearrangements and inversions within cp genomes.

4.6. Phylogenetic Analysis and Nucleotide Polymorphism Analysis

For the phylogenetic analysis of the sequenced Hypericum species, the chloroplast genomes of 14 Hypericaceae species and 2 Populus species (used as outgroups) were selected, with 13 species’ chloroplast genome sequences obtained from the NCBI database. Multiple sequence alignments of the 16 genomes were performed using MAFFT (v7.158b) [68]. Phylogenetic analysis was conducted using the maximum likelihood (ML) method based on single-copy genes (CDS) with RAxML v8.2.12 [69] to obtain the optimal ML tree.
To uncover the phylogenetic relationships among Hypericaceae species and the connection between chloroplast genome structure and species evolution, an online platform (https://www.timetree.org/) (accessed on 23 April 2024) was utilized to retrieve literature data from publication databases such as Google Scholar and PubMed, focusing on records of divergence times for Hypericaceae species. Based on these data, 10 Hypericaceae species and one outgroup plant were selected for the construction of a time-calibrated phylogenetic tree. TimeTree aggregates the previously reported times within the confidence intervals using the median value, minimizing the influence of outliers. It further adjusts the time nodes according to the divergence times of all direct descendants of the species, ensuring the credibility of the time nodes [70].
Additionally, nucleotide polymorphism analysis of the multiple sequence alignment results was performed using DnaSP v6.12 [71], and the results were plotted as a line graph.

5. Conclusions

In conclusion, this study reported for the first time the complete chloroplast genomes of Hypericum acmosepalum, Hypericum addingtonii, and Hypericum beanii and revealed the evolutionary characteristics of the chloroplast genomes of Hypericum and its closely related groups through comparative genomics analysis. The study found that the chloroplast genomes of these three plants exhibited significant differences in structural characteristics, gene content, and arrangement compared to other Hypericum species. The primary distinctions lie in the contraction and expansion of the inverted repeat (IR) regions, which alter the structure and gene distribution of the chloroplast genomes.
Analysis of long-repeat sequences and SSRs showed that Hypericum chloroplast genomes have rich polymorphism, especially in the mononucleotide repeats of the LSC region. These repeat sequences provide potential molecular markers for species identification and molecular breeding. This finding offers valuable genetic information for assessing the genetic diversity of wild Hypericum populations, enabling species identification for large-scale cultivation of medicinal Hypericum species and facilitating the development of improved Hypericum varieties.
Phylogenetic analysis and divergence time trees demonstrated the unique evolutionary characteristics of Hypericum species in terms of phylogenetic relationships and divergence times. The evolutionary affinities among H. acmosepalum, H. addingtonii, and H. beanii were analyzed. Comparative genomic analysis provides molecular data support for Triadenum as a genus that is phylogenetically close but independent from Hypericum, indicating the independent differentiation status of Triadenum.
This study provides important molecular marker resources for phylogenetic analysis, species identification, and genetic diversity studies of Hypericum and its closely related groups. It also offers new perspectives for further exploring the evolutionary mechanisms and functions of Hypericum chloroplast genomes. Furthermore, the findings of this research have significant implications for sustainable agriculture and medicinal plant conservation. The obtained molecular markers and genetic insights provide tools for molecular breeding to cultivate species with genes conferring resistance to environmental stress, thereby facilitating large-scale cultivation of medicinal Hypericum plants. Future research should focus on translating these genomic insights into practical applications for sustainable Hypericum cultivation and conservation.

Supplementary Materials

The supporting information can be downloaded at https://www.mdpi.com/article/10.3390/ijms26010323/s1.

Author Contributions

K.Y.: conceptualization, funding acquisition, project administration, supervision, writing—review and editing; X.L.: data curation, software, data visualization and graphics optimization, formal analysis, methodology, writing—review and editing, writing—original draft; W.L.: data analysis and interpretation, writing—review and editing, writing—original draft; C.S.: funding acquisition, review and editing; X.Z.: data curation, review and editing; Y.W.: data curation, review and editing. All authors have read and agreed to the published version of the manuscript.

Funding

This research was funded by the National Natural Science Foundation of China (grant number 32060502), the Lanzhou Talent Innovation and Entrepreneurship Project (grant number 2017-RC-39), and GAU funding (grant number Gaufx-05Y03).

Institutional Review Board Statement

Not applicable.

Informed Consent Statement

Not applicable.

Data Availability Statement

The datasets presented in this study can be found in Supplementary Materials.

Acknowledgments

We acknowledge Chen Lei for his technical support.

Conflicts of Interest

The authors declare no conflicts of interest.

References

  1. Byrne, C.; Parnell, J.; Chayamarit, K. Systematics of the Thai Calophyllaceae and Hypericaceae with Comments on the Kielmeyeroidae (Clusiaceae). Thai For. Bull. (Bot.) 2018, 46, 162–216. [Google Scholar] [CrossRef][Green Version]
  2. Nürk, N.M.; Madriñán, S.; Carine, M.A.; Chase, M.W.; Blattner, F.R. Molecular Phylogenetics and Morphological Evolution of St. John’s Wort (Hypericum; Hypericaceae). Mol. Phylogenet. Evol. 2013, 66, 1–16. [Google Scholar] [CrossRef] [PubMed]
  3. Wang, W.; Zou, P.; Liu, G.; Dai, S. Characterization of the Complete Chloroplast Genome Sequence of Sarcandra Glabra (Chloranthales). Mitochondrial DNA B Resour. 2020, 5, 864–865. [Google Scholar] [CrossRef] [PubMed]
  4. Istikoglou, C.I.; Mavreas, V.; Geroulanos, G. History and Therapeutic Properties of Hypericum perforatum from Antiquity until Today. Psychiatriki 2010, 21, 332–338. [Google Scholar]
  5. Nobakht, S.Z.; Akaberi, M.; Mohammadpour, A.H.; Tafazoli, A.; Emami, S.A. Hypericum perforatum: Traditional Uses, Clinical Trials, and Drug Interactions. Iran. J. Basic Med. Sci. 2022, 25, 1045–1058. [Google Scholar] [CrossRef]
  6. Ji, Y.; Zhang, R.; Bensalel, J.; Morcol, T.; Gu, R.; Gallego-Delgado, J.; Kennelly, E.J.; Long, C. Metabolomic and Chemometric Analyses of St. John’s Wort and Related Asian Hypericum Species Linked to Bioactivity. J. Ethnopharmacol. 2024, 329, 118163. [Google Scholar] [CrossRef]
  7. Liu, X.; Bai, Y.; Wang, Y.; Chen, Y.; Dong, W.; Zhang, Z. Complete Chloroplast Genome of Hypericum perforatum and Dynamic Evolution in Hypericum (Hypericaceae). Int. J. Mol. Sci. 2023, 24, 16130. [Google Scholar] [CrossRef]
  8. Kapoor, S.; Chandel, R.; Kaur, R.; Kumar, S.; Kumar, R.; Janghu, S.; Kaur, A.; Kumar, V. The Flower of Hypericum perforatum L.: A Traditional Source of Bioactives for New Food and Pharmaceutical Applications. Biochem. Syst. Ecol. 2023, 110, 104702. [Google Scholar] [CrossRef]
  9. Guo, Y.; Xu, Q.; Tao, B.; Huang, X.; Cao, Y.; Sun, W.; Qi, C.; Zhu, H.; Zhang, Y. Hyperatins A–D, Highly Oxidized Polycyclic Polyprenylated Acylphloroglucinols from Hypericum perforatum L. with Hypoglycemic Potential in Liver Cells. Phytochemistry 2024, 221, 114047. [Google Scholar] [CrossRef]
  10. Dinamarca, M.C.; Cerpa, W.; Garrido, J.; Hancke, J.L.; Inestrosa, N.C. Hyperforin Prevents β-Amyloid Neurotoxicity and Spatial Memory Impairments by Disaggregation of Alzheimer’s Amyloid-β-Deposits. Mol. Psychiatry 2006, 11, 1032–1048. [Google Scholar] [CrossRef]
  11. Abegg, V.F.; Panajatovic, M.V.; Mancuso, R.V.; Allard, J.A.; Duthaler, U.; Odermatt, A.; Krähenbühl, S.; Bouitbir, J. Mechanisms of Hepatocellular Toxicity Associated with the Components of St. John’s Wort Extract Hypericin and Hyperforin in HepG2 and HepaRG Cells. Toxicol. Lett. 2024, 393, 1–13. [Google Scholar] [CrossRef] [PubMed]
  12. Li, X.-X.; Yan, Y.; Zhang, J.; Ding, K.; Xia, C.-Y.; Pan, X.-G.; Shi, Y.-J.; Xu, J.-K.; He, J.; Zhang, W.-K. Hyperforin: A Natural Lead Compound with Multiple Pharmacological Activities. Phytochemistry 2023, 206, 113526. [Google Scholar] [CrossRef]
  13. Kwiecień, I.; Nicosia, N.; Ekiert, H. Cultivation of Hypericum perforatum (St. John’s Wort) and Biotechnological Approaches for Improvement of Plant Raw Material Quality. In Medicinal Plants: Domestication, Biotechnology and Regional Importance; Ekiert, H.M., Ramawat, K.G., Arora, J., Eds.; Springer International Publishing: Cham, Switzerland, 2021; pp. 253–291. ISBN 978-3-030-74779-4. [Google Scholar]
  14. Crockett, S.L.; Robson, N.K.B. Taxonomy and Chemotaxonomy of the Genus Hypericum. Med. Aromat. Plant Sci. Biotechnol. 2011, 5, 1–13. [Google Scholar] [PubMed]
  15. Meseguer, A.S.; Aldasoro, J.J.; Sanmartín, I. Bayesian Inference of Phylogeny, Morphology and Range Evolution Reveals a Complex Evolutionary History in St. John’s Wort (Hypericum). Mol. Phylogenet. Evol. 2013, 67, 379–403. [Google Scholar] [CrossRef]
  16. Raven, J.A.; Allen, J.F. Genomics and Chloroplast Evolution: What Did Cyanobacteria Do for Plants? Genome Biol. 2003, 4, 209. [Google Scholar] [CrossRef]
  17. Chen, X.-H.; Ding, L.-N.; Zong, X.-Y.; Xu, H.; Wang, W.-B.; Ding, R.; Qu, B. The Complete Chloroplast Genome Sequences of Four Liparis Species (Orchidaceae) and Phylogenetic Implications. Gene 2023, 888, 147760. [Google Scholar] [CrossRef]
  18. Petit, R.J.; Duminil, J.; Fineschi, S.; Hampe, A.; Salvini, D.; Vendramin, G.G. Comparative Organization of Chloroplast, Mitochondrial and Nuclear Diversity in Plant Populations. Mol. Ecol. 2005, 14, 689–701. [Google Scholar] [CrossRef]
  19. Jansen, R.K.; Raubeson, L.A.; Boore, J.L.; dePamphilis, C.W.; Chumley, T.W.; Haberle, R.C.; Wyman, S.K.; Alverson, A.J.; Peery, R.; Herman, S.J.; et al. Methods for Obtaining and Analyzing Whole Chloroplast Genome Sequences. Methods Enzym. 2005, 395, 348–384. [Google Scholar] [CrossRef]
  20. Jiang, H.; Tian, J.; Yang, J.; Dong, X.; Zhong, Z.; Mwachala, G.; Zhang, C.; Hu, G.; Wang, Q. Comparative and Phylogenetic Analyses of Six Kenya Polystachya (Orchidaceae) Species Based on the Complete Chloroplast Genome Sequences. BMC Plant Biol. 2022, 22, 177. [Google Scholar] [CrossRef]
  21. Kim, J.E.; Kim, S.-C.; Jang, J.E.; Gil, H.-Y. Complete Chloroplast Genome Sequence of Adenostemma madurense (Asteraceae). J. Asia-Pac. Biodivers. 2023, 16, 710–714. [Google Scholar] [CrossRef]
  22. Tonti-Filippini, J.; Nevill, P.G.; Dixon, K.; Small, I. What Can We Do with 1000 Plastid Genomes? Plant J. 2017, 90, 808–818. [Google Scholar] [CrossRef]
  23. Lao, X.-L.; Meng, Y.; Wu, J.; Wen, J.; Nie, Z.-L. Plastid Genomes Provide Insights into the Phylogeny and Chloroplast Evolution of the Paper Daisy Tribe Gnaphalieae (Asteraceae). Gene 2024, 901, 148177. [Google Scholar] [CrossRef]
  24. Li, D.-M.; Pan, Y.-G.; Liu, H.-L.; Yu, B.; Huang, D.; Zhu, G.-F. Thirteen Complete Chloroplast Genomes of the Costaceae Family: Insights into Genome Structure, Selective Pressure and Phylogenetic Relationships. BMC Genom. 2024, 25, 68. [Google Scholar] [CrossRef]
  25. He, L.; Qian, J.; Li, X.; Sun, Z.; Xu, X.; Chen, S. Complete Chloroplast Genome of Medicinal Plant Lonicera Japonica: Genome Rearrangement, Intron Gain and Loss, and Implications for Phylogenetic Studies. Molecules 2017, 22, 249. [Google Scholar] [CrossRef]
  26. Martín, M.; Sabater, B. Plastid Ndh Genes in Plant Evolution. Plant Physiol. Biochem. 2010, 48, 636–645. [Google Scholar] [CrossRef]
  27. Tsukazaki, H. Simple Sequence Repeat. In The Allium Genomes; Shigyo, M., Khar, A., Abdelrahman, M., Eds.; Springer International Publishing: Cham, Switzerland, 2018; pp. 113–127. ISBN 978-3-319-95825-5. [Google Scholar]
  28. Yang, H.; Li, X.; Liu, D.; Chen, X.; Li, F.; Qi, X.; Luo, Z.; Wang, C. Genetic Diversity and Population Structure of the Endangered Medicinal Plant Phellodendron amurense in China Revealed by SSR Markers. Biochem. Syst. Ecol. 2016, 66, 286–292. [Google Scholar] [CrossRef]
  29. Lyu, X.; Yang, Q.; Zhao, F.; Liu, Y. Codon Usage and Protein Length-Dependent Feedback from Translation Elongation Regulates Translation Initiation and Elongation Speed. Nucleic Acids Res. 2021, 49, 9404–9423. [Google Scholar] [CrossRef]
  30. Shen, Z.; Gan, Z.; Zhang, F.; Yi, X.; Zhang, J.; Wan, X. Analysis of Codon Usage Patterns in Citrus Based on Coding Sequence Data. BMC Genom. 2020, 21, 234. [Google Scholar] [CrossRef]
  31. Daniell, H.; Lin, C.-S.; Yu, M.; Chang, W.-J. Chloroplast Genomes: Diversity, Evolution, and Applications in Genetic Engineering. Genome Biol. 2016, 17, 134. [Google Scholar] [CrossRef]
  32. Davies, T.J.; Wolkovich, E.M.; Kraft, N.J.B.; Salamin, N.; Allen, J.M.; Ault, T.R.; Betancourt, J.L.; Bolmgren, K.; Cleland, E.E.; Cook, B.I.; et al. Phylogenetic Conservatism in Plant Phenology. J. Ecol. 2013, 101, 1520–1530. [Google Scholar] [CrossRef]
  33. Nürk, N.M.; Scheriau, C.; Madriñán, S. Explosive Radiation in High Andean Hypericum-Rates of Diversification among New World Lineages. Front. Genet. 2013, 4, 175. [Google Scholar] [CrossRef]
  34. Elliott, T.L.; Davies, T.J. Phylogenetic Attributes, Conservation Status and Geographical Origin of Species Gained and Lost over 50 Years in a UNESCO Biosphere Reserve. Biodivers. Conserv. 2019, 28, 711–728. [Google Scholar] [CrossRef]
  35. Ramírez-Barahona, S.; Sauquet, H.; Magallón, S. The Delayed and Geographically Heterogeneous Diversification of Flowering Plant Families. Nat. Ecol. Evol. 2020, 4, 1232–1238. [Google Scholar] [CrossRef]
  36. Li, H.-T.; Yi, T.-S.; Gao, L.-M.; Ma, P.-F.; Zhang, T.; Yang, J.-B.; Gitzendanner, M.A.; Fritsch, P.W.; Cai, J.; Luo, Y.; et al. Origin of Angiosperms and the Puzzle of the Jurassic Gap. Nat. Plants 2019, 5, 461–470. [Google Scholar] [CrossRef]
  37. Ruhfel, B.R.; Bove, C.P.; Philbrick, C.T.; Davis, C.C. Dispersal Largely Explains the Gondwanan Distribution of the Ancient Tropical Clusioid Plant Clade. Am. J. Bot. 2016, 103, 1117–1128. [Google Scholar] [CrossRef]
  38. Zhang, Q.; Ye, J.-F.; Le, C.-T.; Njenga, D.M.; Rabarijaona, N.R.; Omollo, W.O.; Lu, L.-M.; Liu, B.; Chen, Z.-D. New Insights into the Formation of Biodiversity Hotspots of the Kenyan Flora. Divers. Distrib. 2022, 28, 2696–2711. [Google Scholar] [CrossRef]
  39. Nürk, N.M.; Uribe-Convers, S.; Gehrke, B.; Tank, D.C.; Blattner, F.R. Oligocene Niche Shift, Miocene Diversification—Cold Tolerance and Accelerated Speciation Rates in the St. John’s Worts (Hypericum, Hypericaceae). BMC Evol. Biol. 2015, 15, 80. [Google Scholar] [CrossRef]
  40. Claude, S.-J.; Park, S.; Park, S. Gene Loss, Genome Rearrangement, and Accelerated Substitution Rates in Plastid Genome of Hypericum Ascyron (Hypericaceae). BMC Plant Biol. 2022, 22, 135. [Google Scholar] [CrossRef]
  41. Zhang, L.; Yi, C.; Xia, X.; Jiang, Z.; Du, L.; Yang, S.; Yang, X. Solanum aculeatissimum and Solanum torvum Chloroplast Genome Sequences: A Comparative Analysis with Other Solanum Chloroplast Genomes. BMC Genom. 2024, 25, 412. [Google Scholar] [CrossRef]
  42. Bai, X.; Wang, G.; Ren, Y.; Su, Y.; Han, J. Insights into Taxonomy and Phylogenetic Relationships of Eleven Aristolochia Species Based on Chloroplast Genome. Front. Plant Sci. 2023, 14, 1119041. [Google Scholar] [CrossRef]
  43. Tyagi, S.; Kabade, P.G.; Gnanapragasam, N.; Singh, U.M.; Gurjar, A.K.S.; Rai, A.; Sinha, P.; Kumar, A.; Singh, V.K. Codon Usage Provide Insights into the Adaptation of Rice Genes under Stress Condition. Int. J. Mol. Sci. 2023, 24, 1098. [Google Scholar] [CrossRef]
  44. Zhou, P.; Silverstein, K.A.T.; Ramaraj, T.; Guhlin, J.; Denny, R.; Liu, J.; Farmer, A.D.; Steele, K.P.; Stupar, R.M.; Miller, J.R.; et al. Exploring Structural Variation and Gene Family Architecture with De Novo Assemblies of 15 Medicago Genomes. BMC Genom. 2017, 18, 261. [Google Scholar] [CrossRef]
  45. Food and Agriculture Organization of the United Nations. Genebank Standards for Plant Genetic Resources for Food and Agriculture; Food and Agriculture Organization of the United Nations: Rome, Italy, 2013; ISBN 978-92-5-107855-6. [Google Scholar]
  46. Raffard, A.; Santoul, F.; Cucherousset, J.; Blanchet, S. The Community and Ecosystem Consequences of Intraspecific Diversity: A Meta-Analysis. Biol. Rev. 2019, 94, 648–661. [Google Scholar] [CrossRef]
  47. Bhanu, A.N. Assessment of Genetic Diversity in Crop Plants—An Overview. Adv. Plants Agric. Res. 2017, 7, 279–286. [Google Scholar] [CrossRef]
  48. Temesgen, B. Role and Economic Importance of Crop Genetic Diversity in Food Security. J. Agric. Sci. Food Technol. 2021, 7, 164–169. [Google Scholar] [CrossRef]
  49. Guichoux, E.; Lagache, L.; Wagner, S.; Chaumeil, P.; Léger, P.; Lepais, O.; Lepoittevin, C.; Malausa, T.; Revardel, E.; Salin, F.; et al. Current Trends in Microsatellite Genotyping. Mol. Ecol. Resour. 2011, 11, 591–611. [Google Scholar] [CrossRef]
  50. Zhang, Y.; Fan, Y.; Lv, X.; Zeng, X.; Zhang, Q.; Wang, P. Deficiency in NDH-Cyclic Electron Transport Retards Heat Acclimation of Photosynthesis in Tobacco over Day and Night Shift. Front. Plant Sci. 2023, 14, 1267191. [Google Scholar] [CrossRef]
  51. Zhu, A.; Guo, W.; Gupta, S.; Fan, W.; Mower, J.P. Evolutionary Dynamics of the Plastid Inverted Repeat: The Effects of Expansion, Contraction, and Loss on Substitution Rates. New Phytol. 2016, 209, 1747–1756. [Google Scholar] [CrossRef]
  52. Wang, W.; Xu, J.; Fang, H.; Li, Z.; Li, M. Advances and Challenges in Medicinal Plant Breeding. Plant Sci. 2020, 298, 110573. [Google Scholar] [CrossRef]
  53. Bunjkar, A.; Walia, P.; Sandal, S.S. Unlocking Genetic Diversity and Germplasm Characterization with Molecular Markers: Strategies for Crop Improvement. J. Adv. Biol. Biotechnol. 2024, 27, 160–173. [Google Scholar] [CrossRef]
  54. Martin, M. Cutadapt Removes Adapter Sequences from High-Throughput Sequencing Reads. EMBnet. J. 2011, 17, 10–12. [Google Scholar] [CrossRef]
  55. Andrews, S. FastQC: A Quality Control Tool for High Throughput Sequence Data; Babraham Institute: Cambridge, UK, 2013. [Google Scholar]
  56. Dierckxsens, N.; Mardulyn, P.; Smits, G. NOVOPlasty: De Novo Assembly of Organelle Genomes from Whole Genome Data. Nucleic Acids Res. 2017, 45, e18. [Google Scholar] [CrossRef]
  57. Botany 2016—Fast-Plast: Rapid de Novo Assembly and Finishing for Whole Chloroplast Genomes. Available online: http://2016.botanyconference.org/engine/search/index.php?func=detail&aid=708 (accessed on 20 December 2023).
  58. Jin, J.-J.; Yu, W.-B.; Yang, J.-B.; Song, Y.; dePamphilis, C.W.; Yi, T.-S.; Li, D.-Z. GetOrganelle: A Fast and Versatile Toolkit for Accurate de Novo Assembly of Organelle Genomes. Genome Biol. 2020, 21, 241. [Google Scholar] [CrossRef]
  59. Qu, X.-J.; Moore, M.J.; Li, D.-Z.; Yi, T.-S. PGA: A Software Package for Rapid, Accurate, and Flexible Batch Annotation of Plastomes. Plant Methods 2019, 15, 50. [Google Scholar] [CrossRef]
  60. Tillich, M.; Lehwark, P.; Pellizzer, T.; Ulbricht-Jones, E.S.; Fischer, A.; Bock, R.; Greiner, S. GeSeq—Versatile and Accurate Annotation of Organelle Genomes. Nucleic Acids Res. 2017, 45, W6–W11. [Google Scholar] [CrossRef]
  61. Kearse, M.; Moir, R.; Wilson, A.; Stones-Havas, S.; Cheung, M.; Sturrock, S.; Buxton, S.; Cooper, A.; Markowitz, S.; Duran, C.; et al. Geneious Basic: An Integrated and Extendable Desktop Software Platform for the Organization and Analysis of Sequence Data. Bioinformatics 2012, 28, 1647–1649. [Google Scholar] [CrossRef]
  62. Greiner, S.; Lehwark, P.; Bock, R. OrganellarGenomeDRAW (OGDRAW) Version 1.3.1: Expanded Toolkit for the Graphical Visualization of Organellar Genomes. Nucleic Acids Res. 2019, 47, W59–W64. [Google Scholar] [CrossRef]
  63. Beier, S.; Thiel, T.; Münch, T.; Scholz, U.; Mascher, M. MISA-Web: A Web Server for Microsatellite Prediction. Bioinformatics 2017, 33, 2583–2585. [Google Scholar] [CrossRef]
  64. Kurtz, S.; Choudhuri, J.V.; Ohlebusch, E.; Schleiermacher, C.; Stoye, J.; Giegerich, R. REPuter: The Manifold Applications of Repeat Analysis on a Genomic Scale. Nucleic Acids Res. 2001, 29, 4633–4642. [Google Scholar] [CrossRef]
  65. CodonW 1.4.4—Codon Usage Analysis—My Biosoftware—Bioinformatics Softwares Blog. 2012. Available online: https://mybiosoftware.com/codonw-1-4-4-codon-usage-analysis.html (accessed on 8 February 2024).
  66. Amiryousefi, A.; Hyvönen, J.; Poczai, P. IRscope: An Online Program to Visualize the Junction Sites of Chloroplast Genomes. Bioinformatics 2018, 34, 3030–3031. [Google Scholar] [CrossRef]
  67. Frazer, K.A.; Pachter, L.; Poliakov, A.; Rubin, E.M.; Dubchak, I. VISTA: Computational Tools for Comparative Genomics. Nucleic Acids Res. 2004, 32, W273–W279. [Google Scholar] [CrossRef]
  68. Katoh, K.; Standley, D.M. MAFFT Multiple Sequence Alignment Software Version 7: Improvements in Performance and Usability. Mol. Biol. Evol. 2013, 30, 772–780. [Google Scholar] [CrossRef]
  69. Kozlov, A.M.; Darriba, D.; Flouri, T.; Morel, B.; Stamatakis, A. RAxML-NG: A Fast, Scalable and User-Friendly Tool for Maximum Likelihood Phylogenetic Inference. Bioinformatics 2019, 35, 4453–4455. [Google Scholar] [CrossRef]
  70. Hedges, S.B.; Marin, J.; Suleski, M.; Paymer, M.; Kumar, S. Tree of Life Reveals Clock-Like Speciation and Diversification. Mol. Biol. Evol. 2015, 32, 835–845. [Google Scholar] [CrossRef]
  71. Rozas, J.; Ferrer-Mata, A.; Sánchez-DelBarrio, J.C.; Guirao-Rico, S.; Librado, P.; Ramos-Onsins, S.E.; Sánchez-Gracia, A. DnaSP 6: DNA Sequence Polymorphism Analysis of Large Data Sets. Mol. Biol. Evol. 2017, 34, 3299–3302. [Google Scholar] [CrossRef]
Figure 1. Chloroplast genomes of H. acmosepalum (a), H. addingtonii (b), and H. beanie (c). Genes located in the outer circle are transcribed counterclockwise, while those in the inner circle are transcribed clockwise. The colored bars represent different functional groups. The gray dashed area in the inner circle shows the GC content percentage of the respective genes. LSC, SSC, and IR represent large single-copy, small single-copy, and inverted repeat regions, respectively.
Figure 1. Chloroplast genomes of H. acmosepalum (a), H. addingtonii (b), and H. beanie (c). Genes located in the outer circle are transcribed counterclockwise, while those in the inner circle are transcribed clockwise. The colored bars represent different functional groups. The gray dashed area in the inner circle shows the GC content percentage of the respective genes. LSC, SSC, and IR represent large single-copy, small single-copy, and inverted repeat regions, respectively.
Ijms 26 00323 g001
Figure 2. Distribution of SSR numbers in 16 species. The horizontal axis represents different species, and the vertical axis represents the number of SSRs. Red blocks represent the LSC region, green blocks represent the IR region, and blue blocks represent the SSC region. Mono-, mononucleotide repeats; Din-, dinucleotide repeats; Tri-, trinucleotide repeats; Tetra-, tetranucleotide repeats.
Figure 2. Distribution of SSR numbers in 16 species. The horizontal axis represents different species, and the vertical axis represents the number of SSRs. Red blocks represent the LSC region, green blocks represent the IR region, and blue blocks represent the SSC region. Mono-, mononucleotide repeats; Din-, dinucleotide repeats; Tri-, trinucleotide repeats; Tetra-, tetranucleotide repeats.
Ijms 26 00323 g002
Figure 3. Statistics of SSR base repeat types in H. acmosepalum (a), H. addingtonii (b), and H. beanie (c). The horizontal axis represents SSR base repeat types, and the vertical axis represents SSR repeat quantities.
Figure 3. Statistics of SSR base repeat types in H. acmosepalum (a), H. addingtonii (b), and H. beanie (c). The horizontal axis represents SSR base repeat types, and the vertical axis represents SSR repeat quantities.
Ijms 26 00323 g003
Figure 4. Analysis of long-repeat sequences in 16 different chloroplast genomes. The x-axis represents long-repeat types, and the y-axis represents the quantity of the corresponding long-repeat types. F: forward; R: reverse; C: complement; P: palindromic. Different colors represent different sizes of long-repeat sequences.
Figure 4. Analysis of long-repeat sequences in 16 different chloroplast genomes. The x-axis represents long-repeat types, and the y-axis represents the quantity of the corresponding long-repeat types. F: forward; R: reverse; C: complement; P: palindromic. Different colors represent different sizes of long-repeat sequences.
Ijms 26 00323 g004
Figure 5. Frequency of amino acids in the codon coding regions of the chloroplast genomes of 16 species. Frequency: The relative frequency of codons (amino acids) used in different species relative to leucine (Leu).
Figure 5. Frequency of amino acids in the codon coding regions of the chloroplast genomes of 16 species. Frequency: The relative frequency of codons (amino acids) used in different species relative to leucine (Leu).
Ijms 26 00323 g005
Figure 6. Relative synonymous codon usage (RSCU) of H. acmosepalum (a), H. addingtonii (b), and H. beanii (c). The horizontal axis represents amino acids, and the vertical axis represents RSCU values. Differently colored blocks represent different codons.
Figure 6. Relative synonymous codon usage (RSCU) of H. acmosepalum (a), H. addingtonii (b), and H. beanii (c). The horizontal axis represents amino acids, and the vertical axis represents RSCU values. Differently colored blocks represent different codons.
Ijms 26 00323 g006
Figure 7. ENC-plot analysis of 16 species. The horizontal axis represents the GC content at the third codon position (GC3s), excluding tryptophan, methionine, and stop codons. The vertical axis represents the effective number of codons.
Figure 7. ENC-plot analysis of 16 species. The horizontal axis represents the GC content at the third codon position (GC3s), excluding tryptophan, methionine, and stop codons. The vertical axis represents the effective number of codons.
Ijms 26 00323 g007
Figure 8. Comparison of LSC, IR, and SSC boundary regions in 16 chloroplast genomes. (Light blue, yellow, and green blocks represent LSC, IR, and SSC regions, respectively. JSA: junction of SSC and IRA; JLB: junction of LSC and IRB; JSB: junction of SSC and IRB. The color boxes above or below the main line represent genes adjacent to the boundaries.)
Figure 8. Comparison of LSC, IR, and SSC boundary regions in 16 chloroplast genomes. (Light blue, yellow, and green blocks represent LSC, IR, and SSC regions, respectively. JSA: junction of SSC and IRA; JLB: junction of LSC and IRB; JSB: junction of SSC and IRB. The color boxes above or below the main line represent genes adjacent to the boundaries.)
Ijms 26 00323 g008
Figure 9. mVISTA comparison of the chloroplast genomes of 16 plant species. The x-axis represents nucleotide sequences, and the y-axis represents sequence homology percentages ranging from 50% to 100%. Conserved regions are highlighted below the curve, with purple indicating conserved exons and gray arrows indicating gene transcription directions. Red bars represent non-coding sequences (CNS), and light green bars represent tRNA or rRNA.
Figure 9. mVISTA comparison of the chloroplast genomes of 16 plant species. The x-axis represents nucleotide sequences, and the y-axis represents sequence homology percentages ranging from 50% to 100%. Conserved regions are highlighted below the curve, with purple indicating conserved exons and gray arrows indicating gene transcription directions. Red bars represent non-coding sequences (CNS), and light green bars represent tRNA or rRNA.
Ijms 26 00323 g009
Figure 10. Sliding window analysis of nucleotide diversity (π) in the chloroplast genomes of 16 species. The x-axis represents the midpoint position of the window, and the y-axis represents nucleotide diversity (π) for each window.
Figure 10. Sliding window analysis of nucleotide diversity (π) in the chloroplast genomes of 16 species. The x-axis represents the midpoint position of the window, and the y-axis represents nucleotide diversity (π) for each window.
Ijms 26 00323 g010
Figure 11. Selection pressure analysis of 53 shared protein-coding genes in the chloroplast genomes of 16 species.
Figure 11. Selection pressure analysis of 53 shared protein-coding genes in the chloroplast genomes of 16 species.
Ijms 26 00323 g011
Figure 12. Phylogenetic relationships inferred by maximum likelihood (ML) for 16 species. The ML tree based on 41 protein-coding genes (CDS) is marked in red.
Figure 12. Phylogenetic relationships inferred by maximum likelihood (ML) for 16 species. The ML tree based on 41 protein-coding genes (CDS) is marked in red.
Ijms 26 00323 g012
Figure 13. Divergence time tree for selected Hypericaceae plants. The time tree shows species divergence times, with blue font indicating the divergence time at each node and numbers in parentheses representing the range of divergence times. The average value is taken to represent divergence time, and the lower area indicates the period of divergence time. Data are based–on highly reliable values (>95%) from past literature. In geographic timescale, different color blocks correspond to the branches of time tree, “*” indicates that this plant is distinct from other genera.
Figure 13. Divergence time tree for selected Hypericaceae plants. The time tree shows species divergence times, with blue font indicating the divergence time at each node and numbers in parentheses representing the range of divergence times. The average value is taken to represent divergence time, and the lower area indicates the period of divergence time. Data are based–on highly reliable values (>95%) from past literature. In geographic timescale, different color blocks correspond to the branches of time tree, “*” indicates that this plant is distinct from other genera.
Ijms 26 00323 g013
Table 1. Clean reads information of the three sequenced Hypericum species.
Table 1. Clean reads information of the three sequenced Hypericum species.
Species NameTotal_ReadsTotal_BasesError%Q20%Q30%GC%
H. acmosepalum98,886,77214,593,264,2860.024498.2694.6840.14
H. addingtonii86,191,40612,706,259,3810.024698.2094.5240.45
H. beanii86,626,06212,759,673,3780.024298.3694.9039.53
Note: The unite of total bases is bp.
Table 2. Basic characteristics of the chloroplast genomes of 16 species.
Table 2. Basic characteristics of the chloroplast genomes of 16 species.
Species NameTotal LengthLSC LengthSSC LengthIR LengthCoding Length Non-Coding Length GenesProtein-Coding GenestRNA Genes rRNA Genes Pseudo
Genes
GC Content GC Content of LSCGC Content of SSCGC Content of IR
Hypericum acmosepalum152,654126,934304411,33865,82086,83412786(10)33(6)8(4)037.5538.5733.7132.36
Hypericum addingtonii122,57098,1909574740353,75168,81911275(0)29(2)8(4)038.0137.1134.8538.65
Hypericum beanii137,65299,21210,98813,72657,86179,79111675(2)33(5)8(4)038.1436.6332.4445.90
Hypericum ascyron162,28697,54211,05226,84676,69285,59411977(3)34(6)8(3)837.3636.4632.3340.04
Hypericum monogynum138,97293,12311,08117,38557,73281,24011977(1)33(6)8(4)037.7936.3932.0543.37
Hypericum hookerianum138,260120,84810,950323155,16783,09310971(1)34(6)4(0)038.0838.8032.5834.01
Hypericum perforatum139,72595,10911,08416,76661,26378,46211974(2)37(7)8(4)037.4135.8831.4143.76
Cratoxylum sumatranum157,08986,02918,76026,15077,67679,41312883(6)37(7)8(4)336.2634.0229.9642.22
Cratoxylum pruniflorum156,96286,02718,75326,09177,78479,17812782(6)37(7)8(4)436.2733.9729.9542.32
Cratoxylum maingayi157,35886,03318,97126,17778,07579,28312883(6)37(7)8(4)336.2534.0229.9142.21
Cratoxylum arborescens157,79286,69718,64126,22777,96479,82812883(6)37(7)8(4)336.1533.8029.9542.22
Cratoxylum formosum156,97886,06218,76026,07877,56279,41612782(6)37(7)8(4)336.2634.0229.9542.21
Cratoxylum cochinchinense157,10385,66418,89526,27279,01478,08912883(7)37(7)8(4)336.2133.9629.9542.12
Triadenum breviflorum167,69385,26811,18535,62083,93183,76212883(8)37(7)8(4)037.4435.6931.6640.45
Populus alba156,50584,61816,56727,66053,772102,7339166(1)23(6)2236.7434.5630.4941.95
Populus wulianensis156,55384,72616,55127,63880,69775,85612984(8)37(7)8(4)036.7234.5130.5341.96
Note: The unite of genome length is bp.
Disclaimer/Publisher’s Note: The statements, opinions and data contained in all publications are solely those of the individual author(s) and contributor(s) and not of MDPI and/or the editor(s). MDPI and/or the editor(s) disclaim responsibility for any injury to people or property resulting from any ideas, methods, instructions or products referred to in the content.

Share and Cite

MDPI and ACS Style

Yan, K.; Lu, X.; Li, W.; Sun, C.; Zhou, X.; Wang, Y. Chloroplast Genome Diversity and Molecular Evolution in Hypericaceae: New Insights from Three Hypericum Species. Int. J. Mol. Sci. 2025, 26, 323. https://doi.org/10.3390/ijms26010323

AMA Style

Yan K, Lu X, Li W, Sun C, Zhou X, Wang Y. Chloroplast Genome Diversity and Molecular Evolution in Hypericaceae: New Insights from Three Hypericum Species. International Journal of Molecular Sciences. 2025; 26(1):323. https://doi.org/10.3390/ijms26010323

Chicago/Turabian Style

Yan, Kan, Xin Lu, Wandi Li, Chao Sun, Xueqiong Zhou, and Youyou Wang. 2025. "Chloroplast Genome Diversity and Molecular Evolution in Hypericaceae: New Insights from Three Hypericum Species" International Journal of Molecular Sciences 26, no. 1: 323. https://doi.org/10.3390/ijms26010323

APA Style

Yan, K., Lu, X., Li, W., Sun, C., Zhou, X., & Wang, Y. (2025). Chloroplast Genome Diversity and Molecular Evolution in Hypericaceae: New Insights from Three Hypericum Species. International Journal of Molecular Sciences, 26(1), 323. https://doi.org/10.3390/ijms26010323

Note that from the first issue of 2016, this journal uses article numbers instead of page numbers. See further details here.

Article Metrics

Back to TopTop