Next Article in Journal
Function of Nodulation-Associated GmNARK Kinase in Soybean Alkali Tolerance
Next Article in Special Issue
Comparative Analysis of Transcriptome Data of Wings from Different Developmental Stages of the Gynaephora qinghaiensis
Previous Article in Journal
Chloroplast Genome Diversity and Molecular Evolution in Hypericaceae: New Insights from Three Hypericum Species
Previous Article in Special Issue
A Cytosolic Phosphoglucose Isomerase, OsPGI1c, Enhances Plant Growth and Herbivore Resistance in Rice
 
 
Font Type:
Arial Georgia Verdana
Font Size:
Aa Aa Aa
Line Spacing:
Column Width:
Background:
Article

A B-Box (BBX) Transcription Factor from Cucumber, CsCOL9 Positively Regulates Resistance of Host Plant to Bemisia tabaci

College of Plant Protection, Henan Agricultural University, Zhengzhou 450046, China
*
Author to whom correspondence should be addressed.
Int. J. Mol. Sci. 2025, 26(1), 324; https://doi.org/10.3390/ijms26010324
Submission received: 12 December 2024 / Revised: 26 December 2024 / Accepted: 30 December 2024 / Published: 2 January 2025
(This article belongs to the Special Issue New Insights into Plant and Insect Interactions (Second Edition))

Abstract

B-box (BBX) transcription factors play crucial roles in plant growth, development, and defense responses to biotic and abiotic stresses. In this study, we cloned a BBX transcription factor gene, CsCOL9I, from cucumber and analyzed its role in the plant’s defense against the feeding of Bemisia tabaci. CsCOL9 is expressed throughout all developmental stages in cucumber, with the highest expression in the leaves. CsCOL9 is induced by B. tabaci feeding, salicylic acid (SA), methyl jasmonate (MeJA), and hydrogen peroxide (H2O2). Cucumber plants with CsCOL9 silence (TRV2-CsCOL9) and overexpression (1301-CsCOL9) were obtained and analyzed. After CsCOL9 silencing, survival rates and host selectivity for B. tabaci increased; however, the expression levels of genes encoding enzymes (CsSOD, CsRBOH, CsPOD), activities of superoxide dismutase (SOD) and peroxidase (POD), and content of H2O2 in plants were all reduced. CsCOL9 overexpression led to decreased survival rates and host selectivity for B. tabaci. Conversely, the expression levels of genes (CsSOD, CsRBOH and CsPOD), activities of SOD and POD, and content of H2O2 increased after CsCOL9 overexpression in plants. Collectively, our results demonstrate CsCOL9 positively regulates cucumber resistance to B. tabaci by activating reactive oxygen species bursts. This study lays a theoretical foundation for the application of CsCOL9 in cucumber resistance breeding and green pest control of B. tabaci.

1. Introduction

Since the 1980s, Bemisia tabaci, (Hemiptera: Aleyrodidae) has spread globally due to trade activities involving ornamental plants like fuchsia and various economic crop seedlings, leading to widespread outbreaks [1,2]. In addition to directly feeding on plants, B. tabaci serves as a significant vector for plant viruses, capable of transmitting over 600 different types of plant viruses, which results in billions of dollars in economic losses each year [3]. However, chemical control methods have proven ineffective and environmentally damaging due to the pest’s high reproductive capacity and rapid development of resistance. Therefore, there is an urgent need for sustainable and effective control strategies.
Transcription factors (TFs), also known as trans-acting factors, specifically interact with cis-regulatory elements of eukaryotic genes to either activate or inhibit gene transcription. B-box (BBX) transcription factors represent a subclass of zinc finger proteins characterized by the presence of one single B-box domain or two arranged in tandem; some BBXs also contain CONSTANS (CO), CONSTANS-like (COL), and TIMING OF CAB EXPRESSION 1 (TOC1) domains, collectively referred to as the CCT domain [4,5,6,7]. In addition to participating in photomorphogenesis, photoperiod regulation, shade response, and other plant growth and development processes, BBX proteins also play important roles in various stress-induced plant defense responses [4,8,9,10]. Numerous studies have demonstrated that BBX proteins can enhance plant resistance by regulating the reactive oxygen species (ROS) system. For instance, sweet potato transcription factor IbBBX24 protects plants from oxidative damage by mediating ROS clearance through the regulation of class III peroxidase gene PRX17 [11]; overexpression of BBX from Malus domestica (MdBBX1) increases resistance to salt and drought in Arabidopsis by boosting the ROS scavenging system and alleviating oxidative stress [12]; overexpression of MdBBX10 in Arabidopsis increases the plant’s ability to clear ROS, thereby enhancing drought resistance of transgenic Arabidopsis [13]; overexpression of AtBBX29 improves the antioxidant capacity of sugarcane by reducing ROS accumulation and minimizing oxidative damage [14]; following overexpression of SlBBX17, transgenic tomato exhibits higher antioxidant enzyme activity and lower ROS levels, thus improving plants’ tolerance to high-temperature stress [15]; CCT1 from the Arabidopsis BBX family promotes ROS accumulation by regulating defense signals induced by the bacterial flagellin protein flg22, enhancing Arabidopsis resistance to Pseudomonas syringae pv. DC3000 [16].
BBX proteins have increasingly been shown to regulate plant resistance against stress by modulating ROS levels. However, it remains unclear whether BBXs can influence ROS levels in host plants during damage caused by B. tabaci, thereby affecting the host’s resistance to this pest. In our transcriptomic analysis, we identified a gene (CsaV3-609750) that exhibited significant changes in expression levels following B. tabaci feeding and was predicted to encode a transcription factor [17]. To investigate the function and mechanism of this transcription factor in plant defense against B. tabaci, we cloned this gene from cucumber and analyzed its sequence and expression patterns. Then, we employed virus-induced gene silencing (VIGS) technology and gene overexpression techniques to manipulate the expression levels of the COL9 gene in cucumber. Subsequently, we assessed the survival rates and free-choice behavior of B. tabaci on plants with either upregulated or downregulated CsCOL9 expression. This study aims to explore the role of CsCOL9 in enhancing plant defense responses against B. tabaci.

2. Results

2.1. Clone and Bioinformatics Analysis of CsCOL9 Gene

Based on transcriptome data [17], this study cloned a gene from cucumber that exhibited significant changes in expression level during feeding by B. tabaci and named it CsCOL9. The CsCOL9 gene contains an open reading frame of 1248 bp (Table S2), encoding a protein composed of 415 amino acids (Table S3). CsCOL9 contains an 87 aa B-box structural domain and a 44 aa transcriptional regulatory domain CCT (Figure 1A), classified as a B-box family zinc finger protein.
BLASTX analysis indicated that CsCOL9 shares high homology with CmCOL9 (XM_008465929.3) and BhCOL9 (XM_039045922.1), with homologies of 95.11% and 92.11%, respectively. The amino acid sequence of CsCOL9 was compared with reported BBX proteins involved in plant defense responses: AtCOL2 (At3g02380), OsCOL9 (LOC_Os03g50310), VviBBX29a (XP_002272924.1), OsBBX7 (Os02g0724000), NtBBX14 (LOC107786610), MdBBX10 (103428264), IbBBX24 (MH813941), CpBBX19 (UAJ21025.1), BvBBX10 (LOC104908945), and AtBBX29 (At5g54470). The results showed that CsCOL9 has relatively high homology with OsBBX7 at 53.37% (Figure 1B). Using MEGA11.0 software, a phylogenetic tree for CsCOL9 was constructed using the neighbor-joining method, yielding results consistent with the homology analysis, as shown in Figure 1C.

2.2. Expression Pattern Analysis of CsCOL9

2.2.1. Spatiotemporal Expression Analysis of CsCOL9

To further explore the function of CsCOL9, this study examined its expression patterns using RT-qPCR. We assessed the expression levels of CsCOL9 across different developmental stages and tissues of cucumber. The results revealed that the CsCOL9 gene is expressed in various tissues throughout the entire development period of cucumber, with the highest levels found in leaves (Figure 2). Moreover, the expression level of CsCOL9 in flowers increases over time, peaking at maturity, while its expression in stems declines as the cucumber develops.

2.2.2. Expression of CsCOL9 Was Induced by Exogenous Salicylic Acid, Methyl Jasmonate, Hydrogen Peroxide, and B. tabaci Feeding

This study examined the effects of stress treatments on the expression levels of CsCOL9 in cucumber plants by using RT-qPCR. The results demonstrated that following the exogenous application of salicylic acid (SA), the expression level of CsCOL9 was significantly upregulated, with the highest transcription level observed on the first day after spraying with 4 mM salicylic acid (Figure 3A). Similarly, after applying methyl jasmonate (MeJA), CsCOL9 expression also increased, peaking on the 7th day post-application of 4 mM MeJA (Figure 3B). After hydrogen peroxide (H2O2) treatment, CsCOL9 expression rose as well, reaching its maximum on the third day after treatment (Figure 3C). Furthermore, following B. tabaci inoculation, CsCOL9 expression was also elevated, with the highest transcription level recorded on the 4th day after feeding (Figure 3D).
These findings indicate that exogenous treatment with SA, MeJA, H2O2, and B. tabaci feeding all activate the expression of CsCOL9 in cucumbers, suggesting that CsCOL9 plays a role in the plant’s defense response.

2.3. ROS Production Accumulated in Cucumber Seedlings Fed by B. tabaci

To investigate whether B. tabaci feeding regulates ROS production in cucumbers, we compared the H2O2 contents of healthy cucumber plants with those of cucumber plants infested by B. tabaci. The results demonstrated that B. tabaci feeding resulted in a significant accumulation of H2O2 in cucumber leaves, exhibiting an increasing trend from day 2 to day 4 (Figure 4A). To further evaluate the impact of B. tabaci feeding on ROS in host plants, this study analyzed the expression levels of genes associated with ROS synthesis as well as their enzyme activities. The analysis revealed that following B. tabaci feeding, both CsRBOH and CsSOD were upregulated, with CsRBOH displaying the most pronounced increase on day 2 (Figure 4B) and CsSOD peaking on day 6 (Figure 4C). The activity of superoxide dismutase (SOD) significantly increased after B. tabaci feeding, peaking on day 4 (Figure 4D). After B. tabaci feeding, the relative expression level of CsPOD was upregulated, with the most notable increase occurring on day 6 (Figure 4E). Moreover, the activity of peroxidase (POD) differed between infested and healthy plants; infested plants exhibited higher POD activity at all three time points measured, peaking on day 4 (Figure 4F). These findings suggest that feeding by B. tabaci promotes ROS production and enhances the antioxidant capacity of host plants.

2.4. Silence of CsCOL9 Inhibited ROS Production in Cucumbers, Meanwhile Increased B. tabaci Survival and Host Preference

To explore the effects of CsCOL9 on the defense response of host plant to B. tabaci feeding, we constructed a gene silence expression plasmid pNC-TRV2-COL9 based on virus-mediated gene silencing (VIGS) and transformed the plasmid into cucumber plants by Agrobacterium GV3101 injection. RT-qPCR results indicated that there was no significant difference in CsCOL9 expression levels between plants transformed with the empty vector (TRV2) and those in the control group; however, the expression level of CsCOL9 in TRV2-CsCOL9 plants was significantly downregulated (Figure 5A).
After obtaining CsCOL9 gene-silenced cucumber seedlings (TRV2-CsCOL9), we analyzed ROS production in the plants and the survival and host selection changes of B. tabaci maintained in them. The results indicated that the survival rate of B. tabaci increased (Figure 5B), while the mortality rate of B. tabaci decreased as the expression level of CsCOL9 in host plant declined (Figure 5C). Additionally, the number of B. tabaci landing on plants with CsCOL9 silence significantly increased (Figure 5D). These results suggest that the silencing of CsCOL9 in host cucumbers leads to an increase in both B. tabaci survival and its host preference.
ROS is important signal for inducing plant defense responses and was induced by B. tabaci feeding (Figure 4A), so we assessed the accumulation of H2O2 in control (TRV2) and CsCOL9-silenced cucumber plants (TRV2-CsCOL9) to explore whether CsCOL9 silence would regulate H2O2 accumulation. Compared to the control, the level of H2O2 decreased in cucumbers with CsCOL9 silence (Figure 5E), indicating that silencing of the CsCOL9 gene leads to a reduction in H2O2 levels in B. tabaci host plants. The expression levels of CsRBOH and CsSOD were significantly lower in CsCOL9-silenced plants (TRV2-CsCOL9) compared to the control group (Figure 5F,G). Compared to the control group, SOD activity was significantly reduced in CsCOL9-silenced plants (Figure 5H). Following the decrease in CsCOL9 expression level, there was also a corresponding decline in CsPOD expression level (Figure 5I) and POD activity (Figure 5J).

2.5. Overexpression of CsCOL9 in Host-Activated ROS Burst, Meanwhile, Reduced B. tabaci Survival and Its Host Preference

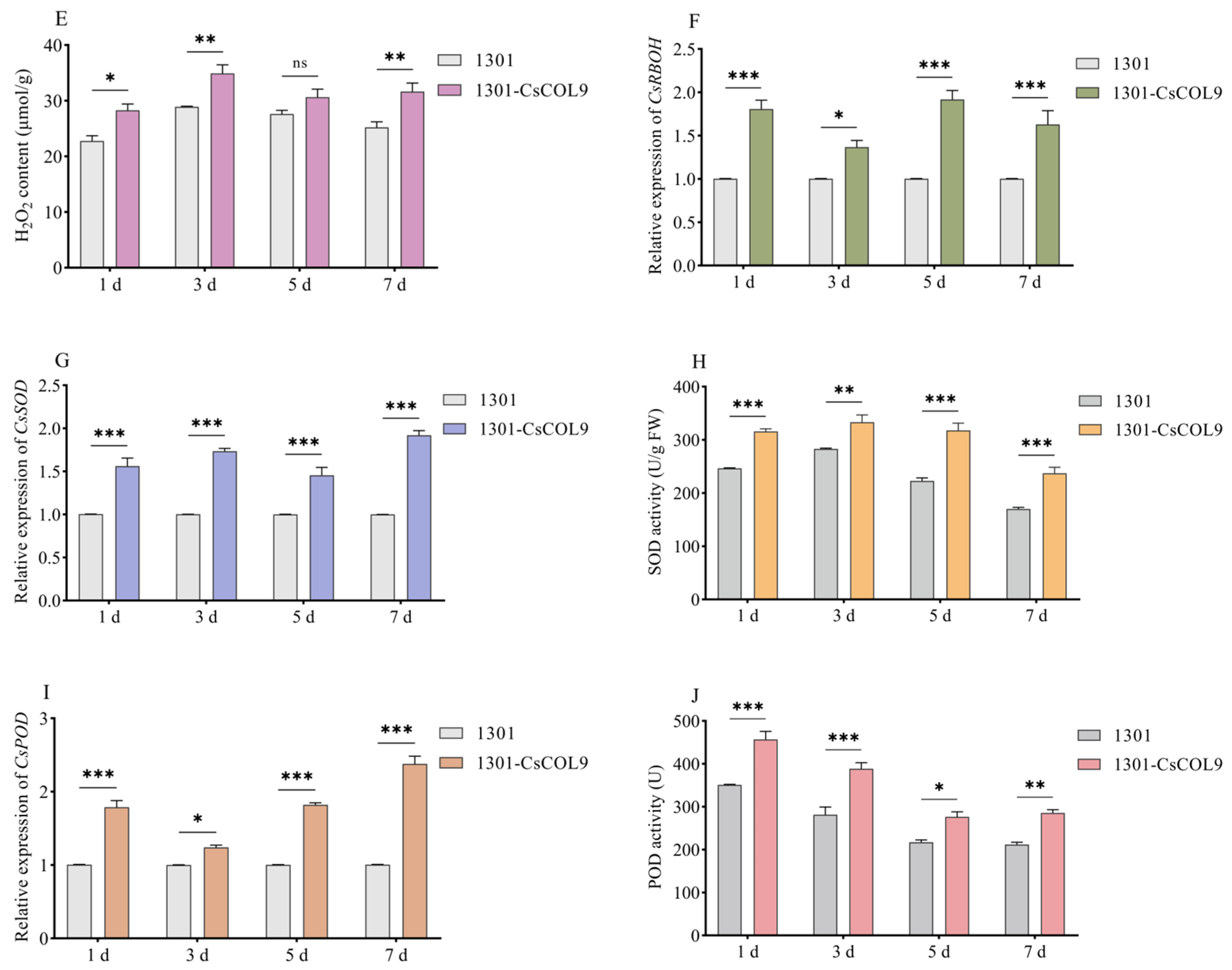
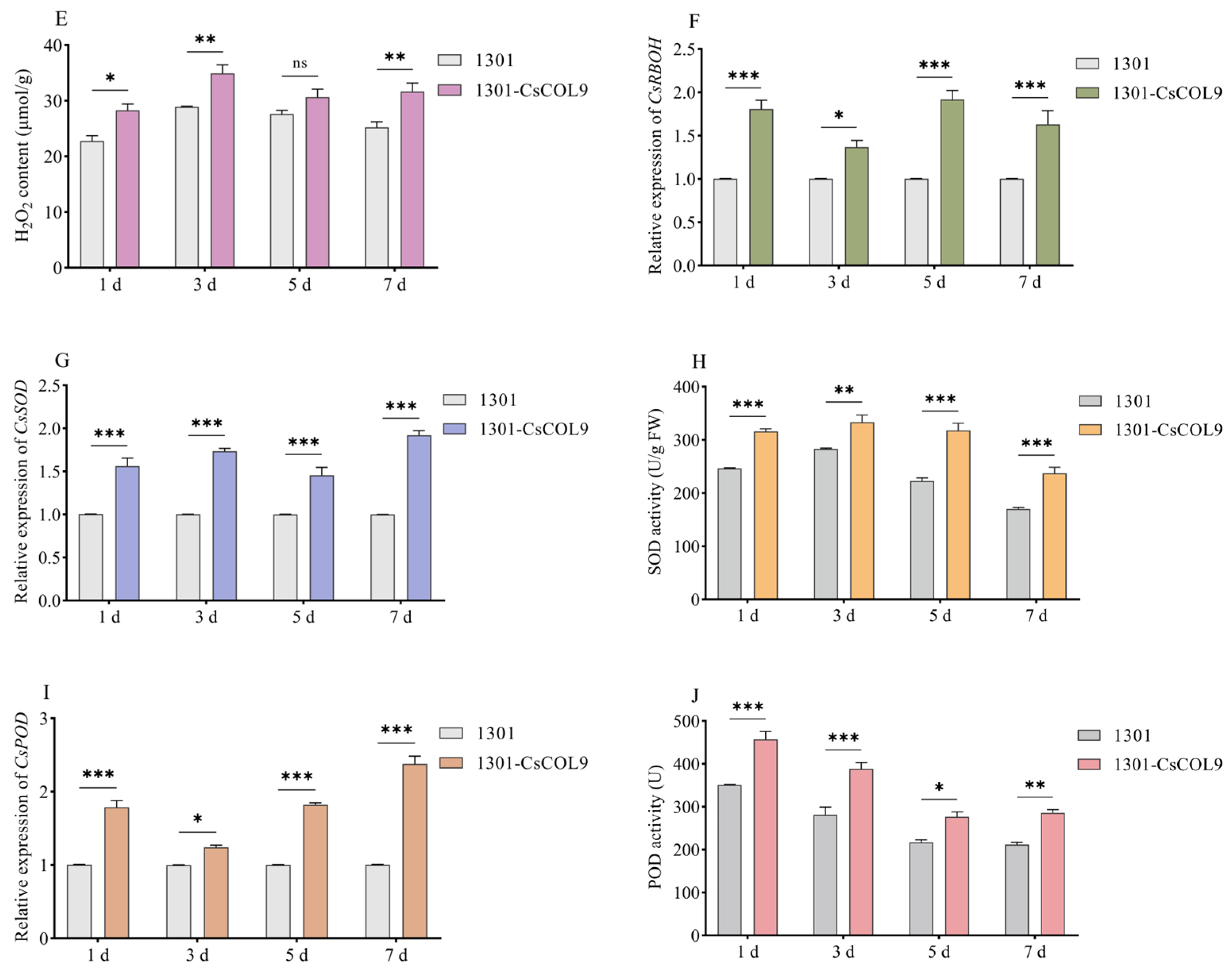
CsCOL9 overexpression plasmid pCAMBIA1301-COL9 and empty vector pCAMBIA1301 were transformed in cucumber plants via Agrobacterium-mediated transformation. Quantitative PCR analysis showed there was no significant difference in CsCOL9 expression levels between plants transformed with the empty vector (pCAMBIA1301) and the control group. However, in plants transformed with the 1301-CsCOL9, the expression level of CsCOL9 significantly increased (Figure 6A).
To investigate whether overexpression of CsCOL9 in host plants affects B. tabaci, we compared the survival rates and landing numbers of B. tabaci on CsCOL9 overexpression cucumbers plants (1301-CsCOL9) to those on control plants (1301). The results showed that the survival rate of B. tabaci on the leaves of 1301-CsCOL9 plants decreased (Figure 6B), while the mortality rate increased (Figure 6C). Additionally, compared to cucumbers containing the empty vector (1301), the number of B. tabaci landing on 1301-CsCOL9 plants was significantly reduced (Figure 6D). These results indicate that increase of CsCOL9 expression levels in host plants reduced B. tabaci survival rates and its host preference.
With the increased expression level of CsCOL9, the levels of H2O2 were significantly higher than those in the control group (Figure 6E). The expression levels of ROS metabolism-related genes CsRBOH, CsSOD, and CsPOD also increased with rising endogenous COL9 expression (Figure 6F,G,I). Similarly, the activity of SOD and POD increased in seedlings with overexpression level of CsCOL9 (Figure 6H,J). These results suggested that CsCOL9 enhances host plant resistance to B. tabaci by regulating ROS signaling pathways.

3. Discussion

BBX proteins are a family of zinc finger transcription factors. More and more BBX genes are identified from different plant species. For example, a total of 536 BBX genes including 32 AtBBXs, 66 BnaBBXs, 81 CsBBXs, and 102 BcBBXs were identified from nine Brassicaceae species [18]. The BBX gene family can be divided into five structural groups depending on number of B-box domains and CCT domain [19]. Gene sequence analysis showed that CsCOL9 has one B-box structural domain and one CCT domain (Figure 1A), therefore CsCOL9 belongs to group III BBX proteins.
BBX proteins play crucial roles in regulating various plant growth and developmental processes, including seedling photomorphogenesis, flowering photoperiod regulation, and shade avoidance [4,5,7]. Our gene spatiotemporal expression patterns analysis revealed that CsCOL9 is expressed in various parts of cucumber plants during the seedling, flowering, and fruiting stages (Figure 2A–C), indicating that CsCOL9 may be involved in regulating the growth and development of cucumber leaves, flowers, and fruits.
Recent evidence suggests that BBX proteins play a role in plant defense responses. For instance, following infection by Colletotrichum musae in bananas, the expression level of the BBX protein gene (MaCOL1) increased, thereby enhancing the plant’s tolerance to biotic stress [20]. IbBBX24 has been shown to promote jasmonic acid pathways in sweet potatoes, which enhances plant resistance to wilt disease [10]. The expression of OsCOL9 was increased after Magnaporthe oryzae inoculation, and OsCOL9 overexpression in transgenic rice plants showed increased blast resistance [21]. Similarly, our study demonstrated that feeding of B. tabaci, along with exogenous treatments of SA, MeJA, and H2O2, all activated CsCOL9 expression in cucumber seedlings (Figure 3A–D). This indicates that CsCOL9 is involved in the plant’s defense response.
Plant immune responses are extremely complex biological processes involving the generation of ROS, transcriptional regulation, programmed cell death, and production of secondary metabolites. Plants utilize these immune responses to recognize invading organisms (such as viruses, bacteria, fungi, oomycetes, nematodes, and insects) and activates their immune system for self-protection [22,23]. ROS serve as key regulators in plant defense responses and play significant roles in immune regulation [24,25]. When plants are damaged by insects, the ROS accumulated not only promote lignification within plant tissues, forming a direct physical barrier and enhancing defense capabilities [26], but also induce the synthesis of defense enzymes through relevant defense genes. Pinus sylvestris responds to insect egg deposition by ROS accumulation linked with reduced activity of the ROS scavenger catalase [27]. H2O2 is the most stable ROS, which can penetrate cell membranes in molecular form and also serve as an intracellular signal to activate defense responses [28,29]. Increasing evidence highlights that ROS, particularly H2O2, play significant roles in plant responses to herbivorous insects feeding [30,31,32]. For example, H2O2 could mitigate damage from Ostrinia nubilalis to transgenic maize [30]. H2O2 accumulation was induced by insect feeding in several reports; for instance, the larvae of Mayetiola destructor can rapidly induce H2O2 accumulation at damaged sites in wheat [33]; feeding by Acyrthosiphon pisum increases both H2O2 and superoxide anion levels in pea leaves, enhancing plant resistance against this aphid [34]; H2O2 levels in strawberry increased to generate responses to the damage caused by Tetranychus urticae [35]. Similarly, our study found that feeding by B. tabaci increased H2O2 levels in host plants; specifically, on day 4 post-inoculation with B. tabaci, H2O2 content rose by 24.771% (Figure 4A).
Activity changes in defense enzymes are another important aspect of plant responses to insect feeding [36,37]. Activities of ROS scavenging enzymes in lima bean leaves were enhanced when fed by Spodoptera frugiperda, thereby reducing oxidative damage caused by their feeding behavior [38]. Activities of SOD and POD in host plants increased after infestations by Grapholita molesta combined with Cydia pomonella [39]. After being damaged by Manduca sexta, the transcription level of NADPH oxidase gene NaRBOHD in tobacco plants was rapidly induced. In addition, the silencing of the NaRBOHD gene reduced ROS accumulation, making tobacco more susceptible to pests [40]. In our study, gene expression levels of CsRBOH, CsSOD and CsPOD, as well as activities of SOD and POD in host plants increased after feeding by B. tabaci (Figure 4B–F), indicating a potential role for ROS in the defensive processes activated against attacks from B. tabaci.
Increasing studies have shown that BBX transcription factors can regulate plant resistance to stress by regulating plant ROS systems. Overexpression of BBX transcription factors could reduce the content of ROS levels in plants, thereby enhancing their adaptability to salt, drought, oxidative stress, and high-temperature stress [11,12,13,14,15]. There are also studies reporting that BBX transcription factors increase plant resistance to fungal pathogens and piercing–sucking pests by promoting ROS accumulation [16,41]. This variability may be due to the different roles of ROS in plants responding to various stresses. In our study, silencing of CsCOL9 in cucumber plants resulted in decreased resistance against B. tabaci, as evidenced by increased survival rates and host preference of B. tabaci (Figure 5B,D). Conversely, overexpression of CsCOL9 improved the plant’s resistance to B. tabaci, reflected by reduced survival rates and preference of B. tabaci, (Figure 6B,D). These findings indicate that CsCOL9 positively regulates host plant resistance against B. tabaci. Further research found that contents of H2O2, expression levels of antioxidant enzyme genes (CsRBOH, CsSOD, CsPOD), activities of antioxidant enzymes (SOD, POD) in host plants decreased after CsCOL9 gene silencing (Figure 5F–I) and increased after CsCOL9 gene overexpression (Figure 6F–I). Our study proved that CsCOL9 enhances the resistance of host plants to B. tabaci by positively regulating the burst of ROS in these plants. Our findings offer new theoretical insights into how BBX proteins function biologically under stress, with significant implications for cucumber breeding efforts aimed at achieving greater resilience in the future.

4. Materials and Methods

4.1. Plant and Insect

Cucumis sativus (var. Bojie-18A) (Derit Seeds Biotechnology Co., Ltd., Tianjin, China) cucumber plants were cultivated in plastic pots (10 cm in diameter and 12 cm in height), with one plant per pot, under controlled conditions (photoperiod 16L:8D; a constant temperature of 26 °C; humidity 40%) in a greenhouse at Henan Agricultural University, Zhengzhou, China.
A colony of B. tabaci biotype Q (Mediterranean, MED) was maintained on healthy cucumber plants. The genetic purity of the B. tabaci biotype Q was monitored every three generations using the random amplified polymorphic DNA polymerase chain reaction (RAPD-PCR) technique, combined with sequencing of the mtCO1 gene [42].
The tested strains of Escherichia coli (DH5α) and Agrobacterium tumefaciens (GV3101) were obtained from Beijing Qinke Biotechnology Co., Ltd., Beijing, China. The VIGS silencing vectors (pNC-TRV1 and pNC-TRV2) were provided by Professor Shi Yan’s research group at Henan Agricultural University.

4.2. Gene Expression Pattern Analysis

For analysis of gene spatiotemporal expression patterns, cucumber plants exhibiting consistent growth were selected. Samples of roots, stems, and leaves at the seedling stage; roots, stems, leaves, flowers at the flowering stage; and roots, stems, leaves, flowers, and fruits at the mature stage were collected. RNA was extracted from these samples for real-time quantitative PCR (RT-qPCR), with the relative expression level of CsCOL9 in the roots set to 1 to analyze its expression patterns across different developmental stages and plant parts. Each sample part at each stage included four biological replicates.
Two leaf cucumber seedlings with similar growth were subjected to various treatments. For salicylic acid (SA) (0 mM, 1 mM, 2 mM, 4 mM), methyl jasmonate (MeJA) (0 mM, 1 mM, 2 mM, 4 mM), and hydrogen peroxide (H2O2) (0 mM, 10 mM) treatments, seedlings were sprayed with different concentrations of solutions. Samples were collected on days 1, 3, 5, 7, and 9 after treatment and subsequently frozen in liquid nitrogen for RT-qPCR analysis. Control plants were sprayed with water. Each time point included four biological replicates.
For B. tabaci treatment, each cucumber plant was inoculated with 30 B. tabaci adults using a micro-insect clip cage; healthy cucumbers served as controls without insect inoculation. Samples were taken on days 2, 4, and 6 post-inoculation and frozen in liquid nitrogen for subsequent analysis of qPCR results as well as enzyme activity and endogenous levels of hydrogen peroxide. Each time point included four biological replicates.

4.3. Gene Isolation and Sequence Analysis

Total RNA was extracted from cucumber samples using the RNAiso Plus reagent kit (Takara, San Jose, CA, USA), and first-strand cDNA synthesis was conducted according to the protocol provided by the PrimeScript™ RT Reagent Kit with gDNA Eraser (Perfect Real Time) (Takara, USA). High-fidelity enzymes and specific primers (Table S1) were employed to clone CsCOL9 from the cDNA. The cloned CsCOL9 was then ligated into the pMD18-T vector and transformed into Escherichia coli DH5α. Positive clones were identified and sequenced.
The CsCOL9 sequence was uploaded to the NCBI database’s Protein BLAST for homology analysis, and conserved domains of CsCOL9 were examined through the NCBI database. Additionally, amino acid sequence alignment of CsCOL9 was performed using DNAMAN software, version 9.

4.4. RT-qPCR Analysis

RT-qPCR analysis was conducted using the SYBR Green method with the TB Green® Premix Ex Taq™ II (Tli RNaseH Plus) (Takara, San Jose, CA, USA). Total RNA was extracted using the RNAiso Plus reagent kit. According to the instructions of the reverse PrimeScript™ RT Reagent Kit with gDNA Eraser (Perfect Real Time) (Takara, USA), total RNA (total RNA = 1 μg) was reverse-transcribed into cDNA, and then quantitative fluorescence detection was performed [43]. The housekeeping gene actin in cucumber plants served as an endogenous control in the RT-qPCR studies to analyze the transcription levels of CsCOL9, CsRBOH, CsSOD, and CsPOD. Primers used in RT-qPCR are shown in Table S1 with actin used as an internal control to normalize expression levels. Each time point included four biological replicates.

4.5. Determination of Enzymes Activities and Hydrogen Peroxide Contents

A 0.1 g quantity of true leaves with the veins removed was placed in a 1.5 mL enzyme-free centrifuge tube, and then frozen in liquid nitrogen. On ice, 0.1 g of leaf sample was ground in 1 mL of PBS buffer (pH 7.8, 1% PVP, 0.2 mM EDTA) to obtain a homogenate, which was then centrifuged at 12,000× g for 20 min at 4 °C. The supernatant was collected for enzyme activity assays [44]. Each time point included four biological replicates.
Determination of POD activity followed the method described by Zhen et al., measuring changes in absorbance at OD470 over time and calculating the enzyme reaction rate based on absorbance changes over a period of 120 s. Assay of SOD activity assay also referenced Zhen et al.’s methodology; samples were illuminated under 4000 lux at 25 °C for 15 min, with a control group containing only the buffer solution. Absorbance was measured at OD560, with a reduction of NBT photochemical reaction by 50% defined as one unit of enzyme activity [45,46]. H2O2 content was determined by using an H2O2 assay kit (Suzhou Grace Biotechnology Co., Ltd., Suzhou, China).

4.6. Generation of Cucumber with Silenced or Overexpressed CsCOL9 Gene

The full-length CDS of CsCOL9 was amplified using primer pairs from the pMD18-T-COL9 plasmid and subsequently ligated into the pNC-TRV2 plasmid and the pCAMBIA1301 plasmid to construct the gene-silencing vector pNC-TRV2-COL9 and the overexpression vector pCAMBIA1301-COL9, respectively [47].
Recombinant plasmids pNC-TRV2-COL9 and the empty plasmid pNC-TRV2 were transformed into Agrobacterium tumefaciens strain GV3101. When the Agrobacterium reached an OD600 of 1.2 at 28 °C, they were mixed in equal proportions with pNC-TRV1 and injected into the cotyledons of cucumber seedlings with only one true leaf. Plant materials were collected on days 7, 12, and 17 after transformation for gene expression analysis, H2O2 content measurement, and oxidase activity assays.
Similarly, recombinant plasmid pCAMBIA1301-COL9 and the empty plasmid pCAMBIA1301 were transformed into Agrobacterium tumefaciens strain GV3101. After reaching an OD600 of 1.2 at 28 °C, engineering agrobacterium were injected into the cotyledons of cucumber seedlings with only one true leaf. Plant materials were collected on days 1, 3, 5, and 7 after transformation for gene expression analysis, H2O2 content measurement, and oxidase activity assays.

4.7. B. tabaci Bioassay

Twelve days after injection of engineering agrobacterium including silencing vector pNC-TRV2-COL9 and six days after injection of engineering agrobacterium including overexpression vector pCAMBIA1301-COL9, free choice experiments and mortality assay of B. tabaci were conducted. This experiment was carried out in the greenhouse of the College of Plant Protection at Henan Agricultural University (photoperiod 16L:8D; a constant temperature of 26 °C; humidity 40%).
For the free choice experiment, cucumber plants with the CsCOL9 gene silenced (TRV2-CsCOL9) and control plants with empty vectors (TRV) were placed diagonally with insect rearing cages. One hundred B. tabaci adults were released between the two plants. The number of B. tabaci landing on each plant were counted at 1 h, 3 h, and 24 h post-release. The numbers of B. tabaci landing on CsCOL9 gene overexpression plants (1301-COL9) and control plants (1301) were recorded by using the same method [48]. The experiment was repeated eight times.
For the B. tabaci mortality assay, every 30 adults were collected and placed in a micro-insect cage. These cages were then clipped onto the first true leaf of cucumber plants with CsCOL9 gene silencing (TRV2-CsCOL9) and overexpression (1301-CsCOL9) separately. On days 2, 4, and 6, the numbers of live and dead B. tabaci within the micro-insect cages were recorded. Adults in cages clipped on plants with the empty gene silence vector (pNC-TRV2) and overexpression vector (pCAMBIA1301) were used as a control. The experiment was repeated eight times.

4.8. Data Analysis

All the experiments include three technical replicates. Experimental data were analyzed using Graphpad Prism 8.0.2 software. Two-way ANOVA was employed to analyze the differences between treatment groups and control groups in the experiments, with a significant level set at 0.05. The 2−ΔΔCt method was used for numerical conversion and comparative analysis of RT-qPCR data. Results are presented as mean ± standard error (mean ± SE).

Supplementary Materials

The supporting information can be downloaded at: https://www.mdpi.com/article/10.3390/ijms26010324/s1.

Author Contributions

S.X.: Conceptualization, performing all the experiments, data analysis, writing; B.S.: data curation and methodology; M.M.: investigation and methodology; C.Z.: writing review, editing; R.B.: funding acquisition; F.Y.: writing editing; C.L. supervision, writing review, editing. All authors have read and agreed to the published version of the manuscript.

Funding

The research was supported by Henan Province science and technology research and development plan joint fund (242103810009).

Institutional Review Board Statement

Not applicable.

Informed Consent Statement

Not applicable.

Data Availability Statement

The original contributions presented in the study are included in the article/Supplementary Material, further inquiry can be directed to the corresponding author.

Acknowledgments

We would like to thank Qingbo Tang for the suggestion on performing this research.

Conflicts of Interest

The authors declare no conflicts of interest.

References

  1. Yan, F.M.; Bai, R.E. Whitefly Fauna of China; Henan Science and Technology: Zhengzhou, China, 2017; pp. 108–110. [Google Scholar]
  2. De Barro, P.J.; Liu, S.S.; Boykin, L.M.; Dinsdale, A.B. Bemisia tabaci: A statement of species status. Annu. Rev. Entomol. 2011, 56, 1–19. [Google Scholar] [CrossRef] [PubMed]
  3. He, H.F.; Li, J.J.; Zhang, Z.L.; Tang, X.F.; Song, D.Y.; Yan, F.M. Impacts of cucurbit chlorotic yellows virus (CCYV) on biological characteristics of its vector Bemisia tabaci (Hemiptera: Aleyrodidae) MED species. J. Insect Sci. 2021, 21, 1–7. [Google Scholar] [CrossRef] [PubMed]
  4. Gangappa, S.N.; Botto, J.F. The BBX family of plant transcription factors. Trends Plant Sci. 2014, 19, 460–470. [Google Scholar] [CrossRef] [PubMed]
  5. Khanna, R.; Kronmiller, B.; Maszle, D.R.; Coupland, G.; Holm, M.; Mizuno, T.; Wu, S.H. The Arabidopsis B-box zinc finger family. Plant Cell 2009, 21, 3416–3420. [Google Scholar] [CrossRef] [PubMed]
  6. Liu, Z.; Liu, J.L.; An, L.; Wu, T.; Yang, L.; Cheng, Y.S.; Nie, X.S.; Qin, Z.Q. Genome-wide analysis of the CCT gene family in Chinese white pear (Pyrus bretschneideri Rehd.) and characterization of PbPRR2 in response to varying light signals. BMC Plant Biol. 2022, 22, 81. [Google Scholar] [CrossRef] [PubMed]
  7. Xu, D.Q.; Jiang, Y.; Li, J.; Holm, M.; Deng, X.W. The B-Box domain protein BBX21 promotes photomorphogenesis. Plant Physiol. 2018, 176, 2365–2375. [Google Scholar] [CrossRef]
  8. Wei, H.R.; Wang, P.P.; Chen, J.Q.; Li, C.J.; Wang, Y.Z.; Yuan, Y.B.; Fang, J.J.; Leng, X.P. Genome-wide identification and analysis of B-BOX gene family in grapevine reveal its potential functions in berry development. BMC Plant Biol. 2020, 20, 72–90. [Google Scholar] [CrossRef] [PubMed]
  9. Crocco, C.D.; Ocampo, G.G.; Ploschuk, E.L.; Mantese, A.; Botto, J.F. Heterologous expression of AtBBX21 enhances the rate of photosynthesis and alleviates photoinhibition in Solanumtuberosum. Plant Physiol. 2018, 177, 369–380. [Google Scholar] [CrossRef] [PubMed]
  10. Zhang, H.; Zhang, Q.; Zhai, H.; Gao, S.P.; Yang, L.; Wang, Z.; Xu, Y.T.; Huo, J.X.; Ren, Z.R.; Zhao, N.; et al. IbBBX24 promotes the jasmonic acid pathway and enhances Fusarium Wilt resistance in sweet potato. Plant Cell 2020, 32, 1102–1123. [Google Scholar] [CrossRef] [PubMed]
  11. Zhang, H.; Wang, Z.; Li, X.; Gao, X.R.; Dai, Z.R.; Cui, Y.F.; Zhi, Y.H.; Liu, Q.C.; Zhai, H.; Gao, S.P.; et al. The IbBBX24-IbTOE3-IbPRX17 module enhances abiotic stress tolerance by scavenging reactive oxygen species in sweet potato. New Phytol. 2022, 233, 1133–1152. [Google Scholar] [CrossRef] [PubMed]
  12. Dai, Y.Q.; Lu, Y.; Zhou, Z.; Wang, X.Y.; Ge, H.J.; Sun, Q.H. B-box containing protein 1 from Malus domestica (MdBBX1) is involved in the abiotic stress response. PeerJ 2022, 10, e12852. [Google Scholar] [CrossRef]
  13. Liu, X.; Li, R.; Dai, Y.Q.; Li, Y.; Sun, Q.H.; Zhang, S.Z.; Wang, X.Y. A B-box zinc finger protein, MdBBX10, enhanced salt and drought stresses tolerance in Arabidopsis. Plant Mol. Biol. 2019, 99, 437–447. [Google Scholar] [CrossRef] [PubMed]
  14. Mbambalala, N.; Panda, S.K.; Vyver, D.V.C. Overexpression of AtBBX29 improves drought tolerance by maintaining photosynthesis and enhancing the antioxidant and osmolyte capacity of sugarcane plants. Plant Mol. Biol. Rep. 2021, 39, 419–433. [Google Scholar] [CrossRef]
  15. Xu, X.; Wang, Q.; Li, W.Q.; Hu, T.X.; Wang, Q.Q.; Yin, Y.; Liu, X.H.; He, S.; Zhang, M.K.; Liang, Y.; et al. Overexpression of SlBBX17 affects plant growth and enhances heat tolerance in tomato. Int. J. Biol. Macromol. 2022, 206, 799–811. [Google Scholar] [CrossRef]
  16. Song, Z.Q. The Mechanisms of CCT1 and bZIP59 Transcription Factors Regulating Plant Immunity in Arabidopsis thaliana. Ph.D. Thesis, Anhui Agricultural University, Hefei, China, 2022. [Google Scholar]
  17. Shi, B.Z. Study on Effects and Its Mechanism of Bemisia tabaci Transmitting Cucurbit Chlorotic Yellows Virus on Host. Master’s Thesis, Henan Agricultural University, Zhengzhou, China, 2021. [Google Scholar]
  18. Zheng, L.W.; Ma, S.J.; Zhou, T.; Yue, C.P.; Hua, Y.P.; Huang, J.Y. Genome-wide identification of Brassicaceae B-BOX genes and molecular characterization of their transcriptional responses to various nutrient stresses in allotetraploid rapeseed. BMC Plant Biol. 2021, 21, 288. [Google Scholar] [CrossRef]
  19. Talar, U.; Kiełbowicz-Matuk, A. Beyond Arabidopsis: BBX regulators in crop plants. Int. J. Mol. Sci. 2021, 22, 2906. [Google Scholar] [CrossRef] [PubMed]
  20. Chen, J.; Chen, J.Y.; Wang, J.N.; Kuang, J.F.; Shan, W.; Lu, W.J. Molecular characterization and expression profiles of MaCOL1, a CONSTANS-like gene in banana fruit. Gene 2012, 496, 110–117. [Google Scholar] [CrossRef] [PubMed]
  21. Liu, H.; Dong, S.Y.; Sun, D.Y.; Liu, W.; Gu, F.W.; Liu, Y.Z.; Guo, T.; Wang, H.; Wang, J.F.; Chen, Z.Q. CONSTANS-Like 9 (OsCOL9) interacts with receptor for activated C-Kinase 1(OsRACK1) to regulate blast resistance through salicylic acid and ethylene signaling pathways. PLoS ONE 2016, 11, e0166249. [Google Scholar] [CrossRef] [PubMed]
  22. Zhang, X.M.; Zhang, L.; Ji, M.M.; Wu, Y.F.; Zhang, S.L.; Zhu, Y.X.; Yao, J.; Li, Z.; Gao, H.; Wang, X.P. Genome-wide identification and expression analysis of the B-box transcription factor gene family in grapevine (Vitis vinifera L.). BMC Genom. 2021, 22, 221. [Google Scholar] [CrossRef] [PubMed]
  23. Gruber, M.; Wu, L.; Links, M.; Gjetvaj, B.; Durkin, J.; Lewis, C.; Sharpe, A.; Lydiate, D.; Hegedus, D. Analysis of expressed sequence tags in Brassica napus cotyledons damaged by crucifer flea beetle feeding. Genome 2012, 55, 118–133. [Google Scholar] [CrossRef]
  24. Mittler, R.; Vanderauwera, S.; Gollery, M.; Van Breusegem, F. Reactive oxygen gene network of plants. Trends Plant Sci. 2004, 9, 490–498. [Google Scholar] [CrossRef] [PubMed]
  25. Saravanakumar, D.; Muthumeena, K.; Lavanya, N.; Suresh, S.; Rajendran, L.; Raguchander, T.; Samiyappan, R. Pseudomonas-induced defence molecules in rice plants against leaffolder (Cnaphalocrocis medinalis) pest. Pest Manag. Sci. 2007, 63, 714–721. [Google Scholar] [CrossRef] [PubMed]
  26. Guo, Z.G.; Wang, M.X.; Cui, L.; Han, B.Y. Research progress on the underlying mechanisms of plant defense enzymes in response to pest stress. Chin. J. Appl. Ecol. 2018, 29, 4248–4258. [Google Scholar] [CrossRef]
  27. Bittner, N.; Trauer-Kizilelma, U.; Hilker, M. Early plant defence against insect attack: Involvement of reactive oxygen species in plant responses to insect egg deposition. Planta 2017, 245, 993–1007. [Google Scholar] [CrossRef]
  28. Li, Z.Q.; Ding, B.; Zhou, X.P.; Wang, G.L. The rice dynamin-Related protein OsDRP1E negatively regulates programmed cell death by controlling the release of cytochrome c from mitochondria. PLoS Pathog. 2017, 13, e1006157. [Google Scholar] [CrossRef] [PubMed]
  29. Dempsey, D.A.; Shah, J.; Klessig, D.F. Salicylic acid and disease resistance in plants. Crit. Rev. Plant Sci. 1999, 18, 547–575. [Google Scholar] [CrossRef]
  30. Ramputh, A.I.; Arnason, J.T.; Cass, L.A.; Simmonds, J.A. Reduced herbivory of the European corn borer (Ostrinia nubilalis) on corn transformed with germin, a wheat oxalate oxidase gene. Plant Sci. 2002, 162, 431–440. [Google Scholar] [CrossRef]
  31. Scheler, C.; Durner, J.; Astier, J. Nitric oxide and reactive oxygen species in plant biotic interactions. Curr. Opin. Plant Biol. 2013, 16, 534–539. [Google Scholar] [CrossRef] [PubMed]
  32. Skelly, M.J.; Loake, G.J. Synthesis of redox-active molecules and their signaling functions during the expression of plant disease resistance. Antioxid. Redox Signal. 2013, 19, 990–997. [Google Scholar] [CrossRef]
  33. Liu, X.M.; Williams, C.E.; Nemacheck, J.A.; Wang, H.; Subramanyam, S.; Zheng, C.; Chen, M.S. Reactive oxygen species are involved in plant defense against a gall midge. Plant Physiol. 2010, 152, 985–999. [Google Scholar] [CrossRef]
  34. Mai, V.C.; Bednarski, W.; Borowiak-Sobkowiak, B.; Wilkaniec, B.; Samardakiewicz, S.; Morkunas, I. Oxidative stress in pea seedling leaves in response to Acyrthosiphon pisum infestation. Phytochemistry 2013, 93, 49–62. [Google Scholar] [CrossRef]
  35. Chen, P.; Liu, Q.Z. Effects of Tetranychus urticae feeding on the H2O2, MDA content and some defensive enzyme activities in strawberry leaves. J. Environ. Entomol. 2022, 44, 697–703. [Google Scholar] [CrossRef]
  36. Koramutla, M.K.; Kaur, A.; Negi, M.; Venkatachalam, P.; Bhattacharya, R. Elicitation of jasmonate-mediated host defense in Brassica juncea (L.) attenuates population growth of mustard aphid Lipaphis erysimi (Kalt.). Planta 2014, 240, 177–194. [Google Scholar] [CrossRef] [PubMed]
  37. Wen, J.; Zhi, J.R.; Lü, Z.Y.; Zhang, Y.Y. Effects of Tetranychus urticae feeding on the contents of main nutrient and defensive enzymes activities of tomato leaves. J. Environ. Entomol. 2017, 39, 172–180. [Google Scholar]
  38. Maffei, M.E.; Mithöfer, A.; Arimura, G.; Uchtenhagen, H.; Bossi, S.; Bertea, C.M.; Starvaggi Cucuzza, L.; Novero, M.; Volpe, V.; Quadro, S.; et al. Effects of feeding Spodoptera littoralis on lima bean leaves. III. Membrane depolarization and involvement of hydrogen peroxide. Plant Physiol. 2006, 140, 1022–1035. [Google Scholar] [CrossRef] [PubMed]
  39. Mu, X.Q.; Lin, P.; Li, Z.; Li, Y.S. Effects of damage by Grapholitha molesta and Cydia pomonella on host plant defensive enzyme activity. Chin. J. Appl. Entomol. 2020, 57, 348–354. [Google Scholar] [CrossRef]
  40. Wu, J.S.; Wang, L.; Wünsche, H.; Baldwin, I.T. Narboh D, a respiratory burst oxidase homolog in Nicotiana attenuata, is required for late defense responses after herbivore attack. J. Integr. Plant Biol. 2013, 55, 187–198. [Google Scholar] [CrossRef] [PubMed]
  41. Hu, L.F.; Ye, M.; Li, R.; Lou, Y.G. OsWRKY53, a versatile switch in regulating herbivore-induced defense responses in rice. Plant Signal. Behav. 2016, 11, e1169357. [Google Scholar] [CrossRef] [PubMed]
  42. Li, J.J.; Liang, X.Z.; Wang, X.L.; Shi, Y.; Gu, Q.S.; Kuo, Y.W.; Falk, B.W.; Yan, F.M. Direct evidence for the semipersistent transmission of Cucurbit chlorotic yellows virus by a whitefly vector. Sci. Rep. 2016, 6, 36604. [Google Scholar] [CrossRef] [PubMed]
  43. Zhang, Z.L.; He, H.F.; Yan, M.H.; Zhao, C.C.; Lei, C.Y.; Li, J.J.; Yan, F.M. Widely targeted analysis of metabolomic changes of Cucumis sativus induced by cucurbit chlorotic yellows virus. BMC Plant Biol. 2022, 22, 158. [Google Scholar] [CrossRef] [PubMed]
  44. Niu, M.L. Mechanism of Root-Sourced H2O2 Signal Mediated Elevated Salt Tolerance in cucumber Grafted onto Pumpkin Rootstock. Ph.D. Thesis, Huazhong Agricultural University, Wuhan, China, 2018. [Google Scholar]
  45. Zhen, A.; Bie, Z.L.; Huang, Y.; Liu, Z.X.; Lei, B. Effects of salt-tolerant rootstock grafting on ultrastructure, photosynthetic capacity, and H2O2-scavenging system in chloroplasts of cucumber seedlings under NaCl stress. Acta Physiol. Plant. 2011, 33, 2311–2319. [Google Scholar] [CrossRef]
  46. Jing, X.X.; Song, X.; Cai, S.L.; Wang, P.Y.; Lu, G.D.; Yu, L.; Zhang, C.; Wu, Z.J. Overexpression of OsHAK5 potassium transporter enhances virus resistance in rice (Oryza sativa). Mol. Plant Pathol. 2022, 23, 1107–1121. [Google Scholar] [CrossRef] [PubMed]
  47. Yan, P.; Zeng, Y.J.; Shen, W.T.; Tuo, D.C.; Li, X.Y.; Zhou, P. Nimble cloning: A simple, versatile, and efficient system for standardized molecular cloning. Front. Bioeng. Biotechnol. 2020, 7, 460. [Google Scholar] [CrossRef]
  48. He, H.F.; Li, J.J.; Zhang, Z.L.; Yan, M.H.; Zhang, B.B.; Zhu, C.Q.; Yan, W.L.; Shi, B.Z.; Wang, Y.X.; Zhao, C.C.; et al. A plant virus enhances odorant-binding protein 5 (OBP5) in the vector whitefly for more actively olfactory orientation to the host plant. Pest Manag. Sci. 2023, 79, 1410–1419. [Google Scholar] [CrossRef] [PubMed]
Figure 1. Bioinformatics analysis of CsCOL9. (A) Structure and domain composition of CsCOL9. The numbers indicate the amino acid positions of the corresponding conserved domains. Green and yellow rectangles represent the B-box and CCT domains, respectively. The scale bar represents 100 amino acids. (B) Multiple-sequence alignment of the CsCOL9 protein with other typical BBX protein members. Green indicates B-box motif, orange indicates CCT motif). The analysis included the following proteins: AtCOL2 (At3g02380), OsCOL9 (LOC_Os03g50310), VviBBX29a (XP_002272924.1), OsBBX7 (Os02g0724000), NtBBX14 (LOC107786610), MdBBX10 (103428264), IbBBX24 (MH813941), CpBBX19 (UAJ21025.1), BvBBX10 (LOC104908945), and AtBBX29 (At5g54470). Identical and similar amino acids are shaded, while highly conserved subdomains are indicated by horizontal lines. (C) Phylogenetic analysis of BBX proteins from cucumber (CsCOL9), rice (OsBBX7 and OsCOL9), Arabidopsis (AtCOL2 and AtBBX29), beetroot (BvBBX10), wintersweet (CpBBX19), sweet potato (IbBBX24), tobacco (NtBBX14), apple (MdBBX10), and grapevine (VviBBX29a). The phylogenetic tree was constructed using the neighbor-joining method in MEGA11.0, with numbers on nodes representing bootstrap support values. Red box indicates that it is the gene cloned in this article.
Figure 1. Bioinformatics analysis of CsCOL9. (A) Structure and domain composition of CsCOL9. The numbers indicate the amino acid positions of the corresponding conserved domains. Green and yellow rectangles represent the B-box and CCT domains, respectively. The scale bar represents 100 amino acids. (B) Multiple-sequence alignment of the CsCOL9 protein with other typical BBX protein members. Green indicates B-box motif, orange indicates CCT motif). The analysis included the following proteins: AtCOL2 (At3g02380), OsCOL9 (LOC_Os03g50310), VviBBX29a (XP_002272924.1), OsBBX7 (Os02g0724000), NtBBX14 (LOC107786610), MdBBX10 (103428264), IbBBX24 (MH813941), CpBBX19 (UAJ21025.1), BvBBX10 (LOC104908945), and AtBBX29 (At5g54470). Identical and similar amino acids are shaded, while highly conserved subdomains are indicated by horizontal lines. (C) Phylogenetic analysis of BBX proteins from cucumber (CsCOL9), rice (OsBBX7 and OsCOL9), Arabidopsis (AtCOL2 and AtBBX29), beetroot (BvBBX10), wintersweet (CpBBX19), sweet potato (IbBBX24), tobacco (NtBBX14), apple (MdBBX10), and grapevine (VviBBX29a). The phylogenetic tree was constructed using the neighbor-joining method in MEGA11.0, with numbers on nodes representing bootstrap support values. Red box indicates that it is the gene cloned in this article.
Ijms 26 00324 g001
Figure 2. Expression analysis of CsCOL9 in cucumber leaves at different developmental stages by RT-PCR. (A) Expression levels of CsCOL9 in roots, stems, and leaves during the seedling stage. (B) expression levels of CsCOL9 in roots, stems, leaves, and flowers during the flowering stage. (C) Expression levels of CsCOL9 in roots, stems, leaves, flowers, and fruits during the maturity stage. The relative expression level of CsCOL9 in roots is set to 1. Data are derived from three biological replicates, with the cucumber ACTIN gene used as an internal control to standardize expression levels. Averages and standard errors (SE) are represented by error bars. Asterisks indicate significant differences in gene expression based on t-tests.
Figure 2. Expression analysis of CsCOL9 in cucumber leaves at different developmental stages by RT-PCR. (A) Expression levels of CsCOL9 in roots, stems, and leaves during the seedling stage. (B) expression levels of CsCOL9 in roots, stems, leaves, and flowers during the flowering stage. (C) Expression levels of CsCOL9 in roots, stems, leaves, flowers, and fruits during the maturity stage. The relative expression level of CsCOL9 in roots is set to 1. Data are derived from three biological replicates, with the cucumber ACTIN gene used as an internal control to standardize expression levels. Averages and standard errors (SE) are represented by error bars. Asterisks indicate significant differences in gene expression based on t-tests.
Ijms 26 00324 g002
Figure 3. Expression analysis of CsCOL9 under oxidative stress, plant hormone treatment and B. tabaci feeding. (A) Treatment with SA at concentrations of 0 mM, 1 mM, 2 mM, and 4 mM. (B) Treatment with MeJA at concentrations of 0 mM, 1 mM, 2 mM, and 4 mM. (C) Treatment with H2O2 at concentrations of 0 and 10 mM. (D) B. tabaci feeding. Data are derived from four biological replicates of cucumbers, with the ACTIN gene used as an internal control to standardize expression levels. Averages and standard errors (SE) are represented by error bars. Asterisks indicate significant differences in gene expression based on t-tests (ns, p > 0.05; * p ≤ 0.05; ** p ≤ 0.01; *** p ≤ 0.001).
Figure 3. Expression analysis of CsCOL9 under oxidative stress, plant hormone treatment and B. tabaci feeding. (A) Treatment with SA at concentrations of 0 mM, 1 mM, 2 mM, and 4 mM. (B) Treatment with MeJA at concentrations of 0 mM, 1 mM, 2 mM, and 4 mM. (C) Treatment with H2O2 at concentrations of 0 and 10 mM. (D) B. tabaci feeding. Data are derived from four biological replicates of cucumbers, with the ACTIN gene used as an internal control to standardize expression levels. Averages and standard errors (SE) are represented by error bars. Asterisks indicate significant differences in gene expression based on t-tests (ns, p > 0.05; * p ≤ 0.05; ** p ≤ 0.01; *** p ≤ 0.001).
Ijms 26 00324 g003
Figure 4. Effects of B. tabaci Feeding on ROS Generation in Cucumbers. (A) H2O2 content in cucumbers infested with B. tabaci. (B) Relative expression level of CsRBOH. (C) Relative expression level of CsSOD. (D) Activity of SOD. (E) Relative expression level of CsPOD. (F) Activity of POD; data are derived from four biological replicates of cucumbers, with the actin gene used as an internal control to standardize expression levels. Averages and standard errors (SE) are represented by error bars. Asterisks indicate significant differences in gene expression based on t-tests (* p ≤ 0.05; ** p ≤ 0.01; *** p ≤ 0.001).
Figure 4. Effects of B. tabaci Feeding on ROS Generation in Cucumbers. (A) H2O2 content in cucumbers infested with B. tabaci. (B) Relative expression level of CsRBOH. (C) Relative expression level of CsSOD. (D) Activity of SOD. (E) Relative expression level of CsPOD. (F) Activity of POD; data are derived from four biological replicates of cucumbers, with the actin gene used as an internal control to standardize expression levels. Averages and standard errors (SE) are represented by error bars. Asterisks indicate significant differences in gene expression based on t-tests (* p ≤ 0.05; ** p ≤ 0.01; *** p ≤ 0.001).
Ijms 26 00324 g004
Figure 5. CsCOL9 silence detection and its effects on B. tabaci and ROS. (A) CsCOL9 silencing efficiency detection. (B) Survival rate of B. tabaci. (C) Mortality rate of B. tabaci. (D) Free choice of B. tabaci. (E) H2O2 content. (F) Relative expression levels of CsRBOH. (G) Relative expression levels of CsSOD. (H) SOD activity. (I) Relative expression levels of CsPOD. (J) POD activity. CK: Healthy plants. TRV2: Plants transformed with the empty vector. TRV2-CsCOL9: Plants transformed with the CsCOL9 silencing vector. Data are derived from four biological replicates of cucumbers, with the actin gene used as an internal control to normalize expression levels. Averages and standard errors (SE) are represented by error bars. Asterisks indicate significant differences in gene expression based on t-tests (ns, p > 0.05; * p ≤ 0.05; ** p ≤ 0.01; *** p ≤ 0.001).
Figure 5. CsCOL9 silence detection and its effects on B. tabaci and ROS. (A) CsCOL9 silencing efficiency detection. (B) Survival rate of B. tabaci. (C) Mortality rate of B. tabaci. (D) Free choice of B. tabaci. (E) H2O2 content. (F) Relative expression levels of CsRBOH. (G) Relative expression levels of CsSOD. (H) SOD activity. (I) Relative expression levels of CsPOD. (J) POD activity. CK: Healthy plants. TRV2: Plants transformed with the empty vector. TRV2-CsCOL9: Plants transformed with the CsCOL9 silencing vector. Data are derived from four biological replicates of cucumbers, with the actin gene used as an internal control to normalize expression levels. Averages and standard errors (SE) are represented by error bars. Asterisks indicate significant differences in gene expression based on t-tests (ns, p > 0.05; * p ≤ 0.05; ** p ≤ 0.01; *** p ≤ 0.001).
Ijms 26 00324 g005
Figure 6. Detection of CsCOL9 overexpression efficiency and its effects on B. tabaci and ROS. (A) CsCOL9 overexpression efficiency detection. (B) Survival rate of B. tabaci. (C) Mortality rate of B. tabaci. (D) Free choice behavior of B. tabaci. (E) H2O2 contents. (F) Relative expression level of CsRBOH. (G) Relative expression level of CsSOD. (H) SOD activity. (I) Relative expression level of CsPOD. (J) POD activity. CK: Healthy cucumber. 1301: cucumber transformed with the empty vector pCAMBIA1301. 1301-CsCOL9: plants transformed with the CsCOL9 overexpression vector. Data are derived from four biological replicates of cucumbers, with the actin gene used as an internal control to normalize expression levels. Averages and standard errors (SE) are represented by error bars. Asterisks indicate significant differences in gene expression based on t-tests (ns, p > 0.05; * p ≤ 0.05; ** p ≤ 0.01; *** p ≤ 0.001).
Figure 6. Detection of CsCOL9 overexpression efficiency and its effects on B. tabaci and ROS. (A) CsCOL9 overexpression efficiency detection. (B) Survival rate of B. tabaci. (C) Mortality rate of B. tabaci. (D) Free choice behavior of B. tabaci. (E) H2O2 contents. (F) Relative expression level of CsRBOH. (G) Relative expression level of CsSOD. (H) SOD activity. (I) Relative expression level of CsPOD. (J) POD activity. CK: Healthy cucumber. 1301: cucumber transformed with the empty vector pCAMBIA1301. 1301-CsCOL9: plants transformed with the CsCOL9 overexpression vector. Data are derived from four biological replicates of cucumbers, with the actin gene used as an internal control to normalize expression levels. Averages and standard errors (SE) are represented by error bars. Asterisks indicate significant differences in gene expression based on t-tests (ns, p > 0.05; * p ≤ 0.05; ** p ≤ 0.01; *** p ≤ 0.001).
Ijms 26 00324 g006aIjms 26 00324 g006b
Disclaimer/Publisher’s Note: The statements, opinions and data contained in all publications are solely those of the individual author(s) and contributor(s) and not of MDPI and/or the editor(s). MDPI and/or the editor(s) disclaim responsibility for any injury to people or property resulting from any ideas, methods, instructions or products referred to in the content.

Share and Cite

MDPI and ACS Style

Xie, S.; Shi, B.; Miao, M.; Zhao, C.; Bai, R.; Yan, F.; Lei, C. A B-Box (BBX) Transcription Factor from Cucumber, CsCOL9 Positively Regulates Resistance of Host Plant to Bemisia tabaci. Int. J. Mol. Sci. 2025, 26, 324. https://doi.org/10.3390/ijms26010324

AMA Style

Xie S, Shi B, Miao M, Zhao C, Bai R, Yan F, Lei C. A B-Box (BBX) Transcription Factor from Cucumber, CsCOL9 Positively Regulates Resistance of Host Plant to Bemisia tabaci. International Journal of Molecular Sciences. 2025; 26(1):324. https://doi.org/10.3390/ijms26010324

Chicago/Turabian Style

Xie, Shuixiang, Baozheng Shi, Mengzhen Miao, Chenchen Zhao, Rune Bai, Fengming Yan, and Caiyan Lei. 2025. "A B-Box (BBX) Transcription Factor from Cucumber, CsCOL9 Positively Regulates Resistance of Host Plant to Bemisia tabaci" International Journal of Molecular Sciences 26, no. 1: 324. https://doi.org/10.3390/ijms26010324

APA Style

Xie, S., Shi, B., Miao, M., Zhao, C., Bai, R., Yan, F., & Lei, C. (2025). A B-Box (BBX) Transcription Factor from Cucumber, CsCOL9 Positively Regulates Resistance of Host Plant to Bemisia tabaci. International Journal of Molecular Sciences, 26(1), 324. https://doi.org/10.3390/ijms26010324

Note that from the first issue of 2016, this journal uses article numbers instead of page numbers. See further details here.

Article Metrics

Back to TopTop