Natural Molecule-Derived Nanogels from Hematoxylin and l-lysine for Biomedical Use with Antimicrobial Properties
Abstract
1. Introduction
2. Results and Discussion
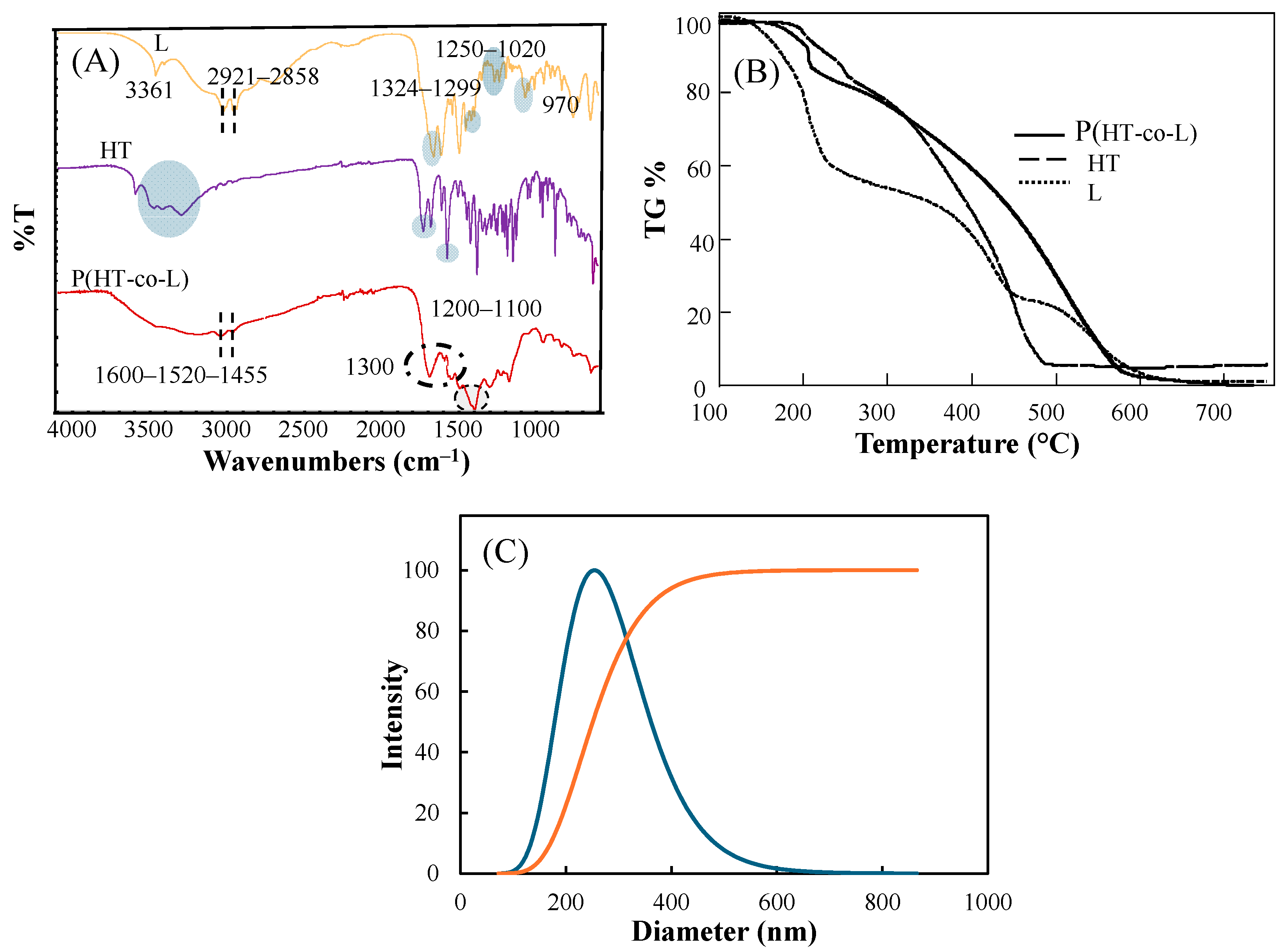
2.1. Characterization of p(HT-co-l) Nanogels
2.2. Bioactive Properties of p(HT-co-l) Nanogels
| E. coli | S. aureus | C. albicans | ||||
|---|---|---|---|---|---|---|
| L | p(HT-co-l) | L | p(HT-co-l) | L | p(HT-co-l) | |
| MIC | 10 | 1.25 | 10 | 1.25 | 5 | 5 |
| MBC | N.D | 5 | N.D | 10 | N.D | 10 |
2.3. Cell Toxicity Tests
- (a)
- Cell cytotoxicity test of p(HT-co-l) nanogels. Nuli-1 cells were cultured in normal medium for 20 h, and then 62.5 μg/mL, 125 μg/mL, 250 μg/mL, 500 μg/mL, and 1000 μg/mL p(HT-co-l) were added to each well, respectively.
- (b)
- Cell cytotoxicity assay of HT. Nuli-1 cells were cultured in a normal medium for 20 h, and then 62.5 μg/mL, 125 μg/mL, 250 μg/mL, and 500 μg/mL HT were added to each well, respectively. The signals were recorded at 4000 Hz. Each condition was performed in triplicate.
- (c)
- Cell cytotoxicity assay of p(HT-co-l) and HT. Nuli-1 cells were cultured in a normal medium for 20 h, and then 125 μg/mL p(HT-co-l) or HT was added to each well. The signals were recorded at 4000 Hz. Each condition was performed in triplicate.
- (d)
- Evaluation of Nuli-1 cells response to p(HT-co-l) nanogels.
3. Materials and Methods
3.1. Materials
3.2. Synthesis and Characterization of p(HT-co-l) Nanogels
3.3. Antibacterial Studies of p(HT-co-l) Nanogels
3.4. Cell Culture
3.5. Cell Cytotoxicity Assay
4. Conclusions
Supplementary Materials
Author Contributions
Funding
Institutional Review Board Statement
Informed Consent Statement
Data Availability Statement
Acknowledgments
Conflicts of Interest
References
- Drachneris, J.; Morkunas, M.; Fabijonavicius, M.; Cekauskas, A.; Jankevicius, F.; Laurinavicius, A. Prediction of Non-Muscle Invasive Papillary Urothelial Carcinoma Relapse from Hematoxylin–Eosin Images Using Deep Multiple Instance Learning in Patients Treated with Bacille Calmette–Guérin Immunotherapy. Biomedicines 2024, 12, 360. [Google Scholar] [CrossRef]
- Shovon, M.S.H.; Islam, M.J.; Nabil, M.N.A.K.; Molla, M.M.; Jony, A.I.; Mridha, M.F. Strategies for Enhancing the Multi-Stage Classification Performances of HER2 Breast Cancer from Hematoxylin and Eosin Images. Diagnostics 2022, 12, 2825. [Google Scholar] [CrossRef]
- Cooksey, C.J. Hematoxylin in the 21 St Century. Biotech. Histochem. 2021, 96, 242–249. [Google Scholar] [CrossRef]
- Long Vu, D.; Červenka, L. Determination of Sulfide by Hematoxylin Multiwalled Carbon Nanotubes Modified Carbon Paste Electrode. Electroanalysis 2013, 25, 1967–1973. [Google Scholar] [CrossRef]
- Yin, H.-H.; Han, Y.-L.; Yan, X.; Guan, Y.-X. Hematoxylin Modulates Tau-RD Protein Fibrillization and Ameliorates Alzheimer’s Disease-like Symptoms in a Yeast Model. Int. J. Biol. Macromol. 2023, 250, 126140. [Google Scholar] [CrossRef]
- Sahiner, M.; Sunol, A.K.; Sahiner, N. Cell Staining Microgels Derived from a Natural Phenolic Dye: Hematoxylin Has Intriguing Biomedical Potential. Pharmaceutics 2024, 16, 147. [Google Scholar] [CrossRef] [PubMed]
- Sahiner, M.; Tian, Z.; Demirci, S.; Sunol, A.; Allen-Gipson, D.S.; Sahiner, N. Bio-MOFs Based on Natural Phenolic, Hematoxylin Leverages Biomedical Applications: Enzyme Inhibition, Antioxidant, and Antibacterial Properties. Chem. Biodivers. 2024, e202401857. [Google Scholar] [CrossRef]
- He, X.; Zhu, H.; Shang, J.; Li, M.; Zhang, Y.; Zhou, S.; Gong, G.; He, Y.; Blocki, A.; Guo, J. Intratumoral Synthesis of Transformable Metal-Phenolic Nanoaggregates with Enhanced Tumor Penetration and Retention for Photothermal Immunotherapy. Theranostics 2022, 12, 6258–6272. [Google Scholar] [CrossRef] [PubMed]
- Zare, H.R.; Nasirizadeh, N. A Study of the Electrochemical Behavior of Hematoxylin as an Important Bioactive Flavonoid. Electrochim. Acta 2011, 56, 3920–3925. [Google Scholar] [CrossRef]
- Wunderle, C.; Haller, L.; Laager, R.; Bernasconi, L.; Neyer, P.; Stumpf, F.; Tribolet, P.; Stanga, Z.; Mueller, B.; Schuetz, P. The Association of the Essential Amino Acids Lysine, Methionine, and Threonine with Clinical Outcomes in Patients at Nutritional Risk: Secondary Analysis of a Randomized Clinical Trial. Nutrients 2024, 16, 2608. [Google Scholar] [CrossRef] [PubMed]
- Tang, S.; Wei, Z.; Guo, J.; Sun, X.; Hu, Y. Enantioselective Recognition of L-Lysine by ICT Effect with a Novel Binaphthyl-Based Complex. Micromachines 2023, 14, 500. [Google Scholar] [CrossRef] [PubMed]
- Thoma, B.; Powner, M.W. Selective Synthesis of Lysine Peptides and the Prebiotically Plausible Synthesis of Catalytically Active Diaminopropionic Acid Peptide Nitriles in Water. J. Am. Chem. Soc. 2023, 145, 3121–3130. [Google Scholar] [CrossRef] [PubMed]
- Severyanova, L.A.; Lazarenko, V.A.; Plotnikov, D.V.; Dolgintsev, M.E.; Kriukov, A.A. L-Lysine as the Molecule Influencing Selective Brain Activity in Pain-Induced Behavior of Rats. Int. J. Mol. Sci. 2019, 20, 1899. [Google Scholar] [CrossRef]
- Zhao, M.; Lin, Y.; Chen, H. Improving Nutritional Quality of Rice for Human Health. Theor. Appl. Genet. 2020, 133, 1397–1413. [Google Scholar] [CrossRef]
- Gao, Y.; Jia, F.; Gao, G. Transparent and Conductive Amino Acid-Tackified Hydrogels as Wearable Strain Sensors. Chem. Eng. J. 2019, 375, 121915. [Google Scholar] [CrossRef]
- Konai, M.M.; Haldar, J. Lysine-Based Small Molecules That Disrupt Biofilms and Kill Both Actively Growing Planktonic and Nondividing Stationary Phase Bacteria. ACS Infect. Dis. 2015, 1, 469–478. [Google Scholar] [CrossRef]
- Juan, C.-Y.; Zhang, Y.-S.; Cheng, J.-K.; Chen, Y.-H.; Lin, H.-C.; Yeh, M.-Y. Lysine-Triggered Polymeric Hydrogels with Self-Adhesion, Stretchability, and Supportive Properties. Polymers 2024, 16, 1388. [Google Scholar] [CrossRef]
- Yin, Y.; Hu, B.; Yuan, X.; Cai, L.; Gao, H.; Yang, Q. Nanogel: A Versatile Nano-Delivery System for Biomedical Applications. Pharmaceutics 2020, 12, 290. [Google Scholar] [CrossRef] [PubMed]
- Yi, Z.; Chen, G.; Chen, X.; Ma, X.; Cui, X.; Sun, Z.; Su, W.; Li, X. Preparation of Strong Antioxidative, Therapeutic Nanoparticles Based on Amino Acid-Induced Ultrafast Assembly of Tea Polyphenols. ACS Appl. Mater. Interfaces 2020, 12, 33550–33563. [Google Scholar] [CrossRef]
- Tian, M.; Chen, G.; Xu, J.; Lin, Y.; Yi, Z.; Chen, X.; Li, X.; Chen, S. Epigallocatechin Gallate-Based Nanoparticles with Reactive Oxygen Species Scavenging Property for Effective Chronic Periodontitis Treatment. Chem. Eng. J. 2022, 433, 132197. [Google Scholar] [CrossRef]
- Chen, X.; Yi, Z.; Chen, G.; Ma, X.; Tong, Q.; Tang, L.; Li, X. Engineered Fabrication of EGCG-UV Absorber Conjugated Nano-Assemblies for Antioxidative Sunscreens with Broad-Band Absorption. Colloids Surf. B Biointerfaces 2022, 220, 112912. [Google Scholar] [CrossRef] [PubMed]
- Liu, C.; Wu, H.; Duan, H.; Hou, Y.; Wang, S.; Liu, Y.; Zhang, X.; Zhao, H.; Gong, L.; Wan, H.; et al. An EGCG-Mediated Self-Assembled Micellar Complex Acts as a Bioactive Drug Carrier. Food Chem. 2023, 418, 135939. [Google Scholar] [CrossRef]
- ElKhatat, A.M.; Al-Muhtaseb, S.A. Advances in Tailoring Resorcinol-Formaldehyde Organic and Carbon Gels. Adv. Mater. 2011, 23, 2887–2903. [Google Scholar] [CrossRef] [PubMed]
- Ustunol, I.B.; Gonzalez-Pech, N.I.; Grassian, V.H. PH-Dependent Adsorption of α-Amino Acids, Lysine, Glutamic Acid, Serine and Glycine, on TiO2 Nanoparticle Surfaces. J. Colloid Interface Sci. 2019, 554, 362–375. [Google Scholar] [CrossRef]
- Singh, A.V.; Bansod, G.; Schumann, A.; Bierkandt, F.S.; Laux, P.; Nakhale, S.V.; Shelar, A.; Patil, R.; Luch, A. Investigating Tattoo Pigments Composition with UV-Vis and FT-IR Spectroscopy Supported by Chemometric Modelling. Curr. Anal. Chem. 2024, 20. [Google Scholar] [CrossRef]
- Ye, R.; Xu, H.; Wan, C.; Peng, S.; Wang, L.; Xu, H.; Aguilar, Z.P.; Xiong, Y.; Zeng, Z.; Wei, H. Antibacterial Activity and Mechanism of Action of ε-Poly-l-Lysine. Biochem. Biophys. Res. Commun. 2013, 439, 148–153. [Google Scholar] [CrossRef] [PubMed]
- Can, M.; Sahiner, M.; Sahiner, N. Colloidal Bioactive Nanospheres Prepared from Natural Biomolecules, Catechin and L-Lysine. J. Polym. Res. 2022, 29, 88. [Google Scholar] [CrossRef]
- ATCC 8739. Available online: https://www.atcc.org/products/8739 (accessed on 22 December 2024).
- ATCC 6538. Available online: https://www.atcc.org/products/6538 (accessed on 22 December 2024).
- ATCC 10231. Available online: https://www.atcc.org/products/10231 (accessed on 22 December 2024).
- Dash, P.; Nataraj, N.; Panda, P.K.; Tseng, C.-L.; Lin, Y.-C.; Sakthivel, R.; Chung, R.-J. Construction of Methotrexate-Loaded Bi 2 S 3 Coated with Fe/Mn-Bimetallic Doped ZIF-8 Nanocomposites for Cancer Treatment Through the Synergistic Effects of Photothermal/Chemodynamic/Chemotherapy. ACS Appl. Mater. Interfaces 2024. [Google Scholar] [CrossRef]
- Badea, I.; Alwani, S.; Kaur, R.; Michel, D.; Chitanda, J.M.; Verrall, R.; Karunakaran, C. Lysine-Functionalized Nanodiamonds as Gene Carriers: Development of Stable Colloidal Dispersion for in Vitro Cellular Uptake Studies and SiRNA Delivery Application. Int. J. Nanomed. 2016, 11, 687–702. [Google Scholar] [CrossRef] [PubMed]
- Lukasheva, E.; Makletsova, M.; Lukashev, A.; Babayeva, G.; Arinbasarova, A.; Medentsev, A. Fungal Enzyme L-Lysine α-Oxidase Affects the Amino Acid Metabolism in the Brain and Decreases the Polyamine Level. Pharmaceuticals 2020, 13, 398. [Google Scholar] [CrossRef]
- Joshi, K.M.; Shelar, A.; Kasabe, U.; Nikam, L.K.; Pawar, R.A.; Sangshetti, J.; Kale, B.B.; Singh, A.V.; Patil, R.; Chaskar, M.G. Biofilm Inhibition in Candida Albicans with Biogenic Hierarchical Zinc-Oxide Nanoparticles. Biomater. Adv. 2022, 134, 112592. [Google Scholar] [CrossRef]
- Ahmad-Mansour, N.; Loubet, P.; Pouget, C.; Dunyach-Remy, C.; Sotto, A.; Lavigne, J.-P.; Molle, V. Staphylococcus Aureus Toxins: An Update on Their Pathogenic Properties and Potential Treatments. Toxins 2021, 13, 677. [Google Scholar] [CrossRef]
- Taha, M.; Alhakamy, N.A.; Md, S.; Ahmad, M.Z.; Rizwanullah, M.; Fatima, S.; Ahmed, N.; Alyazedi, F.M.; Karim, S.; Ahmad, J. Nanogels as Potential Delivery Vehicles in Improving the Therapeutic Efficacy of Phytopharmaceuticals. Polymers 2022, 14, 4141. [Google Scholar] [CrossRef] [PubMed]
- Suner, S.S.; Sahiner, M.; Akcali, A.; Sahiner, N. Functionalization of Halloysite Nanotubes with Polyethyleneimine and Various Ionic Liquid Forms with Antimicrobial Activity. J. Appl. Polym. Sci. 2020, 137, 48352. [Google Scholar] [CrossRef]
- Tian, Z.; Zhang, H.; Dixon, J.; Traphagen, N.; Wyatt, T.A.; Kharbanda, K.; Simet Chadwick, S.; Kolliputi, N.; Allen-Gipson, D.S. Cigarette Smoke Impairs A2A Adenosine Receptor Mediated Wound Repair through Up-Regulation of Duox-1 Expression. Sci. Rep. 2017, 7, 44405. [Google Scholar] [CrossRef] [PubMed]






| Theoretical Calculation | Experimental | |||||||
|---|---|---|---|---|---|---|---|---|
| C% | H% | N% | O% | C% | H% | N% | O% | |
| HT | 63.3 | 4.6 | 0.0 | 32.1 | 54.8 | 4.9 | 0.0 | 40.0 |
| L | 49.3 | 9.6 | 19.1 | 22.0 | 46.3 | 7.5 | 15.4 | 30.8 |
| p(HT-co-l) | 56.5 | 7.1 | 4.7 | 31.7 | 54.1 | 5.9 | 6.3 | 33.7 |
Disclaimer/Publisher’s Note: The statements, opinions and data contained in all publications are solely those of the individual author(s) and contributor(s) and not of MDPI and/or the editor(s). MDPI and/or the editor(s) disclaim responsibility for any injury to people or property resulting from any ideas, methods, instructions or products referred to in the content. |
© 2024 by the authors. Licensee MDPI, Basel, Switzerland. This article is an open access article distributed under the terms and conditions of the Creative Commons Attribution (CC BY) license (https://creativecommons.org/licenses/by/4.0/).
Share and Cite
Sahiner, M.; Tian, Z.; Allen-Gipson, D.; Sunol, A.K.; Sahiner, N. Natural Molecule-Derived Nanogels from Hematoxylin and l-lysine for Biomedical Use with Antimicrobial Properties. Int. J. Mol. Sci. 2025, 26, 138. https://doi.org/10.3390/ijms26010138
Sahiner M, Tian Z, Allen-Gipson D, Sunol AK, Sahiner N. Natural Molecule-Derived Nanogels from Hematoxylin and l-lysine for Biomedical Use with Antimicrobial Properties. International Journal of Molecular Sciences. 2025; 26(1):138. https://doi.org/10.3390/ijms26010138
Chicago/Turabian StyleSahiner, Mehtap, Zhi Tian, Diane Allen-Gipson, Aydin K. Sunol, and Nurettin Sahiner. 2025. "Natural Molecule-Derived Nanogels from Hematoxylin and l-lysine for Biomedical Use with Antimicrobial Properties" International Journal of Molecular Sciences 26, no. 1: 138. https://doi.org/10.3390/ijms26010138
APA StyleSahiner, M., Tian, Z., Allen-Gipson, D., Sunol, A. K., & Sahiner, N. (2025). Natural Molecule-Derived Nanogels from Hematoxylin and l-lysine for Biomedical Use with Antimicrobial Properties. International Journal of Molecular Sciences, 26(1), 138. https://doi.org/10.3390/ijms26010138

