Elucidating Gender-Specific Distribution of Imipramine, Chloroquine, and Their Metabolites in Mice Kidney Tissues through AP-MALDI-MSI
Abstract
1. Introduction
2. Results
2.1. Detection of Standard Imipramine and Chloroquine Drugs Applying AP-MALDI-MSI
2.2. Detection of Imipramine and Chloroquine in Treated Mice Kidneys Using AP-MALDI-MSI
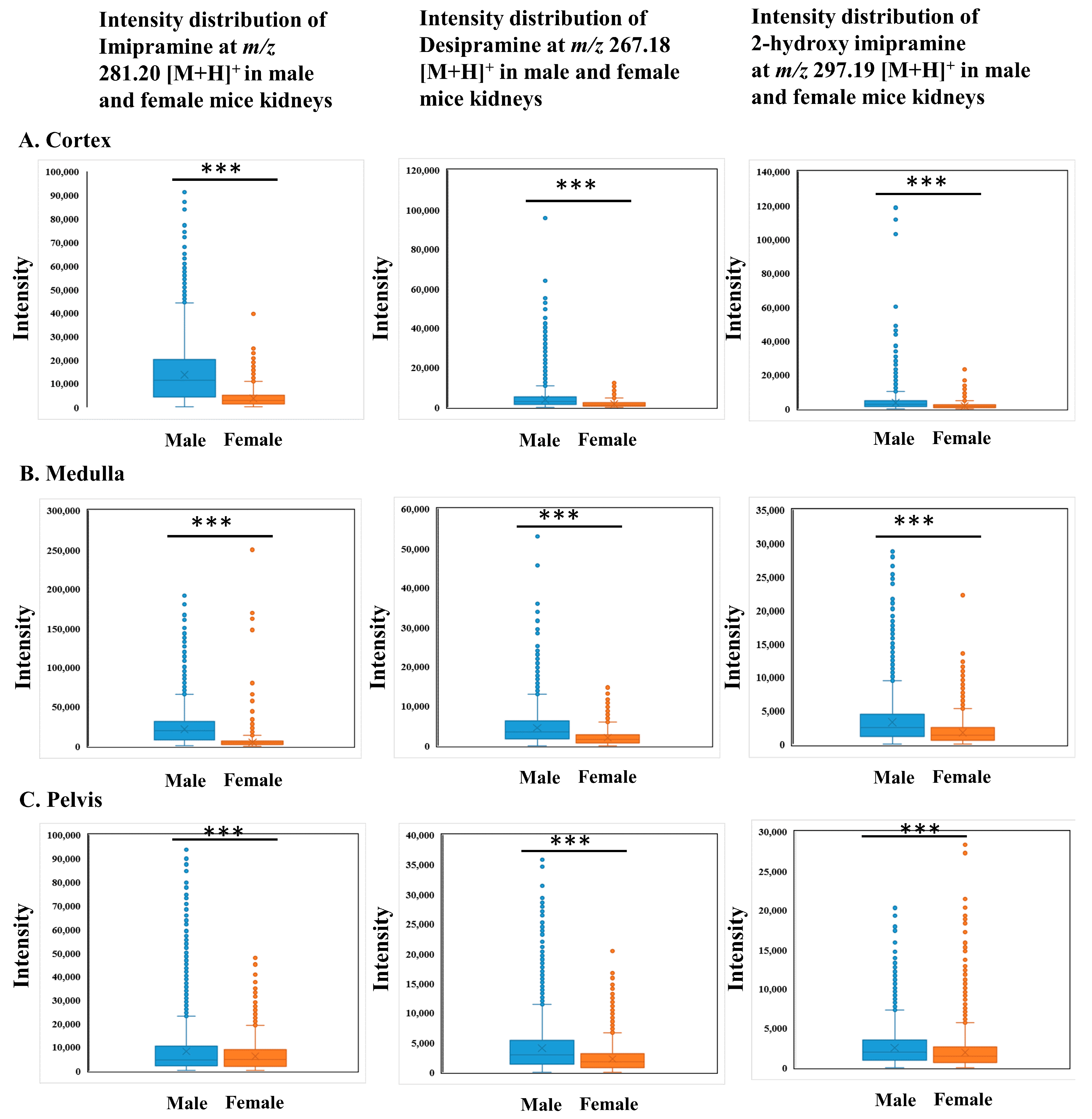
2.3. Spatial Distribution of Imipramine and Its Metabolites in the Kidneys of Treated Mice
2.4. Spatial Distribution of Chloroquine and Its Metabolites in the Kidneys of Treated Mice
3. Discussion
4. Materials and Methods
4.1. Chemicals and Materials
4.2. Preparation of Standard Solution for AP-MALDI-MSI
4.3. Animals and Experimental Design
4.4. Sample Preparation for AP-MALDI-MSI Measurements
4.5. AP-MALDI-MSI
4.6. Hematoxylin and Eosin Staining
4.7. MSI Data Analysis
5. Conclusions
Author Contributions
Funding
Institutional Review Board Statement
Informed Consent Statement
Data Availability Statement
Acknowledgments
Conflicts of Interest
References
- Li, Z.; Xiao, Y.; Peng, J.; Locke, D.; Holmes, D.; Li, L.; Hamilton, S.; Cook, E.; Myer, L.; Vanderwall, D.; et al. Quantifying drug tissue biodistribution by integrating high content screening with deep-learning analysis. Sci. Rep. 2020, 10, 14408. [Google Scholar] [CrossRef] [PubMed]
- Zucker, I.; Prendergast, B.J. Sex differences in pharmacokinetics predict adverse drug reactions in women. Biol. Sex Differ. 2020, 11, 32. [Google Scholar] [CrossRef] [PubMed]
- Meibohm, B.; Beierle, I.; Derendorf, H. How important are gender differences in pharmacokinetics? Clin. Pharmacokinet. 2002, 41, 329–342. [Google Scholar] [CrossRef] [PubMed]
- Franconi, F.; Brunelleschi, S.; Steardo, L.; Cuomo, V. Gender differences in drug responses. Pharmacol. Res. 2007, 55, 81–95. [Google Scholar] [CrossRef] [PubMed]
- Romanescu, M.; Buda, V.; Lombrea, A.; Andor, M.; Ledeti, I.; Suciu, M.; Danciu, C.; Dehelean, L. Sex-related differences in pharmacological response to CNS drugs. A Narrative Review. J. Pers. Med. 2022, 12, 907. [Google Scholar] [CrossRef] [PubMed]
- Schwartz, J.B. The influence of sex on pharmacokinetics. Clin. Pharmacokinet. 2003, 42, 107–121. [Google Scholar] [CrossRef] [PubMed]
- Castellino, S.; Groseclose, M.R.; Wagner, D. MALDI imaging mass spectrometry: Bridging biology and chemistry in drug development. Bioanalysis 2011, 3, 2427–2441. [Google Scholar] [CrossRef] [PubMed]
- Solon, E.G. Autoradiography techniques and quantification of drug distribution. Cell Tissue Res. 2015, 360, 87–107. [Google Scholar] [CrossRef]
- Brovko, L. Bioluminescence and Fluorescence for In Vivo Imaging; The International Society for Optical Engineering: Bellingham, WA, USA, 2010; pp. 1–149. [Google Scholar]
- Campbell, B.R.; Gonzalez Trotter, D.; Hines, C.D.; Li, W.; Patel, M.; Zhang, W.; Evelhoch, J.L. In vivo imaging in pharmaceutical development and its impact on the 3Rs. ILAR J. 2017, 57, 212–220. [Google Scholar] [CrossRef]
- Arms, L.; Smith, D.W.; Flynn, J.; Palmer, W.; Martin, A.; Woldu, A.; Hua, S. Advantages and limitations of current techniques for analyzing the biodistribution of nanoparticles. Front. Pharmacol. 2018, 9, 802. [Google Scholar] [CrossRef]
- Tung, J.K.; Berglund, K.; Gutekunst, C.A.; Hochgeschwender, U.; Gross, R.E. Bioluminescence imaging in live cells and animals. Neurophotonics 2016, 3, 025001. [Google Scholar] [CrossRef] [PubMed]
- Dannhorn, A.; Kazanc, E.; Hamm, G.; Swales, J.G.; Strittmatter, N.; Maglennon, G.; Goodwin, R.J.A.; Takats, Z. Correlating Mass Spectrometry Imaging and Liquid Chromatography-Tandem Mass Spectrometry for Tissue-Based Pharmacokinetic Studies. Metabolites 2022, 12, 261. [Google Scholar] [CrossRef] [PubMed]
- Alshammari, Q.A.; Pala, R.; Katzir, N.; Nauli, S.M. Label-free spectral imaging to study drug distribution and metabolism in single living cells. Sci. Rep. 2021, 11, 2703. [Google Scholar] [CrossRef] [PubMed]
- Mamun, A.; Islam, A.; Eto, F.; Sato, T.; Setou, M. Mass spectrometry based phospholipid imaging. Methods and findings. Expert Rev. Proteom. 2020, 17, 843–854. [Google Scholar] [CrossRef] [PubMed]
- Mamun, M.; Sato, S.; Naru, E.; Sakata, O.; Hoshikawa, E.; Suzuki, A.; Islam, A.; Kahyo, T.; Sato, T.; Ito, T.K.; et al. Higher Accumulation of Docosahexaenoic Acid in the Vermilion of the Human Lip than in the Skin. Int. J. Mol. Sci. 2020, 21, 2807. [Google Scholar] [CrossRef] [PubMed]
- Islam, A.; Takeyama, E.; Mamun, M.A.; Sato, T.; Horikawa, M.; Takahashi, Y.; Kikushima, K.; Setou, M. Green nut Oil or DHA Supplementation Restored Decreased Distribution Levels of DHA Containing Phosphatidylcholines in the Brain of a Mouse Model of Dementia. Metabolites 2020, 10, 153. [Google Scholar] [CrossRef] [PubMed]
- Karlsson, O.; Hanrieder, J. Imaging Mass Spectrometry in Drug Development and Toxicology. Arch. Toxicol. 2017, 91, 2283–2294. [Google Scholar] [CrossRef] [PubMed]
- Prideaux, B.; Stoeckli, M. Mass spectrometry imaging for drug distribution studies. J. Proteom. 2012, 75, 4999–5013. [Google Scholar] [CrossRef] [PubMed]
- Mamun, M.A.; Rahman, M.M.; Sakamoto, T.; Islam, A.; Oyama, S.; Nabi, M.M.; Sato, T.; Kahyo, T.; Takahashi, Y.; Setou, M. Detection of Distinct Distributions of Acetaminophen and Acetaminophen-Cysteine in Kidneys up to 10 μm Resolution and Identification of a Novel Acetaminophen Metabolite Using an AP-MALDI Imaging Mass Microscope. J. Am. Soc. Mass Spectrom. 2023, 34, 1491–1500. [Google Scholar] [CrossRef] [PubMed]
- Islam, A.; Sakamoto, T.; Zhai, Q.; Rahman, M.M.; Mamun, M.A.; Takahashi, Y.; Kahyo, T.; Setou, M. Application of AP-MALDI imaging mass microscope for the rapid mapping of imipramine, chloroquine, and their metabolites in the kidney and brain of wild-type mice. Pharmaceuticals 2022, 15, 1314. [Google Scholar] [CrossRef]
- Harada, T.; Yuba-Kubo, A.; Sugiura, Y.; Zaima, N.; Hayasaka, T.; Goto-Inoue, N.; Wakui, M.; Suematsu, M.; Takeshita, K.; Ogawa, Y.; et al. Visualization of volatile substances in different organelles with an atmospheric-pressure mass microscope. Anal. Chem. 2009, 81, 9153–9157. [Google Scholar] [CrossRef]
- Sagdinc, S.G.; Azkeskin, C.; Eşme, A. Theoretical and spectroscopic studies of a tricyclic antidepressant, imipramine hydrochloride. J. Mol. Struct. 2018, 1161, 169–184. [Google Scholar] [CrossRef]
- Caldwell, P.H.Y.; Sureshkumar, P.; Wong, W.C. Tricyclic and related drugs for nocturnal enuresis in children. Cochrane Database Syst. Rev. 2016, 3, CD002117. [Google Scholar] [CrossRef]
- Giwa, A.; Oey, E. The return of an old nemesis: Survival after severe tricyclic antidepressant toxicity, a case report. Toxicol. Rep. 2018, 5, 357–362. [Google Scholar] [CrossRef]
- Ramey, K.; Ma, J.D.; Best, B.M.; Atayee, R.S.; Morello, C.M. Variability in metabolism of imipramine and desipramine using urinary excretion data. J. Anal. Toxicol. 2014, 38, 368–374. [Google Scholar] [CrossRef]
- Bigos, K.L.; Pollock, B.G.; Stankevich, B.A.; Bies, R.R. Sex differences in the pharmacokinetics and pharmacodynamics of antidepressants: An updated review. Gend. Med. 2009, 6, 522–543. [Google Scholar] [CrossRef]
- Keers, R.; Aitchison, K.J. Gender differences in antidepressant drug response. Int. Rev. Psychiatry 2010, 22, 485–500. [Google Scholar] [CrossRef] [PubMed]
- Marazziti, D.; Baroni, S.; Picchetti, M.; Piccinni, A.; Carlini, M.; Vatteroni, E.; Falaschi, V.; Lombardi, A.; Dell’osso, L. Pharmacokinetics and pharmacodynamics of psychotropic drugs: Effect of sex. CNS Spectr. 2013, 18, 118–127. [Google Scholar] [CrossRef] [PubMed]
- Zhou, W.; Wang, H.; Yang, Y.; Chen, Z.S.; Zou, C.; Zhang, J. Chloroquine against malaria, cancers and viral diseases. Drug Discov. Today 2020, 25, 2012–2022. [Google Scholar] [CrossRef]
- Stagni, V.; Kaminari, A.; Sideratou, Z.; Sakellis, E.; Vlahopoulos, S.A.; Tsiourvas, D. Targeting breast cancer stem-like cells using chloroquine encapsulated by a triphenylphosphonium-functionalized hyperbranched polymer. Int. J. Pharm. 2020, 585, 119465. [Google Scholar] [CrossRef]
- Cortegiani, A.; Ingoglia, G.; Ippolito, M.; Giarratano, A.; Einav, S. A systematic review on the efficacy and safety of chloroquine for the treatment of COVID-19. J. Crit. Care 2020, 57, 279–283. [Google Scholar] [CrossRef]
- Rendic, S.; Guengerich, F.P. Metabolism and interactions of chloroquine and hydroxychloroquine with human cytochrome P450 enzymes and drug transporters. Curr. Drug Metab. 2020, 21, 1127–1135. [Google Scholar]
- Vieira, M.V.D.F.; Mello, A.G.C.N.; Sena, L.W.P.D.; Vieira, J.L.F. Absence of gender influence on the pharmacokinetics of chloroquine combined with primaquine in malaria vivax patients. Rev. Inst. Med. Trop. São Paulo 2020, 62, e83. [Google Scholar] [CrossRef]
- Courchesne, M.; Manrique, G.; Bernier, L.; Cresson, J.; Gutzeit, A.; Froehlich, J.M.; Koh, D.M.; Chartrand-Lefebvre, C.; Matoori, S. Gender differences in pharmacokinetics: A perspective on contrast agents. ACS Pharmacol. Transl. Sci. 2023, 7, 8–17. [Google Scholar] [CrossRef]
- Pazhayattil, G.S.; Shirali, A.C. Drug-induced impairment of renal function. Int. J. Nephrol. Renov. Dis. 2014, 7, 457. [Google Scholar]
- Hörl, W.H. Nonsteroidal anti-inflammatory drugs and the kidney. Pharmaceuticals 2010, 3, 2291–2321. [Google Scholar] [CrossRef]
- Lea-Henry, T.N.; Carland, J.E.; Stocker, S.L.; Sevastos, J.; Roberts, D.M. Clinical Pharmacokinetics in Kidney Disease: Fundamental Principles. Clin. J. Am. Soc. Nephrol. 2018, 13, 1085–1095. [Google Scholar] [CrossRef]
- Nelson, D.R.; Zeldin, D.C.; Hoffman, S.M.; Maltais, L.J.; Wain, H.M.; Nebert, D.W. Comparison of cytochrome P450 (CYP) genes from the mouse and human genomes, including nomenclature recommendations for genes, pseudogenes and alternative-splice variants. Pharmacogenetics 2004, 14, 1–18. [Google Scholar] [CrossRef]
- Renaud, H.J.; Cui, J.Y.; Khan, M.; Klaassen, C.D. Tissue distribution and gender-divergent expression of 78 cytochrome P450 mRNAs in mice. Toxicol. Sci. 2011, 4, 261–277. [Google Scholar] [CrossRef]
- Knights, K.M.; Rowland, A.; Miners, J.O. Renal drug metabolism in humans: The potential for drug-endobiotic interactions involving cytochrome P450 (CYP) and UDP-glucuronosyltransferase (UGT). Br. J. Clin. Pharmacol. 2013, 76, 587–602. [Google Scholar] [CrossRef] [PubMed]
- Labbé, L.; Sirois, C.; Pilote, S.; Arseneault, M.; Robitaille, N.M.; Turgeon, J.; Hamelin, B.A. Effects of gender, sex hormones, time variables and physiological urinary pH on apparent CYP2D6 activity as assessed by metabolic ratios of marker substrates. Pharmacogenetics 2000, 10, 425–438. [Google Scholar] [CrossRef] [PubMed]
- Hagg, S.; Spigset, O.; Dahlqvist, R. Influence of gender and oral contraceptives on CYP2D6 and CYP2C19 activity in healthy volunteers. Br. J. Clin. Pharmacol. 2001, 51, 169–173. [Google Scholar] [CrossRef] [PubMed]
- Chang, G.R.; Hou, P.H.; Wang, C.M.; Lin, J.W.; Lin, W.L.; Lin, T.C.; Liao, H.J.; Chan, C.H.; Wang, Y.C. Imipramine Accelerates Nonalcoholic Fatty Liver Disease, Renal Impairment, Diabetic Retinopathy, Insulin Resistance, and Urinary Chromium Loss in Obese Mice. Vet. Sci. 2021, 8, 189. [Google Scholar] [CrossRef] [PubMed]
- Obuchowicz, E.; Bielecka-Wajdman, A.; Zielinski, M.; Machnik, G.; Gołyszny, M.; Ludyga, T. Imipramine and venlafaxine differentially affect primary glial cultures of prenatally stress rats. Front. Pharmacol. 2020, 10, 1687. [Google Scholar] [CrossRef] [PubMed]
- Kim, K.A.; Park, J.Y.; Lee, J.S.; Lim, S. Cytochrome P4502C8 and CYP3A4/5 are involved in chloroquine metabolism in human liver microsomes. Arch. Pharmacal Res. 2003, 26, 631–637. [Google Scholar] [CrossRef] [PubMed]
- Murugavel, P.; Pari, L. Attenuation of Chloroquine-Induced Renal Damage by α-Lipoic Acid: Possible Antioxidant Mechanism. Ren. Fail. 2004, 26, 517–524. [Google Scholar] [CrossRef] [PubMed]
- Liao, Z.M.; Zhang, Z.M.; Liu, Q. Hydroxychloroquine/chloroquine and the risk of acute kidney injury in COVID-19 patients: A systematic review and meta-analysis. Ren. Fail. 2022, 44, 415–425. [Google Scholar] [CrossRef]
- Halbreich, U.; Khan, L.S. Role of estrogen in the aetiology and treatment of mood disorders. CNS Drugs 2001, 15, 797–817. [Google Scholar] [CrossRef] [PubMed]
- Van der Burgh, A.C.; Aribas, E.; Ikram, M.A.; Kavousi, M.; Neggers, S.J.C.M.M.; Hoorn, E.J.; Chaker, L. Sex differences in the association between serum testosterone and kidney function in the general population. Kidney Int. Rep. 2023, 8, 1342–1351. [Google Scholar] [CrossRef]
- Ivanyuk, A.; Livio, F.; Biollaz, J.; Buclin, T. Renal drug transporters and drug interactions. Clin. Pharmacokinet. 2017, 56, 825–892. [Google Scholar]
- Gleiter, C.H.; Gundert-Remy, U. Gender differences in pharmacokinetics. Eur. J. Drug Metab. Pharmacokinet. 1996, 21, 123–128. [Google Scholar] [CrossRef]
- Brater, D.C. Measurement of renal function during drug development. Br. J. Clin. Pharmacol. 2002, 54, 87–95. [Google Scholar] [CrossRef]







Disclaimer/Publisher’s Note: The statements, opinions and data contained in all publications are solely those of the individual author(s) and contributor(s) and not of MDPI and/or the editor(s). MDPI and/or the editor(s) disclaim responsibility for any injury to people or property resulting from any ideas, methods, instructions or products referred to in the content. |
© 2024 by the authors. Licensee MDPI, Basel, Switzerland. This article is an open access article distributed under the terms and conditions of the Creative Commons Attribution (CC BY) license (https://creativecommons.org/licenses/by/4.0/).
Share and Cite
Islam, M.M.; Rahman, M.F.; Islam, A.; Afroz, M.S.; Mamun, M.A.; Rahman, M.M.; Maniruzzaman, M.; Xu, L.; Sakamoto, T.; Takahashi, Y.; et al. Elucidating Gender-Specific Distribution of Imipramine, Chloroquine, and Their Metabolites in Mice Kidney Tissues through AP-MALDI-MSI. Int. J. Mol. Sci. 2024, 25, 4840. https://doi.org/10.3390/ijms25094840
Islam MM, Rahman MF, Islam A, Afroz MS, Mamun MA, Rahman MM, Maniruzzaman M, Xu L, Sakamoto T, Takahashi Y, et al. Elucidating Gender-Specific Distribution of Imipramine, Chloroquine, and Their Metabolites in Mice Kidney Tissues through AP-MALDI-MSI. International Journal of Molecular Sciences. 2024; 25(9):4840. https://doi.org/10.3390/ijms25094840
Chicago/Turabian StyleIslam, Md. Monirul, Md Foyzur Rahman, Ariful Islam, Mst. Sayela Afroz, Md. Al Mamun, Md. Muedur Rahman, Md Maniruzzaman, Lili Xu, Takumi Sakamoto, Yutaka Takahashi, and et al. 2024. "Elucidating Gender-Specific Distribution of Imipramine, Chloroquine, and Their Metabolites in Mice Kidney Tissues through AP-MALDI-MSI" International Journal of Molecular Sciences 25, no. 9: 4840. https://doi.org/10.3390/ijms25094840
APA StyleIslam, M. M., Rahman, M. F., Islam, A., Afroz, M. S., Mamun, M. A., Rahman, M. M., Maniruzzaman, M., Xu, L., Sakamoto, T., Takahashi, Y., Sato, T., Kahyo, T., & Setou, M. (2024). Elucidating Gender-Specific Distribution of Imipramine, Chloroquine, and Their Metabolites in Mice Kidney Tissues through AP-MALDI-MSI. International Journal of Molecular Sciences, 25(9), 4840. https://doi.org/10.3390/ijms25094840

