An Overview of Degradation Strategies for Amitriptyline
Abstract
1. Introduction
2. Overview of Antidepressant Drug Degradation
2.1. Drug Degradation and Its Implications
2.2. Factors Influencing Drug Degradation
2.3. Degradation Pathways for Antidepressant Drugs
2.4. Monitoring and Analytical Techniques
2.5. Stability-Enhancing Approaches
2.6. Regulatory Considerations and Quality Control
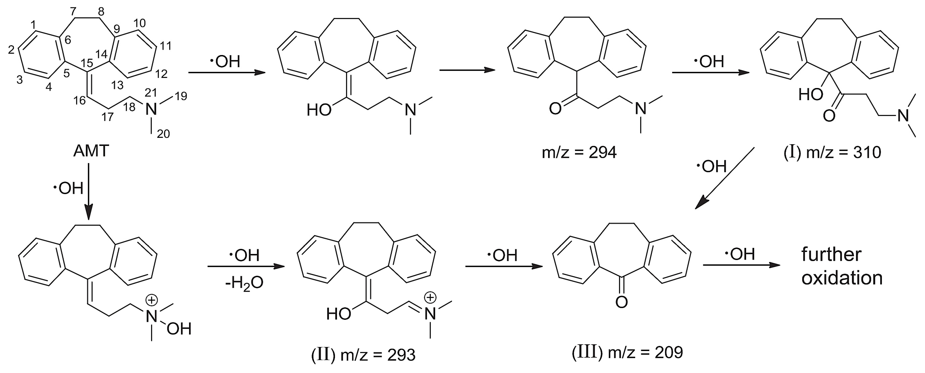
3. Degradation of Amitriptyline: Parameters, Products, and Kinetics
4. Future Perspectives and Challenges
Author Contributions
Funding
Institutional Review Board Statement
Informed Consent Statement
Data Availability Statement
Conflicts of Interest
References
- Available online: https://www.who.int/news-room/fact-sheets/detail/mental-disorders#:~:text=In%202019%2C%201%20in%20every,the%20most%20common%20 (accessed on 30 December 2023).
- Trawiński, J.; Skibiński, R. Studies on photodegradation process of psychotropic drugs: A review. Environ. Sci. Pollut. Res. Int. 2017, 24, 1152–1199. [Google Scholar] [CrossRef]
- Lambropoulou, D.; Evgenidou, E.; Saliverou, V.; Kosma, C.; Konstantinou, I. Degradation of venlafaxine using TiO2/UV pro-cess: Kinetic studies, RSM optimization, identification of transformation products and toxicity evaluation. J. Haz-Ardous Mater. 2017, 323 Pt A, 513–526. [Google Scholar] [CrossRef]
- Argaluza, J.; Domingo-Echaburu, S.; Orive, G.; Medrano, J.; Hernandez, R.; Lertxundi, U. Environmental pollution with psychiatric drugs. World J. Psychiatry 2021, 11, 791–804. [Google Scholar] [CrossRef]
- Akay, S.; Yang, Y.; Kayan, B. Investigation on the Solubility of the Antidepressant Drug Escitalopram in Subcritical Water. J. Chem. Eng. Data 2021, 66, 2550–2560. [Google Scholar] [CrossRef]
- Castillo-Zacarias, C.; Barocio, M.E.; Hidalgo-Vazquez, E.; Sosa-Hernandez, J.E.; Parra-Arroyo, L.; Lopez-Pacheco, I.Y.; Barcelo, D.; Iqbal, H.N.M.; Parra-Saldivar, R. Antidepressant drugs as emerging contaminants: Occurrence in urban and non-urban waters and analytical methods for their detection. Sci. Total Environ. 2021, 757, 143722. [Google Scholar] [CrossRef]
- Diaz-Camal, N.; Islas-Flores, H.; Gomez-Olivan, L.M.; Mejia-Garcia, A.; Cardoso-Vera, J.D. Consumption and ocurrence of antidepressants (SSRIs) in pre- and post-COVID-19 pandemic, their environmental impact and innovative removal methods: A review. Sci. Total Environ. 2022, 829, 14. [Google Scholar] [CrossRef]
- Drossou, C.; Petrakis, Y.; Tyrovola, K.; Xekoukoulotakis, N.P. Photochemical degradation of the antidepressant sertraline in aqueous solutions by UVC, UVC/H2O2, and UVC/S2O82−. Water Res. 2022, 217, 118442. [Google Scholar] [CrossRef]
- Guo, Y.C.; Guo, Z.Y.; Wang, J.Q.; Ye, Z.M.; Zhang, L.L.; Niu, J.F. Photodegradation of three antidepressants in natural waters: Important roles of dissolved organic matter and nitrate. Sci. Total Environ. 2022, 802, 9. [Google Scholar] [CrossRef]
- Kalariya, P.D.; Talluri, M.; Patel, P.N.; Srinivas, R. Identification of hydrolytic and isomeric N-oxide degradants of vilazodone by on line LC-ESI-MS/MS and APCI-MS. J. Pharm. Biomed. Anal. 2015, 102, 353–365. [Google Scholar] [CrossRef]
- Ledeti, A.; Vlase, G.; Vlase, T.; Circioban, D.; Dehelean, C.; Ledeti, I. Kinetic study for solid-state degradation of mental disorder therapeutic agents Amitriptyline, desipramine and imipramine. J. Therm. Anal. Calorim. 2018, 131, 155–165. [Google Scholar] [CrossRef]
- Lv, J.; Wang, Y.; Li, N. Oxidation of Citalopram with Sodium Hypochlorite and Chlorine Dioxide: Influencing Factors and NDMA Formation Kinetics. Molecules 2019, 24, 3065. [Google Scholar] [CrossRef] [PubMed]
- McClean, S.; O’Kane, E.J.; Smyth, W.F. Electrospray ionisation-mass spectrometric characterisation of selected anti-psychotic drugs and their detection and determination in human hair samples by liquid chromatography-tandem mass spectrometry. J. Chromatogr. B Biomed. Sci. Appl. 2000, 740, 141–157. [Google Scholar] [CrossRef] [PubMed]
- Morgese, M.G.; Trabace, L. Monoaminergic System Modulation in Depression and Alzheimer’s Disease: A New Standpoint? Front. Pharmacol. 2019, 10, 483. [Google Scholar] [CrossRef] [PubMed]
- Nodari, C.H.; De Quadros, N.D.; Chiarentin, R.; Da Silva, F.P.; Morisso, F.D.P.; Charao, M.F.; Fleck, J.D.; De Mattos, C.B.; Betti, A.H.; Verza, S.G. Vortioxetine liposomes as a novel alternative to improve drug stability under stress conditions: Toxicity studies and evaluation of antidepressant-like effect. Pharmacol. Rep. 2022, 74, 969–981. [Google Scholar] [CrossRef] [PubMed]
- Osawa, R.A.; Barrocas, B.T.; Monteiro, O.C.; Oliveira, M.C.; Florencio, M.H. Photocatalytic degradation of amitriptyline, trazodone and venlafaxine using modified cobalt-titanate nanowires under UV-Vis radiation: Transformation products and in silico toxicity. Chem. Eng. J. 2019, 373, 1338–1347. [Google Scholar] [CrossRef]
- Salazar, C.; Ridruejo, C.; Brillas, E.; Yanez, J.; Mansilla, H.D.; Sires, I. Abatement of the fluorinated antidepressant fluoxetine (Prozac) and its reaction by-products by electrochemical advanced methods. Appl. Catal. B-Environ. 2017, 203, 189–198. [Google Scholar] [CrossRef]
- Santoke, H.; Song, W.; Cooper, W.J.; Peake, B.M. Advanced oxidation treatment and photochemical fate of selected antidepressant pharmaceuticals in solutions of Suwannee River humic acid. J. Hazard. Mater. 2012, 217–218, 382–390. [Google Scholar] [CrossRef] [PubMed]
- Shen, Y.F.; Wang, S.; Lu, Y.; Chen, K.; Luo, L.; Hao, C. Computational Study of Photodegradation Process and Conversion Products of the Antidepressant Citalopram in Water. Molecules 2023, 28, 4620. [Google Scholar] [CrossRef] [PubMed]
- Singh, A.; Saidulu, D.; Gupta, A.K.; Kubsad, V. Occurrence and fate of antidepressants in the aquatic environment: Insights into toxicological effects on the aquatic life, analytical methods, and removal techniques. J. Environ. Chem. Eng. 2022, 10, 18. [Google Scholar] [CrossRef]
- Spina, M.; Venancio, W.; Rodrigues-Silva, C.; Pivetta, R.C.; Diniz, V.; Rath, S.; Guimaraes, J.R. Degradation of antidepressant pharmaceuticals by photoperoxidation in diverse water matrices: A highlight in the evaluation of acute and chronic toxicity. Environ. Sci. Pollut. Res. Int. 2021, 28, 24034–24045. [Google Scholar] [CrossRef]
- Tazik, S.; Johnson, S.; Lu, D.; Johnson, C.; Youdim, M.B.; Stockmeier, C.A.; Ou, X.M. Comparative neuroprotec-tive effects of rasagiline and aminoindan with selegiline on dexamethasone-induced brain cell apoptosis. Neurotox. Res. 2009, 15, 284–290. [Google Scholar] [CrossRef]
- Termopoli, V.; Consonni, V.; Ballabio, D.; Todeschini, R.; Orlandi, M.; Gosetti, F. Identification of Photodegradation Products of Escitalopram in Surface Water by HPLC-MS/MS and Preliminary Characterization of Their Potential Impact on the Environment. Separations 2022, 9, 289. [Google Scholar] [CrossRef]
- Wawryniuk, M.; Pietrzak, A.; Nalecz-Jawecki, G. Evaluation of direct and indirect photodegradation of mianserin with high-performance liquid chromatography and short-term bioassays. Ecotox. Environ. Saf. 2015, 115, 144–151. [Google Scholar] [CrossRef]
- Samal, K.; Mahapatra, S.; Ali, M.H. Pharmaceutical wastewater as Emerging Contaminants (EC): Treatment technologies, impact on environment and human health. Energy Nexus 2022, 6, 100076. [Google Scholar] [CrossRef]
- Melchor-Martínez, E.M.; Jiménez-Rodríguez, M.G.; Martínez-Ruiz, M.; Peña-Benavides, S.A.; Iqbal, H.M.; Parra-Saldívar, R.; Hernández, J.E.S. Antidepressants surveillance in wastewater: Overview extraction and detection. Case Stud. Chem. Environ. Eng. 2021, 3, 100074. [Google Scholar] [CrossRef]
- Bojanowska-Czajka, A.; Pyszynska, M.; Majkowska-Pilip, A.; Wawrowicz, K. Degradation of Selected Antidepressants Sertraline and Citalopram in Ultrapure Water and Surface Water Using Gamma Radiation. Processes 2022, 10, 63. [Google Scholar] [CrossRef]
- Butor Skulcova, A.; Tamasova, K.; Vojs Stanova, A.; Birosova, L.; Krahulcova, M.; Gal, M.; Konecna, B.; Jani-kova, M.; Celec, P.; Grabicova, K.; et al. Effervescent ferrate(VI)-based tablets as an effective means for removal SARS-CoV-2 RNA, pharmaceuticals and resistant bacteria from wastewater. J. Water Process Eng. 2021, 43, 102223. [Google Scholar] [CrossRef] [PubMed]
- Lin, W.T.; Zhao, B.C.; Ping, S.W.; Zhang, X.H.; Ji, Y.M.; Ren, Y. Ultraviolet oxidative degradation of typical anti-depressants: Pathway, product toxicity, and DFT theoretical calculation. Chemosphere 2022, 305, 10. [Google Scholar] [CrossRef] [PubMed]
- Nazim, V.S.; El-Sayed, G.M.; Amer, S.M.; Nadim, A.H. Functionalized SnO2 nanoparticles with gallic acid via green chemical approach for enhanced photocatalytic degradation of citalopram: Synthesis, characterization and application to pharmaceutical wastewater treatment. Environ. Sci. Pollut. Res. Int. 2023, 30, 4346–4358. [Google Scholar] [CrossRef]
- Popa, C.L.; Dobrescu, T.G.; Silvestru, C.I.; Firulescu, A.C.; Popescu, C.A.; Cotet, C.E. Pollution and Weather Re-ports: Using Machine Learning for Combating Pollution in Big Cities. Sensors 2021, 21, 7329. [Google Scholar] [CrossRef]
- Reis, R.Y.N.; Goulart, L.A.; Mascaro, L.H.; Alves, S.A. A critical view of the contributions of photoelectrochemical technology to pharmaceutical degradation. J. Environ. Chem. Eng. 2022, 10, 21. [Google Scholar] [CrossRef]
- Chen, Y.Q.; Zeng, B.T.; Lai, L.X.; Luo, L.T.; Xie, P.C.; Shao, Q.; Liu, Z.Z.; Ma, J. Sulfite activation using FeO as a source of ferrous ions for fluoxetine degradation: A collaborated experimental and DFT study. Chem. Eng. J. 2022, 441, 11. [Google Scholar] [CrossRef]
- Ye, Z.; Brillas, E.; Centellas, F.; Cabot, P.L.; Sires, I. Expanding the application of photoelectro-Fenton treatment to urban wastewater using the Fe(III)-EDDS complex. Water Res. 2020, 169, 115219. [Google Scholar] [CrossRef] [PubMed]
- Yin, L.; Wang, B.; Yuan, H.; Deng, S.; Huang, J.; Wang, Y.; Yu, G. Pay special attention to the transformation products of PPCPs in environment. Emerg. Contam. 2017, 3, 69–75. [Google Scholar] [CrossRef]
- Real, F.J.; Acero, J.L.; Benitez, J.F.; Roldan, G.; Casas, F. Oxidation of the emerging contaminants amitriptyline hydrochloride, methyl salicylate and 2-phenoxyethanol by persulfate activated by UV irradiation. J. Chem. Technol. Biotechnol. 2016, 91, 1004–1011. [Google Scholar] [CrossRef]
- Petrie, B.; Barden, R.; Kasprzyk-Hordern, B. A review on emerging contaminants in wastewaters and the environment: Current knowledge, understudied areas and recommendations for future monitoring. Water Res. 2015, 72, 3–27. [Google Scholar] [CrossRef] [PubMed]
- Verlicchi, P.; Al Aukidy, M.; Galletti, A.; Petrovic, M.; Barceló, D. Hospital effluent: Investigation of the concentrations and distribution of pharmaceuticals and environmental risk assessment. Sci. Total Environ. 2012, 430, 109–118. [Google Scholar] [CrossRef] [PubMed]
- Lozano, I.; Pérez-Guzmán, C.J.; Mora, A.; Mahlknecht, J.; Aguilar, C.L.; Cervantes-Avilés, P. Pharmaceuticals and personal care products in water streams: Occurrence, detection, and removal by electrochemical advanced oxidation processes. Sci. Total Environ. 2022, 827, 154348. [Google Scholar] [CrossRef] [PubMed]
- Kanakaraju, D.; Glass, B.D.; Oelgemöller, M. Advanced oxidation process-mediated removal of pharmaceuticals from water: A review. J. Environ. Manag. 2018, 219, 189–207. [Google Scholar] [CrossRef]
- Daughton, C.G.; Ternes, T.A. Pharmaceuticals and Personal Care Products in the Environment: Agents of Subtle Change? Environ. Health Perspect. 1999, 107 (Suppl. S6), 907–938. [Google Scholar] [CrossRef]
- Khan, M.F.; Murphy, C.D. Bacterial degradation of the anti-depressant drug fluoxetine produces trifluoroacetic acid and fluoride ion. Appl. Microbiol. Biotechnol. 2021, 105, 9359–9369. [Google Scholar] [CrossRef]
- Pilaniya, K.; Chandrawanshi, H.K.; Pilaniya, U.; Manchandani, P.; Jain, P.; Singh, N. Recent trends in the impurity profile of pharmaceuticals. J. Adv. Pharm. Technol. Res. 2010, 1, 302–310. [Google Scholar] [CrossRef] [PubMed]
- Mo, X.; Li, Y.; Zhu, X.; Li, X.; Zhou, H.; Bi, X.; Li, J. Vortioxetine Derivatives with Amino Acid as Promoiety: Synthesis, Activity, Stability and Preliminary Pharmacokinetic Study. J. Pharm. Sci. 2021, 110, 3011–3019. [Google Scholar] [CrossRef] [PubMed]
- O’byrne, P.M.; Williams, R.; Walsh, J.J.; Gilmer, J.F. The aqueous stability of bupropion. J. Pharm. Biomed. Anal. 2010, 53, 376–381. [Google Scholar] [CrossRef] [PubMed]
- Bai, R.; Yan, W.F.; Xiao, Y.; Wang, S.Q.; Tian, X.C.; Li, J.P.; Xiao, X.F.; Lu, X.Q.; Zhao, F. Acceleration of peroxymonosulfate decomposition by a magnetic MoS2/CuFe2O4 heterogeneous catalyst for rapid degradation of fluoxetine. Chem. Eng. J. 2020, 397, 11. [Google Scholar] [CrossRef]
- He, J.G.; Yu, D.H.; Zou, X.; Wang, Z.Y.; Zheng, Y.S.; Liu, X.P.; Zeng, Y.W. Degradation intermediates of Amitriptyline and fundamental importance of transition metal elements in LDH-based catalysts in Heterogeneous Electro-Fenton system. Sep. Purif. Technol. 2022, 283, 10. [Google Scholar] [CrossRef]
- Zuo, R.; Chen, X.J.; Wang, B.; Shan, D.; Yang, J.; Li, X.B.; Wang, J.S.; Teng, Y.G. Pollution risk evaluation of regional groundwater based on sources apportionment of pollution. Water Sci. Technol.-Water Supply 2018, 18, 1294–1307. [Google Scholar] [CrossRef]
- Wei, C.-H.; Wang, N.; HoppeJones, C.; Leiknes, T.; Amy, G.; Fang, Q.; Hu, X.; Rong, H. Organic micropollutants removal in sequential batch reactor followed by nanofiltration from municipal wastewater treatment. Bioresour. Technol. 2018, 268, 648–657. [Google Scholar] [CrossRef] [PubMed]
- Fincur, N.; Sojic Merkulov, D.; Putnik, P.; Despotovic, V.; Banic, N.; Lazarevic, M.; Cetojevic-Simin, D.; Agbaba, J.; Abramovic, B. Environmental Photocatalytic Degradation of Antidepressants with Solar Radiation: Kinetics, Mineralization, and Toxicity. Nanomaterials 2021, 11, 632. [Google Scholar] [CrossRef] [PubMed]
- Melin, V.; Salgado, P.; Thiam, A.; Henriquez, A.; Mansilla, H.D.; Yanez, J.; Salazar, C. Study of degradation of amitriptyline antidepressant by different electrochemical advanced oxidation processes. Chemosphere 2021, 274, 129683. [Google Scholar] [CrossRef]
- Chen, Y.Q.; Liu, Y.P.; Zhang, L.; Xie, P.C.; Wang, Z.P.; Zhou, A.J.; Fang, Z.; Ma, J. Efficient degradation of imipramine by iron oxychloride-activated peroxymonosulfate process. J. Hazard. Mater. 2018, 353, 18–25. [Google Scholar] [CrossRef]
- Chen, Y.; Liang, J.F.; Liu, L.; Lu, X.Y.; Deng, J.W.; Pozdnyakov, I.P.; Zuo, Y.G. Photosensitized Degradation of Amitriptyline and Its Active Metabolite Nortriptyline in Aqueous Fulvic Acid Solution. J. Environ. Qual. 2017, 46, 1081–1087. [Google Scholar] [CrossRef]
- Morin-Crini, N.; Lichtfouse, E.; Fourmentin, M.; Ribeiro, A.R.L.; Noutsopoulos, C.; Mapelli, F.; Fenyvesi, É.; Vieira, M.G.A.; Picos-Corrales, L.A.; Moreno-Piraján, J.C.; et al. Removal of emerging contaminants from wastewater using advanced treatments. A review. Environ. Chem. Lett. 2022, 20, 1333–1375. [Google Scholar] [CrossRef]
- Kovalova, L.; Siegrist, H.; Singer, H.; Wittmer, A.; McArdell, C.S. Hospital Wastewater Treatment by Membrane Bioreactor: Performance and Efficiency for Organic Micropollutant Elimination. Environ. Sci. Technol. 2012, 46, 1536–1545. [Google Scholar] [CrossRef] [PubMed]
- Fent, K.; Weston, A.A.; Caminada, D. Ecotoxicology of Human Pharmaceuticals. Aquat. Toxicol. 2006, 76, 122–159. [Google Scholar] [CrossRef] [PubMed]
- Deblonde, T.; Cossu-Leguille, C.; Hartemann, P. Emerging Pollutants in Wastewater: A Review of the Literature. Int. J. Hyg. Environ. Health 2011, 214, 442–448. [Google Scholar] [CrossRef]
- El-Shaheny, R.N. Evaluation of agomelatine stability under different stress conditions using an HPLC method with fluores-cence detection: Application to the analysis of tablets and human plasma. Luminescence 2014, 29, 920–928. [Google Scholar] [CrossRef] [PubMed]
- Hollman, J.; Dominic, J.A.; Achari, G. Degradation of pharmaceutical mixtures in aqueous solutions using UV/peracetic acid process: Kinetics, degradation pathways and comparison with UV/H2O2. Chemosphere 2020, 248, 12. [Google Scholar] [CrossRef] [PubMed]
- Li, A.; Zhou, Q.; Xu, Q. Prospects for ozone pollution control in China: An epidemiological perspective. Environ. Pollut. 2021, 285, 9. [Google Scholar] [CrossRef] [PubMed]
- Lynch, M.J.; Barrett, K.L.; Stretesky, P.B.; Long, M.A.; Jarrell, M.L.; Ozymy, J. Crime as Pollution? Theoretical, Definitional and Policy Concerns with Conceptualizing Crime as Pollution. Am. J. Crim. Just. 2015, 40, 843–860. [Google Scholar] [CrossRef]
- Ragi, N.C.; Velma, G.R.; Pallerla, P.K.; Siddiqua, S.; Alugonda, V.; Rachamalla, H.K.R.; Pabbaraja, S.; Sripadi, P. Identification and characterization of forced degradation products of vortioxetine by LC/MS/MS and NMR. J. Pharm. Biomed. Anal. 2020, 188, 113442. [Google Scholar] [CrossRef]
- Goncalves, N.P.F.; Varga, Z.; Bouchonnet, S.; Dulio, V.; Alygizakis, N.; Dal Bello, F.; Medana, C.; Calza, P. Study of the photoinduced transformations of maprotiline in river water using liquid chromatography high-resolution mass spectrometry. Sci. Total Environ. 2021, 755, 11. [Google Scholar] [CrossRef]
- Hernando, M.D.; Mezcua, M.; Fernández-Alba, A.R.; Barceló, D. Environmental Risk Assessment of Pharmaceutical Residues in Wastewater Effluents, Surface Waters, and Sediments. Talanta 2006, 69, 334–342. [Google Scholar] [CrossRef]
- Caracciolo, A.B.; Topp, E.; Grenni, P. Pharmaceuticals in the environment: Biodegradation and effects on natural microbial communities. A review. J. Pharm. Biomed. Anal. 2015, 106, 25–36. [Google Scholar] [CrossRef]
- Hwang, J.; Zheng, L.T.; Ock, J.; Lee, M.G.; Kim, S.H.; Lee, H.W.; Lee, W.H.; Park, H.C.; Suk, K. Inhibition of glial inflammatory activation and neurotoxicity by tricyclic antidepressants. Neuropharmacology 2008, 55, 826–834. [Google Scholar] [CrossRef]
- Quddus, F.; Shah, A.F.; Iftikhar, F.J.; Shah, N.S.; Haleem, A. Environmentally Benign Nanoparticles for the Photo-catalytic Degradation of Pharmaceutical Drugs. Catalysts 2023, 13, 511. [Google Scholar] [CrossRef]
- Ślósarczyk, K.; Jakóbczyk-Karpierz, S.; Różkowski, J.; Witkowski, A.J. Occurrence of Pharmaceuticals and Personal Care Products in the Water Environment of Poland: A Review. Water 2021, 13, 2283. [Google Scholar] [CrossRef]
- Wu, M.; Xiang, J.; Chen, F.; Fu, C.; Xu, G. Occurrence and risk assessment of antidepressants in Huangpu River of Shanghai, China. Environ. Sci. Pollut. Res. Int. 2017, 24, 20291–20299. [Google Scholar] [CrossRef]
- Lajeunesse, A.; Smyth, S.A.; Barclay, K.; Sauvé, S.; Gagnon, C. Distribution of antidepressant residues in wastewater and bio-solids following different treatment processes by municipal wastewater treatment plants in Canada. Water Res. 2012, 46, 5600–5612. [Google Scholar] [CrossRef]
- Sharma, M.K.; Murugesan, M. Forced Degradation Study an Essential Approach to Develop Stability Indicating Method. J. Chromatogr. Sep. Tech. 2017, 8, 1. [Google Scholar] [CrossRef]
- Đurić, S.L.; Nasković, D.Č.; Veličković, D.T.; Milenović, D.M. Development and validation of stability indicating chromatographic method for determination of impurities in maprotiline pharmaceutical tablets. J. Anal. Chem. 2015, 70, 225–233. [Google Scholar] [CrossRef]
- Blessy, M.; Patel, R.D.; Prajapati, P.N.; Agrawal, Y.K. Development of forced degradation and stability indicating studies of drugs—A review. J. Pharm. Anal. 2014, 4, 159–165. [Google Scholar] [CrossRef]
- McClure, E.W.; Daniels, R.N. Classics in Chemical Neuroscience: Amitriptyline. ACS Chem. Neurosci. 2021, 12, 354–362. [Google Scholar] [CrossRef]
- Huerta-Fontela, M.; Galceran, M.T.; Ventura, F. Occurrence and removal of pharmaceuticals and hormones through drinking water treatment. Water Res. 2011, 45, 1432–1442. [Google Scholar] [CrossRef]
- Grignet, R.D.; Barros, M.G.A.; Panatta, A.A.S.; Bernal, S.P.F.; Ottoni, J.R.; Passarini, M.R.Z.; Goncalves, C.D.S. Medicines as an emergent contaminant: The review of microbial biodegration potential. Folia Microbiol. 2022, 67, 157–174. [Google Scholar] [CrossRef]
- Grover, P.; Bhardwaj, M.; Mukherjee, D. Identification and characterization of forced degradation products of sertraline hydrochloride using UPLC, ultra-high-performance liquid Chromatography-Quadrupole-Time of flight mass spectrometry (UHPLC-Q-TOF/MS/MS) and NMR. J. Pharm. Biomed. Anal. 2022, 221, 115045. [Google Scholar] [CrossRef]
- Brueckle, M.S.; Thomas, E.T.; Seide, S.E.; Pilz, M.; Gonzalez-Gonzalez, A.I.; Nguyen, T.S.; Harder, S.; Glasziou, P.P.; Gerlach, F.M.; Muth, C. Adverse drug reactions associated with amitriptyline—Protocol for a systematic multiple-indication review and meta-analysis. Syst. Rev. 2020, 9, 59. [Google Scholar] [CrossRef]
- Coetzee, R.; Johnson, Y.; van Niekerk, J.; Namane, M. Amitriptyline prescribing in public sector healthcare facilities in the Western Cape, South Africa. PLoS ONE 2020, 15, e0231675. [Google Scholar] [CrossRef]
- Lawson, K. A Brief Review of the Pharmacology of Amitriptyline and Clinical Outcomes in Treating Fibromyalgia. Biomedicines 2017, 5, 24. [Google Scholar] [CrossRef]
- Enever, R.P.; Po, A.L.W.; Shotton, E. Factors Influencing Decomposition Rate of Amitriptyline Hydrochloride in Aqueous Solution. J. Pharm. Sci. 1977, 66, 1087–1089. [Google Scholar] [CrossRef] [PubMed]
- Roman, R.; Cohen, E.M.; Christy, M.E.; Hagerman, W.B. Stability of amitriptyline hydrochloride in a commercial aqueous solution. J. Pharm. Sci. 1979, 68, 1329–1330. [Google Scholar] [CrossRef] [PubMed]
- Zhu, T.X.; Deng, J.; Zhu, S.J.; Cai, A.H.; Ye, C.; Ling, X.; Guo, H.G.; Wang, Q.F.; Li, X.Y. Kinetic and mechanism insights into the degradation of venlafaxine by UV/chlorine process: A modelling study. Chem. Eng. J. 2022, 431, 9. [Google Scholar] [CrossRef]
- Khaleel, N.D.; Mahmoud, W.M.; Olsson, O.; Kümmerer, K. UV-photodegradation of desipramine: Impact of concentration, pH and temperature on formation of products including their biodegradability and toxicity. Sci. Total Environ. 2016, 566–567, 826–840. [Google Scholar] [CrossRef] [PubMed]
- Khaleel, N.D.H.; Mahmoud, W.M.M.; Olsson, O.; Kummerer, K. Initial fate assessment of teratogenic drug trimipramine and its photo-transformation products—Role of pH, concentration and temperature. Water Res. 2017, 108, 197–211. [Google Scholar] [CrossRef]
- Al-Khazrajy, O.S.A.; Bergström, E.; Boxall, A.B.A. Factors affecting the dissipation of pharmaceuticals in freshwater sediments. Environ. Toxicol. Chem. 2018, 37, 829–838. [Google Scholar] [CrossRef]
- Boppy, N.; Haridasyam, S.B.; Vadagam, N.; Pasham, M.; Venkatanarayana, M.; Begum, B. Stability-indicating liquid chromatography method development for assay and impurity profiling of amitriptyline hydrochloride in tablet dosage form and forced degradation study. Biomed. Chromatogr. 2022, 36, e5436. [Google Scholar] [CrossRef] [PubMed]
- Kubacka, M.; Rapacz, A.; Salat, K.; Filipek, B.; Cios, A.; Pociecha, K.; Wyska, E.; Hubicka, U.; Zuromska-Witek, B.; Kwiecien, A.; et al. KM-416, a novel phenoxyalkylaminoalkanol derivative with anticonvulsant properties exerts analgesic, local anesthetic, and antidepressant-like activities. Pharmacodynamic, pharmacokinetic, and forced degradation studies. Eur. J. Pharmacol. 2020, 886, 173540. [Google Scholar] [CrossRef]
- International Council for Harmonisation of Technical Requirements for Pharmaceuticals for Human Use (ICH). ICH Harmo-nised Tripartite Guideline: Stability Testing: Photostability Testing of New Drug Substances and Products. Q1B(R2). 1998. Available online: https://www.ema.europa.eu/en/ich-q1b-photostability-testing-new-active-substances-medicinal-products-scientific-guideline#current-effective-version-section (accessed on 30 December 2023).
- Wu, H.; Dana, A.G.; Ranasinghe, D.S.; Pickard, F.C.; Wood, G.P.F.; Zelesky, T.; Sluggett, G.W.; Mustakis, J.; Green, W.H. Kinetic Modeling of API Oxidation: (2) Imipramine Stress Testing. Mol. Pharm. 2022, 19, 1526–1539. [Google Scholar] [CrossRef] [PubMed]
- Mohamed, K.M.; Benitto, J.J.; Vijaya, J.J.; Bououdina, M. Recent Advances in ZnO-Based Nanostructures for the Photocatalytic Degradation of Hazardous, Non-Biodegradable Medicines. Crystals 2023, 13, 329. [Google Scholar] [CrossRef]
- Wan, D.; Zuo, J.; Chen, Y.; Chen, Q.; Zuo, Y. Photodegradation of amitriptyline in Fe(III)-citrate-oxalate binary system: Synergistic effect and mechanism. Chemosphere 2018, 210, 224–231. [Google Scholar] [CrossRef] [PubMed]
- Nassar, R.; Trivella, A.; Mokh, S.; Al-Iskandarani, M.; Budzinski, H.; Mazellier, P. Photodegradation of sulfamethazine, sulfamethoxypiridazine, amitriptyline, and clomipramine drugs in aqueous media. J. Photochem. Photobiol. A Chem. 2017, 336, 176–182. [Google Scholar] [CrossRef]
- Saito, K.; Hagiwara, N.; Sakamoto, M.; Wakana, D.; Ito, R.; Hosoe, T. Elucidation of Degradation Behavior of Tricyclic Antidepressant Amoxapine in Artificial Gastric Juice. Chem. Pharm. Bull. 2020, 68, 848–854. [Google Scholar] [CrossRef] [PubMed]
- Kasagić-Vujanović, I.; Jančić-Stojanović, B. Quality by Design oriented development of hydrophilic interaction liquid chromatography method for the analysis of amitriptyline and its impurities. J. Pharm. Biomed. Anal. 2019, 173, 86–95. [Google Scholar] [CrossRef] [PubMed]
- Wille, S.M.R.; Cooreman, S.G.; Neels, H.M.; Lambert, W.E.E. Relevant Issues in the Monitoring and the Toxicology of Antidepressants. Crit. Rev. Clin. Lab. Sci. 2008, 45, 25–89. [Google Scholar] [CrossRef] [PubMed]
- Patel, M.N.; Kothari, C.S. Review on Implementation of Multivariate Approach for Forced Degradation Study and Impurity Profiling with Regulatory Considerations. Chromatographia 2018, 81, 105–125. [Google Scholar] [CrossRef]
- Pal, S.; Arpad, G.; Hancu, G.; Laczko-Zold, E.; Vancea, S. Identification of photodegradation products of tricyclic antidepressants drugs clomipramine and doxepine. Acta Medica Marisiensis 2011, 57, 745–747. [Google Scholar]
- Pan, C.Y.; Zhu, F.; Wu, M.H.; Jiang, L.H.; Zhao, X.Y.; Yang, M. Degradation and toxicity of the antidepressant fluoxetine in an aqueous system by UV irradiation. Chemosphere 2022, 287, 9. [Google Scholar] [CrossRef] [PubMed]
- Popescu, A.M.; Radu, G.L. Detection of adulterants by FTIR and GC-MS in herbal slimming food supplements. U.P.B. Sci. Bull. Ser. B 2015, 77, 221–230. [Google Scholar]
- Pozdnyakov, I.P.; Tyutereva, Y.E.; Parkhats, M.V.; Grivin, V.P.; Fang, Y.; Liu, L.; Wan, D.; Luo, F.; Chen, Y. Mechanistic investigation of humic substances assisted photodegradation of imipramine under simulated sunlight. Sci. Total Environ. 2020, 738, 140298. [Google Scholar] [CrossRef] [PubMed]
- Gonçalves, N.P.F.; Varga, Z.; Nicol, E.; Calza, P.; Bouchonnet, S. Comparison of Advanced Oxidation Processes for the Deg-radation of Maprotiline in Water—Kinetics, Degradation Products and Potential Ecotoxicity. Catalysts 2021, 11, 240. [Google Scholar] [CrossRef]
- Laine, K.; Kivistö, K.T.; Pelttari, S.; Neuvonen, P.J. The effect of activated charcoal on the absorption of fluoxetine, with special reference to delayed charcoal administration. Pharmacol. Toxicol. 1996, 79, 270–273. [Google Scholar] [CrossRef]
- Wisniewska, J.; Rzesnicki, P. Mechanism of the oxidative degradation of dibenzoazepine derivatives via manganese(III) complexes in acidic phosphate media. React. Kinet. Mech. Catal. 2013, 108, 1–16. [Google Scholar] [CrossRef][Green Version]
- Wiśniewska, J.; Wrzeszcz, G.; Koter, S.; Ligor, T. The oxidative degradation and C–C coupling reaction of dibenzoazepine derivatives by peroxydisulfate ion and sulfate radical in aqueous media. React. Kinet. Mech. Catal. 2012, 107, 1–17. [Google Scholar] [CrossRef][Green Version]
- Wisniewska, J.; Wrzeszcz, G. A Mechanistic Study on the Oxidative Degradation of Dibenzazepine Derivatives by Manga-nese(III) Complexes in Acidic Sulfate Media. Int. J. Chem. Kinet. 2015, 47, 606–619. [Google Scholar] [CrossRef]
- Smyth, W.F.; Leslie, J.C.; McClean, S.; Hannigan, B.; McKenna, H.P.; Doherty, B.; Joyce, C.; O’Kane, E. The characterisation of selected antidepressant drugs using electrospray ionisation with ion trap mass spectrometry and with quadrupole time-of-flight mass spectrometry and their determination by high-performance liquid chromatography/electrospray ionisation tandem mass spectrometry. Rapid Commun. Mass. Spectrom. 2006, 20, 1637–1642. [Google Scholar] [CrossRef] [PubMed]
- Abbar, J.C.; Lamani, S.D.; Nandibewoor, S.T. Ruthenium(III) Catalyzed Oxidative Degradation of Amitriptyline-A Tri-cyclic Antidepressant Drug by Permanganate in Aqueous Acidic Medium. J. Solut. Chem. 2011, 40, 502–520. [Google Scholar] [CrossRef]
- Osawa, R.A.; Barrocas, B.T.; Monteiro, O.C.; Oliveira, M.C.; Florencio, M.H. Visible light photocatalytic degradation of amitriptyline using cobalt doped titanate nanowires: Kinetics and characterization of transformation products. J. Environ. Chem. Eng. 2020, 8, 5. [Google Scholar] [CrossRef]
- Finčur, N.L.; Grujić-Brojčin, M.; Šćepanović, M.J.; Četojević-Simin, D.D.; Maletić, S.P.; Stojadinović, S.; Abramović, B.F. UV-driven removal of tricyclic antidepressive drug amitriptyline using TiO2 and TiO2/WO3 coatings. React. Kinet. Mech. Catal. 2021, 132, 1193–1209. [Google Scholar] [CrossRef]
- Jeon, M.; Jun, B.-M.; Kim, S.; Cho, J.; Park, C.M.; Choong, C.E.; Jang, M.; Yoon, Y. Sonodegradation of amitriptyline and ibuprofen in the presence of Ti3C2Tx MXene. J. Hazard. Mater. Lett. 2021, 2, 100028. [Google Scholar] [CrossRef]
- Proelss, H.F.; Lohmann, H.J.; Miles, D.G. High-performance liquid-chromatographic simultaneous determination of commonly used tricyclic antidepressants. Clin. Chem. 1978, 24, 1948–1953. [Google Scholar] [CrossRef]






























| Antidepressant | Chemical Formula | Degradation Type and Products; Observations |
|---|---|---|
| Amineptine | ![]() | Produces N-dealkylated metabolite, Nortriptyline. Acts as a DRI (dopamine reuptake inhibitor) and weak norepinephrine reuptake inhibitor. |
| Amitriptyline | ![]() | Produces Nortriptyline as a metabolite, a potent antidepressant, and (E)-10-hydroxynortriptyline. Inhibits serotonin transporter (SERT) and norepinephrine transporter (NET). |
| Amoxapine | ![]() | Identified degradation products: [2-(2-aminophenoxy)-5-chlorophenyl]-piperazin-1-yl-methanone and 2-chlorodibenzo[b,f][1,4]oxazepin-11(10H)-one [94]. The N-demethylated metabolite of loxapine. Decreases the reuptake of norepinephrine and serotonin (5-HT). |
| Clomipramine | ![]() | Photodegradation products: imipramine, HO-imipramine, desmethylclomipramine, and HO-imipramine-N-oxide [98]. Other authors have identified the photodegradation of CMP to produce only OH-imipramine (m/z = 297.2) [93]. Selective serotonin reuptake inhibitor (SSRI). |
| Desipramine | ![]() | There are 3 main photolysis routes for desipramine (DES): isomerization, hydroxylation, and ring opening [84]. Oxidation occurs through the loss of the 1-methylaminopropyl moiety; 18 decomposition products could be envisioned [84]. Selective norepinephrine reuptake inhibitor; weak serotonin reuptake inhibitor. |
| Doxepin | ![]() | UV photodegradation includes E/Z isomerization of the heteroaryl-conjugated alkene group of doxepin [2]. Two identified decomposition products: OH-doxepin and doxepin N-oxide [98]. Enhances the neurotransmitter’s serotonin (5-HT) and [norepinephrine (NE)]brain. |
| Imipramine | ![]() | Iminodibenzyl and desimipramine are the major degradation products (AIBN stress testing) [90]. UV radiation from simulated sunlight produced demethylation and hydroxylation of imipramine [101]. Acts as a strong SSRI (serotonin reuptake inhibitor) |
| Maprotiline | ![]() | Degradation to 12 products through hydroxylation/oxidation and ring opening. Acts as a strong inhibitor of the histamine H1 receptor (sedative) or through the inhibition of presynaptic uptake of catecholamines (treatment of depression, or anxiety). |
| Nortriptyline | ![]() | The main metabolite is 10-E–hydroxynortriptyline [37]. NTRI, an active metabolite of amitriptyline, acts by inhibiting the reuptake of the neurotransmitter serotonin and is used for neuropathic pain, attention deficit hyperactivity disorder (ADHD), and anxiety. |
| Opipramol | ![]() | The main degradation product is (10-3-[4-(2-hydroxyethyl)-piperazinyl]propyl]acridine) [106]. Acts as a SIGMAR1 agonist. |
| Trimipramine | ![]() | Desmethyltrimipramine, 2-hydroxytrimipramine, and trimipramine-N-oxide are metabolites of trimipramine. TMP decreases the reuptake of norepinephrine and serotonin (5-HT) to treat major depressive disorder or insomnia. |
| System | Degradation Type | Detection Method | Catalyst/Oxidant/Degradation Agent | Ref. |
|---|---|---|---|---|
| AMTH/CoFe-LDH/CF | Heterogeneous electro-Fenton system | UPLC-QTOF-MS; ICP–MS (Co, Fe) | Layered double-hydroxide structure (LDH): CoFe-LDH/CF cathode | [47] |
| AMT/Ru(III)/KMnO4/H+ | Chemical oxidation | UV-Vis | Active catalyst [Ru(H2O)6]3+ | [108] |
| AMT/acidic aq. FA (fluvic acid)/HO− | AOP (demethylation, hydroxylation) | MS | FA* (excited FA triplet states) | [53] |
| AMT/FeOCl | Chemical degradation/mineralization | HPLC | Catalyst: iron oxychloride (FeOCl)/peroxymonosulfate (PMS) | [52] |
| AMI (amitriptyline hydrochloride)/ZnO | Photocatalytic degradation | UV-Vis | Catalyst: ZnO; reactive radical species: [HO·] | [50] |
| AMT/H+ or HO− | Forced hydrolysis | HPLC, MS | H+/HO−/[O] (when H2O2 was used) | [87] |
| AMT (solid state) | Thermal degradation | ATR–FTIR | – (ICTAC 2000 protocol) | [11] |
| AMT/H2O2 | AOP | GC-MS, HPLC | HO· derived from H2O2 | [51] |
| AMT/hν (sunlight) | Photodegradation | LC–MS | – | [93] |
| AMT/Co-TNW | UV-Vis exposure; hydroxylation | MS | cobalt-titanate nanowires (Co-TNW) | [16,109] |
| AMT/artificial gastric juice | Forced hydrolysis | LC/UV | H+ (pH =1.2); no degradation observed | [94] |
| AMT/S2O82− | UV/S2O82− oxidation | HPLC | SO4− and HO· | [36] |
| AMT/Fe(III) | Photodegradation | MS | Fe(III)-citrate-oxalate | [92] |
| AMT/TiO2/WO3 | Photocatalytic | LC, UV-Vis | TiO2 and TiO2/WO3 coatings | [110] |
| AMT/MXene | Sonodegradation under UV | HPLC | Ti3C2Tx MXene, H2O2 (HO· promoter), tBuOH (radical scavenger) | [111] |
Disclaimer/Publisher’s Note: The statements, opinions and data contained in all publications are solely those of the individual author(s) and contributor(s) and not of MDPI and/or the editor(s). MDPI and/or the editor(s) disclaim responsibility for any injury to people or property resulting from any ideas, methods, instructions or products referred to in the content. |
© 2024 by the authors. Licensee MDPI, Basel, Switzerland. This article is an open access article distributed under the terms and conditions of the Creative Commons Attribution (CC BY) license (https://creativecommons.org/licenses/by/4.0/).
Share and Cite
Comanescu, C.; Racovita, R.C. An Overview of Degradation Strategies for Amitriptyline. Int. J. Mol. Sci. 2024, 25, 3822. https://doi.org/10.3390/ijms25073822
Comanescu C, Racovita RC. An Overview of Degradation Strategies for Amitriptyline. International Journal of Molecular Sciences. 2024; 25(7):3822. https://doi.org/10.3390/ijms25073822
Chicago/Turabian StyleComanescu, Cezar, and Radu C. Racovita. 2024. "An Overview of Degradation Strategies for Amitriptyline" International Journal of Molecular Sciences 25, no. 7: 3822. https://doi.org/10.3390/ijms25073822
APA StyleComanescu, C., & Racovita, R. C. (2024). An Overview of Degradation Strategies for Amitriptyline. International Journal of Molecular Sciences, 25(7), 3822. https://doi.org/10.3390/ijms25073822












