Silica Microparticles from Sugarcane By-Products as an Encapsulation System for Retinoids Aimed at Topical Sustained Release
Abstract
1. Introduction
2. Results
2.1. Modelling and Optimization of Retinol-Loaded Silica Microparticles
2.2. Structural Characterization
2.3. Oxidative Profile and Release
2.4. In Vitro Release of Retinol
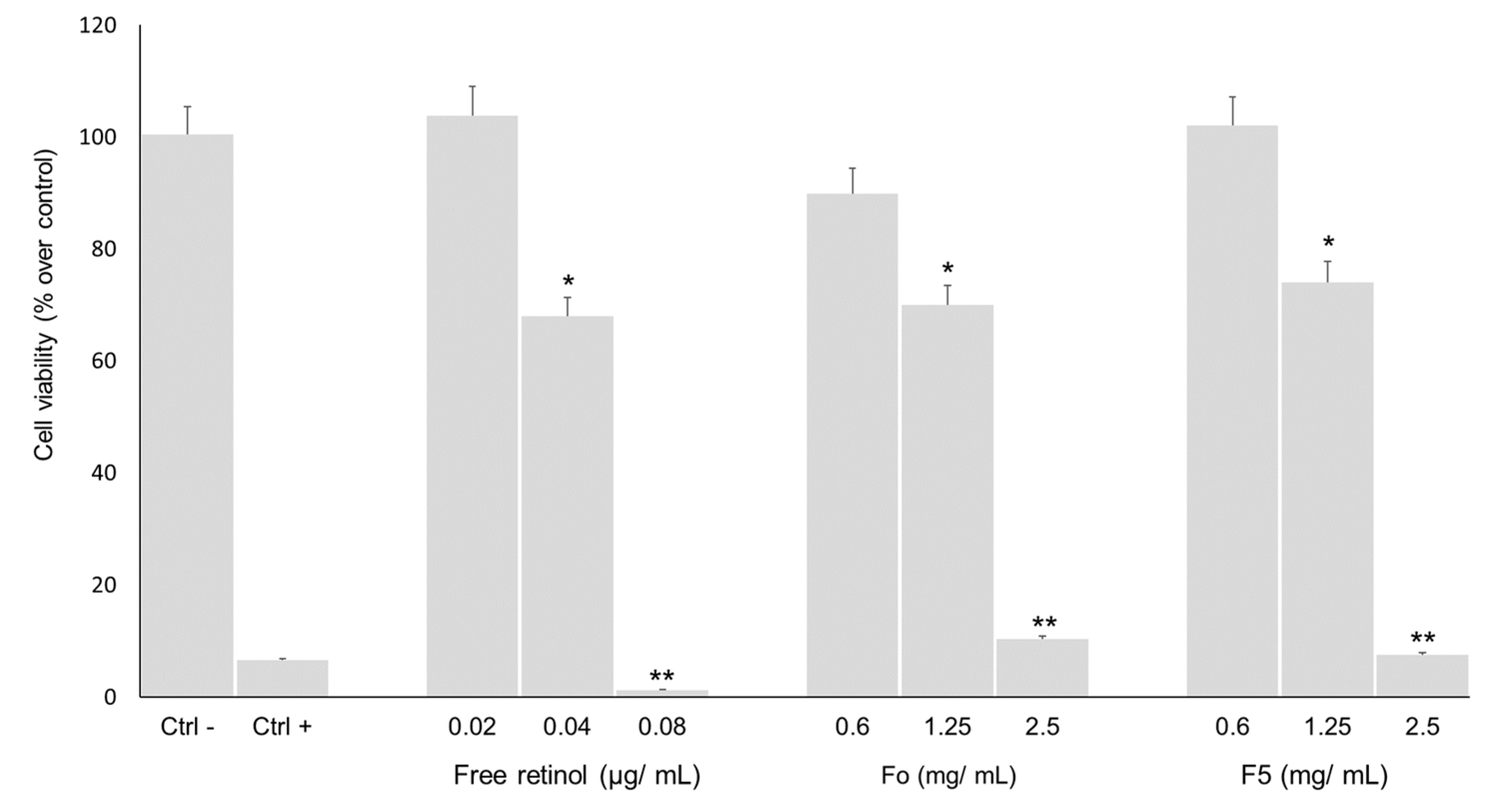
2.5. Biocompatibility
2.6. Skin Sensitization Potential
3. Discussion
4. Materials and Methods
4.1. Materials
4.2. Synthesis of Retinol-Loaded Silica Microparticles
4.2.1. Synthesis of Silica Gel
4.2.2. Incorporation of Retinol Extract
4.3. Experimental Design
4.4. Association Efficiency of Retinol
4.5. Structural Characterization
4.6. Evaluation of Oxidative Stability by Differential Scanning Calorimeter (DSC)
4.7. In vitro Study of Retinol Release
4.8. Biocompatibility
4.8.1. Cell Lines and Growth Conditions
4.8.2. Cell Viability Determination
4.9. Direct Reactivity Peptide Assay
4.10. Statistical Analysis
5. Conclusions
Author Contributions
Funding
Institutional Review Board Statement
Informed Consent Statement
Data Availability Statement
Acknowledgments
Conflicts of Interest
References
- Higgins, S.; Wesley, N.O. Topical retinoids and Cosmeceuticals: Where is the scientific evidence to recommend products to patients? Curr. Dermatol. Rep. 2015, 4, 56–62. [Google Scholar] [CrossRef]
- Zasada, M.; Budzisz, E. Retinoids: Active molecules influencing skin structure formation in cosmetic and dermatological treatments. Postep. Dermatol. Alergol. 2019, 36, 392–397. [Google Scholar] [CrossRef]
- Mukherjee, S.; Date, A.; Patravale, V.; Korting, H.C.; Roeder, A.; Weindl, G. Retinoids in the treatment of skin aging: An overview of clinical efficacy and safety. Clin. Interv. Aging 2006, 1, 327–348. [Google Scholar] [CrossRef]
- Motamedi, M.; Chehade, A.; Sanghera, R.; Grewal, P. A Clinician’s Guide to Topical Retinoids. J. Cutan Med. Surg. 2022, 26, 71–78. [Google Scholar] [CrossRef]
- Fisher, G.J.; Datta, S.C.; Talwar, H.S.; Wang, Z.-Q.; Varani, J.; Kang, S.; Voorhees, J.J. Molecular basis of sun-induced premature skin ageing and retinoid antagonism. Nature 1996, 379, 335–339. [Google Scholar] [CrossRef] [PubMed]
- Ferreira, R.; Napoli, J.; Enver, T.; Bernardino, L.; Ferreira, L. Advances and challenges in retinoid delivery systems in regenerative and therapeutic medicine. Nat. Commun. 2020, 11, 4265. [Google Scholar] [CrossRef] [PubMed]
- Raza, K.; Singh, B.; Lohan, S.; Sharma, G.; Negi, P.; Yachha, Y.; Katare, O.P. Nano-lipoidal carriers of tretinoin with enhanced percutaneous absorption, photostability, biocompatibility and anti-psoriatic activity. Int. J. Pharm. 2013, 456, 65–72. [Google Scholar] [CrossRef] [PubMed]
- Lin, Y.; Hsiao, C.; Alshetaili, A.; Aljuffali, I.A.; Chen, E.; Fang, J. Lipid-based nanoformulation optimization for achieving cutaneous targeting: Niosomes as the potential candidates to fulfill this aim. Eur. J. Pharm. Sci. 2023, 186, 106458. [Google Scholar] [CrossRef]
- Khan, S.; Sharma, A.; Jain, V. An Overview of Nanostructured Lipid Carriers and its Application in Drug Delivery through Different Routes. Adv. Pharm. Bull. 2023, 13, 446–460. [Google Scholar] [CrossRef]
- Millar, J.; Kelly, H.; Payne, C. All-trans retinoic acid solid lipid nanoparticle characterisation and assessment of anti-inflammatory activity in a human lung epithelial cell line. RCSI Med. J. 2017, 1, 37–43. [Google Scholar]
- Das, S.; Ng, W.K.; Kanaujia, P.; Kim, S.; Tan, R.B.H. Formulation design, preparation and physicochemical characterizations of solid lipid nanoparticles containing a hydrophobic drug: Effects of process variables. Colloids Surf. B Biointerfaces 2011, 88, 483–489. [Google Scholar] [CrossRef]
- Sinico, C.; Manconi, M.; Peppi, M.; Lai, F.; Valenti, D.; Fadda, A.M. Liposomes as carriers for dermal delivery of tretinoin: In vitro evaluation of drug permeation and vesicle–skin interaction. J. Control. Release 2005, 103, 123–136. [Google Scholar] [CrossRef]
- Manca, M.L.; Manconi, M.; Nácher, A.; Carbone, C.; Valenti, D.; Maccioni, A.M.; Sinico, C.; Fadda, A.M. Development of novel diolein–niosomes for cutaneous delivery of tretinoin: Influence of formulation and in vitro assessment. Int. J. Pharm. 2014, 477, 176–186. [Google Scholar] [CrossRef]
- Kim, H.; Hu, Y.; Jeong, D.; Jun, B.H.; Cho, E.; Jung, S. Synthesis, Characterization, and Retinol Stabilization of Fatty Amide-β-cyclodextrin Conjugates. Molecules 2016, 21, 963. [Google Scholar] [CrossRef] [PubMed]
- Zuccari, G.; Baldassari, S.; Alfei, S.; Marengo, B.; Valenti, G.E.; Domenicotti, C.; Ailuno, G.; Villa, C.; Marchitto, L.; Caviglioli, G. D-α-Tocopherol-Based Micelles for Successful Encapsulation of Retinoic Acid. Pharmaceuticals 2021, 14, 212. [Google Scholar] [CrossRef] [PubMed]
- Chavoshy, F.; Makhmalzade, B.S. Polymeric micelles as cutaneous drug delivery system in normal skin and dermatological disorders. J. Adv. Pharm. Technol. Res. 2018, 9, 2–8. [Google Scholar] [CrossRef]
- Shields, C.W., IV; White, J.P.; Osta, E.G.; Patel, J.; Rajkumar, S.; Kirby, N.; Therrien, J.-P.; Zauscher, S. Encapsulation and controlled release of retinol from silicone particles for topical delivery. J. Control. Release. 2018, 278, 37–48. [Google Scholar] [CrossRef] [PubMed]
- Morais, R.P.; Hochheim, S.; de Oliveira, C.C.; Riegel-Vidotti, I.C.; Marino, C.E.B. Skin interaction, permeation and toxicity of silica nanoparticles: Challenges and recent therapeutic and cosmetic advances. Int. J. Pharm. 2022, 614, 121439. [Google Scholar] [CrossRef]
- Lee, M.-H.; Oh, S.-G.; Moon, S.-K.; Bae, S.-Y. Preparation of Silica Particles Encapsulating Retinol Using O/W/O Multiple Emulsions. J. Colloid Interface Sci. 2001, 240, 83–89. [Google Scholar] [CrossRef]
- Milosheska, D.; Roškar, R. Use of Retinoids in Topical Antiaging Treatments: A Focused Review of Clinical Evidence for Conventional and Nanoformulations. Adv. Ther. 2022, 3, 5351–5375. [Google Scholar] [CrossRef]
- Costa, J.R.; Capeto, A.P.; Pereira, C.F.; Pedrosa, S.S.; Mota, I.F.; Burgal, J.d.S.; Pintado, A.I.; Pintado, M.E.; Oliveira, C.S.S.; Costa, P.; et al. Valorization of Sugarcane By-Products through Synthesis of Biogenic Amorphous Silica Microspheres for Sustainable Cosmetics. Nanomater 2022, 12, 4201. [Google Scholar] [CrossRef]
- Vilanova, N.; Solans, C. Vitamin A Palmitate-β-cyclodextrin inclusion complexes: Characterization, protection and emulsification properties. Food Chem. 2015, 175, 529–535. [Google Scholar] [CrossRef] [PubMed]
- Mujica-Álvarez, J.; Gil-Castell, O.; Barra, P.A.; Ribes-Greus, A.; Bustos, R.; Faccini, M.; Matiacevich, S. Encapsulation of Vitamins A and E as Spray-Dried Additives for the Feed Industry. Molecules 2020, 25, 1357. [Google Scholar] [CrossRef] [PubMed]
- Kim, S.-H.; Lee, D.H.; Choi, S.; Yang, J.-Y.; Jung, K.; Jeong, J.; Oh, J.H.; Lee, J.H. Skin Sensitization Potential and Cellular ROS-Induced Cytotoxicity of Silica Nanoparticles. Nanomater 2021, 11, 2140. [Google Scholar] [CrossRef] [PubMed]
- Singh, A.; Das, J. Liposome encapsulated vitamin A compounds exhibit greater stability and diminished toxicity. Biophys. Chem. 1998, 73, 155–162. [Google Scholar] [CrossRef] [PubMed]
- Organisation for Economic Cooperation and Development. Test Guideline No. 442C–In Chemico Skin Sensitisation. Assays Addressing the Adverse Outcome Pathway Key Event on Covalent Binding to Proteins. Available online: https://www.oecd-ilibrary.org/environment/test-no-442c-in-chemico-skin-sensitisation_9789264229709-en (accessed on 8 March 2024).
- Goudon, F.; Clément, Y.; Ripoll, L. Controlled Release of Retinol in Cationic Co-Polymeric Nanoparticles for Topical Application. Cosmetics 2020, 7, 29. [Google Scholar] [CrossRef]
- Costa, J.R.; Neto, T.; Pedrosa, S.S.; Sousa, S.C.; Azevedo-Silva, J.; Tavares-Valente, D.; Mendes, A.; Pintado, M.E.; Fernandes, J.C.; Oliveira, A.L.S.; et al. Biogenic silica microparticles as a new and sustainable cosmetic ingredient: Assessment of performance and quality parameters. Colloids Surf. B 2023, 226, 113305. [Google Scholar] [CrossRef]
- Castro, G.A.; Coelho, A.L.L.R.; Oliveira, C.A.; Mahecha, G.A.B.; Oréfice, R.L.; Ferreira, L.A.M. Formation of ion pairing as an alternative to improve encapsulation and stability and to reduce skin irritation of retinoic acid loaded in solid lipid nanoparticles. Int. J. Pharm. 2009, 381, 77–83. [Google Scholar] [CrossRef]
- DIN Standard EN 1811; Reference Test Method for Release of Nickel from All Post Assemblies Which Are Inserted into Pierced Parts of the Human Body and Articles Intended to Come into Direct and Prolonged Contact with the Skin. EN–European Standards: Berlin/Heidelberg, Germany, 2023; ISBN 978 0 539 18860 8.
- ISO 10993-5:2009; Biological Evaluation of Medical Devices Part 5: Tests for In Vitro Cytotoxicity. International Organization for Standardization (ISO): Geneva, Switzerland, 2009.





| Delivery System | Description | Reference |
|---|---|---|
| Solid Lipid Nanoparticles | Non-toxic and biodegradable hydrophilic shell with a hydrophobic core that allows the encapsulation and controlled release of retinoids. Nano-sized particles (82–408 nm). Entrapment efficiency of 78–86% | [7,8,9,10,11] |
| Nanostructured lipid carriers | Nano-sized colloidal drug delivery system (~100 nm). Biocompatible, biodegradable, non-immunogenic, with high drug loading capacity. Entrapment efficiency of retinol of 92%. | [7,9] |
| Liposomes | Lipid-based delivery systems with phospholipid bilayers surrounding an aqueous phase. Entrapment efficiency of retinol ranges from 65–97%. Particle sizes > 500 nm. | [8,12] |
| Niosomes | Nanosized lipid-based delivery systems with a bilayer structure composed of non-ionic surfactants, cholesterol, and phospholipids. Entrapment efficiency of retinol of 92%. | [8,13] |
| Cyclodextrins | Solubilization of poorly soluble molecules and protection from chemical degradation. Nanometric diameters (<100 nm) and encapsulation efficiencies ranging from 20–50% | [14] |
| Polymeric micelles | Copolymers of hydrophilic and hydrophobic monomer units (block copolymer). In aqueous media, the hydrophobic portion forms the core, while the hydrophilic portion forms the shell. Nanometric dimensions (10–20 nm and encapsulation efficiencies ranging from 35–80% | [15,16] |
| Run | Retinol CB 50 Concentration (%) | Emulsifier Concentration (%) | Association Efficiency (%) | Particle Size (Dx (50)) |
|---|---|---|---|---|
| 1 | 0.20 (−1) | 3.00 (−1) | 89.81 | 4.83 |
| 2 | 0.20 (−1) | 15.00 (+1) | 98.50 | 7.01 |
| 3 | 1.00 (+1) | 3.00 (−1) | 66.42 | 4.85 |
| 4 | 1.00 (+1) | 15.00 (+1) | 98.97 | 7.75 |
| 5 | 0.03 (−1.41) | 9.00 (0) | 99.32 | 5.23 |
| 6 | 1.17 (+1.41) | 9.00 (0) | 98.17 | 7.83 |
| 7 | 0.60 (0) | 0.51 (−1.41) | 62.48 | 5.05 |
| 8 | 0.60 (0) | 17.49 (+1.41) | 98.71 | 5.44 |
| 9 | 0.60 (0) | 9.00 (0) | 98.79 | 10.4 |
| 10 | 0.60 (0) | 9.00 (0) | 98.84 | 9.79 |
| 11 | 0.60 (0) | 9.00 (0) | 98.97 | 9.42 |
| Coefficient | Association Efficiency | Particle Size |
|---|---|---|
| β0 | 0.7641 | −0.3232 |
| β1x1 | −0.2586 | 12.8194 |
| β2x2 | 0.0523 | 1.2008 |
| β11x21 | −0.0251 | −10.0898 |
| β22x22 | −0.0026 | −0.0627 |
| β12x1x2 | 0.0238 | 0.075 |
| R2 | 0.964 | 0.869 |
| Peak 1 | Peak 2 | |||||
|---|---|---|---|---|---|---|
| Onset (°C) | Peak (°C) | Energy (J/g) | Onset (°C) | Peak (°C) | Energy (J/g) | |
| Retinol CB 50 | 181 | 250.8 | 2200 | - | - | - |
| F5 | 193.5 | 211.7 | 8496 | 275.6 | 315.1 | 1245 |
| Fo | 239.0 | 240.6 | 2638 | 273.1 | 317.3 | 4554 |
| Cysteine Depletion (%) | Lysine Depletion (%) | Cys and Lys Mean Depletion (%) | Reactivity (cys) | Reactivity (cys and lys) | |
|---|---|---|---|---|---|
| Cinnamic aldehyde | 69.36 ± 1.30 | 53.80 ± 0.88 | 61.6 | Moderate | High |
| F5 | 6.74 ± 2.23 | 0.10 ± 0.01 | 3.3 | Minimal | Minimal |
| Fo | 1.69 ± 0.72 | 0.21 ± 0.02 | 0.4 | Minimal | Minimal |
| Coded Variables | −1.41 | −1.0 | 0 | +1.0 | +1.41 |
|---|---|---|---|---|---|
| Retinol concentration (%) | 0.03 | 0.2 | 0.6 | 1.0 | 1.17 |
| Emulsifier concentration (%) | 0.51 | 3.0 | 9.0 | 15.0 | 17.49 |
Disclaimer/Publisher’s Note: The statements, opinions and data contained in all publications are solely those of the individual author(s) and contributor(s) and not of MDPI and/or the editor(s). MDPI and/or the editor(s) disclaim responsibility for any injury to people or property resulting from any ideas, methods, instructions or products referred to in the content. |
© 2024 by the authors. Licensee MDPI, Basel, Switzerland. This article is an open access article distributed under the terms and conditions of the Creative Commons Attribution (CC BY) license (https://creativecommons.org/licenses/by/4.0/).
Share and Cite
Costa, J.R.; Costa, A.H.; Azevedo-Silva, J.; Tavares-Valente, D.; Sousa, S.C.; Neto, T.; Pintado, M.E.; Madureira, A.R. Silica Microparticles from Sugarcane By-Products as an Encapsulation System for Retinoids Aimed at Topical Sustained Release. Int. J. Mol. Sci. 2024, 25, 3215. https://doi.org/10.3390/ijms25063215
Costa JR, Costa AH, Azevedo-Silva J, Tavares-Valente D, Sousa SC, Neto T, Pintado ME, Madureira AR. Silica Microparticles from Sugarcane By-Products as an Encapsulation System for Retinoids Aimed at Topical Sustained Release. International Journal of Molecular Sciences. 2024; 25(6):3215. https://doi.org/10.3390/ijms25063215
Chicago/Turabian StyleCosta, Joana R., Ana Helena Costa, João Azevedo-Silva, Diana Tavares-Valente, Sérgio C. Sousa, Tânia Neto, Manuela E. Pintado, and Ana Raquel Madureira. 2024. "Silica Microparticles from Sugarcane By-Products as an Encapsulation System for Retinoids Aimed at Topical Sustained Release" International Journal of Molecular Sciences 25, no. 6: 3215. https://doi.org/10.3390/ijms25063215
APA StyleCosta, J. R., Costa, A. H., Azevedo-Silva, J., Tavares-Valente, D., Sousa, S. C., Neto, T., Pintado, M. E., & Madureira, A. R. (2024). Silica Microparticles from Sugarcane By-Products as an Encapsulation System for Retinoids Aimed at Topical Sustained Release. International Journal of Molecular Sciences, 25(6), 3215. https://doi.org/10.3390/ijms25063215

