The Effects of Body Fat Reduction through the Metabolic Control of Steam-Processed Ginger Extract in High-Fat-Diet-Fed Mice
Abstract
1. Introduction
2. Results
2.1. HPLC Quantitative Analyses of GE and GGE
2.2. Antioxidant Capacity of GGE
2.3. Inhibitory Effects of GGE on α-Glucosidase Activity
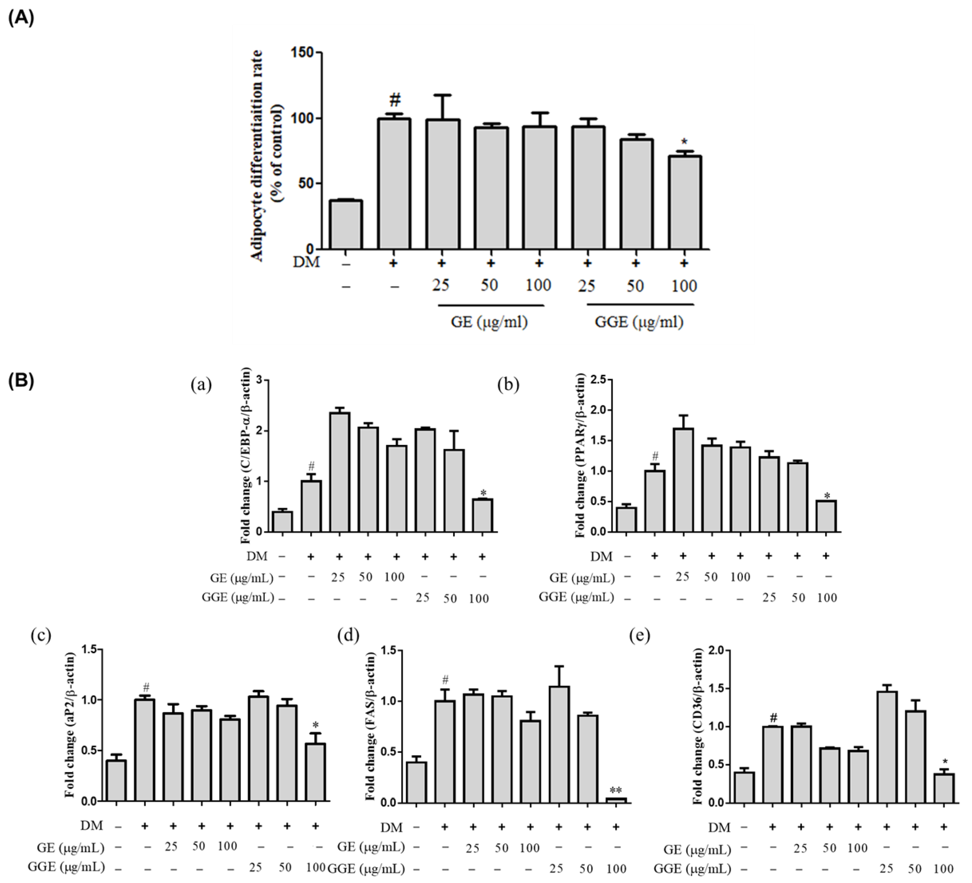
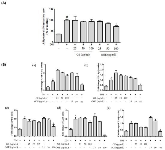
2.4. Inhibitory Effects of GE and GGE on Adipocyte Differentiation
2.5. Inhibitory Effects of GGE on Lipid Accumulation in HepG2 Cells
2.6. Stimulatory Effect of GGE on Glucose Uptake by C2C12 Cells
2.7. Effects of GGE on Body Weight, Tissue Weight, Food Intake, and Water Intake
2.8. Effects of GGE on HFD-Associated Changes in Biochemical Profiles
2.9. Effects of GGE on Fat Accumulation and mRNA Expression Levels of Fat Accumulation-Related Genes in the Liver
2.10. Effects of GGE on the mRNA Expression Levels of Myostatin and MyoD
3. Discussion
4. Materials and Methods
4.1. Chemicals and Reagents
4.2. Preparation of GE and GGE
4.3. HPLC Quantitative Analyses of GE and GGE
4.4. Cell Lines
4.5. ORAC Assay
4.6. α-Glucosidase Inhibition Assay
4.7. Adipocyte Differentiation Assay
4.8. Oleic Acid-Induced Lipid Accumulation Assay
4.9. 2-NBDG Uptake Assay
4.10. Quantitative RT-PCR Analysis
4.11. Animals and Study Design
4.12. Biochemical Analysis and Determination of Tissue Weight
4.13. Histological Analysis of the Liver
4.14. Statistical Analysis
5. Conclusions
Author Contributions
Funding
Institutional Review Board Statement
Informed Consent Statement
Data Availability Statement
Conflicts of Interest
References
- Mohamed, G.A.; Ibrahim, S.R.M.; Elkhayat, E.S.; El Dine, R.S. Natural anti-obesity agents. Bull. Fac. Pharm. Cairo Univ. 2014, 52, 269–284. [Google Scholar] [CrossRef]
- Farmer, S.R. Transcriptional control of adipocyte formation. Cell Metab. 2006, 4, 263–273. [Google Scholar] [CrossRef] [PubMed]
- Francque, S.; Vonghia, L. Pharmacological Treatment for Non-alcoholic Fatty Liver Disease. Adv. Ther. 2019, 36, 1052–1074. [Google Scholar] [CrossRef]
- Riccardi, G.; Giacco, R.; Rivellese, A.A. Dietary fat, insulin sensitivity and the metabolic syndrome. Clin. Nutr. 2004, 23, 447–456. [Google Scholar] [CrossRef]
- Kawada, T. Food-derived regulatory factors against obesity and metabolic syndrome. Biosci. Biotechnol. Biochem. 2018, 82, 547–553. [Google Scholar] [CrossRef]
- Stump, C.S.; Henriksen, E.J.; Wei, Y.; Sowers, J.R. The metabolic syndrome: Role of skeletal muscle metabolism. Ann. Med. 2006, 38, 389–402. [Google Scholar] [CrossRef] [PubMed]
- Ali, B.H.; Blunden, G.; Tanira, M.O.; Nemmar, A. Some phytochemical, pharmacological and toxicological properties of ginger (Zingiber officinale Roscoe): A review of recent research. Food Chem. Toxicol. 2008, 46, 409–420. [Google Scholar] [CrossRef]
- Choi, J.S. Processed Gingers: Current and Prospective Use in Food, Cosmetic, and Pharmaceutical Industry. Recent Pat. Food Nutr. Agric. 2019, 10, 20–26. [Google Scholar] [CrossRef]
- Zhang, M.; Zhao, R.; Wang, D.; Wang, L.; Zhang, Q.; Wei, S.; Lu, F.; Wu, C. Ginger (Zingiber officinale Rosc.) and its bioactive components are potential resources for health beneficial agents. Phytother. Res. 2021, 35, 711–742. [Google Scholar] [CrossRef]
- Govindarajan, V.S. Ginger-chemistry, technology, and quality evaluation: Part 1. Crit. Rev. Food Sci. Nutr. 1982, 17, 1–96. [Google Scholar] [CrossRef]
- Govindarajan, V.S. Ginger-chemistry, technology, and quality evaluation: Part 2. Crit. Rev. Food Sci. Nutr. 1982, 17, 189–258. [Google Scholar] [CrossRef]
- Ma, R.-H.; Ni, Z.-J.; Zhu, Y.-Y.; Thakur, K.; Zhang, F.; Zhang, Y.-Y.; Hu, F.; Zhang, J.-G.; Wei, Z.-J. A recent update on the multifaceted health benefits associated with ginger and its bioactive components. Food Funct. 2021, 12, 519–542. [Google Scholar] [CrossRef] [PubMed]
- Wang, J.; Ke, W.; Bao, R.; Hu, X.; Chen, F. Beneficial effects of ginger Zingiber officinale Roscoe on obesity and metabolic syndrome: A review. Ann. N. Y. Acad. Sci. 2017, 1398, 83–98. [Google Scholar] [CrossRef] [PubMed]
- Viljoen, E.; Visser, J.; Koen, N.; Musekiwa, A. A systematic review and meta-analysis of the effect and safety of ginger in the treatment of pregnancy-associated nausea and vomiting. Nutr. J. 2014, 13, 20. [Google Scholar] [CrossRef] [PubMed]
- Okonta, J.M.; Uboh, M.; Obonga, W.O. Herb-drug interaction: A case study of effect of ginger on the pharmacokinetic of metronidazole in rabbit. Indian J. Pharm. Sci. 2008, 70, 230–232. [Google Scholar] [CrossRef] [PubMed]
- Weidner, M.S.; Sigwart, K. The safety of a ginger extract in the rat. J. Ethnopharmacol. 2000, 73, 513–520. [Google Scholar] [CrossRef]
- Metwaly, A.M.; Lianlian, Z.; Luqi, H.; Deqiang, D. Black Ginseng and Its Saponins: Preparation, Phytochemistry and Pharmacological Effects. Molecules 2019, 24, 1856. [Google Scholar] [CrossRef]
- Cheng, X.-L.; Liu, Q.; Peng, Y.-B.; Qi, L.-W.; Li, P. Steamed ginger (Zingiber officinale): Changed chemical profile and increased anticancer potential. Food Chem. 2011, 129, 1785–1792. [Google Scholar] [CrossRef]
- In, G.; Ahn, N.G.; Bae, B.S.; Lee, M.W.; Park, H.W.; Jang, K.H.; Cho, B.-G.; Han, C.K.; Park, C.K.; Kwak, Y.S. In situ analysis of chemical components induced by steaming between fresh ginseng, steamed ginseng, and red ginseng. J. Ginseng Res. 2017, 41, 361–369. [Google Scholar] [CrossRef]
- Kim, H.J.; Kim, B.; Mun, E.G.; Jeong, S.Y.; Cha, Y.S. The antioxidant activity of steamed ginger and its protective effects on obesity induced by high-fat diet in C57BL/6J mice. Nutr. Res. Pract. 2018, 12, 503–511. [Google Scholar] [CrossRef]
- Shin, J.K.; Park, J.H.; Kim, K.S.; Kang, T.H.; Kim, H.S. Antiulcer Activity of Steamed Ginger Extract against Ethanol/HCl-Induced Gastric Mucosal Injury in Rats. Molecules 2020, 25, 4663. [Google Scholar] [CrossRef]
- Kumboonma, P.; Senawong, T.; Saenglee, S.; Yenjai, C.; Phaosiri, C. Identification of phenolic compounds from Zingiber offinale and their derivatives as histone deacetylase inhibitors and antioxidants. Med. Chem. Res. 2017, 26, 650–661. [Google Scholar] [CrossRef]
- Li, F.; Nitteranon, V.; Tang, X.; Liang, J.; Zhang, G.; Parkin, K.L.; Hu, Q. In vitro antioxidant and anti-inflammatory activities of 1-dehydro-[6]-gingerdione, 6-shogaol, 6-dehydroshogaol and hexahydrocurcumin. Food Chem. 2012, 135, 332–337. [Google Scholar] [CrossRef] [PubMed]
- Nam, Y.H.; Hong, B.N.; Rodriguez, I.; Park, M.S.; Jeong, S.Y.; Lee, Y.G.; Shim, J.H.; Yasmin, Y.; Kim, N.W.; Koo, Y.T.; et al. Steamed ginger may enhance insulin secretion through KATP channel closure in pancreatic β-cells potentially by increasing 1-dehydro-6-gingerdione content. Nutrients 2020, 12, 324. [Google Scholar] [CrossRef] [PubMed]
- Kim, D.-K.; Baik, M.-Y.; Kim, H.-K.; Hahm, Y.-T.; Kim, B.-Y. Standardization of ginseng processing for maximizing the phytonutrients of ginseng. Food Sci. Biotechnol. 2013, 22, 221–226. [Google Scholar] [CrossRef]
- Tan, B.L.; Norhaizan, M.E.; Liew, W.-P.-P. Nutrients and Oxidative Stress: Friend or Foe? Oxid. Med. Cell. Longev. 2018, 2018, 9719584. [Google Scholar] [CrossRef] [PubMed]
- Weber, W.M.; Hunsaker, L.A.; Abcouwer, S.F.; Deck, L.M.; Vander Jagt, D.L. Anti-oxidant activities of curcumin and related enones. Bioorg. Med. Chem. 2005, 13, 3811–3820. [Google Scholar] [CrossRef]
- Litwinienko, G.; Ingold, K.U. Abnormal solvent effects on hydrogen atom abstraction. 2. Resolution of the curcumin antioxidant controversy. The role of sequential proton loss electron transfer. J. Org. Chem. 2005, 69, 5888–5896. [Google Scholar] [CrossRef]
- Isa, Y.; Miyakawa, Y.; Yanagisawa, M.; Goto, T.; Kang, M.S.; Kawada, T.; Morimitsu, Y.; Kubota, K.; Tsuda, T. 6-Shogaol and 6-gingerol, the pungent of ginger, inhibit TNF-alpha mediated downregulation of adiponectin expression via different mechanisms in 3T3-L1 adipocytes. Biochem. Biophys. Res. Commun. 2008, 373, 429–434. [Google Scholar] [CrossRef]
- Sampath, C.; Rashid, M.R.; Sang, S.; Ahmedna, M. Specific bioactive compounds in ginger and apple alleviate hyperglycemia in mice with high fat diet-induced obesity via Nrf2 mediated pathway. Food Chem. 2017, 226, 79–88. [Google Scholar] [CrossRef]
- Beattie, J.H.; Nicol, F.; Gordon, M.; Reid, M.D.; Cantlay, L.; Horgan, G.W.; Kwun, I.; Ahn, J.; Ha, T. Ginger phytochemicals mitigate the obesogenic effects of a high-fat diet in mice: A proteomic and biomarker network analysis. Mol. Nutr. Food Res. 2011, 55, S203–S213. [Google Scholar] [CrossRef] [PubMed]
- Okamoto, M.; Irii, H.; Tahara, Y.; Ishii, H.; Hirao, A.; Udagawa, H.; Hiramoto, M.; Yasuda, K.; Takanishi, A.; Shibata, S.; et al. Synthesis of a new [6]-gingerol analogue and its protective effect with respect to the development of metabolic syndrome in mice fed a high-fat diet. J. Med. Chem. 2011, 54, 6295–6304. [Google Scholar] [CrossRef]
- Saravanan, G.; Ponmurugan, P.; Deepa, M.A.; Senthilkumar, B. Anti-obesity action of gingerol: Effect on lipid profile, insulin, leptin, amylase and lipase in male obese rats induced by a high-fat diet. J. Sci. Food Agric. 2014, 94, 2972–2977. [Google Scholar] [CrossRef]
- Brahma Naidu, P.; Uddandrao, V.V.; Ravindar Naik, R.; Suresh, P.; Meriga, B.; Begum, M.S.; Pandiyan, R.; Saravanan, G. Ameliorative potential of gingerol: Promising modulation of inflammatory factors and lipid marker enzymes expressions in HFD induced obesity in rats. Mol. Cell. Endocrinol. 2016, 419, 139–147. [Google Scholar] [CrossRef]
- Suk, S.; Seo, S.G.; Yu, J.G.; Yang, H.; Jeong, E.; Jang, Y.J.; Yaghmoor, S.S.; Ahmed, Y.; Yousef, J.M.; Abualnaja, K.O.; et al. A bioactive constituent of ginger, 6-shogaol, prevents adipogenesis and stimulates lipolysis in 3t3-l1 adipocytes. J. Food Biochem. 2016, 40, 84–90. [Google Scholar] [CrossRef]
- Suk, S.; Kwon, G.T.; Lee, E.; Jang, W.J.; Yang, H.; Kim, J.H.; Thimmegowda, N.R.; Chung, M.Y.; Kwon, J.Y.; Yang, S.; et al. Gingerenone A, a polyphenol present in ginger, suppresses obesity and adipose tissue inflammation in high-fat diet-fed mice. Mol. Nutr. Food Res. 2017, 61, 1700139. [Google Scholar] [CrossRef] [PubMed]
- Pulbutr, P.; Thunchomnang, K.; Lawa, K.; Mangkhalathon, A.; Saenubol, P. Lipolytic effects of Zingerone in adipocytes isolated from normal diet fed rats and high fat diet fed rats. Int. J. Pharmacol. 2011, 7, 629–634. [Google Scholar] [CrossRef]
- Ahn, E.K.; Oh, J.S. Inhibitory effect of Galanolactone isolated from Zingiber officinale Roscoe extract on adipogenesis in 3T3-L1 cells. J. Korean Soc. Appl. Biol. Chem. 2012, 55, 63–68. [Google Scholar] [CrossRef]
- Hong, S.S.; Oh, J.S. Phenylpropanoid ester from Zingiber officinale and their inhibitory effects on the production of nitric oxide. Arch. Pharm. Res. 2012, 35, 315–320. [Google Scholar] [CrossRef]
- Hamada, Y.; Nagasaki, H.; Fuchigami, M.; Furuta, S.; Seino, Y.; Nakamura, J.; Oiso, Y. The alpha-glucosidase inhibitor miglitol affects bile acid metabolism and ameliorates obesity and insulin resistance in diabetic mice. Metab. 2013, 62, 734–742. [Google Scholar] [CrossRef]
- Chanon, S.; Durand, C.; Vieille-Marchiset, A.; Robert, M.; Dibner, C.; Simon, C.; Lefai, E. Glucose Uptake Measurement and Response to Insulin Stimulation in In Vitro Cultured Human Primary Myotubes. J. Vis. Exp. 2017, 124, 55743. [Google Scholar]
- Allen, D.L.; Hittel, D.S.; McPherron, A.C. Expression and function of myostatin in obesity, diabetes, and exercise adaptation. Med. Sci. Sports Exerc. 2011, 43, 1828–1835. [Google Scholar] [CrossRef]
- Goyal, R.K.; Kadnur, S.V. Beneficial effects of Zingiber officinale on goldthioglucose induced obesity. Fitoterapia 2006, 77, 160–163. [Google Scholar] [CrossRef] [PubMed]
- Ismail, N.S. Protective effects of aqueous extracts of cinnamon and ginger herbs against obesity and diabetes in obese diabetic rat. World J. Dairy Food Sci. 2014, 9, 145–153. [Google Scholar]
- Shalaby, M.A.; Saifan, H.Y. Some pharmacological effects of cinnamon and ginger herbs in obese diabetic rats. J. Intercult. Ethnopharmacol. 2014, 3, 144–149. [Google Scholar] [CrossRef]
- Li, Y.; Tran, V.H.; Kota, B.P.; Nammi, S.; Duke, C.C.; Roufogalis, B.D. Preventative effect of Zingiber officinale on insulin resistance in a high-fat high-carbohydrate diet-fed rat model and its mechanism of action. Basic Clin. Pharmacol. Toxicol. 2014, 115, 209–215. [Google Scholar] [CrossRef] [PubMed]
- Wang, J.; Li, D.; Wang, P.; Hu, X.; Chen, F. Ginger prevents obesity through regulation of energy metabolism and activation of browning in high-fat diet-induced obese mice. J. Nutr. Biochem. 2019, 70, 105–115. [Google Scholar] [CrossRef]
- Sylow, L.; Jensen, T.E.; Kleinert, M.; Højlund, K.; Kiens, B.; Wojtaszewski, J.; Prats, C.; Schjerling, P.; Richter, E.A. Rac1 Signaling Is Required for Insulin-Stimulated Glucose Uptake and Is Dysregulated in Insulin-Resistant Murine and Human Skeletal Muscle. Diabetes 2013, 62, 1865–1875. [Google Scholar] [CrossRef]
- Baek, H.J.; Jeong, Y.J.; Kwon, J.E.; Ra, J.S.; Lee, S.R.; Kang, S.C. Antihyperglycemic and Antilipidemic Effects of the Ethanol Extract Mixture of Ligularia fischeri and Momordica charantia in Type II Diabetes-Mimicking Mice. Evid. Based Complement. Altern. Med. 2018, 2018, 15. [Google Scholar] [CrossRef]
- Moravcová, A.; Červinková, Z.; Kučera, O.; Mezera, V.; Rychtrmoc, D.; Lotková, H. The effect of oleic and palmitic acid on induction of steatosis and cytotoxicity on rat hepatocytes in primary culture. Physiol. Res. 2015, 64 (Suppl. S5), S627–S636. [Google Scholar] [CrossRef]







| Dose (μg/mL) | Trolox Equivalent Antioxidant Capacity | |
|---|---|---|
| GE | GGE | |
| 100 | 0.68 ± 0.006 | 0.80 ± 0.048 |
| 50 | 0.69 ± 0.066 | 0.78 ± 0.006 |
| 25 | 0.67 ± 0.057 | 0.76 ± 0.0017 |
| Dose (μg/mL) | α-Glucosidase Inhibition Rate (%) | ||
|---|---|---|---|
| GE | GGE | Acarbose | |
| 100 | 11.92 ± 3.271 * | 31.84 ± 4.403 ** | 53.33 ± 1.523 ** |
| 50 | 3.04 ± 5.444 | 31.51 ± 1.839 **,## | 44.66 ± 0.239 ** |
| 25 | 0 ± 10.912 | 26.08 ± 4.557 **,## | 35.36 ± 15.952 ** |
| 0 | 0 ± 0.58 | ||
| Group | Body Weight Gain (g/Day) | Relative Tissue Weight | Food Consumption (g/Day) | FER † | Water Consumption (mL/Week) | ||
|---|---|---|---|---|---|---|---|
| Liver | Kidney | Spleen | |||||
| C57BL/6 mice (each group, n = 6) | |||||||
| Normal control | 6.7 ± 1.72 | 3.7 ± 0.1 | 1.3 ± 0.1 | 0.3 ± 0.01 | 140.7 ± 11.46 | 4.7 ± 1.22 | 76.3 ± 4.73 |
| HFD control | 20.0 ± 1.39 # | 5.3 ± 0.2 # | 0.8 ± 0.03 # | 0.2 ± 0.01 | 130.1 ± 7.84 | 15.4 ± 1.07 # | 124.6 ± 25.48 # |
| GE (mg/kg body weight/day) | |||||||
| 200 | 18.3 ± 0.96 | 2.7 ± 0.2 ** | 0.6 ± 0.04 | 0.2 ± 0.02 | 105.4 ± 9.59 | 17.3 ± 0.91 | 80.0 ± 2.88 * |
| GGE (mg/kg body weight/day) | |||||||
| 50 | 14.4 ± 1.61 | 2.8 ± 0.2 ** | 0.8 ± 0.03 | 0.2 ± 0.01 | 104.2 ± 10.10 | 13.8 ± 1.54 | 77.5 ± 4.28 |
| 100 | 14.2 ± 1.08 | 2.7 ± 0.2 ** | 0.7 ± 0.02 | 0.2 ± 0.01 | 116.1 ± 9.55 | 12.2 ± 0.93 | 84.2 ± 4.78 * |
| 200 | 14.3 ± 1.87 | 3.2 ± 0.5 ** | 0.9 ± 0.02 | 0.2 ± 0.03 | 109.8 ± 9.27 | 13.0 ± 1.70 | 80.0 ± 4.00 * |
| Group | Glucose (mg/dL) | Triglycerides (mg/dL) | Total Cholesterol (mg/dL) | HDL-C (mg/dL) | LDL-C (mg/dL) | GOP (U/L) | GPT (U/L) | NEFA (mEq/L) |
|---|---|---|---|---|---|---|---|---|
| C57 mice (n = 6 each) | ||||||||
| Normal control | 43.0 ± 11.27 | 32.7 ± 8.33 | 59.3 ± 6.03 | 46.0 ± 1.73 | 8.0 ± 1.00 | 141.0 ± 18.73 | 71.0 ± 1.41 | 1.6 ± 0.21 |
| HFD control | 65.7 ± 12.90 | 46.0 ± 1.00 | 140.0 ± 9.54 # | 63.3 ± 2.89 # | 19.0 ± 1.00 # | 235.0 ± 37.98 # | 236.3 ± 50.06 # | 2.5 ± 0.15 # |
| GE (mg/kg body weight/day) | ||||||||
| 200 | 81.0 ± 9.85 | 52.0 ± 4.58 | 108.0 ± 5.29 ** | 58.0 ± 1.00 | 14.0 ± 1.00 | 186.0 ± 24.06 | 114.0 ± 9.17 ** | 2.4 ± 0.12 |
| GGE (mg/kg body weight/day) | ||||||||
| 50 | 72.7 ± 5.03 | 53.7 ± 3.06 | 100.0 ± 5.29 ** | 62.0 ± 2.65 | 12.0 ± 1.00 ** | 136.3 ± 8.96 ** | 97.3 ± 5.51 ** | 2.3 ± 0.10 |
| 100 | 71.0 ± 8.72 | 53.7 ± 3.06 | 104.7 ± 7.51 ** | 60.0 ± 2.00 | 14.3 ± 4.04 | 167.7 ± 31.34 * | 103.0 ± 28.21 ** | 2.2 ± 0.10 |
| 200 | 71.5 ± 10.61 | 45.7 ± 5.86 | 97.0 ± 1.41 ** | 63.0 ± 4.39 | 15.0 ± 1.00 | 160.0 ± 14.00 ** | 130.0 ± 0.63 * | 2.0 ± 0.10 ** |
| Gene | Primer Sequences |
|---|---|
| Peroxisome proliferator-activated receptor γ (PPARγ) | 5′-CGCTGATGCATGCCTATGA-3′ (sense) 5′-AGAGGTCCACAGAGCTGATTCC-3′ (antisense) |
| CCAAT/enhancer binding protein (C/EBPα) | 5′-CGCAAGAGCCGAGATAAAGC-3′ (sense) 5′-CACGGCTCAGCTGTTCCA-3′ (antisense) |
| Adipocyte protein 2 (aP2) | 5′-CATGGCCAAGCCCAACAT-3′ (sense) 5′-CGCCCAGTTTGAAGGTTCTCA-3′ (antisense) |
| Cluster of differentiation 36 (CD36) | 5′-GCTTGCAACTGTCAGCACAT-3′ (sense) 5′-GCCTTGCTGTAGCCAAGAAC-3′ (antisense) |
| Acetyl CoA carboxylase (ACC) | 5′-GAATCTCCTGGTGACAATGCTTATT-3′ (sense) 5′-GGTCTTGCTGAGTTGGGTTAGCT-3′ (antisense) |
| Fatty acid synthase (FAS) | 5′-CTGAGATCCCAGCACTTCTTGA-3′ (sense) 5′-GCCTCCGAAGCCAAATGAG-3′ (antisense) |
| Liver X receptor (LXR) | 5′-AGGCCGGTGCTGAGTATGTC-3′ (sense) 5′-GGGCTCCATAAAGTCACCAA-3′ (antisense) |
| Sterol regulatory element binding transcription factor-1c (SREBP-1c) | 5′-GGCTCCTGCCTACAGCTTCT-3′ (sense) 5′-CAGCCAGTGGATCACCACA-3′ (antisense) |
| Glucose transporter type-4 (GLUT-4) | 5′-AGAGTCTAAAGCGCCT-3′ (sense) 5′-CCGAGACCAACGTGAA-3′ (antisense) |
| Insulin receptor substrate 1 (IRS-1) | 5′-GCCAATCTTCATCCAGTTGC-3′ (sense) 5′-CATCGTGAAGAAGGCATAGG-3′ (antisense) |
| Myostatin | 5′-GGCCATGATCTTGCTGTAAC-3′ (sense) 5′-TTGGGTGCGATAATCCAGTC-3′ (antisense) |
| Myoblast determination protein (MyoD) | 5′-GGCTACGACACCGCCTACTA-3′ (sense) 5′-GTGGAGATGCGCTCCACTAT-3′ (antisense) |
| β-actin | 5′-TGTCCACCTTCCAGCAGATGT-3′ (sense) 5′-AGCTCAGTAACAGTCCGCCTAGA-3′ (antisense) |
Disclaimer/Publisher’s Note: The statements, opinions and data contained in all publications are solely those of the individual author(s) and contributor(s) and not of MDPI and/or the editor(s). MDPI and/or the editor(s) disclaim responsibility for any injury to people or property resulting from any ideas, methods, instructions or products referred to in the content. |
© 2024 by the authors. Licensee MDPI, Basel, Switzerland. This article is an open access article distributed under the terms and conditions of the Creative Commons Attribution (CC BY) license (https://creativecommons.org/licenses/by/4.0/).
Share and Cite
Lee, Y.-G.; Lee, S.R.; Baek, H.J.; Kwon, J.E.; Baek, N.-I.; Kang, T.H.; Kim, H.; Kang, S.C. The Effects of Body Fat Reduction through the Metabolic Control of Steam-Processed Ginger Extract in High-Fat-Diet-Fed Mice. Int. J. Mol. Sci. 2024, 25, 2982. https://doi.org/10.3390/ijms25052982
Lee Y-G, Lee SR, Baek HJ, Kwon JE, Baek N-I, Kang TH, Kim H, Kang SC. The Effects of Body Fat Reduction through the Metabolic Control of Steam-Processed Ginger Extract in High-Fat-Diet-Fed Mice. International Journal of Molecular Sciences. 2024; 25(5):2982. https://doi.org/10.3390/ijms25052982
Chicago/Turabian StyleLee, Yeong-Geun, Sung Ryul Lee, Hyun Jin Baek, Jeong Eun Kwon, Nam-In Baek, Tong Ho Kang, Hyunggun Kim, and Se Chan Kang. 2024. "The Effects of Body Fat Reduction through the Metabolic Control of Steam-Processed Ginger Extract in High-Fat-Diet-Fed Mice" International Journal of Molecular Sciences 25, no. 5: 2982. https://doi.org/10.3390/ijms25052982
APA StyleLee, Y.-G., Lee, S. R., Baek, H. J., Kwon, J. E., Baek, N.-I., Kang, T. H., Kim, H., & Kang, S. C. (2024). The Effects of Body Fat Reduction through the Metabolic Control of Steam-Processed Ginger Extract in High-Fat-Diet-Fed Mice. International Journal of Molecular Sciences, 25(5), 2982. https://doi.org/10.3390/ijms25052982

