Differentially Expressed Genes Involved in Primary Resistance to Immunotherapy in Patients with Advanced-Stage Pulmonary Cancer
Abstract
1. Introduction
2. Results
2.1. Gene Expression Profile (GEP) of Tumor Tissue of Patients with NSCLC after Nivolumab Treatment
2.2. Functional Characterization of Dysregulated GEP in NSCLC Tumors
2.3. Validation of the Genomic Signature as a Predicted Response Marker in an Independent Series of Patients Treated with Nivolumab
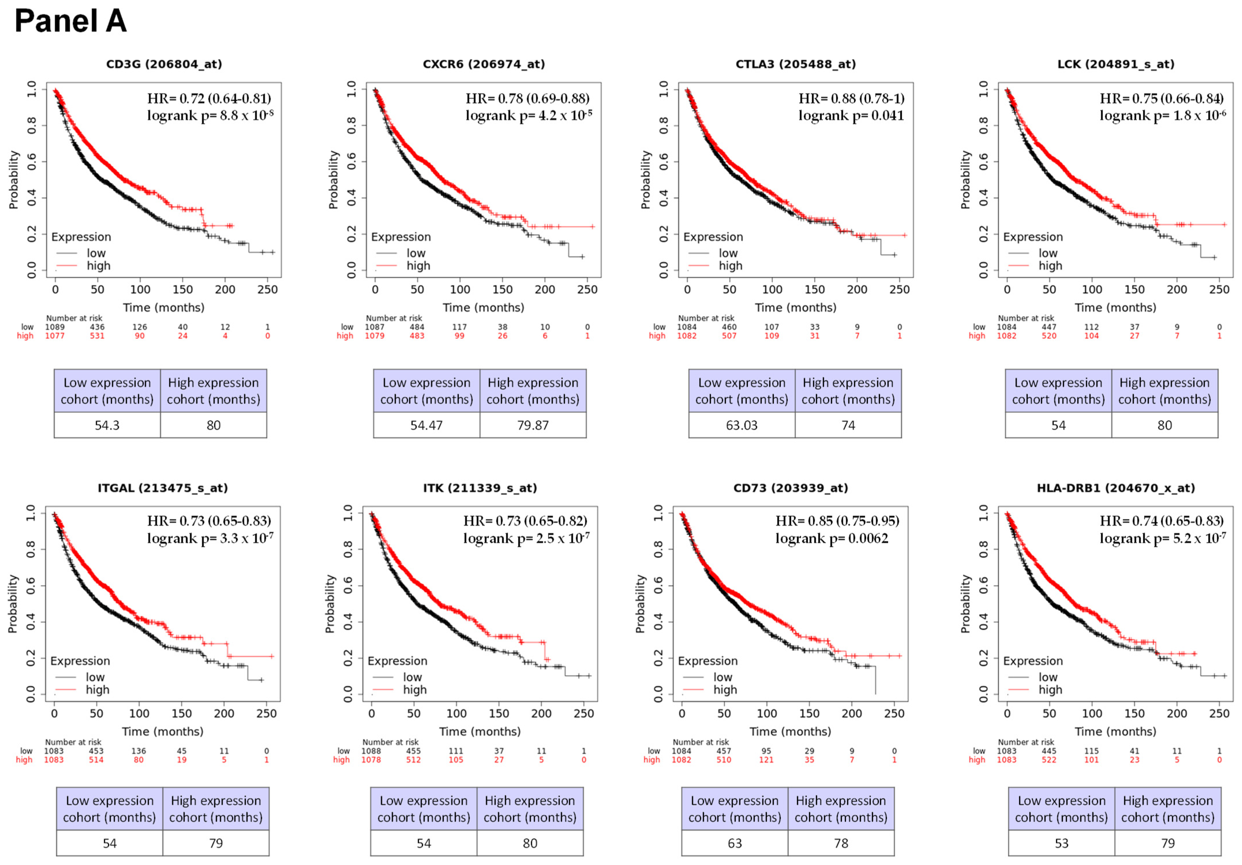
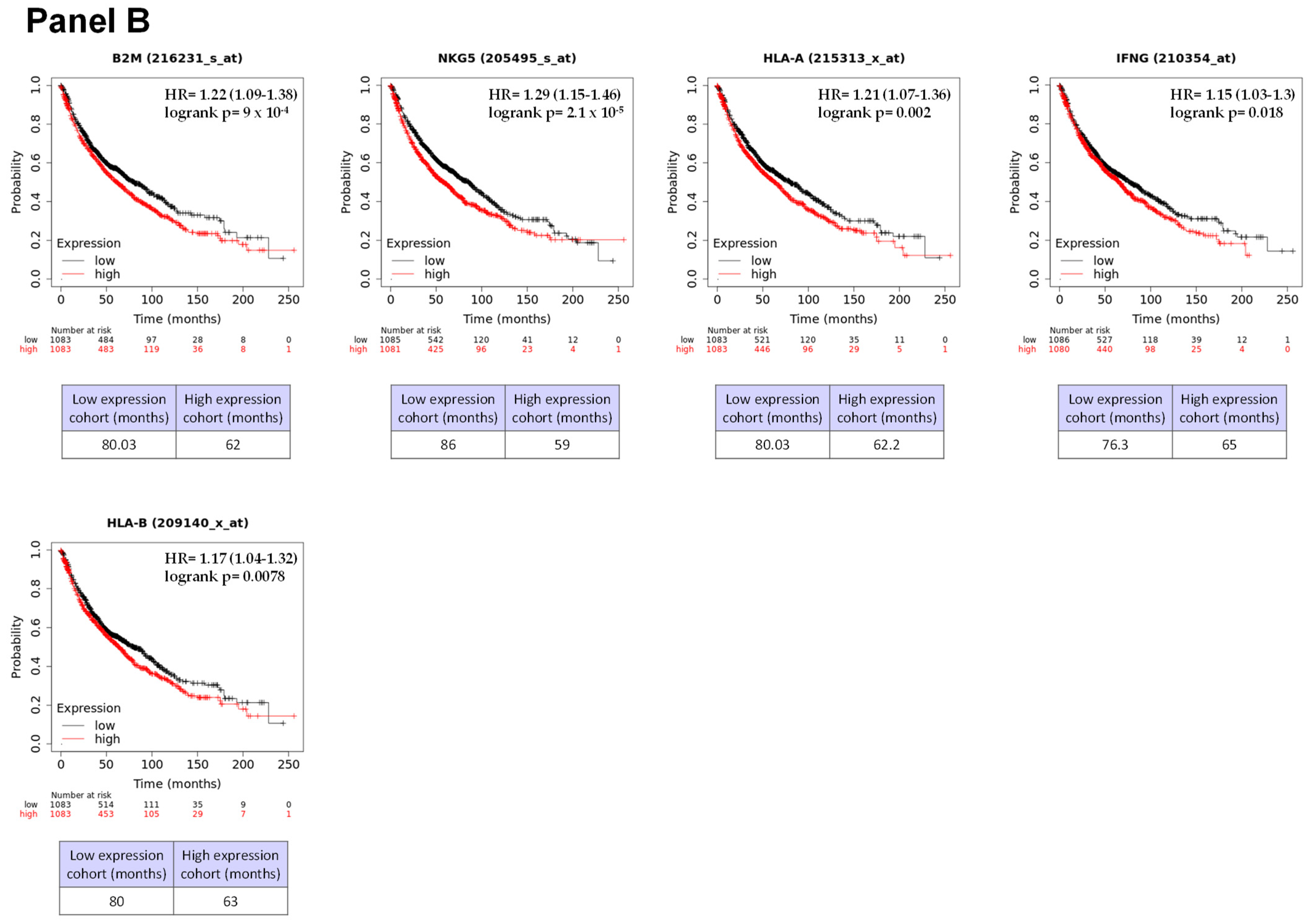
2.4. Validation of the Clinical Impact of the Genomic Signature in an Independent Series of Patients
3. Discussion
4. Materials and Methods
4.1. Patients and Samples
4.2. RNA Extraction and GEP Studies
4.3. Heatmap Studies
4.4. In Silico Studies
4.5. Statistical Methods
Author Contributions
Funding
Institutional Review Board Statement
Informed Consent Statement
Data Availability Statement
Conflicts of Interest
References
- Sung, H.; Ferlay, J.; Siegel, R.L.; Laversanne, M.; Soerjomataram, I.; Jemal, A.; Bray, F. Global Cancer Statistics 2020: GLOBOCAN Estimates of Incidence and Mortality Worldwide for 36 Cancers in 185 Countries. CA Cancer J. Clin. 2021, 71, 209–249. [Google Scholar] [CrossRef]
- Vicidomini, G. Current Challenges and Future Advances in Lung Cancer: Genetics, Instrumental Diagnosis and Treatment. Cancers 2023, 15, 3710. [Google Scholar] [CrossRef] [PubMed]
- Camidge, D.R.; Doebele, R.C.; Kerr, K.M. Comparing and contrasting predictive biomarkers for immunotherapy and targeted therapy of NSCLC. Nat. Rev. Clin. Oncol. 2019, 16, 341–355. [Google Scholar] [CrossRef] [PubMed]
- Weir, B.A.; Woo, M.S.; Getz, G.; Perner, S.; Ding, L.; Beroukhim, R.; Lin, W.M.; Province, M.A.; Kraja, A.; Johnson, L.A.; et al. Characterizing the cancer genome in lung adenocarcinoma. Nature 2007, 450, 893–898. [Google Scholar] [CrossRef] [PubMed]
- Dotto, G.P.; Rustgi, A.K. Squamous cell cancers: A unified perspective on biology and genetics. Cancer Cell. 2016, 29, 622–637. [Google Scholar] [CrossRef] [PubMed]
- Uprety, D. Chemoimmunotherapy for stage IV non-small-cell lung cancer. Lancet Oncol. 2019, 20, e466. [Google Scholar] [CrossRef] [PubMed]
- Chinchilla-Tábora, L.M.; Sayagués, J.M.; González-Morais, I.; Rodríguez, M.; Ludeña, M.D. Prognostic Impact of EGFR Amplification and Visceral Pleural Invasion in Early Stage Pulmonary Squamous Cell Carcinomas Patients after Surgical Resection of Primary Tumor. Cancers 2022, 14, 2174. [Google Scholar] [CrossRef]
- Karachaliou, N.; Fernandez-Bruno, M.; Rosell, R. Strategies for first-line immunotherapy in squamous cell lung cancer: Are combinations a game changer? Transl. Lung Cancer Res. 2018, 7 (Suppl. 3), S198–S201. [Google Scholar] [CrossRef]
- Kwok, G.; Yau, T.C.C.; Chiu, J.W.; Tse, E.; Kwong, Y.L. Pembrolizumab (Keytruda). Hum. Vaccines Immunother. 2016, 12, 2777–2789. [Google Scholar] [CrossRef]
- Olivares-Hernández, A.; González del Portillo, E.; Tamayo-Velasco, Á.; Figuero-Pérez, L.; Zhilina-Zhilina, S.; Fonseca-Sánchez, E.; Miramontes-González, J.P. Immune checkpoint inhibitors in non-small cell lung cancer: From current perspectives to future treatments—A systematic review. Ann. Transl. Med. 2023, 11, 354. [Google Scholar] [CrossRef]
- Nowicki, T.S.; Hu-Lieskovan, S.; Ribas, A. Mechanisms of Resistance to PD-1 and PD-L1 blockade. Cancer J. Sudbury Mass. 2018, 24, 47–53. [Google Scholar] [CrossRef] [PubMed]
- Doroshow, D.B.; Bhalla, S.; Beasley, M.B.; Sholl, L.M.; Kerr, K.M.; Gnjatic, S.; Wistuba, I.I.; Rimm, D.L.; Tsao, M.S.; Hirsch, F.R. PD-L1 as a biomarker of response to immune-checkpoint inhibitors. Nat. Rev. Clin. Oncol. 2021, 18, 345–362. [Google Scholar] [CrossRef] [PubMed]
- Shen, X.; Zhao, B. Efficacy of PD-1 or PD-L1 inhibitors and PD-L1 expression status in cancer: Meta-analysis. BMJ 2018, 362, k3529. [Google Scholar] [CrossRef] [PubMed]
- Grossman, J.E.; Vasudevan, D.; Joyce, C.E.; Hildago, M. Is PD-L1 a consistent biomarker for anti-PD-1 therapy? The model of balstilimab in a virally-driven tumor. Oncogene 2021, 40, 1393–1395. [Google Scholar] [CrossRef]
- Parra, E.R.; Villalobos, P.; Mino, B.; Rodriguez-Canales, J. Comparison of Different Antibody Clones for Immunohistochemistry Detection of Programmed Cell Death Ligand 1 (PD-L1) on Non-Small Cell Lung Carcinoma. Appl. Immunohistochem. Mol. Morphol. 2018, 26, 83–93. [Google Scholar] [CrossRef]
- Bruno, R.; Alì, G.; Poma, A.M.; Fontanini, G. Non-small cell lung cancer molecular characterization of advanced disease with focus on sex differences: A narrative review. Precis. Cancer Med. 2021, 4, 14. [Google Scholar] [CrossRef]
- Song, P.; Cui, X.; Bai, L.; Zhou, X.; Zhu, X.; Zhang, J.; Jin, F.; Zhao, J.; Zhou, C.; Zhou, Y.; et al. Molecular characterization of clinical responses to PD-1/PD-L1 inhibitors in non-small cell lung cancer: Predictive value of multidimensional immunomarker detection for the efficacy of PD-1 inhibitors in Chinese patients. Thorac. Cancer 2019, 10, 1303–1309. [Google Scholar] [CrossRef]
- Wang, F.; Su, Q.; Li, C. Identidication of novel biomarkers in non-small cell lung cancer using machine learning. Sci. Rep. 2022, 12, 16693. [Google Scholar] [CrossRef]
- Botling, J.; Edlund, K.; Lohr, M.; Hellwig, B.; Holmberg, L.; Lambe, M.; Berglund, A.; Ekman, S.; Bergqvist, M.; Pontén, F.; et al. Biomarker discovery in non-small cell lung cancer: Integrating gene expression profiling, meta-analysis, and tissue microarray validation. Clin. Cancer Res. 2013, 19, 194–204. [Google Scholar] [CrossRef]
- Wang, J.; Song, J.; Gao, Z.; Huo, X.; Zhang, Y.; Wang, W.; Qi, J.; Zheng, S. Analysis of gene expression profiles of non-small cell lung cancer at different stages reveals significantly altered biological functions and candidate genes. Oncol. Rep. 2017, 37, 1736–1746. [Google Scholar] [CrossRef]
- Sanchez-Palencia, A.; Gomez-Morales, M.; Gomez-Capilla, J.A.; Pedraza, V.; Boyero, L.; Rosell, R.; Fárez-Vidal, M.E. Gene expression profiling reveals novel biomarkers in nonsmall cell lung cancer. Int. J. Cancer 2011, 129, 355–364. [Google Scholar] [CrossRef]
- Kovács, S.A.; Fekete, J.T.; Győrffy, B. Predictive biomarkers of immunotherapy response with pharmacological applications in solid tumors. Acta Pharmacol. Sin. 2023, 44, 1879–1889. [Google Scholar] [CrossRef]
- Ayers, M.; Lunceford, J.; Nebozhyn, M.; Murphy, E.; Loboda, A.; Kaufman, D.R.; Albright, A.; Cheng, J.D.; Kang, S.P.; Shankaran, V.; et al. IFN-γ–related mRNA profile predicts clinical response to PD-1 blockade. J. Clin. Investig. 2017, 127, 2930–2940. [Google Scholar] [CrossRef]
- Wallden, B.; Pekker, I.; Popa, S.; Dowidar, N.; Sullivan, A.; Hood, T.; Danaher, P.; Mashadi-Hossein, A.; Lunceford, J.K.; Marton, M.J.; et al. Development and analytical performance of a molecular diagnostic for anti-PD1 response on the nCounter Dx Analysis System. J. Clin. Oncol. 2016, 34 (Suppl. 15), 3034. [Google Scholar] [CrossRef]
- Hwang, S.; Kwon, A.-Y.; Jeong, J.-Y.; Kim, S.; Kang, H.; Park, J.; Kim, J.-H.; Han, O.J.; Lim, S.M.; An, H.J. Immune gene signatures for predicting durable clinical benefit of anti-PD-1 immunotherapy in patients with non-small cell lung cancer. Sci. Rep. 2020, 10, 643. [Google Scholar] [CrossRef] [PubMed]
- Hijazo-Pechero, S.; Alay, A.; Marín, R.; Vilariño, N.; Muñoz-Pinedo, C.; Villanueva, A.; Santamaría, D.; Nadal, E.; Solé, X. Gene Expression Profiling as a Potential Tool for Precision Oncology in Non-Small Cell Lung Cancer. Cancers 2021, 13, 4734. [Google Scholar] [CrossRef] [PubMed]
- Aguilar, E.; Ricciuti, B.; Gainor, J.; Kehl, K.; Kravets, S.; Dahlberg, S.; Nishino, M.; Sholl, L.; Adeni, A.; Subegdjo, S.; et al. Outcomes to first-line pembrolizumab in patients with non-small-cell lung cancer and very high PD-L1 expression. Ann. Oncol. 2019, 30, 1653–1659. [Google Scholar] [CrossRef] [PubMed]
- Xu, Y.; Wan, B.; Chen, X.; Zhan, P.; Zhao, Y.; Zhang, T.; Liu, H.; Afzal, M.Z.; Dermime, S.; Hochwald, S.N.; et al. The association of PD-L1 expression with the efficacy of anti-PD-1/PD-L1 immunotherapy and survival of non-small cell lung cancer patients: A meta-analysis of randomized controlled trials. Transl. Lung Cancer Res. 2019, 8, 413–428. [Google Scholar] [CrossRef] [PubMed]
- Luo, H.; Song, G.; Wang, D.; Li, M.; Dai, N. Combining PD-1 or PD-L1 inhibitors with chemotherapy is a good strategy for the treatment of extensive small cell lung cancer: A retrospective analysis of clinical studies. Front. Immunol. 2022, 13, 1059557. [Google Scholar] [CrossRef] [PubMed]
- Rodríguez-Cid, J.R.; Chards, S.C.-C.; González-Espinoza, I.R.; García-Montes, V.; Garibay-Díaz, J.C.; Hernández-Flores, O.; Riera-Sala, R.; Gozalishvili-Boncheva, A.; Alatorre-Alexander, J.A.; Martínez-Barrera, L.M.; et al. A comparative study of immunotherapy as second-line treatment and beyond in patients with advanced non-small-cell lung carcinoma. Lung Cancer Manag. 2021, 10, LMT47. [Google Scholar] [CrossRef] [PubMed]
- Provencio, M.; Serna-Blasco, R.; Nadal, E.; Insa, A.; García-Campelo, M.R.; Rubio, J.C.; Dómine, M.; Majem, M.; Rodríguez-Abreu, D.; Martínez-Martí, A.; et al. Overall Survival and Biomarker Analysis of Neoadjuvant Nivolumab Plus Chemotherapy in Operable Stage IIIA Non–Small-Cell Lung Cancer (NADIM phase II trial). J. Clin. Oncol. 2022, 40, 2924–2933. [Google Scholar] [CrossRef] [PubMed]
- Paz-Ares, L.; Ciuleanu, T.-E.; Cobo, M.; Schenker, M.; Zurawski, B.; Menezes, J.; Richardet, E.; Bennouna, J.; Felip, E.; Juan-Vidal, O.; et al. First-line nivolumab plus ipilimumab combined with two cycles of chemotherapy in patients with non-small-cell lung cancer (CheckMate 9LA): An international, randomised, open-label, phase 3 trial. Lancet Oncol. 2021, 22, 198–211. [Google Scholar] [CrossRef] [PubMed]
- Gadgeel, S.; Rodríguez-Abreu, D.; Speranza, G.; Esteban, E.; Felip, E.; Dómine, M.; Hui, R.; Hochmair, M.J.; Clingan, P.; Powell, S.F.; et al. Updated Analysis From KEYNOTE-189: Pembrolizumab or Placebo Plus Pemetrexed and Platinum for Previously Untreated Metastatic Nonsquamous Non–Small-Cell Lung Cancer. J. Clin. Oncol. 2020, 38, 1505–1517. [Google Scholar] [CrossRef]
- Rothschild, S.I.; Zippelius, A.; Eboulet, E.I.; Prince, S.S.; Betticher, D.; Bettini, A.; Früh, M.; Joerger, M.; Lardinois, D.; Gelpke, H.; et al. SAKK 16/14: Durvalumab in Addition to Neoadjuvant Chemotherapy in Patients With Stage IIIA(N2) Non–Small-Cell Lung Cancer—A Multicenter Single-Arm Phase II Trial. J. Clin. Oncol. 2021, 39, 2872–2880. [Google Scholar] [CrossRef] [PubMed]
- Ray-Coquard, I.L.; Kaminsky-Forrett, M.-C.; Ohkuma, R.; De Montfort, A.; Joly, F.; Treilleux, I.; Ghamry-Barrin, S.; Bello-Roufai, D.; Saintigny, P.; Angelergues, A.; et al. In situ immune impact of nivolumab + ipilimumab combination before standard chemoradiation therapy (RTCT) for FIGO IB3-IVA in patients (pts) with cervical squamous carcinoma: COLIBRI trial, a GINECO study. J. Clin. Oncol. 2023, 41 (Suppl. 16), 5501. [Google Scholar] [CrossRef]
- Eltahir, M.; Isaksson, J.; Mattsson, J.S.M.; Kärre, K.; Botling, J.; Lord, M.; Mangsbo, S.M.; Micke, P. Plasma Proteomic Analysis in Non-Small Cell Lung Cancer Patients Treated with PD-1/PD-L1 Blockade. Cancers 2021, 13, 3116. [Google Scholar] [CrossRef]
- Reschke, R.; Yu, J.; Flood, B.A.; Higgs, E.F.; Hatogai, K.; Gajewski, T.F. Immune cell and tumor cell-derived CXCL10 is indicative of immunotherapy response in metastatic melanoma. J. Immunother. Cancer 2021, 9, e003521. [Google Scholar] [CrossRef]
- Lee, K.-S.; Chung, W.-Y.; Park, J.-E.; Jung, Y.-J.; Park, J.-H.; Sheen, S.-S.; Park, K.-J. Interferon-γ-Inducible Chemokines as Prognostic Markers for Lung Cancer. Int. J. Environ. Res. Public Health 2021, 18, 9345. [Google Scholar] [CrossRef]
- Tokunaga, R.; Zhang, W.; Naseem, M.; Puccini, A.; Berger, M.D.; Soni, S.; McSkane, M.; Baba, H.; Lenz, H.-J. CXCL9, CXCL10, CXCL11/CXCR3 axis for immune activation—A target for novel cancer therapy. Cancer Treat. Rev. 2018, 63, 40–47. [Google Scholar] [CrossRef] [PubMed]
- Li, Y.; Han, S.; Wu, B.; Zhong, C.; Shi, Y.; Lv, C.; Fu, L.; Zhang, Y.; Lang, Q.; Liang, Z.; et al. CXCL11 Correlates with Immune Infiltration and Impacts Patient Immunotherapy Efficacy: A Pan-Cancer Analysis. Front. Immunol. 2022, 13, 951247. [Google Scholar] [CrossRef] [PubMed]
- Wang, J.; Gu, X.; Cao, L.; Ouyang, Y.; Qi, X.; Wang, Z.; Wang, J. A novel prognostic biomarker CD3G that correlates with the tumor microenvironment in cervical cancer. Front. Oncol. 2022, 12, 979226. [Google Scholar] [CrossRef] [PubMed]
- Zheng, Z.; Guo, Y.; Huang, X.; Liu, J.; Wang, R.; Qiu, X.; Liu, S. CD8A as a Prognostic and Immunotherapy Predictive Biomarker Can Be Evaluated by MRI Radiomics Features in Bladder Cancer. Cancers 2022, 14, 4866. [Google Scholar] [CrossRef] [PubMed]
- Zhu, P.; Martinvalet, D.; Chowdhury, D.; Zhang, D.; Schlesinger, A.; Lieberman, J. The cytotoxic T lymphocyte protease granzyme A cleaves and inactivates poly(adenosine 5′-diphosphate-ribose) polymerase-1. Blood 2009, 114, 1205–1216. [Google Scholar] [CrossRef] [PubMed]
- Inoue, H.; Park, J.-H.; Kiyotani, K.; Zewde, M.; Miyashita, A.; Jinnin, M.; Kiniwa, Y.; Okuyama, R.; Tanaka, R.; Fujisawa, Y.; et al. Intratumoral expression levels of PD-L1, GZMA, and HLA-A along with oligoclonal T cell expansion associate with response to nivolumab in metastatic melanoma. Oncoimmunology 2016, 5, e1204507. [Google Scholar] [CrossRef]
- AJCC Cancer Staging Manual. Available online: https://link.springer.com/book/9783319406176 (accessed on 9 December 2023).
- Eisenhauer, E.A.; Therasse, P.; Bogaerts, J.; Schwartz, L.H.; Sargent, D.; Ford, R.; Dancey, J.; Arbuck, S.; Gwyther, S.; Mooney, M.; et al. New response evaluation criteria in solid tumors: Revised RECIST guideline (version 1.1). Eur. J. Cancer 2009, 45, 228–247. [Google Scholar] [CrossRef]
- Babicki, S.; Arndt, D.; Marcu, A.; Liang, Y.; Grant, J.R.; Maciejewski, A.; Wishart, D.S. Heatmapper: Web-enabled heat mapping for all. Nucleic Acids Res. 2016, 44, W147–W153. [Google Scholar] [CrossRef]




| ID | Gender | Age (Years) | %PDL1 Expression * | Genetic Alterations | Histological Diagnosis | Response to Nivolumab | OS (Months) | Exitus | Toxicity |
|---|---|---|---|---|---|---|---|---|---|
| 1 | M | 74 | 1 | ND | Adenocarcinoma | PG | 6 | yes | Asthenia |
| 2 | M | 54 | 5 | ND | Adenocarcinoma | PG | 37 | yes | No |
| 3 | M | 67 | 30 | ND | Squamous | CR | 82 | no | No |
| 4 | M | 68 | 0 | NA | Squamous | CR | 65 | no | Asthenia |
| 5 | M | 73 | 40 | NA | Adenocarcinoma | CR | 74 | no | No |
| 6 | F | 76 | 80 | ND | Squamous | PG | 15 | yes | No |
| 7 | M | 80 | 1 | ND | Adenocarcinoma | PG | 25 | yes | Arthralgia |
| 8 | M | 78 | 30 | ND | Adenocarcinoma | PG | 20 | yes | No |
| 9 | M | 45 | 50 | EGFR mutations (T790M and exon 19) | Adenocarcinoma | PG | 37 | yes | No |
| 10 | M | 62 | 5 | ND | Squamous | SD | 22 | yes | No |
| Gene Name | Gene ID | Responder vs. Non-Responder Patients (n-Fold Change) | Chromosomal Band | p |
|---|---|---|---|---|
| Up-regulated transcripts in responders vs. non-responders NSCLC | ||||
| CXCL11 | NM_6373 | 5.2 | 4q21.1 | 0.007 |
| NT5E | NM_4907 | 3.2 | 6q14.3 | 0.02 |
| KLRK1 | NM_22914 | 3.2 | 12p13.2 | 0.04 |
| CD3G | NM_917 | 3.1 | 11q23.3 | 0.04 |
| GZMA | NM_3001 | 2.9 | 5q11.2 | 0.01 |
| IDO1 | NM_3620 | 2.8 | 8p11.2 | 0.01 |
| LCK | NM_3932 | 2.7 | 1p35.2 | 0.05 |
| CXCL9 | NM_4283 | 2.7 | 4q21.1 | 0.05 |
| GNLY | NM_10578 | 2.6 | 2p11.2 | 0.03 |
| ITGAL | NM_3628 | 2.5 | 16p11.2 | 0.05 |
| HLA-DRB1 | NM_3123 | 2.0 | 6p21.3 | 0.05 |
| CXCR6 | NM_10663 | 2.1 | 3p21.3 | 0.05 |
| IFNG | NM_3458 | 2.1 | 12q15 | 0.05 |
| CD8A | NM_925 | 2.1 | 2p11.2 | 0.05 |
| ITK | NM_3702 | 1.9 | 5q33.3 | 0.05 |
| B2M | NM_567 | 1.8 | 15q21-1 | 0.02 |
| HLA-B | NM_3106 | 1.2 | 6p21.3 | 0.05 |
| HLA-A | NM_3105 | 0.7 | 6p22.1 | 0.05 |
| Down-regulated transcripts in responders vs. non-responders NSCLC | ||||
| PNOC | NM_5368 | −4.5 | 8p21.1 | 0.01 |
| CD19 | NM_930 | −4.3 | 16p11.2 | 0.04 |
| TP73 | NM_7161 | −3.7 | 1p36.3 | 0.02 |
| ARG1 | NM_9439 | −3.7 | 6q23.2 | 0.04 |
| FCRL2 | NM_79368 | −3.6 | 1q23.1 | 0.03 |
| PTGER1 | NM_5731 | −3.3 | 19p13.1 | 0.04 |
| Term | Library | p-Value | q-Value | z-Score | Combined Score |
|---|---|---|---|---|---|
| Regulation of immune response (GO:0050776) | GO_Biological_Process_2021 | 3.5048 × 10−9 | 1.7734 × 10−6 | 699 | 2005 |
| Antigen processing and presentation | KEGG_2021_Human | 3.6807 × 10−6 | 0.00026869 | 9215 | 2002 |
| Epstein-Barr virus infection | KEGG_2021_Human | 0.000028904 | 0.0001055 | 4177 | 8213 |
| Human T-cell leukemia virus 1 infection | KEGG_2021_Human | 0.000050659 | 0.0012327 | 3839 | 7332 |
| Natural killer cell mediated cytotoxicity | KEGG_2021_Human | 0.000085964 | 0.0015688 | 5294 | 9831 |
| Interferon-gamma-mediated signaling pathway (GO:0060333) | GO_Biological_Process_2021 | 0.00015811 | 40,002 | 8318 | 1494 |
| Decreased CD8-positive, alpha-beta T cell number MP:0008079 | MGI_Mammalian_Phenotype_Level_4_2021 | 0.00021816 | 83,338 | 4496 | 7932 |
| Decreased cytotoxic T cell cytolysis MP:0005079 | MGI_Mammalian_Phenotype_Level_4_2021 | 0.00056055 | 10,707 | 1425 | 2379 |
| Antigen receptor-mediated signaling pathway (GO:0050851) | GO_Biological_Process_2021 | 0.00067675 | 92,628 | 3687 | 6086 |
| Antigen processing and presentation of exogenous peptide antigen via MHC class I, TAP-independent (GO:0002480) | GO_Biological_Process_2021 | 0.00084676 | 92,628 | 5706 | 9292 |
| Positive regulation of T cell mediated immunity (GO:0002711) | GO_Biological_Process_2021 | 0.00009153 | 92,628 | 1247 | 2020 |
| Allograft rejection | KEGG_2021_Human | 0.0011451 | 16,494 | 1173 | 1875 |
| Abnormal cytotoxic T cell physiology MP:0005078 | MGI_Mammalian_Phenotype_Level_4_2021 | 0.0014155 | 18,025 | 1108 | 1747 |
| Abnormal T cell activation MP:0001828 | MGI_Mammalian_Phenotype_Level_4_2021 | 12,335 | 1178 | 6223 | 8466 |
| Decreased susceptibility to autoimmune diabetes MP:0004804 | MGI_Mammalian_Phenotype_Level_4_2021 | 60,339 | 429 | 1056 | 1269 |
Disclaimer/Publisher’s Note: The statements, opinions and data contained in all publications are solely those of the individual author(s) and contributor(s) and not of MDPI and/or the editor(s). MDPI and/or the editor(s) disclaim responsibility for any injury to people or property resulting from any ideas, methods, instructions or products referred to in the content. |
© 2024 by the authors. Licensee MDPI, Basel, Switzerland. This article is an open access article distributed under the terms and conditions of the Creative Commons Attribution (CC BY) license (https://creativecommons.org/licenses/by/4.0/).
Share and Cite
Chinchilla-Tábora, L.M.; Montero, J.C.; Corchete, L.A.; González-Morais, I.; del Barco Morillo, E.; Olivares-Hernández, A.; Rodríguez González, M.; Sayagués, J.M.; Ludeña, M.D. Differentially Expressed Genes Involved in Primary Resistance to Immunotherapy in Patients with Advanced-Stage Pulmonary Cancer. Int. J. Mol. Sci. 2024, 25, 2048. https://doi.org/10.3390/ijms25042048
Chinchilla-Tábora LM, Montero JC, Corchete LA, González-Morais I, del Barco Morillo E, Olivares-Hernández A, Rodríguez González M, Sayagués JM, Ludeña MD. Differentially Expressed Genes Involved in Primary Resistance to Immunotherapy in Patients with Advanced-Stage Pulmonary Cancer. International Journal of Molecular Sciences. 2024; 25(4):2048. https://doi.org/10.3390/ijms25042048
Chicago/Turabian StyleChinchilla-Tábora, Luis Miguel, Juan Carlos Montero, Luis Antonio Corchete, Idalia González-Morais, Edel del Barco Morillo, Alejandro Olivares-Hernández, Marta Rodríguez González, José María Sayagués, and María Dolores Ludeña. 2024. "Differentially Expressed Genes Involved in Primary Resistance to Immunotherapy in Patients with Advanced-Stage Pulmonary Cancer" International Journal of Molecular Sciences 25, no. 4: 2048. https://doi.org/10.3390/ijms25042048
APA StyleChinchilla-Tábora, L. M., Montero, J. C., Corchete, L. A., González-Morais, I., del Barco Morillo, E., Olivares-Hernández, A., Rodríguez González, M., Sayagués, J. M., & Ludeña, M. D. (2024). Differentially Expressed Genes Involved in Primary Resistance to Immunotherapy in Patients with Advanced-Stage Pulmonary Cancer. International Journal of Molecular Sciences, 25(4), 2048. https://doi.org/10.3390/ijms25042048

