Transcriptomic Analysis Provides Insights into Candidate Genes and Molecular Pathways Involved in Growth of Mytilus coruscus Larvae
Abstract
1. Introduction
2. Results
2.1. Data Quality Control and Global Gene Expression Analysis
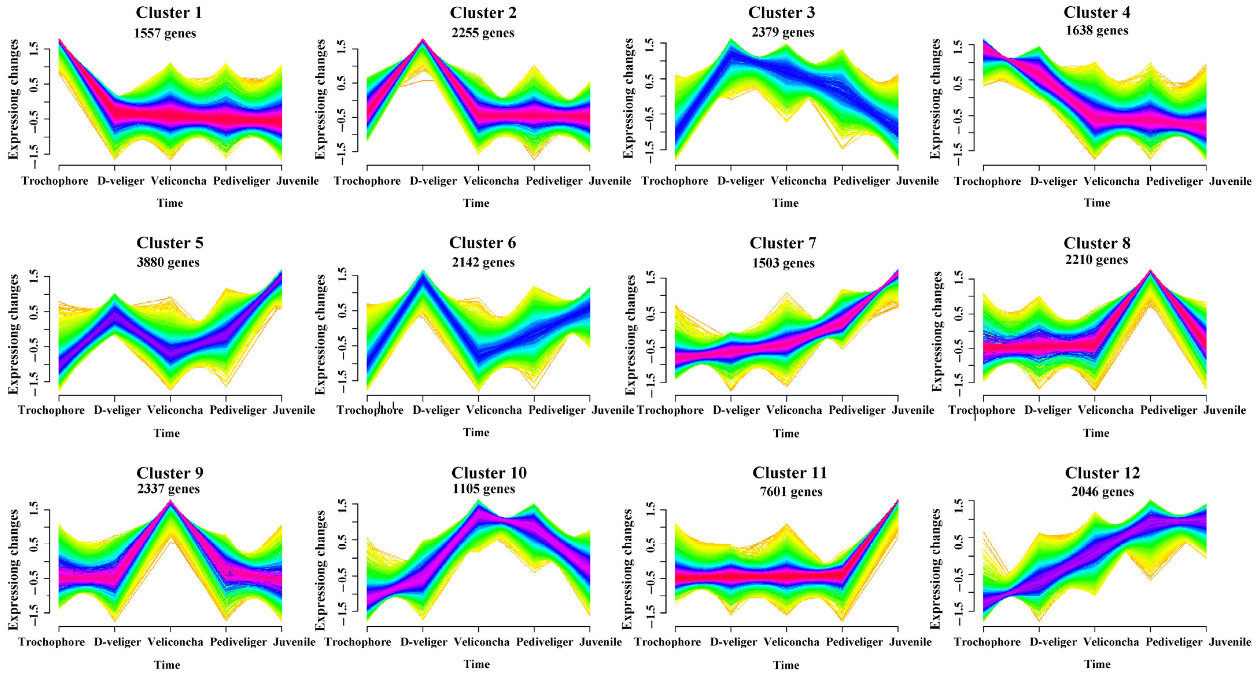
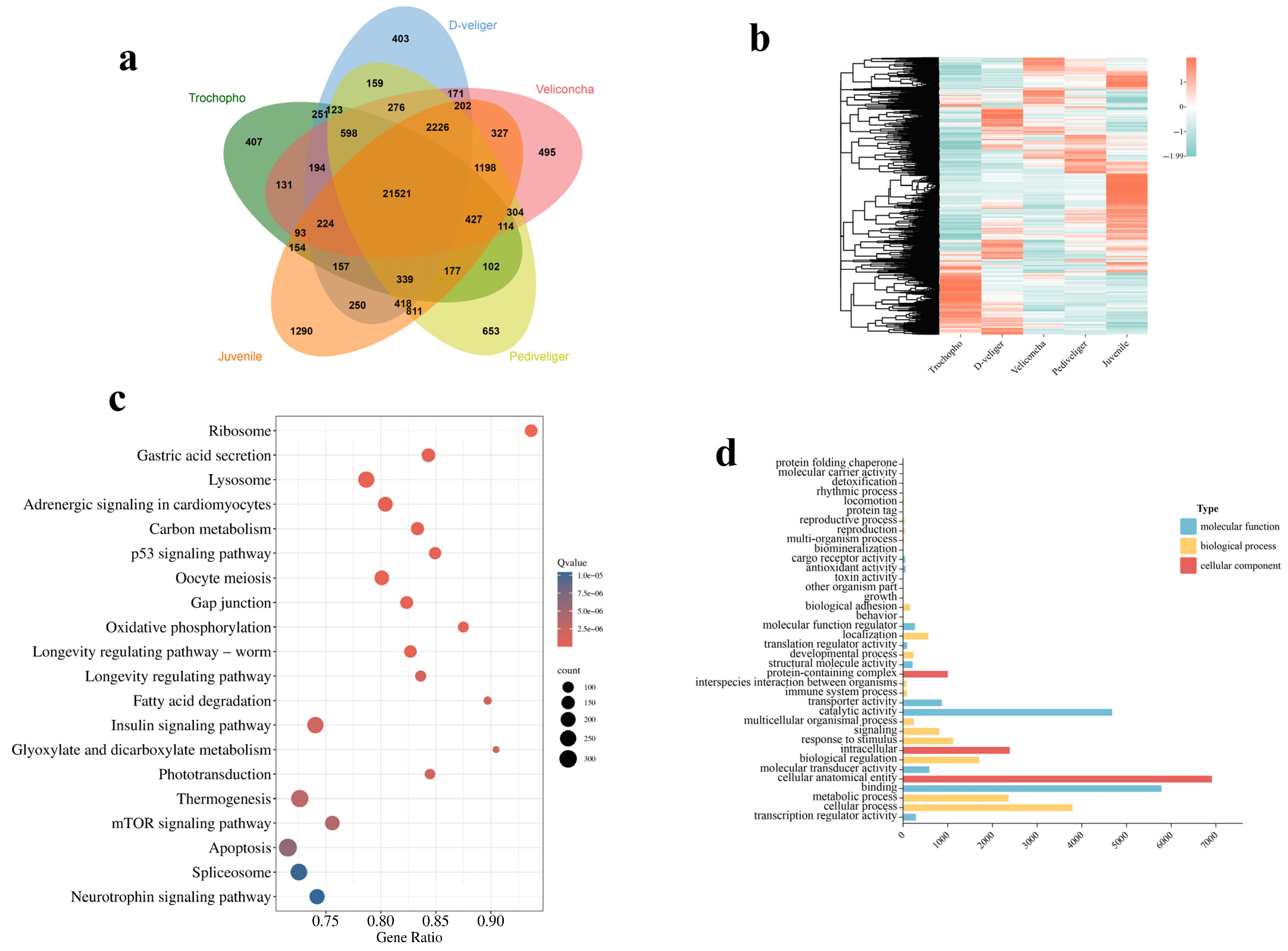
2.2. Transcriptional Changes across Larval Stage Transitions
2.3. KEGG and GO Enrichment Analyses of Differential Gene Expression Profiles under Comparison of Two Consecutive Stages
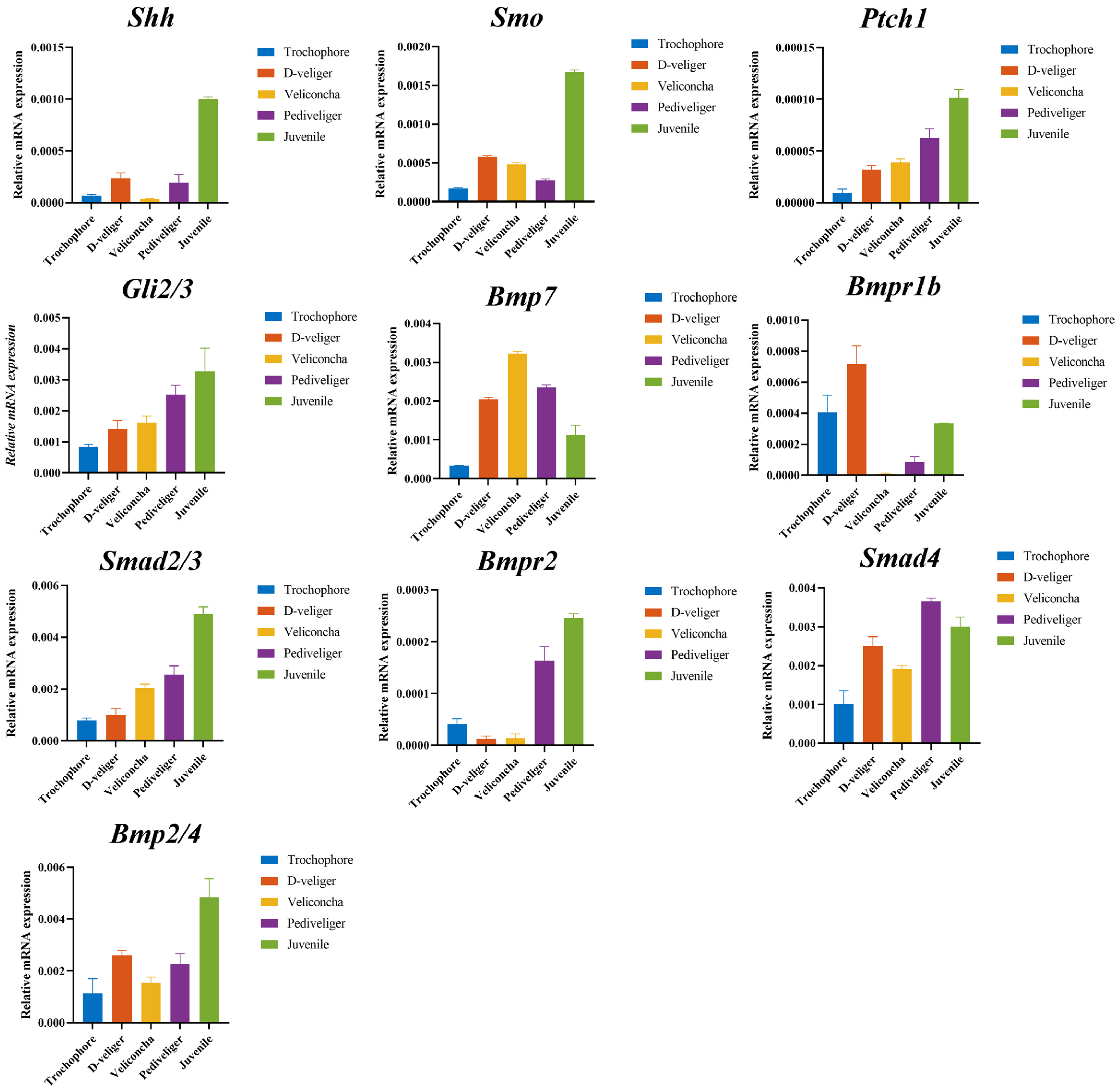
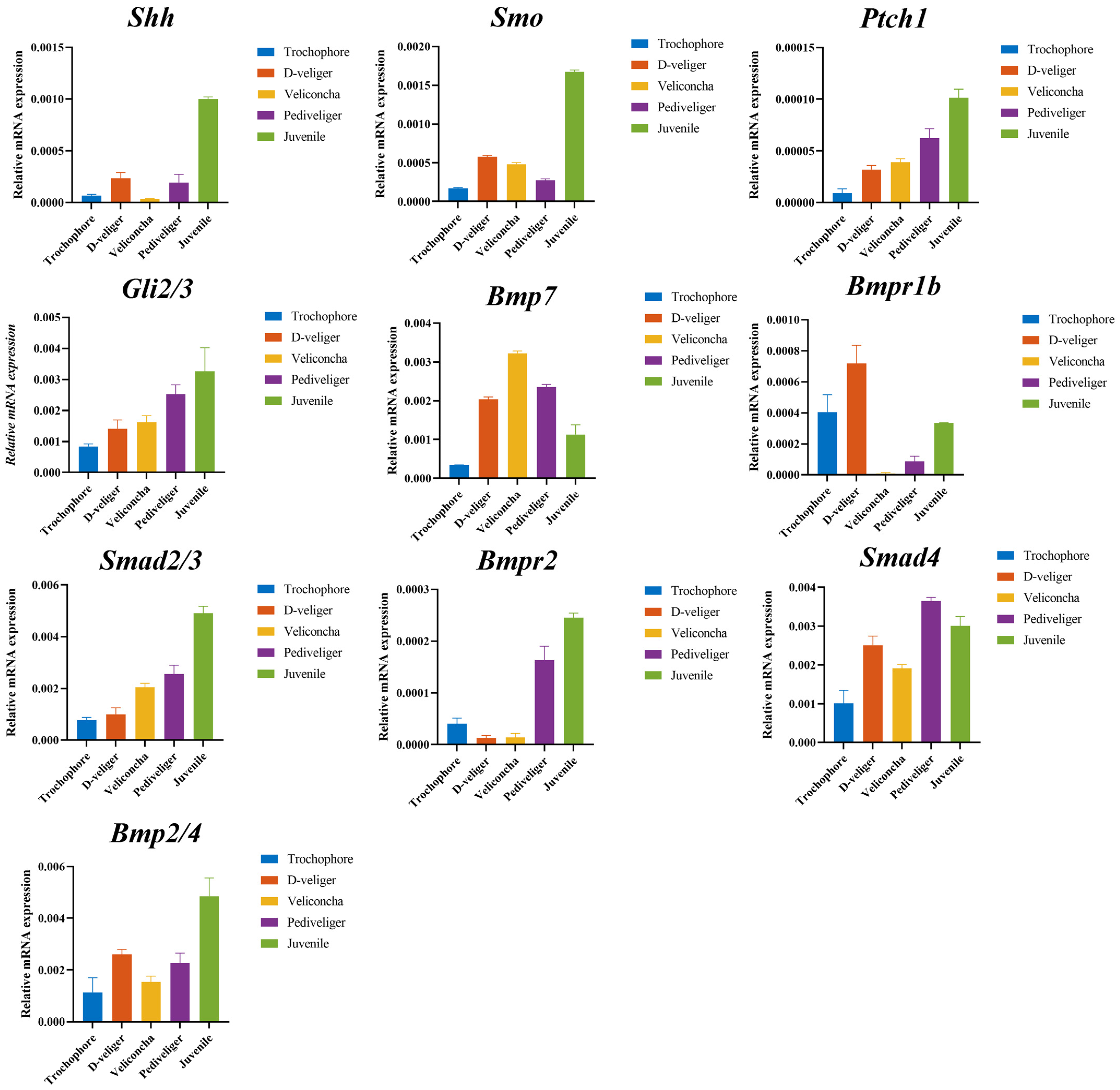
2.4. Growth-Related Genes and Molecular Pathways in M. coruscus Larvae and qPCR Validation
3. Discussion
4. Materials and Methods
4.1. Larvae Collection
4.2. RNA Isolation, cDNA Library Preparation, and Sequencing
4.3. Data Analysis
4.4. Differential Expression and Enrichment Analysis
4.5. qRT-PCR Validation of the RNA-Seq Profiles
5. Conclusions
Supplementary Materials
Author Contributions
Funding
Informed Consent Statement
Data Availability Statement
Conflicts of Interest
References
- Moor, J.; Ropicki, A.; Anderson, J.L.; Asche, F. Stochastic modeling and financial viability of mollusk aquaculture. Aquaculture 2022, 552, 737963. [Google Scholar] [CrossRef]
- Zhang, X.L.; Li, S.Y.; He, J.Y.; Wu, Y.H.; Gu, Z.Q.; Fan, M.H.; Guo, B.Y.; Buttino, I.; Liao, Z.; Yan, X.J. Microalgal feeding preference of Mytilus coruscus and its effects on fatty acid composition and microbes of the digestive gland. Aquac. Rep. 2022, 23, 101024. [Google Scholar] [CrossRef]
- Li, J.; Lusher, A.L.; Rotchell, J.M.; Deudero, S.; Turra, A.; Bråte, I.L.N.; Sun, C.; Shahadat Hossain, M.; Li, Q.; Kolandhasamy, P.; et al. Using mussel as a global bioindicator of coastal microplastic pollution. Environ. Pollut. 2019, 244, 522–533. [Google Scholar] [CrossRef]
- Sui, Y.; Xue, Z.; Chen, S.; Jiang, H.; Zhou, Y.; Nguyen, H.; Lv, L.; Wang, C.; Liu, L.; Cao, T.; et al. Investigation of physiological energetic response of the thick shell mussel, Mytilus coruscus, to microplastics and low salinity: Potential countermeasures to multi-environmental changes. Aquaculture 2023, 569, 739382. [Google Scholar] [CrossRef]
- Li, Y.F.; Guo, X.P.; Yang, J.L.; Liang, X.; Bao, W.Y.; Shen, P.J.; Shi, Z.Y.; Li, J.L. Effects of bacterial biofilms on settlement of plantigrades of the mussel Mytilus coruscus. Aquaculture 2014, 433, 434–441. [Google Scholar] [CrossRef]
- Aranguren, R.; Figueras, A. Moving from Histopathology to Molecular tools in the diagnosis of molluscs diseases of concern under EU legislation. Front. Physiol. 2016, 7, 538. [Google Scholar] [CrossRef]
- Conesa, A.; Madrigal, P.; Tarazona, S.; Gomez-Cabrero, D.; Cervera, A.; McPherson, A.; Szcześniak, M.W.; Gaffney, D.J.; Elo, L.L.; Zhang, X.; et al. A survey of best practices for RNA-seq data analysis. Genome Biol. 2016, 17, 13. [Google Scholar] [CrossRef] [PubMed]
- Kvam, V.M.; Liu, P.; Si, Y. A comparison of statistical methods for detecting differentially expressed genes from RNA-seq data. Am. J. Bot. 2012, 99, 248–256. [Google Scholar] [CrossRef] [PubMed]
- Hüning, A.K.; Lange, S.M.; Ramesh, K.; Jacob, D.E.; Jackson, D.J.; Panknin, U.; Gutowska, M.A.; Philipp, E.E.R.; Rosenstiel, P.; Lucassen, M.; et al. A shell regeneration assay to identify biomineralization candidate genes in mytilid mussels. Mar. Genom. 2016, 27, 57–67. [Google Scholar] [CrossRef] [PubMed]
- Romero, A.; Novoa, B.; Figueras, A. Genomic and transcriptomic identification of the cathepsin superfamily in the mediterranean mussel Mytilus galloprovincialis. Dev. Comp. Immunol. 2022, 127, 104286. [Google Scholar] [CrossRef] [PubMed]
- Zhang, Q.; Li, Y.; Liao, K.; Chen, D.; Qiu, Y.; Yan, X.; Xu, J. mTOR plays a conserved role in regulation of nutritional metabolism in Bivalve Sinonovacula constricta. J. Mar. Sci. Eng. 2023, 11, 1040. [Google Scholar] [CrossRef]
- Meyer, E.; Manahan, D.T. Gene expression profiling of genetically determined growth variation in bivalve larvae (Crassostrea gigas). J. Exp. Biol. 2010, 213, 749–758. [Google Scholar] [CrossRef]
- Glebov, K.; Voronezhskaya, E.E.; Khabarova, M.Y.; Ivashkin, E.; Nezlin, L.P.; Ponimaskin, E.G. Mechanisms underlying dual effects of serotonin during development of Helisoma trivolvis (Mollusca). BMC Dev. Biol. 2014, 14, 14. [Google Scholar] [CrossRef] [PubMed]
- Nie, H.; Zheng, M.; Wang, Z.; Xu, Q.; Yin, Z.; Zhang, Y.; Yan, X. Transcriptomic analysis provides insights into candidate genes and molecular pathways involved in growth of Manila clam Ruditapes philippinarum. Funct. Integr. Genom. 2021, 21, 341–353. [Google Scholar] [CrossRef] [PubMed]
- Sheng, H.; Zhang, J.; Li, F.; Pan, C.; Yang, M.; Liu, Y.; Cai, B.; Zhang, L.; Ma, Y. Genome-wide identification and characterization of bovine fibroblast growth factor (FGF) gene and its expression during adipocyte differentiation. Int. J. Mol. Sci. 2023, 24, 5663. [Google Scholar] [CrossRef]
- Li, M. The origination of growth hormone/insulin-like growth factor system: A story from ancient basal chordate Amphioxus. Front. Endocrinol. 2022, 13, 825722. [Google Scholar] [CrossRef] [PubMed]
- Kumar, V.; Goutam, R.S.; Park, S.; Lee, U.; Kim, J. Functional roles of FGF signaling in early development of vertebrate embryos. Cells 2021, 10, 2148. [Google Scholar] [CrossRef] [PubMed]
- Ahmad, I.; Jiménez-Gasco, M.d.M.; Luthe, D.S.; Shakeel, S.N.; Barbercheck, M.E. Endophytic Metarhizium robertsii promotes maize growth, suppresses insect growth, and alters plant defense gene expression. Biol. Control 2020, 144, 104167. [Google Scholar] [CrossRef]
- Futschik, M.E.; Carlisle, B. Noise-robust soft clustering of gene expression time-course data. J. Bioinform. Comput. Biol. 2005, 3, 965–988. [Google Scholar] [CrossRef]
- Varjosalo, M.; Taipale, J. Hedgehog signaling. J. Cell Sci. 2007, 120, 3–6. [Google Scholar] [CrossRef]
- Cohen, J.; Michael, M. The hedgehog signaling network. A J. Med. Genet. A 2003, 123A, 5–28. [Google Scholar] [CrossRef]
- Raducu, M.; Fung, E.; Serres, S.; Infante, P.; Barberis, A.; Fischer, R.; Bristow, C.; Thézénas, M.L.; Finta, C.; Christianson, J.; et al. SCF (Fbxl17) ubiquitylation of Sufu regulates Hedgehog signaling and medulloblastoma development. EMBO J. 2016, 35, 1400–1416. [Google Scholar] [CrossRef]
- Mill, P.; Mo, R.; Fu, H.; Grachtchouk, M.; Kim, P.C.; Dlugosz, A.A.; Hui, C.C. Sonic hedgehog-dependent activation of Gli2 is essential for embryonic hair follicle development. Genes. Dev. 2003, 17, 282–294. [Google Scholar] [CrossRef]
- Gao, J.; Liu, J.; Yang, Y.; Liang, J.; Xie, J.; Li, S.; Zheng, G.; Xie, L.; Zhang, R. Identification and expression characterization of three Wnt signaling genes in pearl oyster (Pinctada fucata). Comp. Biochem. Physiol. Part B Biochem. Mol. Biol. 2016, 196–197, 92–101. [Google Scholar] [CrossRef]
- Long, F.; Zhang, X.M.; Karp, S.; Yang, Y.; McMahon, A.P. Genetic manipulation of hedgehog signaling in the endochondral skeleton reveals a direct role in the regulation of chondrocyte proliferation. Development 2001, 128, 5099–5108. [Google Scholar] [CrossRef] [PubMed]
- Chen, W.; Burgess, S.; Hopkins, N. Analysis of the zebrafish smoothened mutant reveals conserved and divergent functions of hedgehog activity. Development 2001, 128, 2385–2396. [Google Scholar] [CrossRef] [PubMed]
- Wetmore, C. Sonic hedgehog in normal and neoplastic proliferation: Insight gained from human tumors and animal models. Curr. Opin. Genet. Dev. 2003, 13, 34–42. [Google Scholar] [CrossRef] [PubMed]
- Grimaldi, A.; Tettamanti, G.; Guidali, M.L.; Brivio, M.; Valvassori, R.; Eguilor, M. A hedgehog-like signal is involved in slow muscle differentation in Sepia officinalis. Invert. Surviv. J. 2007, 4, 1–9. [Google Scholar]
- Li, H.; Li, Q.; Yu, H. Molecular characterization of the Hedgehog signaling pathway and its necessary function on larval myogenesis in the Pacific Oyster Crassostrea gigas. Front. Physiol. 2018, 9, 1536. [Google Scholar] [CrossRef] [PubMed]
- De Robertis, E.M. Evo-devo: Variations on ancestral themes. Cell 2008, 132, 185–195. [Google Scholar] [CrossRef] [PubMed]
- Wu, M.Y.; Hill, C.S. TGF-β superfamily signaling in embryonic development and homeostasis. Dev. Cell 2009, 16, 329–343. [Google Scholar] [CrossRef]
- Shimasaki, S.; Moore, R.K.; Otsuka, F.; Erickson, G.F. The bone morphogenetic protein system in mammalian reproduction. Endocr. Rev. 2004, 25, 72–101. [Google Scholar] [CrossRef] [PubMed]
- Shi, Y.; Massagué, J. Mechanisms of TGF-beta signaling from cell membrane to the nucleus. Cell 2003, 113, 685–700. [Google Scholar] [CrossRef]
- Goumans, M.J.; Mummery, C. Functional analysis of the TGFbeta receptor/Smad pathway through gene ablation in mice. Int. J. Dev. Biol. 2000, 44, 253–265. [Google Scholar] [PubMed]
- Zheng, Z.; Hao, R.; Xiong, X.; Jiao, Y.; Deng, Y.; Du, X. Developmental characteristics of pearl oyster Pinctada fucata martensii: Insight into key molecular events related to shell formation, settlement and metamorphosis. BMC Genom. 2019, 20, 122. [Google Scholar] [CrossRef]
- Samanta, D.; Datta, P.K. Alterations in the Smad pathway in human cancers. Front. Biosci. 2012, 17, 1281–1293. [Google Scholar] [CrossRef] [PubMed]
- Pakravan, K.; Razmara, E.; Mahmud Hussen, B.; Sattarikia, F.; Sadeghizadeh, M.; Babashah, S. SMAD4 contributes to chondrocyte and osteocyte development. J. Cell. Mol. Med. 2022, 26, 1–15. [Google Scholar] [CrossRef] [PubMed]
- Li, M.; Liang, W.; Zhu, C.; Qin, S. Smad4 mediates Bmf involvement in sheep granulosa cell apoptosis. Gene 2022, 817, 146231. [Google Scholar] [CrossRef] [PubMed]
- Raya, Á.; Belmonte, J.C.I. Left–right asymmetry in the vertebrate embryo: From early information to higher-level integration. Nat. Rev. Genet. 2006, 7, 283–293. [Google Scholar] [CrossRef]
- Wen, M.; Li, E.; Chen, Q.; Kang, H.; Zhang, S.; Li, K.; Wang, Y.; Jiao, Y.; Ren, B. A herbivore-induced plant volatile of the host plant acts as a collective foraging signal to the larvae of the meadow moth, Loxostege sticticalis (Lepidoptera: Pyralidae). J. Insect Physiol. 2019, 118, 103941. [Google Scholar] [CrossRef]
- Kim, D.; Langmead, B.; Salzberg, S.L. HISAT: A fast spliced aligner with low memory requirements. Nat. Methods 2015, 12, 357–360. [Google Scholar] [CrossRef] [PubMed]
- Benelli, M.; Pescucci, C.; Marseglia, G.; Severgnini, M.; Torricelli, F.; Magi, A. Discovering chimeric transcripts in paired-end RNA-seq data by using EricScript. Bioinformatics 2012, 28, 3232–3239. [Google Scholar] [CrossRef] [PubMed]
- Shen, S.; Park, J.W.; Lu, Z.X.; Lin, L.; Henry, M.D.; Wu, Y.N.; Zhou, Q.; Xing, Y. rMATS: Robust and flexible detection of differential alternative splicing from replicate RNA-Seq data. Proc. Natl. Acad. Sci. USA 2014, 111, E5593–E5601. [Google Scholar] [CrossRef] [PubMed]
- Langmead, B.; Salzberg, S.L. Fast gapped-read alignment with Bowtie 2. Nat. Methods 2012, 9, 357–359. [Google Scholar] [CrossRef] [PubMed]
- Li, B.; Dewey, C.N. RSEM: Accurate transcript quantification from RNA-Seq data with or without a reference genome. BMC Bioinform. 2011, 12, 323. [Google Scholar] [CrossRef]
- Edwards, P.M. Origin 7.0: Scientific Graphing and Data Analysis Software. J. Chem. Infor Comp. Sci. 2002, 42, 1270–1271. [Google Scholar] [CrossRef]
- Kumar, L.; Futschik, M.E. Mfuzz: A software package for soft clustering of microarray data. Bioinformation 2007, 2, 5–7. [Google Scholar] [CrossRef]
- Chen, C.; Chen, H.; Zhang, Y.; Thomas, H.R.; Frank, M.H.; He, Y.; Xia, R. TBtools: An integrative toolkit developed for interactive analyses of big biological data. Mol. Plant 2020, 13, 1194–1202. [Google Scholar] [CrossRef] [PubMed]
- Livak, K.J.; Schmittgen, T.D. Analysis of relative gene expression data using real-time quantitative PCR and the 2−ΔΔCT Method. Methods 2001, 25, 402–408. [Google Scholar] [CrossRef] [PubMed]







| Sample | Total Raw Reads (M) | Total Clean Reads (M) | Total Clean Bases (Gb) | Clean Reads Q20 (%) | Clean Reads Q30 (%) | Clean Reads Ratio (%) |
|---|---|---|---|---|---|---|
| Trochophore1 | 43.82 | 42.16 | 6.32 | 96.53 | 91.37 | 96.21 |
| Trochophore2 | 43.82 | 42.28 | 6.34 | 96.73 | 91.85 | 96.49 |
| Trochophore3 | 45.57 | 42.42 | 6.36 | 97.01 | 92.51 | 93.08 |
| D-veliger1 | 45.57 | 43.37 | 6.51 | 96.74 | 91.90 | 95.16 |
| D-veliger2 | 43.82 | 41.99 | 6.30 | 96.78 | 91.91 | 95.82 |
| D-veliger3 | 43.82 | 42.16 | 6.32 | 96.84 | 92.09 | 96.22 |
| Veliconcha1 | 43.82 | 42.10 | 6.32 | 96.72 | 91.82 | 96.08 |
| Veliconcha2 | 43.82 | 42.02 | 6.30 | 96.83 | 92.09 | 95.88 |
| Veliconcha3 | 43.82 | 42.23 | 6.33 | 96.69 | 91.73 | 96.37 |
| Pediveliger1 | 43.82 | 42.29 | 6.34 | 96.54 | 91.35 | 96.50 |
| Pediveliger2 | 43.82 | 42.41 | 6.36 | 97.48 | 93.32 | 96.78 |
| Pediveliger3 | 43.82 | 42.30 | 6.35 | 97.54 | 93.44 | 96.53 |
| Juvenile1 | 43.82 | 42.19 | 6.33 | 97.24 | 92.81 | 96.28 |
| Juvenile2 | 43.82 | 42.10 | 6.31 | 97.21 | 92.71 | 96.07 |
| Juvenile3 | 43.82 | 42.03 | 6.30 | 97.19 | 92.70 | 95.91 |
| Summary | 660.80 | 634.05 | 95.09 | Mean = 96.94 | Mean = 92.24 | Mean = 95.96 |
| Gene | Forward Primer | Reverse Primer |
|---|---|---|
| Shh | TGAAAGCAGTGTGTCCAGCA | CGGTTGCCGGACTTCTACTT |
| Smo | AGAGTTCTACCTGTTTTAGCACCTG | TTACTACTCCGCCTCTTTCCAC |
| Ptch1 | CCAACAACTACGCAAAAGCTA | TTTCTAATCGTCGGCACAAG |
| Gli2/3 | GCCTGTGACAAACCTTGCAG | TCTGTCCCAAATGACCTGGC |
| Bmp7 | TAATGTGAATGGGGCGAATG | TGGTGTAGTCCAAGCAGGGTC |
| Bmpr1 | GAAGGCAGTTGGTTCAGGGA | GCTGTGTCCAGGATCCTGTC |
| Bmp2/4 | CCGACCCGAAAGTTGAAGTG | TTTGCGGCTGTTGATTGC |
| Bmpr2 | GGGACCATGATGCTGAAGCT | TGAGACAGACGGCTCCTGTA |
| Smad2/3 | GTCACTTACAAGGAACCAGCATT | TGAACCCATCTACTGTCAACGAG |
| Smad4 | GGAATGGAAGGGGCAAGTAG | ATGACAAGGGCTGTGGGGAC |
| EF1a | CACCACGAGTCTCTCCCTGA | GCTGTCACCACAGACCATTCC |
Disclaimer/Publisher’s Note: The statements, opinions and data contained in all publications are solely those of the individual author(s) and contributor(s) and not of MDPI and/or the editor(s). MDPI and/or the editor(s) disclaim responsibility for any injury to people or property resulting from any ideas, methods, instructions or products referred to in the content. |
© 2024 by the authors. Licensee MDPI, Basel, Switzerland. This article is an open access article distributed under the terms and conditions of the Creative Commons Attribution (CC BY) license (https://creativecommons.org/licenses/by/4.0/).
Share and Cite
Xu, M.; Li, Z.; Liang, X.; Li, J.; Ye, Y.; Qi, P.; Yan, X. Transcriptomic Analysis Provides Insights into Candidate Genes and Molecular Pathways Involved in Growth of Mytilus coruscus Larvae. Int. J. Mol. Sci. 2024, 25, 1898. https://doi.org/10.3390/ijms25031898
Xu M, Li Z, Liang X, Li J, Ye Y, Qi P, Yan X. Transcriptomic Analysis Provides Insights into Candidate Genes and Molecular Pathways Involved in Growth of Mytilus coruscus Larvae. International Journal of Molecular Sciences. 2024; 25(3):1898. https://doi.org/10.3390/ijms25031898
Chicago/Turabian StyleXu, Minhui, Zhong Li, Xinjie Liang, Jiji Li, Yingying Ye, Pengzhi Qi, and Xiaojun Yan. 2024. "Transcriptomic Analysis Provides Insights into Candidate Genes and Molecular Pathways Involved in Growth of Mytilus coruscus Larvae" International Journal of Molecular Sciences 25, no. 3: 1898. https://doi.org/10.3390/ijms25031898
APA StyleXu, M., Li, Z., Liang, X., Li, J., Ye, Y., Qi, P., & Yan, X. (2024). Transcriptomic Analysis Provides Insights into Candidate Genes and Molecular Pathways Involved in Growth of Mytilus coruscus Larvae. International Journal of Molecular Sciences, 25(3), 1898. https://doi.org/10.3390/ijms25031898

