Light Intensity Modulates the Functional Composition of Leaf Metabolite Groups and Phyllosphere Prokaryotic Community in Garden Lettuce (Lactuca sativa L.) Plants at the Vegetative Stage
Abstract
1. Introduction
2. Results
2.1. Light Intensity Modulated Leaf Metabolite Groups
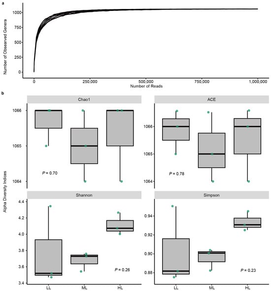
2.2. Taxonomic Composition of the Phyllosphere Prokaryotic Community
2.3. Light Intensity Modulated the Functional Composition of the Phyllosphere Microbiome
2.4. Correlations between Leaf Metabolite Groups and Prokaryotic Functional Genes
3. Discussion
3.1. Leaf Metabolite Groups under Varied Light Intensity
3.2. Taxonomic and Functional Composition of the Phyllosphere Prokaryotic Community
3.3. Impacts of Light Intensity on Phyllosphere Prokaryotic Genes and Interactions with Leaf Metabolite Groups
4. Materials and Methods
4.1. Plant Materials and Sampling
4.2. Metagenomic Sequencing and Prokaryotic Taxonomy
4.3. Functional Annotations of Prokaryotic Sequences
4.4. Leaf Biochemical Analysis
4.5. Statistics
5. Conclusions
Author Contributions
Funding
Institutional Review Board Statement
Informed Consent Statement
Data Availability Statement
Acknowledgments
Conflicts of Interest
References
- Van Delden, S.H.; SharathKumar, M.; Butturini, M.; Graamans, L.J.A.; Heuvelink, E.; Kacira, M.; Kaiser, E.; Klamer, R.S.; Klerkx, L.; Kootstra, G.; et al. Current Status and Future Challenges in Implementing and Upscaling Vertical Farming Systems. Nat. Food 2021, 2, 944–956. [Google Scholar] [CrossRef] [PubMed]
- SharathKumar, M.; Heuvelink, E.; Marcelis, L.F.M. Vertical Farming: Moving from Genetic to Environmental Modification. Trends Plant Sci. 2020, 25, 724–727. [Google Scholar] [CrossRef] [PubMed]
- Rastogi, G.; Sbodio, A.; Tech, J.J.; Suslow, T.V.; Coaker, G.L.; Leveau, J.H.J. Leaf Microbiota in an Agroecosystem: Spatiotemporal Variation in Bacterial Community Composition on Field-Grown Lettuce. ISME J. 2012, 6, 1812–1822. [Google Scholar] [CrossRef] [PubMed]
- Du, M.; Xiao, Z.; Luo, Y. Advances and Emerging Trends in Cultivation Substrates for Growing Sprouts and Microgreens toward Safe and Sustainable Agriculture. Curr. Opin. Food Sci. 2022, 46, 100863. [Google Scholar] [CrossRef]
- Gibson, K.E.; Almeida, G.; Jones, S.L.; Wright, K.; Lee, J.A. Inactivation of Bacteria on Fresh Produce by Batch Wash Ozone Sanitation. Food Control 2019, 106, 106747. [Google Scholar] [CrossRef]
- Ritpitakphong, U.; Falquet, L.; Vimoltust, A.; Berger, A.; Métraux, J.P.; L’Haridon, F. The Microbiome of the Leaf Surface of Arabidopsis Protects against a Fungal Pathogen. New Phytol. 2016, 210, 1033–1043. [Google Scholar] [CrossRef] [PubMed]
- Liu, X.; Matsumoto, H.; Lv, T.; Zhan, C.; Fang, H.; Pan, Q.; Xu, H.; Fan, X.; Chu, T.; Chen, S.; et al. Phyllosphere Microbiome Induces Host Metabolic Defence against Rice False-Smut Disease. Nat. Microbiol. 2023, 8, 1419–1433. [Google Scholar] [CrossRef]
- Mohamed, S.J.; Rihan, H.Z.; Aljafer, N.; Fuller, M.P. The Impact of Light Spectrum and Intensity on the Growth, Physiology, and Antioxidant Activity of Lettuce (Lactuca sativa L.). Plants 2021, 10, 2162. [Google Scholar] [CrossRef]
- Nagano, S.; Mori, N.; Tomari, Y.; Mitsugi, N.; Deguchi, A.; Kashima, M.; Tezuka, A.; Nagano, A.J.; Usami, H.; Tanabata, T.; et al. Effect of Differences in Light Source Environment on Transcriptome of Leaf Lettuce (Lactuca sativa L.) to Optimize Cultivation Conditions. PLoS ONE 2022, 17, e0265994. [Google Scholar] [CrossRef]
- Kitazaki, K.; Fukushima, A.; Nakabayashi, R.; Okazaki, Y.; Kobayashi, M.; Mori, T.; Nishizawa, T.; Reyes-Chin-Wo, S.; Michelmore, R.W.; Saito, K.; et al. Metabolic Reprogramming in Leaf Lettuce Grown Under Different Light Quality and Intensity Conditions Using Narrow-Band LEDs. Sci. Rep. 2018, 8, 7914. [Google Scholar] [CrossRef]
- Liang, Y.; Dong, Y.; Yang, Q.; Urano, D.; Wang, Z. Interactive Effects of Light Quality and Nitrate Supply on Growth and Metabolic Processes in Two Lettuce Cultivars (Lactuca sativa L.). Environ. Exp. Bot. 2023, 213, 105443. [Google Scholar] [CrossRef]
- Carvalho, S.D.; Castillo, J.A. Influence of Light on Plant–Phyllosphere Interaction. Front. Plant Sci. 2018, 9, 1482. [Google Scholar] [CrossRef] [PubMed]
- Alsanius, B.; Karlsson, M.; Rosberg, A.; Dorais, M.; Naznin, M.; Khalil, S.; Bergstrand, K.-J. Light and Microbial Lifestyle: The Impact of Light Quality on Plant–Microbe Interactions in Horticultural Production Systems—A Review. Horticulturae 2019, 5, 41. [Google Scholar] [CrossRef]
- Hou, S.; Thiergart, T.; Vannier, N.; Mesny, F.; Ziegler, J.; Pickel, B.; Hacquard, S. A Microbiota–Root–Shoot Circuit Favours Arabidopsis Growth over Defence under Suboptimal Light. Nat. Plants 2021, 7, 1078–1092. [Google Scholar] [CrossRef]
- Zhu, Y.G.; Xiong, C.; Wei, Z.; Chen, Q.L.; Ma, B.; Zhou, S.Y.D.; Tan, J.; Zhang, L.M.; Cui, H.L.; Duan, G.L. Impacts of Global Change on the Phyllosphere Microbiome. New Phytol. 2022, 234, 1977–1986. [Google Scholar] [CrossRef]
- Li, M.; Hong, L.; Ye, W.; Wang, Z.; Shen, H. Phyllosphere Bacterial and Fungal Communities Vary with Host Species Identity, Plant Traits and Seasonality in a Subtropical Forest. Environ. Microbiome 2022, 17, 29. [Google Scholar] [CrossRef]
- Ali, S.; Tyagi, A.; Park, S.; Mir, R.A.; Mushtaq, M.; Bhat, B.; Mahmoudi, H.; Bae, H. Deciphering the Plant Microbiome to Improve Drought Tolerance: Mechanisms and Perspectives. Environ. Exp. Bot. 2022, 201, 104933. [Google Scholar] [CrossRef]
- Liu, B.W.; Li, S.Y.; Zhu, H.; Liu, G.X. Phyllosphere Eukaryotic Microalgal Communities in Rainforests: Drivers and Diversity. Plant Divers. 2023, 45, 45–53. [Google Scholar] [CrossRef]
- Chaudhry, V.; Runge, P.; Sengupta, P.; Doehlemann, G.; Parker, J.E.; Kemen, E. Shaping the Leaf Microbiota: Plant-Microbe-Microbe Interactions. J. Exp. Bot. 2021, 72, 36–56. [Google Scholar] [CrossRef]
- Lee, W.; Kim, M.H.; Park, J.; Kim, Y.J.; Kim, E.; Heo, E.J.; Kim, S.H.; Kim, G.; Shin, H.; Kim, S.H.; et al. Seasonal Changes in the Microbial Communities on Lettuce (Lactuca sativa L.) in Chungcheong-Do, South Korea. J. Microbiol. Biotechnol. 2023, 33, 219–227. [Google Scholar] [CrossRef]
- Bashir, I.; War, A.F.; Rafiq, I.; Reshi, Z.A.; Rashid, I.; Shouche, Y.S. Phyllosphere Microbiome: Diversity and Functions. Microbiol. Res. 2022, 254, 126888. [Google Scholar] [CrossRef] [PubMed]
- Xue, R.; Liu, S.; Stirling, E.; Wang, Y.; Zhao, K.; Matsumoto, H.; Wang, M.; Xu, J.; Ma, B. Core Community Drives Phyllosphere Bacterial Diversity and Function in Multiple Ecosystems. Sci. Total Environ. 2023, 896, 165187. [Google Scholar] [CrossRef] [PubMed]
- Tan, X.; Xie, H.; Yu, J.; Wang, Y.; Xu, J.; Xu, P.; Ma, B. Host Genetic Determinants Drive Compartment-Specific Assembly of Tea Plant Microbiomes. Plant Biotechnol. J. 2022, 20, 2174–2186. [Google Scholar] [CrossRef] [PubMed]
- Truchado, P.; Gil, M.I.; Reboleiro, P.; Rodelas, B.; Allende, A. Impact of Solar Radiation Exposure on Phyllosphere Bacterial Community of Red-Pigmented Baby Leaf Lettuce. Food Microbiol. 2017, 66, 77–85. [Google Scholar] [CrossRef] [PubMed]
- Alsanius, B.W.; Bergstrand, K.J.; Hartmann, R.; Gharaie, S.; Wohanka, W.; Dorais, M.; Rosberg, A.K. Ornamental Flowers in New Light: Artificial Lighting Shapes the Microbial Phyllosphere Community Structure of Greenhouse Grown Sunflowers (Helianthus annuus L.). Sci. Hortic. 2017, 216, 234–247. [Google Scholar] [CrossRef]
- Jacoby, R.P.; Koprivova, A.; Kopriva, S. Pinpointing Secondary Metabolites That Shape the Composition and Function of the Plant Microbiome. J. Exp. Bot. 2021, 72, 57–69. [Google Scholar] [CrossRef] [PubMed]
- Vorholt, J.A. Microbial Life in the Phyllosphere. Nat. Rev. Microbiol. 2012, 10, 828–840. [Google Scholar] [CrossRef]
- Delmotte, N.; Knief, C.; Chaffron, S.; Innerebner, G.; Roschitzki, B.; Schlapbach, R.; Von Mering, C.; Vorholt, J.A. Community Proteogenomics Reveals Insights into the Physiology of Phyllosphere Bacteria. Proc. Natl. Acad. Sci. USA 2009, 106, 16428–16433. [Google Scholar] [CrossRef]
- Knief, C.; Delmotte, N.; Chaffron, S.; Stark, M.; Innerebner, G.; Wassmann, R.; Von Mering, C.; Vorholt, J.A. Metaproteogenomic Analysis of Microbial Communities in the Phyllosphere and Rhizosphere of Rice. ISME J. 2012, 6, 1378–1390. [Google Scholar] [CrossRef]
- Hunter, P.J.; Hand, P.; Pink, D.; Whipps, J.M.; Bending, G.D. Both Leaf Properties and Microbe-Microbe Interactions Influence within-Species Variation in Bacterial Population Diversity and Structure in the Lettuce (Lactuca Species) Phyllosphere. Appl. Environ. Microbiol. 2010, 76, 8117–8125. [Google Scholar] [CrossRef]
- Fu, W.; Li, P.; Wu, Y. Effects of Different Light Intensities on Chlorophyll Fluorescence Characteristics and Yield in Lettuce. Sci. Hortic. 2012, 135, 45–51. [Google Scholar] [CrossRef]
- Kang, J.H.; KrishnaKumar, S.; Atulba, S.L.S.; Jeong, B.R.; Hwang, S.J. Light Intensity and Photoperiod Influence the Growth and Development of Hydroponically Grown Leaf Lettuce in a Closed-Type Plant Factory System. Hortic. Environ. Biotechnol. 2013, 54, 501–509. [Google Scholar] [CrossRef]
- Zou, J.; Fanourakis, D.; Tsaniklidis, G.; Cheng, R.; Yang, Q.; Li, T. Lettuce Growth, Morphology and Critical Leaf Trait Responses to Far-Red Light during Cultivation Are Low Fluence and Obey the Reciprocity Law. Sci. Hortic. 2021, 289, 110455. [Google Scholar] [CrossRef]
- Song, J.; Huang, H.; Hao, Y.; Song, S.; Zhang, Y.; Su, W.; Liu, H. Nutritional Quality, Mineral and Antioxidant Content in Lettuce Affected by Interaction of Light Intensity and Nutrient Solution Concentration. Sci. Rep. 2020, 10, 2796. [Google Scholar] [CrossRef] [PubMed]
- Sato, R.; Ito, H.; Tanaka, A. Chlorophyll b Degradation by Chlorophyll b Reductase under High-Light Conditions. Photosynth. Res. 2015, 126, 249–259. [Google Scholar] [CrossRef] [PubMed]
- Wang, L. Physiological and Molecular Responses to Variation of Light Intensity in Rubber Tree (Hevea brasiliensis Muell. Arg.). PLoS ONE 2014, 9, e89514. [Google Scholar] [CrossRef] [PubMed]
- Poorter, H.; Niinemets, Ü.; Ntagkas, N.; Siebenkäs, A.; Mäenpää, M.; Matsubara, S.; Pons, T.L. A Meta-Analysis of Plant Responses to Light Intensity for 70 Traits Ranging from Molecules to Whole Plant Performance. New Phytol. 2019, 223, 1073–1105. [Google Scholar] [CrossRef]
- Esteban, R.; Barrutia, O.; Artetxe, U.; Fernández-Marín, B.; Hernández, A.; García-Plazaola, J.I. Internal and External Factors Affecting Photosynthetic Pigment Composition in Plants: A Meta-Analytical Approach. New Phytol. 2015, 206, 268–280. [Google Scholar] [CrossRef]
- Najera, C.; Urrestarazu, M. Effect of the Intensity and Spectral Quality of LED Light on Yield and Nitrate Accumulation in Vegetables. HortScience 2019, 54, 1745–1750. [Google Scholar] [CrossRef]
- Samuoliene, G.; Brazaityte, A.; Jankauskiene, J.; Viršile, A.; Sirtautas, R.; Novičkovas, A.; Sakalauskiene, S.; Sakalauskaite, J.; Duchovskis, P. LED Irradiance Level Affects Growth and Nutritional Quality of Brassica Microgreens. Cent. Eur. J. Biol. 2013, 8, 1241–1249. [Google Scholar] [CrossRef]
- Kasozi, N.; Kaiser, H.; Wilhelmi, B. Determination of Phylloplane Associated Bacteria of Lettuce from a Small-Scale Aquaponic System via 16S RRNA Gene Amplicon Sequence Analysis. Horticulturae 2022, 8, 151. [Google Scholar] [CrossRef]
- Sangiorgio, D.; Cellini, A.; Donati, I.; Ferrari, E.; Tanunchai, B.; Fareed Mohamed Wahdan, S.; Sadubsarn, D.; Farneti, B.; Checcucci, A.; Buscot, F.; et al. Taxonomical and Functional Composition of Strawberry Microbiome Is Genotype-Dependent. J. Adv. Res. 2022, 42, 189–204. [Google Scholar] [CrossRef] [PubMed]
- Zhao, K.; Ma, B.; Xu, Y.; Stirling, E.; Xu, J. Light Exposure Mediates Circadian Rhythms of Rhizosphere Microbial Communities. ISME J. 2021, 15, 2655–2664. [Google Scholar] [CrossRef] [PubMed]
- Yang, J.; Wang, Y.; Cui, X.; Xue, K.; Zhang, Y.; Yu, Z. Habitat Filtering Shapes the Differential Structure of Microbial Communities in the Xilingol Grassland. Sci. Rep. 2019, 9, 19326. [Google Scholar] [CrossRef] [PubMed]
- Williams, T.R.; Marco, M.L. Phyllosphere Microbiota Composition and Microbial Community Transplantation on Lettuce Plants Grown Indoors. mBio 2014, 5, e01564-14. [Google Scholar] [CrossRef] [PubMed]
- Sun, N.; Wang, Y.; Chen, J.; Wang, P.; Song, W.; Ma, P.; Duan, Y.; Jiao, Z.; Li, Y. Colonization and Interaction of Bacteria Associated With Chinese Chives Affected by Ecological Compartments and Growth Conditions. Front. Microbiol. 2022, 13, 775002. [Google Scholar] [CrossRef] [PubMed]
- Brandl, M.T.; Mammel, M.K.; Simko, I.; Richter, T.K.S.; Gebru, S.T.; Leonard, S.R. Weather Factors, Soil Microbiome, and Bacteria-Fungi Interactions as Drivers of the Epiphytic Phyllosphere Communities of Romaine Lettuce. Food Microbiol. 2023, 113, 104260. [Google Scholar] [CrossRef] [PubMed]
- Yu, X.; Zhou, J.; Song, W.; Xu, M.; He, Q.; Peng, Y.; Tian, Y.; Wang, C.; Shu, L.; Wang, S.; et al. SCycDB: A Curated Functional Gene Database for Metagenomic Profiling of Sulphur Cycling Pathways. Mol. Ecol. Resour. 2021, 21, 924–940. [Google Scholar] [CrossRef]
- Burton, M.; Abanobi, C.; Wang, K.T.-C.; Ma, Y.; Rasche, M.E. Substrate Specificity Analysis of Dihydrofolate/Dihydromethanopterin Reductase Homologs in Methylotrophic α-Proteobacteria. Front. Microbiol. 2018, 9, 2439. [Google Scholar] [CrossRef]
- Graham, D.E.; Xu, H.; White, R.H. A Divergent Archaeal Member of the Alkaline Phosphatase Binuclear Metalloenzyme Superfamily Has Phosphoglycerate Mutase Activity. FEBS Lett. 2002, 517, 190–194. [Google Scholar] [CrossRef]
- Qian, L.; Yu, X.; Zhou, J.; Gu, H.; Ding, J.; Peng, Y.; He, Q.; Tian, Y.; Liu, J.; Wang, S.; et al. MCycDB: A Curated Database for Comprehensively Profiling Methane Cycling Processes of Environmental Microbiomes. Mol. Ecol. Resour. 2022, 22, 1803–1823. [Google Scholar] [CrossRef] [PubMed]
- Chistoserdova, L.; Vorholt, J.A.; Lidstrom, M.E. A Genomic View of Methane Oxidation by Aerobic Bacteria and Anaerobic Archaea. Genome Biol. 2005, 6, 208. [Google Scholar] [CrossRef] [PubMed][Green Version]
- Hartmann, M.; Six, J. Soil Structure and Microbiome Functions in Agroecosystems. Nat. Rev. Earth Environ. 2023, 4, 4–18. [Google Scholar] [CrossRef]
- Romero, F.M.; Marina, M.; Pieckenstain, F.L. Novel Components of Leaf Bacterial Communities of Field-Grown Tomato Plants and Their Potential for Plant Growth Promotion and Biocontrol of Tomato Diseases. Res. Microbiol. 2016, 167, 222–233. [Google Scholar] [CrossRef] [PubMed]
- Rossbach, S.; Hennecke, H. Identification of GlyA as a Symbiotically Essential Gene in Bradyrhizobium Japonicum. Mol. Microbiol. 1991, 5, 39–47. [Google Scholar] [CrossRef] [PubMed]
- Lawson, C.E.; Harcombe, W.R.; Hatzenpichler, R.; Lindemann, S.R.; Löffler, F.E.; O’Malley, M.A.; García Martín, H.; Pfleger, B.F.; Raskin, L.; Venturelli, O.S.; et al. Common Principles and Best Practices for Engineering Microbiomes. Nat. Rev. Microbiol. 2019, 17, 725–741. [Google Scholar] [CrossRef]
- Bolger, A.M.; Lohse, M.; Usadel, B. Trimmomatic: A Flexible Trimmer for Illumina Sequence Data. Bioinformatics 2014, 30, 2114–2120. [Google Scholar] [CrossRef]
- Parks, D.H.; Chuvochina, M.; Rinke, C.; Mussig, A.J.; Chaumeil, P.A.; Hugenholtz, P. GTDB: An Ongoing Census of Bacterial and Archaeal Diversity through a Phylogenetically Consistent, Rank Normalized and Complete Genome-Based Taxonomy. Nucleic Acids Res. 2022, 50, D785–D794. [Google Scholar] [CrossRef]
- Tu, Q.; Lin, L.; Cheng, L.; Deng, Y.; He, Z. NCycDB: A Curated Integrative Database for Fast and Accurate Metagenomic Profiling of Nitrogen Cycling Genes. Bioinformatics 2019, 35, 1040–1048. [Google Scholar] [CrossRef]
- Zeng, J.; Tu, Q.; Yu, X.; Qian, L.; Wang, C.; Shu, L.; Liu, F.; Liu, S.; Huang, Z.; He, J.; et al. PCycDB: A Comprehensive and Accurate Database for Fast Analysis of Phosphorus Cycling Genes. Microbiome 2022, 10, 101. [Google Scholar] [CrossRef]
- Sun, S.; Ma, B.; Wang, G.; Tan, X. Linking Microbial Biogeochemical Cycling Genes to the Rhizosphere of Pioneering Plants in a Glacier Foreland. Sci. Total Environ. 2023, 872, 161944. [Google Scholar] [CrossRef] [PubMed]
- Wang, J.; Gao, J.; Zheng, L.; Fu, Y.; Ji, L.; Wang, C.; Yuan, S.; Yang, J.; Liu, J.; Li, G.; et al. Abscisic Acid Alleviates Mercury Toxicity in Wheat (Triticum aestivum L.) by Promoting Cell Wall Formation. J. Hazard. Mater. 2023, 449, 130947. [Google Scholar] [CrossRef] [PubMed]
- Mei, X.; Zhang, K.; Lin, Y.; Su, H.; Lin, C.; Chen, B.; Yang, H.; Zhang, L. Metabolic and Transcriptomic Profiling Reveals Etiolated Mechanism in Huangyu Tea (Camellia sinensis) Leaves. Int. J. Mol. Sci. 2022, 23, 15044. [Google Scholar] [CrossRef] [PubMed]








| Gene | Annotation | Pathway | Cycle |
|---|---|---|---|
| metC | Cystathionine beta-lyase | Link between inorganic and organic sulfur transformation | S |
| cysK | Cysteine synthase | Link between inorganic and organic sulfur transformation | |
| mdh | Malate dehydrogenase | Organic sulfur transformation | |
| betA | Oxygen-dependent choline dehydrogenase | Organic sulfur transformation | |
| ppa | Inorganic pyrophosphatase | Oxidative phosphorylation | P |
| adk | Adenylate kinase | Purine metabolism | |
| guaA | GMP synthase (glutamine-hydrolyzing) | Purine metabolism | |
| ADE2 | Phosphoribosylaminoimidazole carboxylase | Purine metabolism | |
| purH | Phosphoribosylaminoimidazolecarboxamide formyltransferase/IMP cyclohydrolase | Purine metabolism | |
| ndk | Nucleoside-diphosphate kinase | Purine metabolism/Pyrimidine metabolism | |
| thyA | Thymidylate synthase | Pyrimidine metabolism | |
| ppdK | Pyruvate, orthophosphate dikinase | Pyruvate metabolism | |
| frmA | S-(hydroxymethyl)glutathione dehydrogenase/alcohol dehydrogenase | Oxidation of formaldehyde | M |
| pfkA | 6-phosphofructokinase | RuMP cycle | |
| fbp | Fructose–1,6-bisphosphatase I | RuMP cycle | |
| pfp | Pyrophosphate–fructose 6-phosphate 1-phosphotransferase | RuMP cycle | |
| folA | Dihydrofolate reductase | Serine cycle | |
| glyA | Glycine hydroxymethyltransferase | Serine cycle | |
| mdh-K00024 | Malate dehydrogenase | Serine cycle | |
| gpmI | Phosphoglycerate mutase | Serine cycle |
Disclaimer/Publisher’s Note: The statements, opinions and data contained in all publications are solely those of the individual author(s) and contributor(s) and not of MDPI and/or the editor(s). MDPI and/or the editor(s) disclaim responsibility for any injury to people or property resulting from any ideas, methods, instructions or products referred to in the content. |
© 2024 by the authors. Licensee MDPI, Basel, Switzerland. This article is an open access article distributed under the terms and conditions of the Creative Commons Attribution (CC BY) license (https://creativecommons.org/licenses/by/4.0/).
Share and Cite
Kong, D.; Ye, Z.; Dai, M.; Ma, B.; Tan, X. Light Intensity Modulates the Functional Composition of Leaf Metabolite Groups and Phyllosphere Prokaryotic Community in Garden Lettuce (Lactuca sativa L.) Plants at the Vegetative Stage. Int. J. Mol. Sci. 2024, 25, 1451. https://doi.org/10.3390/ijms25031451
Kong D, Ye Z, Dai M, Ma B, Tan X. Light Intensity Modulates the Functional Composition of Leaf Metabolite Groups and Phyllosphere Prokaryotic Community in Garden Lettuce (Lactuca sativa L.) Plants at the Vegetative Stage. International Journal of Molecular Sciences. 2024; 25(3):1451. https://doi.org/10.3390/ijms25031451
Chicago/Turabian StyleKong, Dedong, Ziran Ye, Mengdi Dai, Bin Ma, and Xiangfeng Tan. 2024. "Light Intensity Modulates the Functional Composition of Leaf Metabolite Groups and Phyllosphere Prokaryotic Community in Garden Lettuce (Lactuca sativa L.) Plants at the Vegetative Stage" International Journal of Molecular Sciences 25, no. 3: 1451. https://doi.org/10.3390/ijms25031451
APA StyleKong, D., Ye, Z., Dai, M., Ma, B., & Tan, X. (2024). Light Intensity Modulates the Functional Composition of Leaf Metabolite Groups and Phyllosphere Prokaryotic Community in Garden Lettuce (Lactuca sativa L.) Plants at the Vegetative Stage. International Journal of Molecular Sciences, 25(3), 1451. https://doi.org/10.3390/ijms25031451

