The VEGFB Gene Variants and the Effectiveness of Platelet-Rich Plasma Treatment of Lateral Elbow Tendinopathy: A Prospective Cohort Study with a Two-Year Follow-Up
Abstract
1. Introduction
2. Results
2.1. VEGFB Gene Polymorphisms
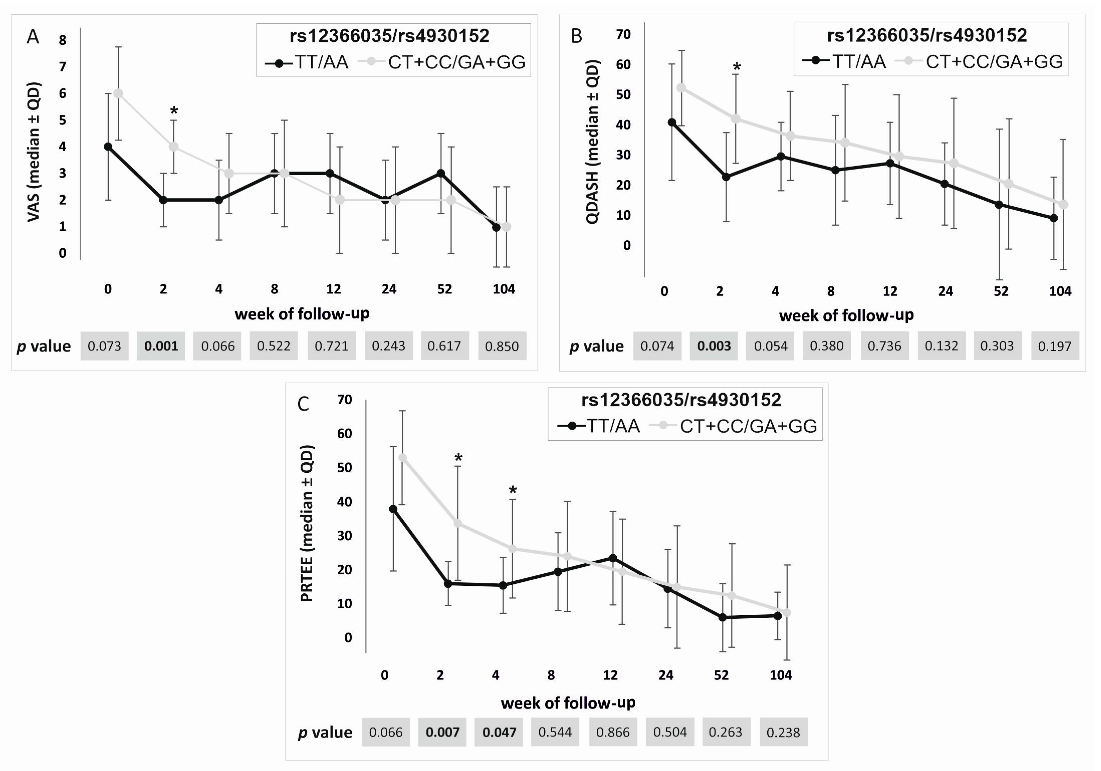
2.2. Association Between the Studied Polymorphisms and PROM Values
2.3. Association Between the Studied Polymorphisms and Blood Count Parameters
2.4. Association Between the Studied Polymorphisms and Comorbidities
3. Discussion
4. Materials and Methods
4.1. Study Design
4.2. Measures of Effectiveness and Follow-Up
4.3. Patient Selection and Characteristics
4.4. PRP Separation and Injection Procedure
4.5. Genetic Analyses
4.6. Whole-Blood Parameters
4.7. Statistical Analysis
5. Conclusions
Supplementary Materials
Author Contributions
Funding
Institutional Review Board Statement
Informed Consent Statement
Data Availability Statement
Acknowledgments
Conflicts of Interest
References
- Apte, R.S.; Chen, D.S.; Ferrara, N. VEGF in Signaling and Disease: Beyond Discovery and Development. Cell 2019, 176, 1248–1264. [Google Scholar] [CrossRef] [PubMed]
- Stanca Melincovici, C.; Boşca, A.B.; Şuşman, S.; Marginean, M.; Mihu, C.; Istrate, M.; Moldovan, I.M.; Roman, A.L.; Mihu, C.M. Vascular endothelial growth factor (VEGF)-key factor in normal and pathological angiogenesis. Rom. J. Morphol. Embryol. 2018, 59, 455–467. [Google Scholar]
- Bry, M.; Kivelä, R.; Leppänen, V.M.; Alitalo, K. Vascular Endothelial Growth Factor-B in Physiology and Disease. Physiol. Rev. 2014, 94, 779–794. [Google Scholar] [CrossRef] [PubMed]
- Shibuya, M. Vascular endothelial growth factor and its receptor system: Physiological functions in angiogenesis and pathological roles in various diseases. J. Biochem. 2013, 153, 13–19. [Google Scholar] [CrossRef]
- Holmes, D.I.; Zachary, I. The vascular endothelial growth factor (VEGF) family: Angiogenic factors in health and disease. Genome Biol. 2005, 6, 209. [Google Scholar] [CrossRef][Green Version]
- Pitchford, S.C.; Lodie, T.; Rankin, S.M. VEGFR1 stimulates a CXCR4-dependent translocation of megakaryocytes to the vascular niche, enhancing platelet production in mice. Blood 2012, 120, 2787–2795. [Google Scholar] [CrossRef]
- Li, X.; Lee, C.; Tang, Z.; Zhang, F.; Arjunan, P.; Li, Y.; Hou, X.; Kumar, A.; Dong, L. VEGF-B. Cell Adh. Migr. 2009, 3, 322–327. [Google Scholar] [CrossRef]
- Mallick, R.; Ylä-Herttuala, S. Therapeutic Potential of VEGF-B in Coronary Heart Disease and Heart Failure: Dream or Vision? Cells 2022, 11, 4134. [Google Scholar] [CrossRef]
- Zhang, F.; Tang, Z.; Hou, X.; Lennartsson, J.; Li, Y.; Koch, A.W.; Scotney, P.; Lee, C.; Arjunan, P.; Dong, L.; et al. VEGF-B is dispensable for blood vessel growth but critical for their survival, and VEGF-B targeting inhibits pathological angiogenesis. Proc. Natl. Acad. Sci. USA 2009, 106, 6152–6157. [Google Scholar] [CrossRef]
- Lee, C.; Chen, R.; Sun, G.; Liu, X.; Lin, X.; He, C.; Xing, L.; Liu, L.; Jensen, L.D.; Kumar, A.; et al. VEGF-B prevents excessive angiogenesis by inhibiting FGF2/FGFR1 pathway. Signal Transduct. Target. Ther. 2023, 8, 305. [Google Scholar] [CrossRef]
- Salini, V.; Vanni, D.; Pantalone, A.; Abate, M. Platelet Rich Plasma Therapy in Non-insertional Achilles Tendinopathy: The Efficacy is Reduced in 60-years Old People Compared to Young and Middle-Age Individuals. Front. Aging Neurosci. 2015, 7, 228. [Google Scholar] [CrossRef] [PubMed]
- Xiong, G.; Lingampalli, N.; Koltsov, J.C.B.; Leung, L.L.; Bhutani, N.; Robinson, W.H.; Chu, C.R. Men and Women Differ in the Biochemical Composition of Platelet-Rich Plasma. Am. J. Sports Med. 2018, 46, 409–419. [Google Scholar] [CrossRef] [PubMed]
- Amable, P.R.; Carias, R.B.; Teixeira, M.V.; da Cruz Pacheco, I.; Corrêa do Amaral, R.J.; Granjeiro, J.M.; Borojevic, R. Platelet-rich plasma preparation for regenerative medicine: Optimization and quantification of cytokines and growth factors. Stem Cell Res. Ther. 2013, 4, 67. [Google Scholar] [CrossRef] [PubMed]
- Niemiec, P.; Jarosz, A.; Balcerzyk-Matić, A.; Iwanicka, J.; Nowak, T.; Iwanicki, T.; Gierek, M.; Kalita, M.; Garczorz, W.; Francuz, T.; et al. Genetic Variability in VEGFA Gene Influences the Effectiveness of Tennis Elbow Therapy with PRP: A Two-Year Prospective Cohort Study. Int. J. Mol. Sci. 2023, 24, 17292. [Google Scholar] [CrossRef] [PubMed]
- Jarosz, A.; Szyluk, K.; Iwanicka, J.; Balcerzyk, A.; Nowak, T.; Iwanicki, T.; Negru, M.; Kalita, M.; Francuz, T.; Garczorz, W.; et al. What Role Does PDGFA Gene Polymorphisms Play in Treating Tennis Elbow with PRP? A Prospective Cohort Study. J. Clin. Med. 2022, 11, 3504. [Google Scholar] [CrossRef]
- Niemiec, P.; Szyluk, K.; Balcerzyk, A.; Kalita, M.; Jarosz, A.; Iwanicka, J.; Iwanicki, T.; Nowak, T.; Negru, M.; Francuz, T.; et al. Why PRP works only on certain patients with tennis elbow? Is PDGFB gene a key for PRP therapy effectiveness? A prospective cohort study. BMC Musculoskelet. Disord. 2021, 22, 710. [Google Scholar] [CrossRef]
- Szyluk, K.; Jarosz, A.; Balcerzyk-Matić, A.; Iwanicka, J.; Iwanicki, T.; Nowak, T.; Gierek, M.; Negru, M.; Kalita, M.; Górczyńska-Kosiorz, S.; et al. Polymorphic Variants of the PDGFRB Gene Influence Efficacy of PRP Therapy in Treating Tennis Elbow: A Prospective Cohort Study. J. Clin. Med. 2022, 11, 6362. [Google Scholar] [CrossRef]
- Jarosz, A.; Balcerzyk-Matić, A.; Iwanicka, J.; Iwanicki, T.; Nowak, T.; Szyluk, K.; Kalita, M.; Górczyńska-Kosiorz, S.; Kania, W.; Niemiec, P. Association between Platelet-Derived Growth Factor Receptor Alpha Gene Polymorphisms and Platelet-Rich Plasma’s Efficiency in Treating Lateral Elbow Tendinopathy—A Prospective Cohort Study. Int. J. Mol. Sci. 2024, 25, 4266. [Google Scholar] [CrossRef]
- Niemiec, P.; Szyluk, K.; Jarosz, A.; Iwanicki, T.; Balcerzyk, A. Effectiveness of Platelet-Rich Plasma for Lateral Epicondylitis: A Systematic Review and Meta-analysis Based on Achievement of Minimal Clinically Important Difference. Orthop. J. Sports Med. 2022, 10, 23259671221086920. [Google Scholar] [CrossRef]
- Bonczar, M.; Ostrowski, P.; Plutecki, D.; Dziedzic, M.; Florek, J.; Michalik, W.; Przybycień, W.; Depukat, P.; Rutowicz, B.; Walocha, E.; et al. Treatment Options for Tennis Elbow–An Umbrella Review. Folia Med. Cracov. 2023, 63, 31–58. [Google Scholar] [CrossRef]
- Devaux, Y.; Vausort, M.; Azuaje, F.; Vaillant, M.; Lair, M.L.; Gayat, E.; Lassus, J.; Ng, L.L.; Kelly, D.; Wagner, D.R.; et al. Low levels of vascular endothelial growth factor B predict left ventricular remodeling after acute myocardial infarction. J. Card. Fail. 2012, 18, 330–337. [Google Scholar] [CrossRef] [PubMed]
- Millar, N.L.; Silbernagel, K.G.; Thorborg, K.; Kirwan, P.D.; Galatz, L.M.; Abrams, G.D.; Murrell, G.A.C.; McInnes, I.B.; Rodeo, S.A. Tendinopathy. Nat. Rev. Dis. Prim. 2021, 7, 1. [Google Scholar] [CrossRef] [PubMed]
- National Center for Biotechnology Information–SNP Database. Available online: https://www.ncbi.nlm.nih.gov/snp/ (accessed on 6 November 2023).
- National Center for Biotechnology Information–LD Matrix. Available online: https://ldlink.nih.gov/?tab=ldmatrix (accessed on 7 October 2024).
- GTEx Portal. Available online: https://gtexportal.org/home/testyourown (accessed on 21 October 2024).
- Shastry, B.S. SNPs: Impact on gene function and phenotype. Methods Mol. Biol. 2009, 578, 3–22. [Google Scholar] [CrossRef]
- Li, P.; Feng, J.; Jiang, H.; Feng, X.; Yang, J.; Yuan, Y.; Ma, Z.; Xu, G.; Xu, C.; Zhu, C.; et al. Microbiota derived d-malate inhibits skeletal muscle growth and angiogenesis during aging via acetylation of Cyclin A. EMBO Rep. 2024, 25, 524–543. [Google Scholar] [CrossRef]
- Kim, J.H.; Weon, Y.S.; Kwon, O.Y. Comparison of wrist range of motion and muscle strength in assembly workers with and without lateral epicondylitis. Work 2024, 1–9. [Google Scholar] [CrossRef]
- Li, D.; Jiu, J.; Liu, H.; Yan, X.; Li, X.; Yan, L.; Zhang, J.; Fan, Z.; Li, S.; Du, G.; et al. Tissue-engineered mesenchymal stem cell constructs alleviate tendinopathy by suppressing vascularization. Bioact. Mater. 2024, 36, 474–489. [Google Scholar] [CrossRef]
- Gelberman, R.H.; Linderman, S.W.; Jayaram, R.; Dikina, A.D.; Sakiyama-Elbert, S.; Alsberg, E.; Thomopoulos, S.; Shen, H. Combined Administration of ASCs and BMP-12 Promotes an M2 Macrophage Phenotype and Enhances Tendon Healing. Clin. Orthop. Relat. Res. 2017, 475, 2318–2331. [Google Scholar] [CrossRef]
- GWAS Catalog. Available online: https://www.ebi.ac.uk/gwas/variants/rs4930152 (accessed on 2 December 2024).
- Szyluk, K.; Bubnov, R.; Jarosz, A.; Reguła, R.; Grabowski, P.; Iwanicka, J.; Iwanicki, T.; Gierek, M.; Sieroń, D.; Christe, A.; et al. The Impact of Blood Morphological Parameters on Treatment Outcomes in Tennis Elbow Patients Receiving Platelet-Rich Plasma (PRP) Therapy: A Prospective Study. J. Clin. Med. 2023, 13, 77. [Google Scholar] [CrossRef]
- Coden, M.E.; Berdnikovs, S. Eosinophils in wound healing and epithelial remodeling: Is coagulation a missing link? J. Leukoc. Biol. 2020, 108, 93–103. [Google Scholar] [CrossRef]
- Gieseck, R.L.; Wilson, M.S.; Wynn, T.A. Type 2 immunity in tissue repair and fibrosis. Nat. Rev. Immunol. 2018, 18, 62–76. [Google Scholar] [CrossRef]
- Nissim Ben Efraim, A.H.; Eliashar, R.; Levi-Schaffer, F. Hypoxia modulates human eosinophil function. Clin. Mol. Allergy 2010, 8, 10. [Google Scholar] [CrossRef] [PubMed]
- Chatterjee, S.; Pal, J.K. Role of 5′- and 3′-untranslated regions of mRNAs in human diseases. Biol. Cell 2009, 101, 251–262. [Google Scholar] [CrossRef] [PubMed]
- Ensembl Database. Available online: https://www.ensembl.org/Homo_sapiens/Variation/Mappings?db=core;r=11:64238494-64239494;v=rs595880;vdb=variation;vf=706452603 (accessed on 2 December 2024).
- Gillard, K.K.; Bloedon, L.; Grady-Benson, J.C.; Edwards, A.; Fahy, S.; Sasiela, W.J.; Louie, M.J.; Thompson, P.D. Prevalence of Tendon Rupture and Tendinopathies Among Patients with Atherosclerotic Cardiovascular Disease Derived from United States Administrative Claims Data. Cardiol. Ther. 2024, 13, 575–591. [Google Scholar] [CrossRef] [PubMed]
- Formiga, F.; Baeza, L.S.; Chivite, D.; Yun, S. Musculoskeletal co-morbidities in patients with transthyretin amyloid cardiomyopathy: A systematic review. ESC Heart Fail. 2024, 11, 662–671. [Google Scholar] [CrossRef]
- Golicki, D.; Krzysiak, M.; Strzelczyk, P. Translation and Cultural Adaptation of the Polish Version of the Disabilities of the Arm, Shoulder and Hand (DASH) and QuickDASH Questionnaires. Ortop. Traumatol. Rehabil. 2014, 16, 387–395. [Google Scholar] [CrossRef]
- Goguł, P.; Latosiewicz, R.; Goguł, M.; Majewska, D.; Gawęda, K. Quality of polish translation and cultural adaptation of PRTEE (Patient–RatedTennis Elbow Evaluation). Health Sport 2016, 6, 2391–8306. [Google Scholar] [CrossRef]
- Menyhart, O.; Weltz, B.; Győrffy, B. MultipleTesting.com: A tool for life science researchers for multiple hypothesis testing correction. PLoS ONE 2021, 16, e0245824. [Google Scholar] [CrossRef]
- Barrett, J.C.; Fry, B.; Maller, J.; Daly, M.J. Haploview: Analysis and visualization of LD and haplotype maps. Bioinformatics 2005, 21, 263–265. [Google Scholar] [CrossRef]
- Gabriel, S.B.; Schaffner, S.F.; Nguyen, H.; Moore, J.M.; Roy, J.; Blumenstiel, B.; Higgins, J.; DeFelice, M.; Lochner, A.; Faggart, M.; et al. The Structure of Haplotype Blocks in the Human Genome. Science 2002, 296, 2225–2229. [Google Scholar] [CrossRef]






| VEGFB SNP | Chromosome 11 Coordinate * | Allele | n | % | Genotype | n | % | MAF %, ** |
|---|---|---|---|---|---|---|---|---|
| rs72922019 | 64004237 | C | 114 | 60.00 | CC | 56 | 42.42 | |
| T | 76 | 40.00 | CT | 58 | 43.94 | 29.3 | ||
| TT | 18 | 13.64 | ||||||
| CC+CT | 114 | 86.34 | ||||||
| TT+CT | 76 | 57.56 | ||||||
| rs12366035 | 64004692 | C | 114 | 60.32 | CC | 56 | 42.75 | |
| T | 75 | 39.68 | CT | 58 | 44.27 | 29.3 | ||
| TT | 17 | 12.98 | ||||||
| CC+CT | 114 | 87.02 | ||||||
| TT+CT | 75 | 57.25 | ||||||
| rs4930152 | 64005412 | G | 115 | 60.21 | GG | 56 | 42.42 | |
| A | 76 | 39.79 | GA | 59 | 44.70 | 29.3 | ||
| AA | 17 | 12.88 | ||||||
| GG+GA | 115 | 87.12 | ||||||
| AA+GA | 76 | 57.56 | ||||||
| rs594942 | 64006292 | C | 119 | 63.98 | CC | 65 | 49.24 | |
| T | 67 | 36.02 | CT | 54 | 40.91 | 35.4 | ||
| TT | 13 | 9.85 | ||||||
| CC+CT | 119 | 90.15 | ||||||
| TT+CT | 67 | 50.76 | ||||||
| rs595880 | 64006466 | G | 119 | 63.98 | GG | 65 | 49.24 | |
| T | 67 | 36.02 | GT | 54 | 40.91 | 35.4 | ||
| TT | 13 | 9.85 | ||||||
| GG+GT | 119 | 90.15 | ||||||
| TT+GT | 67 | 50.76 |
| SNPs | Blood Count Parameter | Genotypes | p Value | |||
|---|---|---|---|---|---|---|
| Median | QD | Median | QD | |||
| 1 rs72922019 | 1 TT/2 TT/3 AA | 1 CT+CC/2 CT+CC/3 GA+GG | ||||
| 2 rs12366035 | MPV [fl] | 10.10 | 0.85 | 9.00 | 0.65 | 0.043 |
| 3 rs4930152 | PDW [fl] | 16.30 | 0.10 | 16.00 | 0.15 | 0.025 |
| 1 CC/2 CC/3 GG | 1 CT+TT/2 CT+TT/3 GA+AA | |||||
| MCV [fl] | 93.60 | 2.70 | 91.30 | 3.25 | 0.010 | |
| MCH [pg] | 30.90 | 1.05 | 29.90 | 1.00 | 0.012 | |
| EOS [%] | 2.70 | 1.50 | 2.00 | 0.60 | 0.047 | |
| EOS [10*9/L] | 0.21 | 0.09 | 0.12 | 0.04 | 0.006 * | |
| 4 rs594942 | 4 CC/5 GG | 4 CT+TT/5 GT+TT | ||||
| 5 rs595880 | EOS [10*9/L] | 0.13 | 0.04 | 0.19 | 0.07 | 0.007 * |
| LYM [10*9/L] | 1.65 | 0.28 | 1.92 | 0.31 | 0.032 | |
| MONO [%] | 5.50 | 1.50 | 4.50 | 1.20 | 0.009 | |
| 4 TT/5 TT | 4 CT+CC/5 GT+GG | |||||
| RDW [%] | 12.40 | 0.40 | 11.90 | 0.33 | 0.015 | |
| Characteristics | |||
|---|---|---|---|
| General | number of subjects, n | 107 | – |
| number of elbows, n (%) | 132 | (100.0) | |
| tennis elbow in dominant hand, n (%) | 86 | (65.2) | |
| tennis elbow in non-dominant hand, n (%) | 46 | (34.8) | |
| females, n (%) | 77 | (58.3) | |
| age, median ± QD | 46.00 | 5.50 | |
| BMI, median ± QD | 25.65 | 2.00 | |
| overweight/obesity BMI ≥ 25, n (%) | 86 | (65.2) | |
| current smokers, n (%) | 22 | (16.6) | |
| former smokers, n (%) | 48 | (36.4) | |
| Comorbidities | diabetes mellitus, n (%) | 4 | (3.0) |
| gout, n (%) | 8 | (6.1) | |
| thyroid diseases, n (%) | 15 | (11.4) | |
| hypercholesterolemia, n (%) | 10 | (7,58) | |
| hypertension, n (%) | 18 | (13.6) | |
| heart failure, n (%) | 4 | (3.0) | |
Disclaimer/Publisher’s Note: The statements, opinions and data contained in all publications are solely those of the individual author(s) and contributor(s) and not of MDPI and/or the editor(s). MDPI and/or the editor(s) disclaim responsibility for any injury to people or property resulting from any ideas, methods, instructions or products referred to in the content. |
© 2024 by the authors. Licensee MDPI, Basel, Switzerland. This article is an open access article distributed under the terms and conditions of the Creative Commons Attribution (CC BY) license (https://creativecommons.org/licenses/by/4.0/).
Share and Cite
Jarosz, A.; Nowak, T.; Szyluk, K.; Balcerzyk-Matić, A.; Iwanicki, T.; Iwanicka, J.; Kalita, M.; Gawron, K.; Kania, W.; Niemiec, P. The VEGFB Gene Variants and the Effectiveness of Platelet-Rich Plasma Treatment of Lateral Elbow Tendinopathy: A Prospective Cohort Study with a Two-Year Follow-Up. Int. J. Mol. Sci. 2024, 25, 13166. https://doi.org/10.3390/ijms252313166
Jarosz A, Nowak T, Szyluk K, Balcerzyk-Matić A, Iwanicki T, Iwanicka J, Kalita M, Gawron K, Kania W, Niemiec P. The VEGFB Gene Variants and the Effectiveness of Platelet-Rich Plasma Treatment of Lateral Elbow Tendinopathy: A Prospective Cohort Study with a Two-Year Follow-Up. International Journal of Molecular Sciences. 2024; 25(23):13166. https://doi.org/10.3390/ijms252313166
Chicago/Turabian StyleJarosz, Alicja, Tomasz Nowak, Karol Szyluk, Anna Balcerzyk-Matić, Tomasz Iwanicki, Joanna Iwanicka, Marcin Kalita, Katarzyna Gawron, Wojciech Kania, and Paweł Niemiec. 2024. "The VEGFB Gene Variants and the Effectiveness of Platelet-Rich Plasma Treatment of Lateral Elbow Tendinopathy: A Prospective Cohort Study with a Two-Year Follow-Up" International Journal of Molecular Sciences 25, no. 23: 13166. https://doi.org/10.3390/ijms252313166
APA StyleJarosz, A., Nowak, T., Szyluk, K., Balcerzyk-Matić, A., Iwanicki, T., Iwanicka, J., Kalita, M., Gawron, K., Kania, W., & Niemiec, P. (2024). The VEGFB Gene Variants and the Effectiveness of Platelet-Rich Plasma Treatment of Lateral Elbow Tendinopathy: A Prospective Cohort Study with a Two-Year Follow-Up. International Journal of Molecular Sciences, 25(23), 13166. https://doi.org/10.3390/ijms252313166

