Development of Primer Panels for Amplicon Sequencing of Human Parainfluenza Viruses Type 1 and 2
Abstract
1. Introduction
2. Results
2.1. Prevalence of hPIV
2.2. Primer Design and Genome Coverage
2.3. Analytical Specificity
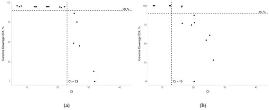
2.4. Analytical Sensitivity
2.5. Evaluation of Primer Panels on Clinical Specimens
2.6. Robustness
2.7. Phylogenetic Analysis
2.7.1. Phylogenetic Analysis of hPIV1
2.7.2. Phylogenetic Analysis of hPIV2
2.8. Potential Glycosylation Sites Analysis
2.8.1. Potential Glycosylation Sites Analysis of hPIV1
2.8.2. Potential Glycosylation Sites Analysis of hPIV2
2.9. Recombination Analysis
3. Discussion
4. Materials and Methods
4.1. Ethics Statement
4.2. Clinical Specimens
4.3. RNA Extraction and RT-PCR
4.4. Design of Multiplex Primer Panels
4.5. Whole-Genome Amplification
4.6. hPIV Sequencing
4.7. Bioinformatics Data Analysis
4.8. Specificity Test
4.9. Analytical Sensitivity
4.10. Robustness Test
4.11. Recombination Analysis
4.12. Data Availability
5. Patents
Supplementary Materials
Author Contributions
Funding
Institutional Review Board Statement
Informed Consent Statement
Data Availability Statement
Acknowledgments
Conflicts of Interest
References
- Henrickson, K. Parainfluenza Viruses. Clin. Microbiol. Rev. 2003, 16, 242–264. [Google Scholar] [CrossRef] [PubMed]
- Reed, G.; Jewett, P.H.; Thompson, J.; Tollefson, S.; Wright, P.F. Epidemiology and Clinical Impact of Parainfluenza Virus Infections in Otherwise Healthy Infants and Young Children <5 Years Old. J. Infect. Dis. 1997, 175, 807–813. [Google Scholar] [CrossRef] [PubMed]
- Iwane, M.K.; Edwards, K.M.; Szilagyi, P.G.; Walker, F.J.; Griffin, M.R.; Weinberg, G.A.; Coulen, C.; Poehling, K.A.; Shone, L.P.; Balter, S.; et al. Population-Based Surveillance for Hospitalizations Associated with Respiratory Syncytial Virus, Influenza Virus, and Parainfluenza Viruses among Young Children. Pediatrics 2004, 113, 1758–1764. [Google Scholar] [CrossRef]
- Counihan, M.E.; Shay, D.K.; Holman, R.C.; Lowther, S.A.; Anderson, L.J. Human Parainfluenza Virus-Associated Hospitalizations among Children Less than Five Years of Age in the United States. Pediatr. Infect. Dis. J. 2001, 20, 646–653. [Google Scholar] [CrossRef]
- Wang, X.; Li, Y.; Deloria-Knoll, M.; Madhi, S.A.; Cohen, C.; Arguelles, V.L.; Basnet, S.; Bassat, Q.; Brooks, W.A.; Echavarria, M.; et al. Global Burden of Acute Lower Respiratory Infection Associated with Human Parainfluenza Virus in Children Younger than 5 Years for 2018: A Systematic Review and Meta-Analysis. Lancet Glob. Health 2021, 9, e1077–e1087. [Google Scholar] [CrossRef] [PubMed]
- Karron, R.A.; Collins, P.L. Parainfluenza Viruses. In Fields Virology, 6th ed.; Lippincott Williams & Wilkins: Pennsylvania Furnace, PA, USA, 2013; pp. 996–1023. ISBN 9781119650836. [Google Scholar]
- Heath, R.B. The Pathogenesis of Respiratory Viral Infection. Postgrad. Med. J. 1979, 55, 122–127. [Google Scholar] [CrossRef] [PubMed][Green Version]
- Fry, A.M.; Curns, A.T.; Harbour, K.; Hutwagner, L.; Holman, R.C.; Anderson, L.J. Seasonal Trends of Human Parainfluenza Viral Infections: United States, 1990–2004. Clin. Infect. Dis. 2006, 43, 1016–1022. [Google Scholar] [CrossRef]
- Mizuta, K.; Abiko, C.; Aoki, Y.; Ikeda, T.; Itagaki, T.; Katsushima, F.; Katsushima, Y.; Matsuzaki, Y.; Noda, M.; Kimura, H.; et al. Epidemiology of Parainfluenza Virus Types 1, 2 and 3 Infections Based on Virus Isolation between 2002 and 2011 in Yamagata, Japan. Microbiol. Immunol. 2012, 56, 855–858. [Google Scholar] [CrossRef]
- Lamb, R.A.; Parks, G.D. Paramyxoviridae. In Fields Virology, 6th ed.; Lippincott Williams & Wilkins: Pennsylvania Furnace, PA, USA, 2013; pp. 957–995. ISBN 9781451105636. [Google Scholar]
- Moscona, A. Entry of Parainfluenza Virus into Cells as a Target for Interrupting Childhood Respiratory Disease. J. Clin. Investig. 2005, 115, 1688–1698. [Google Scholar] [CrossRef]
- Suzuki, T.; Portner, A.; Scroggs, R.A.; Uchikawa, M.; Koyama, N.; Matsuo, K.; Suzuki, Y.; Takimoto, T. Receptor Specificities of Human Respiroviruses. J. Virol. 2001, 75, 4604–4613. [Google Scholar] [CrossRef]
- Zhang, L.; Bukreyev, A.; Thompson, C.I.; Watson, B.; Peeples, M.E.; Collins, P.L.; Pickles, R.J. Infection of Ciliated Cells by Human Parainfluenza Virus Type 3 in an In Vitro Model of Human Airway Epithelium. J. Virol. 2005, 79, 1113–1124. [Google Scholar] [CrossRef] [PubMed]
- Schmidt, A.C.; Schaap-Nutt, A.; Bartlett, E.J.; Schomacker, H.; Boonyaratanakornkit, J.; Karron, R.A.; Collins, P.L. Progress in the Development of Human Parainfluenza Virus Vaccines. Expert Rev. Respir. Med. 2011, 5, 515–526. [Google Scholar] [CrossRef] [PubMed]
- Andrejeva, J.; Young, D.F.; Goodbourn, S.; Randall, R.E. Degradation of STAT1 and STAT2 by the V Proteins of Simian Virus 5 and Human Parainfluenza Virus Type 2, Respectively: Consequences for Virus Replication in the Presence of Alpha/Beta and Gamma Interferons. J. Virol. 2002, 76, 2159–2167. [Google Scholar] [CrossRef] [PubMed]
- Nishio, M.; Tsurudome, M.; Ito, M.; Garcin, D.; Kolakofsky, D.; Ito, Y. Identification of Paramyxovirus V Protein Residues Essential for STAT Protein Degradation and Promotion of Virus Replication. J. Virol. 2005, 79, 8591–8601. [Google Scholar] [CrossRef]
- Almajhdi, F. Hemagglutinin-Neuraminidase Gene Sequence-Based Reclassification of Human Parainfluenza Virus 3 Variants. Intervirology 2015, 58, 35–40. [Google Scholar] [CrossRef]
- Prinoski, K.; Côté, M.J.; Kang, C.Y.; Dimock, K. Evolution of the Fusion Protein Gene of Human Parainfluenza Virus 3. Virus Res. 1992, 22, 55–69. [Google Scholar] [CrossRef]
- Storey, D.G.; Cote, M.J.; Dimock, K.; Kang, C.Y. Nucleotide Sequence of the Coding and Flanking Regions of the Human Parainfluenza Virus 3 Hemagglutinin-Neuraminidase Gene: Comparison with Other Paramyxoviruses. Intervirology 1987, 27, 69–80. [Google Scholar] [CrossRef]
- Mao, N.; Ji, Y.; Xie, Z.; Wang, H.; Wang, H.; An, J.; Zhang, X.; Zhang, Y.; Zhu, Z.; Cui, A.; et al. Human Parainfluenza Virus-Associated Respiratory Tract Infection among Children and Genetic Analysis of HPIV-3 Strains in Beijing, China. PLoS ONE 2012, 7, e43893. [Google Scholar] [CrossRef]
- Liu, W.K.; Liu, Q.; Chen, D.H.; Liang, H.X.; Chen, X.K.; Huang, W.B.; Qin, S.; Yang, Z.F.; Zhou, R. Epidemiology and Clinical Presentation of the Four Human Parainfluenza Virus Types. BMC Infect. Dis. 2013, 13, 28. [Google Scholar] [CrossRef]
- Xiao, N.; Duan, Z.; Xie, Z.; Zhong, L.; Zeng, S.; Huang, H.; Gao, H.; Zhang, B. Human Parainfluenza Virus Types 1–4 in Hospitalized Children With Acute Lower Respiratory Infections in China. J. Med. Virol. 2016, 88, 2085–2091. [Google Scholar] [CrossRef]
- Villaran, M.V.; García, J.; Gomez, J.; Arango, A.E.; Gonzales, M.; Chicaiza, W.; Alemán, W.; De Rivera, I.L.; Sanchez, F.; Aguayo, N.; et al. Human Parainfluenza Virus in Patients with Influenza-like Illness from Central and South America during 2006-2010. Influenza Other Respi. Viruses 2014, 8, 217–227. [Google Scholar] [CrossRef] [PubMed]
- Zhu, Y.; Sun, Y.; Li, C.; Lu, G.; Jin, R.; Xu, B.; Shang, Y.; Ai, J.; Wang, R.; Duan, Y. Genetic Characteristics of Human Parainfluenza Viruses 1–4 Associated with Acute Lower Respiratory Tract Infection in Chinese Children, during 2015–2021. Microbiol. Spectr. 2024, 12, e03432-23. [Google Scholar] [CrossRef] [PubMed]
- Matsuoka, Y.; Ray, R.; Compans, R.W. Sequence of the Hemagglutinin-Neuraminidase Gene of Human Parainfluenza Virus Type 1. Virus Res. 1990, 16, 107–113. [Google Scholar] [CrossRef] [PubMed]
- Henrickson, K.J.; Savatski, L.L. Antigenic Structure, Function, and Evolution of the Hemagglutinin- Neuraminidase Protein of Human Parainfluenza Virus Type 1. J. Infect. Dis. 1997, 176, 867–875. [Google Scholar] [CrossRef] [PubMed]
- Terrier, O.; Cartet, G.; Ferraris, O.; Morfin, F.; Thouvenot, D.; Hong, S.S.; Lina, B. Characterization of Naturally Occurring Parainfluenza Virus Type 2 (HPIV-2) Variants. J. Clin. Virol. 2008, 43, 86–92. [Google Scholar] [CrossRef] [PubMed]
- Henrickson, K.J.; Kuhn, S.M.; Savatski, L.L. Epidemiology and Cost of Infection with Human Parainfluenza Virus Types 1 and 2 in Young Children. Clin. Infect. Dis. 1994, 18, 770–779. [Google Scholar] [CrossRef]
- Branche, A.R.; Falsey, A.R. Parainfluenza Virus Infection. Semin. Respir. Crit. Care Med. 2016, 37, 538–554. [Google Scholar] [CrossRef]
- Beck, E.T.; He, J.; Nelson, M.I.; Bose, M.E.; Fan, J.; Kumar, S.; Henrickson, K.J. Genome Sequencing and Phylogenetic Analysis of 39 Human Parainfluenza Virus Type 1 Strains Isolated from 1997–2010. PLoS ONE 2012, 7, 2005–2007. [Google Scholar] [CrossRef]
- Košutić-Gulija, T.; Slovic, A.; Ljubin-Sternak, S.; Galinović, G.M.; Forčić, D. A Study of Genetic Variability of Human Parainfluenza Virus Type 1 in Croatia, 2011–2014. J. Med. Microbiol. 2016, 65, 793–803. [Google Scholar] [CrossRef]
- Bose, M.E.; Shrivastava, S.; He, J.; Nelson, M.I.; Bera, J.; Fedorova, N.; Halpin, R.; Town, C.D.; Lorenzi, H.A.; Amedeo, P.; et al. Sequencing and Analysis of Globally Obtained Human Parainfluenza Viruses 1 and 3 Genomes. PLoS ONE 2019, 14, e220057. [Google Scholar] [CrossRef]
- Mizuta, K.; Saitoh, M.; Kobayashi, M.; Tsukagoshi, H.; Aoki, Y.; Ikeda, T.; Abiko, C.; Katsushima, N.; Itagaki, T.; Noda, M.; et al. Detailed Genetic Analysis of Hemagglutinin-Neuraminidase Glycoprotein Gene in Human Parainfluenza Virus Type 1 Isolates from Patients with Acute Respiratory Infection between 2002 and 2009 in Yamagata Prefecture, Japan. Virol. J. 2011, 8, 1–9. [Google Scholar] [CrossRef] [PubMed]
- Li, H.J.; Du, J.; Yang, Y.N.; Cui, Y.; Xi, L.; Wang, S.; Liu, Y.Q.; Zhang, G.F.; Cui, F.; Lu, Q. Bin Outbreak of Human Parainfluenza Virus Type 1 in a Kindergarten from China, 2018. J. Pediatr. Infect. Dis. 2020, 15, 025–030. [Google Scholar] [CrossRef]
- Almajhdi, F.N.; Alshaman, M.S.; Amer, H.M. Human Parainfluenza Virus Type 2 Hemagglutinin-Neuramindase Gene: Sequence and Phylogenetic Analysis of the Saudi Strain Riyadh 105/2009. Virol. J. 2012, 9, 316. [Google Scholar] [CrossRef]
- Šantak, M.; Slović, A.; Ljubin-Sternak, S.; Mlinarić Galinović, G.; Forčić, D. Genetic Diversity among Human Parainfluenza Virus Type 2 Isolated in Croatia between 2011 and 2014. J. Med. Virol. 2016, 88, 1733–1741. [Google Scholar] [CrossRef]
- Šantak, M.; Lang Balija, M.; Mlinarić Galinović, G.; Ljubin Sternak, S.; Vilibić-Čavlek, T.; Tabain, I. Genotype Replacement of the Human Parainfluenza Virus Type 2 in Croatia between 2011 and 2017-the Role of Neutralising Antibodies. Epidemiol. Infect. 2018, 146, 1372–1383. [Google Scholar] [CrossRef]
- Wang, H.; Cui, X.; Cai, X.; An, T. Recombination in Positive-Strand RNA Viruses. Front. Microbiol. 2022, 13, 870759. [Google Scholar] [CrossRef] [PubMed]
- Bousse, T.; Matrosovich, T.; Portner, A.; Kato, A.; Nagai, Y.; Takimoto, T. The Long Noncoding Region of the Human Parainfluenza Virus Type 1 F Gene Contributes to the Read-Through Transcription at the M-F Gene Junction. J. Virol. 2002, 76, 8244–8251. [Google Scholar] [CrossRef]
- Bousse, T.; Takimoto, T.; Murti, K.G.; Portner, A. Elevated Expression of the Human Parainfluenza Virus Type 1 F Gene Downregulates HN Expression. Virology 1997, 232, 44–52. [Google Scholar] [CrossRef][Green Version]
- Katoh, K.; Standley, D.M. MAFFT Multiple Sequence Alignment Software Version 7: Improvements in Performance and Usability. Mol. Biol. Evol. 2013, 30, 772–780. [Google Scholar] [CrossRef]
- Stamatakis, A. RAxML Version 8: A Tool for Phylogenetic Analysis and Post-Analysis of Large Phylogenies. Bioinformatics 2014, 30, 1312–1313. [Google Scholar] [CrossRef]
- Martin, D.P.; Varsani, A.; Roumagnac, P.; Botha, G.; Maslamoney, S.; Schwab, T.; Kelz, Z.; Kumar, V.; Murrell, B. RDP5: A Computer Program for Analyzing Recombination in, and Removing Signals of Recombination from, Nucleotide Sequence Datasets. Virus Evol. 2021, 7, 5–7. [Google Scholar] [CrossRef] [PubMed]












| Sample | hPIV1 Primer Panel | hPIV2 Primer Panel |
|---|---|---|
| hPIV1 | + | − |
| hPIV2 | − | + |
| hPIV3 | − | − |
| hPIV4 | − | − |
| Inf A | − | − |
| Inf B | − | − |
| RV | − | − |
| RSV | − | − |
| CoV | − | − |
| MpV | − | − |
| AdV | − | − |
| hPIV1/Russia/SPE-RII-18746V/2023 | + | − |
| hPIV2/Russia/SPE-RII-17155V/2023 | − | + |
| Human parainfluenza 1 Virus, strain C35 (ATCC) | + | − |
| Human parainfluenza Virus 2, Strain: Greer (ATCC) | − | + |
| (a) | |||||
| Name | Sequence | 5′-Position * | Length | Tm | GC |
| hPIV1-F1 | ACCAAACAAGAGRAAAAACTTGTTT | 1 | 25 | 60.3 | 32 |
| hPIV1-R1 | CATGAACTGGGTCTCTGAGTATACATATA | 1083 | 29 | 60.1 | 37.9 |
| hPIV1-F2 | TTACATAAGAGATGCAGGATTAGCATC | 896 | 27 | 61 | 37 |
| hPIV1-R2 | CGACGTCRAGGAGTCCGATG | 1946 | 20 | 61 | 60 |
| hPIV1-F3 | CAGCATACACGAAACCAACCTT | 1783 | 22 | 59.6 | 45.5 |
| hPIV1-R3 | AATTCATGTTGTGATTTCATTACACC | 2874 | 26 | 59.6 | 30.8 |
| hPIV1-F4 | CCGTYAAAGAACGAAGAGCC | 2660 | 20 | 59.8 | 55 |
| hPIV1-R4 | TGAGRGGGAGAGGTTCTACTGT | 3738 | 22 | 59.4 | 54.5 |
| hPIV1-F5 | TCYACAATTTCAACCAGCAATC | 3558 | 22 | 60.1 | 40.9 |
| hPIV1-R5 | GCTGCCCAGATGACTAGATTCAT | 4603 | 23 | 60.2 | 47.8 |
| hPIV1-F6 | ATTGAGAAGATGAAGYTAATATTCTCTCT | 4431 | 29 | 59.6 | 31 |
| hPIV1-R6 | GCTAGTGCAATTCCYGCAGTTATC | 5500 | 24 | 60.5 | 45.8 |
| hPIV1-F7 | GATCTTCAGGAATCCCTGATAACA | 5355 | 24 | 59.4 | 41.7 |
| hPIV1-R7 | GGACCCACTTTGATGATTTGATT | 6436 | 23 | 59.8 | 39.1 |
| hPIV1-F8 | CATTCATAAATGGTGGTGTRGTAGCTA | 6226 | 27 | 59.6 | 37 |
| hPIV1-R8 | CCYGTTTGTTGCATGACTTCTCTAT | 7299 | 25 | 59.9 | 40 |
| hPIV1-F9 | TGACAGTATCCTCCGTGAACGA | 7114 | 22 | 60.4 | 50 |
| hPIV1-R9 | GAGTGCCAACCTGARGATCTAGTATATA | 8197 | 28 | 59.7 | 39.3 |
| hPIV1-F10 | TGCAATGATGCTCTTAAGATAACTTG | 7995 | 26 | 60.5 | 34.6 |
| hPIV1-R10 | AAAATCGGATAAGGTTCAAAAGTGTA | 9052 | 26 | 60.5 | 30.8 |
| hPIV1-F11 | TGCTAGAYATCAATCAACCTTATGATT | 8875 | 27 | 61 | 33.3 |
| hPIV1-R11 | TTGCATGACACTCATATAGTGTCTTTAGTAT | 9966 | 31 | 61.4 | 32.3 |
| hPIV1-F12 | TCATTGATAAAGATTTTCAGAGAGACAT | 9792 | 28 | 59.8 | 28.6 |
| hPIV1-R12 | CTCATTACATCTTTGACCAAACAATG | 10,826 | 26 | 60.3 | 34.6 |
| hPIV1-F13 | AAATATGAATAAGTGCAATTCAAATGG | 10,673 | 27 | 60.9 | 25.9 |
| hPIV1-R13 | CTGGTTCTTGATTCATCACACGA | 11,730 | 23 | 60.1 | 43.5 |
| hPIV1-F14 | GCAATATTGATYCCRGCTAATATAGG | 11,559 | 26 | 60.6 | 38.5 |
| hPIV1-R14 | GTCGATACAGGAGTGAGTAACTTCAAA | 12,621 | 27 | 60.7 | 40.7 |
| hPIV1-F15 | TGTTAAGAACTTAAGCAAGCCGG | 12,458 | 23 | 61.1 | 43.5 |
| hPIV1-R15 | CACGCATGAAAAGATCAACAGAGTA | 13,512 | 25 | 61.5 | 40 |
| hPIV1-F16 | AGACACATCACATGCAGTCYTAAAAGT | 13,334 | 27 | 61 | 37 |
| hPIV1-R16 | AAAACCTTGACCCTTTGACATAAACT | 14,371 | 26 | 61.5 | 34.6 |
| hPIV1-F17 | GCRGGTGCAATGCTGTCTTGT | 14,190 | 21 | 61 | 52.4 |
| hPIV1-R17 | AATCTTGTAGACATAGACAATGCTATCCA | 15,172 | 29 | 61.8 | 34.5 |
| hPIV1-F18 | AAGCATTACAAATCTTCGGATTTGA | 14,896 | 25 | 61.8 | 32 |
| hPIV1-R18 | ACCAGACAAGAGTTTAAGAAATATCGATAT | 15,600 | 30 | 61.3 | 30 |
| (b) | |||||
| Name | Sequence | 5′-Position ** | Length | Tm | GC |
| hPIV2-F1 | ACCAAGGGGAGAATTAGATGGC | 1 | 22 | 61.4 | 50 |
| hPIV2-R1 | ATGGGTCCTAGACTCTGATARTGTAGC | 1083 | 27 | 61.2 | 44.4 |
| hPIV2-F2 | CYATGGTGGGAGACATTGGCA | 912 | 21 | 60.6 | 52.4 |
| hPIV2-R2 | GCTCAGTGGTGTATGTTGGTTCC | 2027 | 23 | 61 | 52.2 |
| hPIV2-F3 | AADCATAGGCCCGGACGG | 1921 | 18 | 60.5 | 51.1 |
| hPIV2-R3 | GGATTCRGGCTTTCGTGTGATC | 3020 | 22 | 61.1 | 50 |
| hPIV2-F4 | YTCCAGTAGTAATTGCYGGTCC | 2893 | 22 | 61 | 50 |
| hPIV2-R4 | ATAYTCAAATCCAGCTTGTAGCTTTG | 3980 | 26 | 61.1 | 38.5 |
| hPIV2-F5 | AAGACATCAAGCCAGAGRGAGGA | 3828 | 23 | 59.9 | 47.8 |
| hPIV2-R5 | AATAAAGCTAGCRCCACCATCAGT | 4951 | 24 | 59.5 | 41.7 |
| hPIV2-F6 | AATGATAGTATGCATCTTTGTTATGTACACT | 4810 | 30 | 59.8 | 30 |
| hPIV2-R6 | CGCTTRAGAAAGTTCCCGATAATA | 5907 | 24 | 59.8 | 37.5 |
| hPIV2-F7 | GTGACACCRAACTCTGTATTYTGTAG | 5780 | 26 | 59.6 | 42 |
| hPIV2-R7 | GGCAGTTCGGAAAATGATTCTA | 6892 | 22 | 59 | 40.9 |
| hPIV2-F8 | TGAYACAGCTTAATCCRCTCAACAT | 6775 | 25 | 60.8 | 40 |
| hPIV2-R8 | GGAGTTWCCGGCACARGTTATG | 7846 | 22 | 61.2 | 54.5 |
| hPIV2-F9 | GRAGCGGGATCTATCAYCTAGGC | 7710 | 23 | 61.4 | 52.2 |
| hPIV2-R9 | GCGGGAAGTGCCCTAGTAATAAG | 8897 | 23 | 61.7 | 52.2 |
| hPIV2-F10 | AAGATTATRATATAGGCCAGAATGGC | 8777 | 26 | 61.9 | 38.5 |
| hPIV2-R10 | CRATTAAATCTGGAGAAAGGTTGGA | 9872 | 25 | 61.3 | 36 |
| hPIV2-F11 | TGGGTGTCTACAACTTAAAGATCCAG | 9697 | 26 | 61.3 | 42.3 |
| hPIV2-R11 | ATGTATCATCAGGATCTGTGAGGTATG | 10,772 | 27 | 60.8 | 40.7 |
| hPIV2-F12 | TCATTGCTTACTATGAGTCAAATTGG | 10,610 | 26 | 60.2 | 34.6 |
| hPIV2-R12 | CGATATTGCGGTTAAATAATCTGC | 11,675 | 24 | 60.7 | 37.5 |
| hPIV2-F13 | TCYATTCGTCAACTCACATATGATC | 11,501 | 25 | 60.8 | 40 |
| hPIV2-R13 | CRATATCAAGTGCATCATTCCAGT | 12,614 | 24 | 61 | 41.7 |
| hPIV2-F14 | AAGAAGAGTTGCATCAATGGCATA | 12,484 | 24 | 61 | 37.5 |
| hPIV2-R14 | GCAAGAACTTGTTTAACYCCCCA | 13,560 | 23 | 60.5 | 43.5 |
| hPIV2-F15 | AGACGTGCAATGAATCTTGATATTATC | 13,445 | 27 | 60.7 | 33.3 |
| hPIV2-R15 | GTYGATTCGAGATCTATATGRACAAG | 14,559 | 26 | 60.9 | 42.3 |
| hPIV2-F16 | WGCAGTTACRGACTTATCRACAAAGGA | 14,461 | 27 | 62 | 37 |
| hPIV2-R16 | ACCAAGGGGAAAATCAATATGTTTT | 15,654 | 25 | 61.9 | 32 |
Disclaimer/Publisher’s Note: The statements, opinions and data contained in all publications are solely those of the individual author(s) and contributor(s) and not of MDPI and/or the editor(s). MDPI and/or the editor(s) disclaim responsibility for any injury to people or property resulting from any ideas, methods, instructions or products referred to in the content. |
© 2024 by the authors. Licensee MDPI, Basel, Switzerland. This article is an open access article distributed under the terms and conditions of the Creative Commons Attribution (CC BY) license (https://creativecommons.org/licenses/by/4.0/).
Share and Cite
Mansour, O.; Fadeev, A.V.; Perederiy, A.A.; Danilenko, D.M.; Lioznov, D.A.; Komissarov, A.B. Development of Primer Panels for Amplicon Sequencing of Human Parainfluenza Viruses Type 1 and 2. Int. J. Mol. Sci. 2024, 25, 13119. https://doi.org/10.3390/ijms252313119
Mansour O, Fadeev AV, Perederiy AA, Danilenko DM, Lioznov DA, Komissarov AB. Development of Primer Panels for Amplicon Sequencing of Human Parainfluenza Viruses Type 1 and 2. International Journal of Molecular Sciences. 2024; 25(23):13119. https://doi.org/10.3390/ijms252313119
Chicago/Turabian StyleMansour, Oula, Artem V. Fadeev, Alexander A. Perederiy, Daria M. Danilenko, Dmitry A. Lioznov, and Andrey B. Komissarov. 2024. "Development of Primer Panels for Amplicon Sequencing of Human Parainfluenza Viruses Type 1 and 2" International Journal of Molecular Sciences 25, no. 23: 13119. https://doi.org/10.3390/ijms252313119
APA StyleMansour, O., Fadeev, A. V., Perederiy, A. A., Danilenko, D. M., Lioznov, D. A., & Komissarov, A. B. (2024). Development of Primer Panels for Amplicon Sequencing of Human Parainfluenza Viruses Type 1 and 2. International Journal of Molecular Sciences, 25(23), 13119. https://doi.org/10.3390/ijms252313119

