In Vitro Biological Activities of Paederia grandidieri Leaf Extracts
Abstract
1. Introduction
2. Results
2.1. Total Phenolic Content, Total Flavonoid Content, and Antioxidant Activity of P. grandidieri Leaf Extracts
2.2. HPLC Profile of P. grandidieri Leaf Extracts
2.3. In Vitro Antibacterial Activity of P. grandidieri Leaf Extracts
2.4. In Vitro Prebiotic Effect of P. grandidieri Aqueous Extract on Streptococcus Salivarius
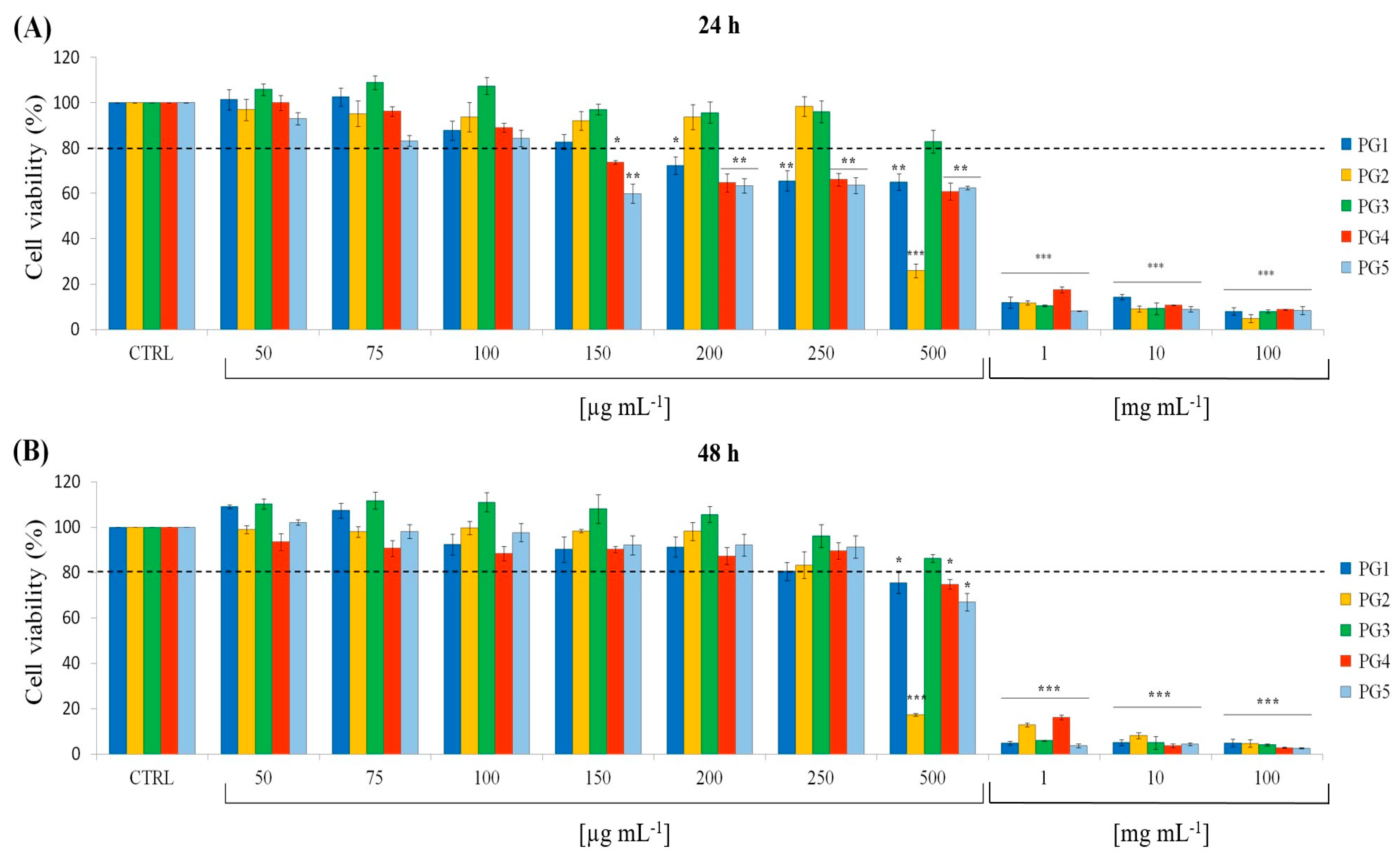
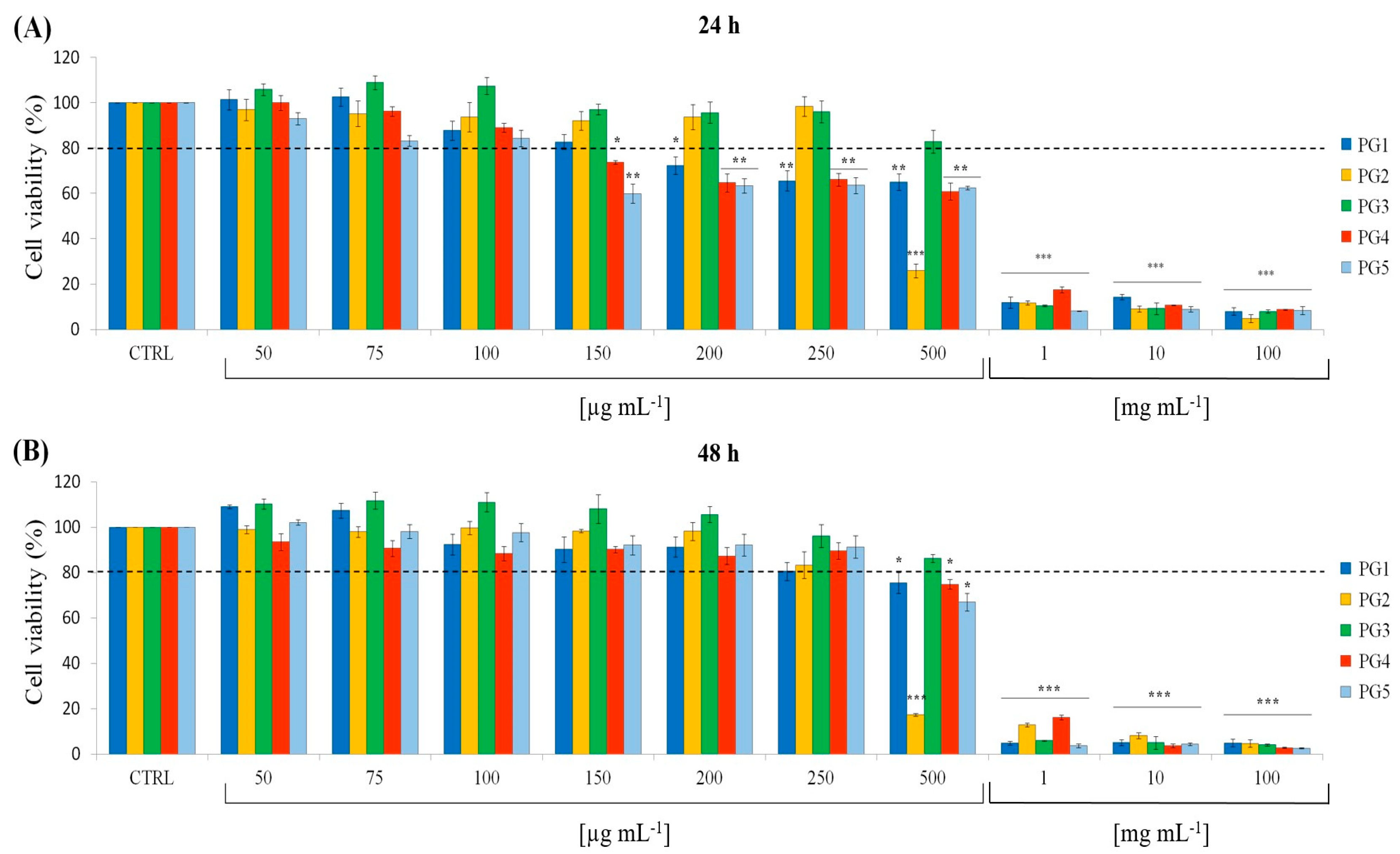
2.5. In Vitro Cytotoxic Effects of P. grandidieri Leaf Extracts
3. Discussion
4. Materials and Methods
4.1. Reagents and Solutions
4.2. Sample Collection and Extraction
4.3. Total Phenolic Content
4.4. Total Flavonoid Content
4.5. DPPH Radical Scavenging Activity
4.6. HPLC/DAD/FL Analysis
4.7. Identification of Polyphenols
4.8. Antimicrobial Assay
4.9. Fitness Assay
4.10. Cell Culture and Treatment
4.11. In Vitro Cell Viability Studies
4.12. Statistical Analysis
5. Conclusions
Supplementary Materials
Author Contributions
Funding
Institutional Review Board Statement
Informed Consent Statement
Data Availability Statement
Acknowledgments
Conflicts of Interest
References
- Altaf, M.M.; Khan, M.S.A.; Ahmad, I. Diversity of Bioactive Compounds and Their Therapeutic Potential. In New Look to Phytomedicine; Sajjad, M., Khan, A., Ahmad, I., Chattopadhyay, D., Eds.; Academic Press: Cambridge, MA, USA, 2019; pp. 15–34. ISBN 9780128146194. [Google Scholar] [CrossRef]
- Nath, R.; Kityania, S.; Nath, D.; Talkudar, A.D.; Sarma, G. An extensive review on medicinal plants in the special context of economic importance. Asian J. Pharm. Clin. Res. 2023, 16, 6–11. [Google Scholar] [CrossRef]
- Oyebode, O.; Kandala, N.B.; Chilton, P.J.; Lilford, R.J. Use of traditional medicine in middle-income countries: A WHO-SAGE study. Health Policy Plan. 2016, 31, 984–991. [Google Scholar] [CrossRef] [PubMed] [PubMed Central]
- World Health Organization (WHO). Antibacterial Resistance: Global Report on Surveillance. 2014. Available online: https://www.who.int/publications/i/item/9789241564748 (accessed on 8 July 2024).
- Abdallah, E.M.; Alhatlani, B.Y.; de Paula Menezes, R.; Martins, C.H.G. Back to Nature: Medicinal Plants as Promising Sources for Antibacterial Drugs in the Post-Antibiotic Era. Plants 2023, 12, 3077. [Google Scholar] [CrossRef] [PubMed]
- Veeresham, C. Natural products derived from plants as a source of drugs. J. Adv. Pharm. Technol. Res. 2012, 4, 200–201. [Google Scholar] [CrossRef] [PubMed] [PubMed Central]
- Parvin, S.; Reza, A.; Das, S.; Miah, M.M.U.; Karim, S. Potential Role and International Trade of Medicinal and Aromatic Plants in the World. Eur. J. Agric. Food Sci. 2023, 5, 89–99. [Google Scholar] [CrossRef]
- Ranjarisoa, L.N.; Razanamihaja, N.; Rafatro, H. Use of plants in oral health care by the population of Mahajanga, Madagascar. J. Ethnopharmacol. 2016, 193, 179–194. [Google Scholar] [CrossRef]
- Olson, D.M.; Dinerstein, E. The global 200: Priority Ecoregions for Global. Ann. Mo. Bot. Gard. 2002, 89, 199–224. [Google Scholar] [CrossRef]
- Andriamparany, J.N.; Brinkmann, K.; Jeannoda, V. Effects of socio-economic household characteristics on traditional knowledge and usage of wild yams and medicinal plants in the Mahafaly region of south-western Madagascar. J. Ethnobiol. Ethnomed. 2014, 10, 10–82. [Google Scholar] [CrossRef]
- Sattler, C.; Razafindravao, M. Les outils novateurs de protection et de valorisation des patrimoines culturels et naturels liés aux plantes médicinales: Jardin pédagogique, recueil ethnobotanique et éducation populaire. Ethnopharmacology 2017, 58. [Google Scholar]
- Sarma, R.; Ghimire, N.; Rahman, O.; Jamir, L.; Chaudhary, S.K.; Singh, S.; Bhat, H.R.; Ghosh, S.K.; Shakya, A. Subchronic toxicity study of the characterized hydroalcoholic extract of Paederia foetida (L.) leaves in swiss albino mice. S. Afr. J. Bot. 2022, 151, 544–554. [Google Scholar] [CrossRef]
- Ramanampamaharana, R.H.; Randriamavo-Solo, H.N.A.; Rasoamananjara, J.A.; Rafatro, H. Combination of phytotherapy by using herbal medicine from Paederia thouarsiana leaf crude extract and conventional therapy for the care of painful oral conditions in a clinical dentistry practice. Int. Res. J. Med. Biomed. Sci. 2022, 7, 1–16. [Google Scholar] [CrossRef]
- Roy, D.; Brar, S.; Bhatia, R.; Rangra, N.K. An insight into the ethnopharmacological importance of Indian subcontinent medicinal plant species of Rubiaceae family. Adv. Tradit. Med. 2024, 24, 947–969. [Google Scholar] [CrossRef]
- Xiao, M.; Ying, L.; Li, S.; Fu, X.; Du, G. Progress on research and development of Paederia scandens as a natural medicine. Int. J. Clin. Exp. Med. 2019, 12, 158–167. [Google Scholar]
- Roy, P.; Das, H.; Ali, M.S.; Sarkar, P.; Chattopadhyay, S. A review on Paederia foetida as a medicinal plant and it’s pharmacological activities. World J. Pharm. Pharm. Sci. 2021, 10, 637–647. [Google Scholar]
- Sarma, M.K.; Saha, D.; Das, B.K.; Das, T.; Azizov, S.; Kumar, D. A delve into the pharmacological targets and biological mechanisms of Paederia foetida Linn.: A rather invaluable traditional medicinal plant. Naunyn Schmiedebergs Arch. Pharmacol. 2023, 396, 2217–2240. [Google Scholar] [CrossRef]
- Uddin, B.; Nahar, T.; Khalil, M.I.; Hossain, S. In vitro antibacterial activity of the ethanol extract of Paederia foetida L. (Rubiaceae) leaves Bangladesh. J. Life Sci. 2022, 19, 141–143. [Google Scholar]
- Das, S.; Kanodia, L.; Mukherjee, A.; Hakim, A. Effect of ethanolic extract of leaves of Paederia foetida Linn. on acetic acid induced colitis in albino rats. Indian J. Pharmacol. 2013, 45, 453–457. [Google Scholar]
- Ahmed, A.M.; Islam, M.M.; Rahman, M.A.; Hossain, M.A. Thrombolytic, cytotoxic and antidiabetic effects of Paederia foetida L. leaf extract. BJMMR 2014, 4, 1244–1256. [Google Scholar] [CrossRef]
- Chanda, S.; Deb, L.; Tiwari, R.K.; Singh, K.; Ahmad, S. Gastroprotective mechanism of Paederia foetida Linn. (Rubiaceae)–a popular edible plant used by the tribal community of North-East India. BMC Complement. Altern. Med. 2015, 15, 304. [Google Scholar] [CrossRef][Green Version]
- Wang, L.; Jiang, Y.; Han, T.; Zheng, C.; Qin, L. A phytochemical, pharmacological and clinical profile of Paederia foetida and P. scandens. Nat. Prod. Commun. 2014, 9, 879–886. [Google Scholar] [CrossRef] [PubMed]
- Morshed, H.; Islam, M.S.; Parvin, S.; Ahmed, M.U.; Islam, M.S.; Mostofa, A.G.M.; Sayeed, M.S.B. Antibacterial and cytotoxic activity of the methanol extract of Paederia foetida Linn. (Rubiaceae). J. Appl. Pharm. Sci. 2012, 2, 77–80. [Google Scholar]
- Vicencio, M.C.G. Antibacterial efficacy of leaf extracts of Paederia foetida Linnaeus. J. Chem. Res. Adv. 2021, 2, 1–5. [Google Scholar]
- Dutta, P.P.; Marbaniang, K.; Sen, S.; Dey, B.K.; Talukdar, N.C. A review on phytochemistry of Paederia foetida Linn. Phytomedicine 2023, 3, 100411. [Google Scholar] [CrossRef]
- Seth, A.; Malik, J.; Gupta, S.K.; Shyam, D.; Bhaskar, S.; Tiwari, K.; Pathak, S.K. Evaluation of Effect of Cytotoxic and Antioxidant Activity of Paederia foetida Linn. Leaf Extract. Int. J. Pharm. Sci. Rev. Res. 2024, 26, 190–197. [Google Scholar] [CrossRef]
- Ishikura, N.; Yang, Z.Q.; Yoshitama, K.; Kurosawa, K. Flavonol glycosides from Paederia scandens var. mairei. Z. Naturforsch. C 1990, 45, 1081–1084. [Google Scholar] [CrossRef]
- Liu, Y.; Zhe, W.; Zhang, R.; Peng, Z.; Wang, Y.; Gao, H.; Guo, Z.; Xiao, J. Ultrasonic-assisted extraction of polyphenolic compounds from Paederia scandens (Lour.) Merr. Using deep eutectic solvent: Optimization; identification; and comparison with traditional methods. Ultrason. Sonochem. 2022, 86, 106005. [Google Scholar] [CrossRef]
- Zou, X.; Peng, S.; Liu, X.; Bai, B.; Ding, L. Sulfur-containing iridoid glucosides from Paederia scandens. Fitoterapia 2006, 77, 374–377. [Google Scholar] [CrossRef]
- Li, Y.; Zheng, C.J.; Qin, L.P. Chemical constituents from whole herb of Paederia scandens var. tomentosa. Chin. Tradit. Herb. Drugs 2012, 43, 658–660. [Google Scholar]
- Giusti, F.; Caprioli, G.; Ricciutelli, M.; Vittori, S.; Sagratini, G. Determination of fourteen polyphenols in pulses by high performance liquid chromatography-diode array detection (HPLC-DAD) and correlation study with antioxidant activity and colour. Food Chem. 2017, 221, 689–697. [Google Scholar] [CrossRef]
- López-García, J.; Lehocký, M.; Humpolíček, P.; Sáha, P. HaCaT Keratinocytes Response on Antimicrobial Atelocollagen Substrates: Extent of Cytotoxicity, Cell Viability and Proliferation. J. Funct. Biomater. 2014, 5, 43–57. [Google Scholar] [CrossRef]
- Upadhyaya, S. Screening of phytochemicals, nutritional status, antioxidant and antibacterial activity of Paederia foetida Linn. from different localities of Assam, India. J. Pharm. Res. 2013, 7, 139–141. [Google Scholar] [CrossRef]
- Gierschner, J.; Cornil, J.; Egelhaaf, H.J. Optical bandgaps of π-conjugated organic materials at the polymer limit: Experiment and theory. Adv. Mater. 2007, 19, 173–191. [Google Scholar] [CrossRef]
- Platzer, M.; Kiese, S.; Herfellner, T.; Schweiggert-Weisz, U.; Eisner, P. How Does the Phenol Structure Influence the Results of the Folin-Ciocalteu Assay? Antioxidants 2021, 10, 811. [Google Scholar] [CrossRef] [PubMed]
- Alén-Ruiz, F.; García-Falcón, M.S.; Pérez-Lamela, M.C.; Martínez-Carballo, E.; Simal-Gándara, J. Influence of major polyphenols on antioxidant activity in Mencía and Brancellao red wines. Food Chem. 2009, 113, 53–60. [Google Scholar] [CrossRef]
- Vidal-Casanella, O.; Moreno-Merchan, J.; Granados, M.; Nuñez, O.; Saurina, J.; Sentellas, S. Total Polyphenol Content in Food Samples and Nutraceuticals: Antioxidant Indices versus High Performance Liquid Chromatography. Antioxidants 2022, 11, 324. [Google Scholar] [CrossRef]
- Anouar, E.H.; Gierschner, J.; Duroux, J.L.; Trouillas, P. UV/Visible spectra of natural polyphenols: A time-dependent density functional theory study. Food Chem. 2012, 131, 79–89. [Google Scholar] [CrossRef]
- Rodrigues, D.B.; Veríssimo, L.; Finimundy, T.; Rodrigues, J.; Oliveira, I.; Gonçalves, J.; Fernandes, I.P.; Barros, L.; Heleno, S.A.; Calhelha, R.C. Chemical and Bioactive Screening of Green Polyphenol-Rich Extracts from Chestnut By-Products: An Approach to Guide the Sustainable Production of High-Added Value Ingredients. Foods 2023, 12, 2596. [Google Scholar] [CrossRef]
- Feng, R.Z.; Wang, Q.; Tong, W.Z.; Xiong, J.; Wei, Q.; Zhou, W.H.; Li, L.X. Extraction and antioxidant activity of flavonoids of Morus nigra. Int. J. Clin. Exp. Med. 2015, 8, 22328–22336. [Google Scholar]
- Priyanto, J.A.; Prastya, M.E.; Sinarawadi, G.S.; Datu’salamah, W.; Avelina, T.Y.; Yanuar, A.I.A.; Azizah, E.; Tachrim, Z.P.; Mozef, T. The antibacterial and antibiofilm potential of Paederia foetida Linn. leaves extract. J. Appl. Pharm. Sci. 2022, 12, 117–124. [Google Scholar] [CrossRef]
- Yunita, M.; Ohiwal, M.; Elfitrasya, M.Z.; Rahawarin, H. Antibacterial activity of Paederia foetida leaves using two different extraction procedures against pathogenic bacteria. Biodiversitas 2023, 24, 5920–5927. [Google Scholar] [CrossRef]
- Xiao, M.; Fu, X.; Ni, Y.; Chen, J.; Jian, S.; Wang, L.; Du, G. Protective effects of Paederia scandens extract on rheumatoid arthritis mouse model by modulating gut microbiota. J. Ethnopharmacol. 2018, 226, 97–104. [Google Scholar] [CrossRef] [PubMed]
- Milutinović, M.; Dimitrijević-Branković, S.; Rajilić-Stojanović, M. Plant extracts rich in polyphenols as potent modulators in the growth of probiotic and pathogenic intestinal microorganisms. Front. Nutr. 2021, 8, 688843. [Google Scholar] [CrossRef] [PubMed]
- Rodríguez-Daza, M.C.; Pulido-Mateos, E.C.; Lupien-Meilleur, J.; Guyonnet, D.; Desjardins, Y.; Roy, D. Polyphenol-mediated gut microbiota modulation: Toward prebiotics and further. Front. Nutr. 2021, 8, 689456. [Google Scholar] [CrossRef]
- Esteban-Fernández, A.; Zorraquín-Peña, I.; Ferrer, M.D.; Mira, A.; Bartolomé, B.; Gonzalez de Llano, D.; Moreno-Arribas, M.V. Inhibition of oral pathogens adhesion to human gingival fibroblasts by wine polyphenols alone and in combination with an oral probiotic. J. Agric. Food Chem. 2018, 66, 2071–2082. [Google Scholar] [CrossRef] [PubMed]
- Nostro, A.; Roccaro, A.S.; Bisignano, G.; Marino, A.; Cannatelli, M.A.; Pizzimenti, F.C.; Blanco, A.R. Effects of oregano; carvacrol and thymol on Staphylococcus aureus and Staphylococcus epidermidis biofilms. J. Med. Microbiol. 2007, 56, 519–523.34. [Google Scholar] [CrossRef] [PubMed]
- Ghomari, O.; Sounni, F.; Massaoudi, Y.; Ghanam, J.; Drissi Kaitouni, L.B.; Merzouki, M.; Benlemlih, M. Phenolic profile (HPLC-UV) of olive leaves according to extraction procedure and assessment of antibacterial activity. Biotechnol. Rep. 2019, 23, e00347. [Google Scholar] [CrossRef]
- Dai, J.; Mumper, R.J. Plant Phenolics: Extraction; Analysis and Their Antioxidant and Anticancer Properties. Molecules 2010, 15, 7313–7352. [Google Scholar] [CrossRef]
- Bouyahya, A.; Guaouguaou, F.E.; El Omari, N.; El Menyiy, N.; Balahbib, A.; El-Shazly, M.; Bakri, Y. Anti-inflammatory and analgesic properties of Moroccan medicinal plants: Phytochemistry; in vitro and in vivo investigations; mechanism insights; clinical evidences and perspectives. J. Pharm. Anal. 2022, 12, 35–57. [Google Scholar] [CrossRef]
- Nouri, Z.; Fakhri, S.; Nouri, K.; Wallace, C.E.; Farzaei, M.H.; Bishayee, A. Targeting Multiple Signaling Pathways in Cancer: The Rutin Therapeutic Approach. Cancers 2020, 12, 2276. [Google Scholar] [CrossRef]
- Milojković-Opsenica, D.; Andrić, F.; Šegan, S.; Trifković, J.; Tešić, Ž. Thin-layer chromatography in quantitative structure-activity relationship studies. J. Liq. Chromatogr. Relat. Technol. 2018, 41, 272–281. [Google Scholar] [CrossRef]
- Chung, Y.C.; Lee, J.N.; Kim, B.S.; Hyun, C.-G. Anti-Melanogenic Effects of Paederia foetida L. Extract via MAPK Signaling-Mediated MITF Downregulation. Cosmetics 2021, 8, 22. [Google Scholar] [CrossRef]
- Pradhan, N.; Parbin, S.; Kausar, C.; Kar, S.; Mawatwal, S.; Das, L.; Deb, M.; Sengupta, D.; Dhiman, R.; Patra, S.K. Paederia foetida induces anticancer activity by modulating chromatin modification enzymes and altering pro-inflammatory cytokine gene expression in human prostate cancer cells. Food Chem. Toxicol. 2019, 130, 161–173. [Google Scholar] [CrossRef] [PubMed]
- Priyanto, J.A.; Prastya, M.E.; Primahana, G.; Randy, A.; Utami, D.T. Paederia foetida Linn Leaves-Derived Extract Showed Antioxidant and Cytotoxic Properties Against Breast Carcinoma Cell. HAYATI J. Biosci. 2023, 30, 271–280. [Google Scholar] [CrossRef]
- Di Meo, M.C.; De Cristofaro, G.A.; Imperatore, R.; Rocco, M.; Giaquinto, D.; Palladino, A.; Zotti, T.; Vito, P.; Paolucci, M.; Varricchio, E. Microwave-Assisted Extraction of Olive Leaf from Five Italian Cultivars: Effects of Harvest-Time and Extraction Conditions on Phenolic Compounds and In Vitro Antioxidant Properties. ACS Food Sci. Technol. 2022, 2, 31–40. [Google Scholar] [CrossRef]
- Arvouet-Grand, A.; Vennat, B.; Pourrat, A.; Legret, P. Standardisation d’un extrait de propolis et identification des principaux constituants [Standardization of propolis extract and identification of principal constituents]. J. Pharm. Belg. 1994, 49, 462–468. [Google Scholar]
- De Cristofaro, G.A.; Paolucci, M.; Pappalardo, D.; Pagliarulo, C.; Sessini, V.; Lo Re, G. Interface interactions driven antioxidant properties in olive leaf extract/cellulose nanocrystals/poly(butylene adipate-co-terephthalate) biomaterials. Int. J. Biol. Macromol. 2024, 272, 132509. [Google Scholar] [CrossRef]
- Seruga, M.; Novak, I.; Jakobek, L. Determination of Polyphenols Content and Antioxidant Activity of Some Red Wines by Differential Pulse Voltammetry; HPLC and Spectrophotometric Methods. Food Chem. 2011, 124, 1208–1216. [Google Scholar] [CrossRef]
- Kalt, W.; MacKinnon, S.; McDonald, J.; Vinqvist, M.; Craft, C.; Howell, A. Phenolics of Vaccinium berries and other fruit crops. J. Sci. Food Agric. 2008, 88, 68–76. [Google Scholar] [CrossRef]
- Tsao, R.; Yang, R. Optimization of a new mobil Phase to Know the complex and real polyphenolic composition: Towards a total phenolic index using High-performance liquid chromatography. J. Chromatogr. A 2023, 1018, 29–40. [Google Scholar] [CrossRef]
- Sateriale, D.; Facchiano, S.; Colicchio, R.; Pagliuca, C.; Varricchio, E.; Paolucci, M.; Volpe, M.G.; Salvatore, P.; Pagliarulo, C. In vitro Synergy of Polyphenolic Extracts from Honey; Myrtle and Pomegranate Against Oral Pathogens; S. mutans and R. dentocariosa. Front. Microbiol. 2020, 11, 1465. [Google Scholar] [CrossRef]
- Sateriale, D.; Forgione, G.; De Cristofaro, G.A.; Continisio, L.; Pagliuca, C.; Colicchio, R.; Salvatore, P.; Paolucci, M.; Pagliarulo, C. Eco-Friendly Sanitization of Indoor Environments: Effectiveness of Thyme Essential Oil in Controlling Bioaerosol Levels and Disinfecting Surfaces. BioTech 2024, 13, 12. [Google Scholar] [CrossRef]
- Perez, C. Antibiotic assay by agar-well diffusion method. Acta Biol. Med. Exp. 1990, 15, 113–115. [Google Scholar]
- Clinical and Laboratory Standards Institute (CLSI). Performance Standards for Antibacterial Susceptibility Testing, 32nd ed.; CLSI Supplement M100; Clinical and Laboratory Standards Institute: Wayne, PA, USA, 2022; ISBN 978-1-68440-134-5. [Google Scholar]
- Clinical and Laboratory Standards Institute (CLSI). Methods for Dilution Antibacterial Susceptibility Tests for Bacteria that Grow Aerobically; Approved Standard-Tenth Edition; CLSI Document M07-A10; Clinical and Laboratory Standard Institute: Waine, PA, USA, 2015; Available online: https://clsi.org/media/1632/m07a10_sample.pdf (accessed on 25 November 2024).





| Extract | TPC (mg GAE g−1) | TFC (mg QuercetinE g−1) | % Oxidative Inhibition | 
|---|---|---|---|
| PG1 | 40.58 ± 4.25 a | 30.07 ± 1.09 a | 83.95 ± 0.87 a | 
| PG2 | 33.05 ± 5.31 a | 32.06 ± 0.29 a | 71.53 ± 1.56 b | 
| PG3 | 37.19 ± 2.66 a | 31.76 ± 0.99 a | 77.62 ± 4.20 a | 
| PG4 | 21.62 ± 2.39 b | 19.52 ± 1.41 b | 58.86 ± 4.36 c | 
| PG5 | 23.23 ± 0.74 b | 26.63 ± 3.19 a | 59.09 ± 1.75 c | 
| TPC | Flavonoids | ||
|---|---|---|---|
| Total Phenolic Content (CGAE) (Evaluated at 280 nm) | Flavan-3-ols and Flavanones (CNE) (Evaluated at FDL 280–330 nm) | Flavonols and Flavones (CRE) (Evaluated at 360 nm) | |
| PG1 | 15.81 ± 1.28 a | 3.55 ± 0.15 a | 6.61 ± 0.40 c | 
| PG2 | 5.33 ± 0.37 b | 2.34 ± 0.15 c | 2.11 ± 0.2 e | 
| PG3 | 14.05 ± 1.14 a | 2.51 ± 0.39 c | 5.31 ± 0.58 d | 
| PG4 | 15.51 ± 0.96 a | 1.29 ± 0.30 d | 7.48 ± 0.28 b | 
| PG5 | 17.14 ± 1.57 a | 3.09 ± 0.16 b | 8.77 ± 0.58 a | 
| Isolation Source | Microorganism | Tested Concentration | MDIZ (mm) | |||||
|---|---|---|---|---|---|---|---|---|
| PG1 | PG2 | PG3 | PG4 | PG5 | Positive Control | |||
| Oral cavity | S. mutans ATCC 25175 | 10 mg/well | 0.00 ± 0.00 **** a | 0.00 ± 0.00 **** a | 0.00 ± 0.00 **** a | 0.00 ± 0.00 **** a | 0.00 ± 0.00 **** a | AMX 0.5 mg/well 37.67 ± 0.47 b | 
| 20 mg/well | 0.00 ± 0.00 **** a | 0.00 ± 0.00 **** a | 0.00 ± 0.00 **** a | 0.00 ± 0.00 **** a | 0.00 ± 0.00 **** a | |||
| R. dentocariosa | 10 mg/well | 0.00 ± 0.00 **** a | 0.00 ± 0.00 **** a | 0.00 ± 0.00 **** a | 0.00 ± 0.00 **** a | 0.00 ± 0.00 **** a | AMX 0.5 mg/well 12.57 ± 0.47 b | |
| 20 mg/well | 0.00 ± 0.00 **** a | 0.00 ± 0.00 **** a | 0.00 ± 0.00 **** a | 0.00 ± 0.00 **** a | 0.00 ± 0.00 **** a | |||
| P. aeruginosa | 10 mg/well | 0.00 ± 0.00 **** a | 0.00 ± 0.00 **** a | 0.00 ± 0.00 **** a | 0.00 ± 0.00 **** a | 0.00 ± 0.00 **** a | GNT 0.5 mg/well 24.00 ± 0.98 b | |
| 20 mg/well | 0.00 ± 0.00 **** a | 0.00 ± 0.00 **** a | 0.00 ± 0.00 **** a | 0.00 ± 0.00 **** a | 0.00 ± 0.00 **** a | |||
| C. albicans | 10 mg/well | 0.00 ± 0.00 **** a | 0.00 ± 0.00 **** a | 0.00 ± 0.00 **** a | 0.00 ± 0.00 **** a | 0.00 ± 0.00 **** a | TCZ 0.2 mg/well 25.33 ± 0.47 b | |
| 20 mg/well | 0.00 ± 0.00 **** a | 0.00 ± 0.00 **** a | 0.00 ± 0.00 **** a | 0.00 ± 0.00 **** a | 0.00 ± 0.00 **** a | |||
| C. parapsilosis | 10 mg/well | 0.00 ± 0.00 **** a | 0.00 ± 0.00 **** a | 0.00 ± 0.00 **** a | 0.00 ± 0.00 **** a | 0.00 ± 0.00 **** a | TCZ 0.2 mg/well 27.00 ± 1.00 b | |
| 20 mg/well | 0.00 ± 0.00 **** a | 0.00 ± 0.00 **** a | 0.00 ± 0.00 **** a | 0.00 ± 0.00 **** a | 0.00 ± 0.00 **** a | |||
| Food | E. coli ATCC 25922 | 10 mg/well | 0.00 ± 0.00 **** a | 0.00 ± 0.00 **** a | 0.00 ± 0.00 **** a | 0.00 ± 0.00 **** a | 0.00 ± 0.00 **** a | GNT 0.6 mg/well 26.00 ± 1.00 b | 
| 20 mg/well | 0.00 ± 0.00 **** a | 0.00 ± 0.00 **** a | 0.00 ± 0.00 **** a | 0.00 ± 0.00 **** a | 0.00 ± 0.00 **** a | |||
| S. aureus ATCC 25923 | 10 mg/well | 0.00 ± 0.00 **** a | 0.00 ± 0.00 **** a | 0.00 ± 0.00 **** a | 0.00 ± 0.00 **** a | 0.00 ± 0.00 **** a | VNC 0.4 mg/well 22.33 ± 0.47 b | |
| 20 mg/well | 0.00 ± 0.00 **** a | 0.00 ± 0.00 **** a | 0.00 ± 0.00 **** a | 0.00 ± 0.00 **** a | 0.00 ± 0.00 **** a | |||
| B. cereus ATCC 14579 | 10 mg/well | 0.00 ± 0.00 **** a | 0.00 ± 0.00 **** a | 0.00 ± 0.00 **** a | 0.00 ± 0.00 **** a | 0.00 ± 0.00 **** a | AMX 0.5 mg/well 14.00 ± 1.00 b | |
| 20 mg/well | 0.00 ± 0.00 **** a | 0.00 ± 0.00 **** a | 0.00 ± 0.00 **** a | 0.00 ± 0.00 **** a | 0.00 ± 0.00 **** a | |||
| S. enterica ATCC 14028 | 10 mg/well | 0.00 ± 0.00 **** a | 0.00 ± 0.00 **** a | 0.00 ± 0.00 **** a | 0.00 ± 0.00 **** a | 0.00 ± 0.00 **** a | GNT 0.6 mg/well 23.50 ± 0.50 b | |
| 20 mg/well | 0.00 ± 0.00 **** a | 0.00 ± 0.00 **** a | 0.00 ± 0.00 **** a | 0.00 ± 0.00 **** a | 0.00 ± 0.00 **** a | |||
| L. monocytogenes | 10 mg/well | 0.00 ± 0.00 **** a | 0.00 ± 0.00 **** a | 0.00 ± 0.00 **** a | 20.00 ± 1.50 **** b | 20.50 ± 0.50 **** b | AMP 0.3 mg/well 11.50 ± 0.71 d | |
| 20 mg/well | 0.00 ± 0.00 **** a | 0.00 ± 0.00 **** a | 0.00 ± 0.00 **** a | 23.50 ± 0.50 **** c | 25.00 ± 0.00 **** c | |||
| Skin and mucous membranes | K. pneumoniae | 10 mg/well | 0.00 ± 0.00 **** a | 0.00 ± 0.00 **** a | 0.00 ± 0.00 **** a | 0.00 ± 0.00 **** a | 0.00 ± 0.00 **** a | GNT 1.2 mg/well 23.50 ± 0.71 b | 
| 20 mg/well | 0.00 ± 0.00 **** a | 0.00 ± 0.00 **** a | 0.00 ± 0.00 **** a | 0.00 ± 0.00 **** a | 0.00 ± 0.00 **** a | |||
| S. epidermidis | 10 mg/well | 0.00 ± 0.00 **** a | 0.00 ± 0.00 **** a | 0.00 ± 0.00 **** a | 0.00 ± 0.00 **** a | 0.00 ± 0.00 **** a | VNC 0.4 mg/well 23.50 ± 0.71 b | |
| 20 mg/well | 0.00 ± 0.00 **** a | 0.00 ± 0.00 **** a | 0.00 ± 0.00 **** a | 0.00 ± 0.00 **** a | 0.00 ± 0.00 **** a | |||
| S. haemolyticus | 10 mg/well | 0.00 ± 0.00 **** a | 0.00 ± 0.00 **** a | 0.00 ± 0.00 **** a | 0.00 ± 0.00 **** a | 0.00 ± 0.00 **** a | VNC 0.4 mg/well 21.50 ± 0.71 b | |
| 20 mg/well | 0.00 ± 0.00 **** a | 0.00 ± 0.00 **** a | 0.00 ± 0.00 **** a | 0.00 ± 0.00 **** a | 0.00 ± 0.00 **** a | |||
| C. albicans | 10 mg/well | 0.00 ± 0.00 **** a | 0.00 ± 0.00 **** a | 0.00 ± 0.00 **** a | 0.00 ± 0.00 **** a | 0.00 ± 0.00 **** a | TCZ 0.2 mg/well 24.50 ± 1.50 b | |
| 20 mg/well | 0.00 ± 0.00 **** a | 0.00 ± 0.00 **** a | 0.00 ± 0.00 **** a | 0.00 ± 0.00 **** a | 0.00 ± 0.00 **** a | |||
| Environment | P. aeruginosa | 10 mg/well | 0.00 ± 0.00 **** a | 0.00 ± 0.00 **** a | 0.00 ± 0.00 **** a | 25.00 ± 0.00 b | 25.50 ± 0.71 b | GNT 0.25 mg/well 25.33 ± 0.47 b | 
| 20 mg/well | 0.00 ± 0.00 **** a | 0.00 ± 0.00 **** a | 0.00 ± 0.00 **** a | 30.00 ± 0.00 **** c | 32.00 ± 0.00 **** c | |||
| P. fluorescens | 10 mg/well | 0.00 ± 0.00 **** a | 0.00 ± 0.00 **** a | 0.00 ± 0.00 **** a | 0.00 ± 0.00 **** a | 0.00 ± 0.00 **** a | GNT 0.25 mg/well 19.50 ± 2.50 b | |
| 20 mg/well | 0.00 ± 0.00 **** a | 0.00 ± 0.00 **** a | 0.00 ± 0.00 **** a | 0.00 ± 0.00 **** a | 0.00 ± 0.00 **** a | |||
| R. radiobacter | 10 mg/well | 0.00 ± 0.00 **** a | 0.00 ± 0.00 **** a | 0.00 ± 0.00 **** a | 0.00 ± 0.00 **** a | 0.00 ± 0.00 **** a | GNT 0.25 mg/well 27.50 ± 2.50 b | |
| 20 mg/well | 0.00 ± 0.00 **** a | 0.00 ± 0.00 **** a | 0.00 ± 0.00 **** a | 0.00 ± 0.00 **** a | 0.00 ± 0.00 **** a | |||
| Y. enterocolitica | 10 mg/well | 0.00 ± 0.00 **** a | 0.00 ± 0.00 **** a | 0.00 ± 0.00 **** a | 0.00 ± 0.00 **** a | 0.00 ± 0.00 **** a | GNT 0.25 mg/well 22.50 ± 0.71 b | |
| 20 mg/well | 0.00 ± 0.00 **** a | 0.00 ± 0.00 **** a | 0.00 ± 0.00 **** a | 0.00 ± 0.00 **** a | 0.00 ± 0.00 **** a | |||
| B. subtilis | 10 mg/well | 0.00 ± 0.00 **** a | 0.00 ± 0.00 **** a | 0.00 ± 0.00 **** a | 0.00 ± 0.00 **** a | 0.00 ± 0.00 **** a | AMX 0.5 mg/well 19.00 ± 1.00 b | |
| 20 mg/well | 0.00 ± 0.00 **** a | 0.00 ± 0.00 **** a | 0.00 ± 0.00 **** a | 0.00 ± 0.00 **** a | 0.00 ± 0.00 **** a | |||
| Microorganisms | PG4 [mg mL−1] | PG5 [mg mL−1] | GNT [µg mL−1] | AMP [µg mL−1] | ||||
|---|---|---|---|---|---|---|---|---|
| MIC | MBC | MIC | MBC | MIC | MBC | MIC | MBC | |
| L. monocytogenes | 100 | 200 | 100 | 200 | nt | nt | 0.5 | 2.5 | 
| P. aeruginosa | 200 | >200 | 200 | >200 | <0.1 | 0.1 | nt | nt | 
| Extract | IC20 (24 h) (µg mL−1) | IC20 (48 h) (µg mL−1) | 
|---|---|---|
| PG1 | 168 ± 1.8 b | 283 ± 1.6 c | 
| PG2 | 360 ± 2.7 d | 258 ± 2.1 c | 
| PG3 | 528 ± 3.8 e | 600 ± 3.2 e | 
| PG4 | 170 ± 2.5 b | 246 ± 1.9 c | 
| PG5 | 125 ± 2.1 a | 240 ± 1.7 c | 
| Extract | Solvent | Ratio (w/v) | Temperature (°C) | Time (h) | 
|---|---|---|---|---|
| PG1 | H2O | 1:50 | 25 °C | 24 | 
| PG2 | H2O | 1:50 | 60 °C | 6 | 
| PG3 | H2O | 1:50 | 60 °C | 24 | 
| PG4 | EtOH 70% | 1:10 | 25 °C | 4 | 
| PG5 | EtOH 70% | 1:10 | 25 °C | 24 | 
| Disclaimer/Publisher’s Note: The statements, opinions and data contained in all publications are solely those of the individual author(s) and contributor(s) and not of MDPI and/or the editor(s). MDPI and/or the editor(s) disclaim responsibility for any injury to people or property resulting from any ideas, methods, instructions or products referred to in the content. | 
© 2024 by the authors. Licensee MDPI, Basel, Switzerland. This article is an open access article distributed under the terms and conditions of the Creative Commons Attribution (CC BY) license (https://creativecommons.org/licenses/by/4.0/).
Share and Cite
Rasoariseheno, F.J.; Fidanza, N.; Coccia, E.; Ratovomanarivo, D.J.; Sateriale, D.; Abbatiello, L.; Pagliarulo, C.; Filosa, R.; Rasoamananjara, J.A.; Paolucci, M. In Vitro Biological Activities of Paederia grandidieri Leaf Extracts. Int. J. Mol. Sci. 2024, 25, 12960. https://doi.org/10.3390/ijms252312960
Rasoariseheno FJ, Fidanza N, Coccia E, Ratovomanarivo DJ, Sateriale D, Abbatiello L, Pagliarulo C, Filosa R, Rasoamananjara JA, Paolucci M. In Vitro Biological Activities of Paederia grandidieri Leaf Extracts. International Journal of Molecular Sciences. 2024; 25(23):12960. https://doi.org/10.3390/ijms252312960
Chicago/Turabian StyleRasoariseheno, Faratiana Jenny, Nicoletta Fidanza, Elena Coccia, Dyana Jackson Ratovomanarivo, Daniela Sateriale, Lucia Abbatiello, Caterina Pagliarulo, Rosanna Filosa, Jeanne Angelphine Rasoamananjara, and Marina Paolucci. 2024. "In Vitro Biological Activities of Paederia grandidieri Leaf Extracts" International Journal of Molecular Sciences 25, no. 23: 12960. https://doi.org/10.3390/ijms252312960
APA StyleRasoariseheno, F. J., Fidanza, N., Coccia, E., Ratovomanarivo, D. J., Sateriale, D., Abbatiello, L., Pagliarulo, C., Filosa, R., Rasoamananjara, J. A., & Paolucci, M. (2024). In Vitro Biological Activities of Paederia grandidieri Leaf Extracts. International Journal of Molecular Sciences, 25(23), 12960. https://doi.org/10.3390/ijms252312960
 
        



 
                         
       