Calcium Indicators with Fluorescence Lifetime-Based Signal Readout: A Structure–Function Study
Abstract
1. Introduction
2. Results and Discussion
2.1. Genetic Constructs
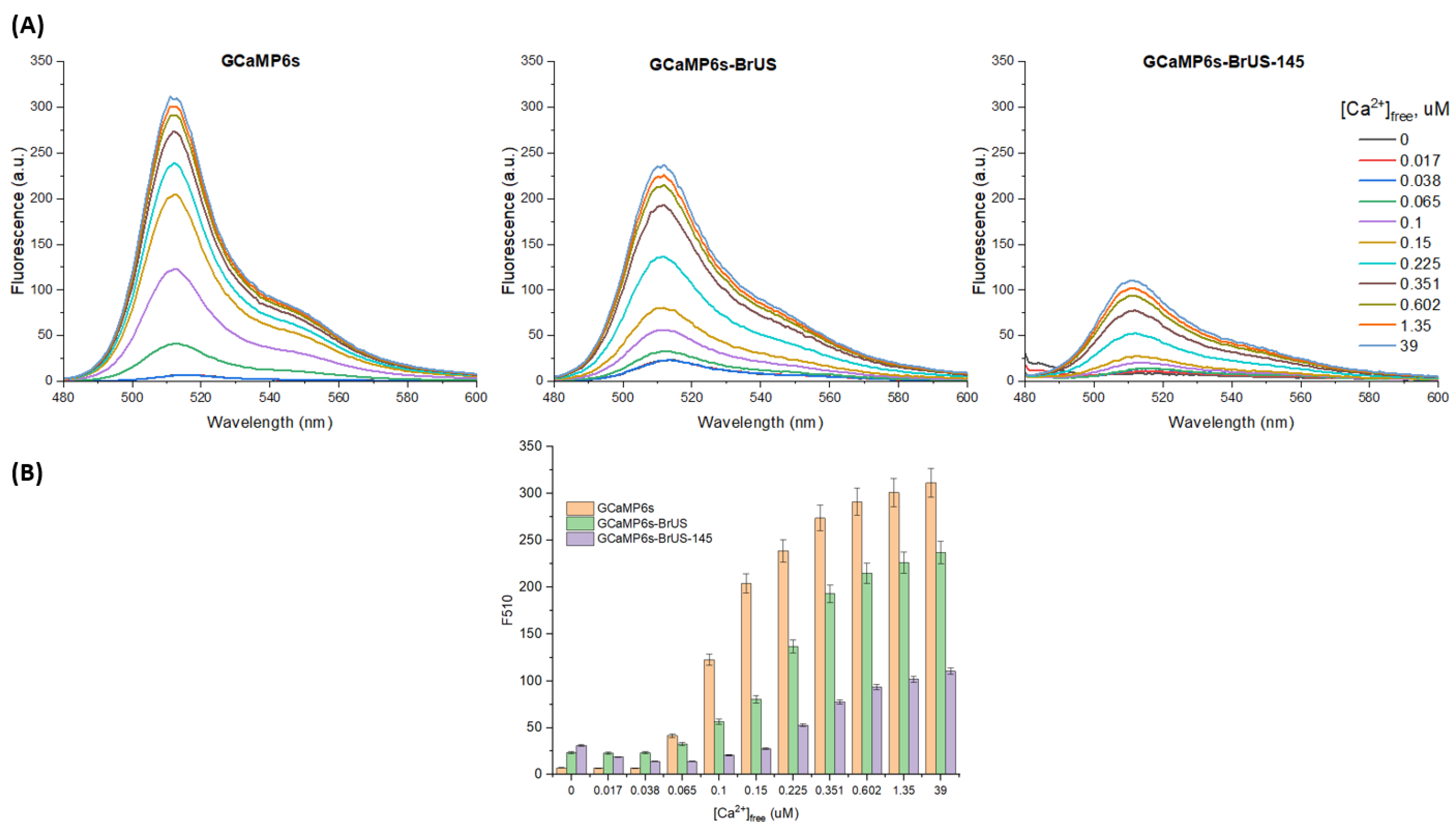
2.2. Spectral Properties and Calcium Sensitivity
2.3. Crystal Structure of GCaMP6s-BrUS and GCaMP6s-BrUS-145
- 1.
- The fluorescence lifetime sensitivity of the circularly permuted BrUSLEE to the analyte may be determined by the rigidity of its connection to the calcium-sensitive domain (up to the possibility of some conformational twisting of the chromophore in response to calcium binding). Since our X-ray data revealed a well-defined difference in the linker configurations between GCaMP6s-BrUS and GCaMP6s-BrUS-145, we proposed the following:
- (a)
- The neutralization of the possible contribution of the long-chain polar residue M314 by replacing it with a glycine residue;
- (b)
- The alteration of the linker mobility by replacing the long-chain charged residue D317 with glycine or serine, which are commonly used to adjust linker flexibility in chimeric proteins.
- 2.
- The key role in the conformationally dependent changes in the fluorescence lifetime of the BrUSLEE chromophore may be played by the (variable) solvent accessibility of the chromophore. In GCaMP6s-BrUS, it is primarily controlled by the R389 residue. We propose to replace the large side chain of arginine with three alternative substitutes: glycine, to radically disrupt this chromophore-protein wall interface region; threonine, a medium-sized polar residue capable of making this region more solvent-accessible while retaining some “protection” of the chromophore; and lysine, a long-chain charged residue that can sterically act similarly to the original arginine but with a higher chain mobility and fewer valencies for hydrogen bond formation.
2.4. Structure-Guided Mutants, Their Properties, and Further Modification
3. Materials and Methods
3.1. Genetic Engineering
3.1.1. Genetic Engineering of GCaMP6s-BrUS and GCaMP6s-BrUS-145 Constructs
3.1.2. Site-Directed Mutagenesis of GCaMP6s-BrUS
3.1.3. Random Mutagenesis by PCR
3.1.4. Screening of Random Variant Libraries
3.2. Protein Expression, Purification, and Crystallization
3.2.1. Protein Expression and Isolation
3.2.2. Protein Purification
Immobilized Metal Affinity Chromatography
Anion-Exchange Chromatography
Size-Exclusion Chromatography
Denaturing Polyacrylamide Gel Electrophoresis
3.2.3. Protein Crystallization
3.3. X-Ray Data Processing Structure Solution and Refinement
3.4. Absorption and Fluorescence Spectroscopy
3.4.1. General Information and Full-Spectra Recording
3.4.2. Time-Resolved Fluorescence Spectroscopy
3.5. Calcium Sensitivity Measurements
4. Conclusions
Supplementary Materials
Author Contributions
Funding
Institutional Review Board Statement
Informed Consent Statement
Data Availability Statement
Acknowledgments
Conflicts of Interest
References
- Lu, J.; Li, J. Label-Free Imaging of Dynamic and Transient Calcium Signaling in Single Cells. Angew. Chem. Int. Ed. 2015, 54, 13576–13580. [Google Scholar] [CrossRef] [PubMed]
- Zhou, X.; Belavek, K.J.; Miller, E.W. Origins of Ca2+ Imaging with Fluorescent Indicators. Biochemistry 2021, 60, 3547–3554. [Google Scholar] [CrossRef] [PubMed]
- Yang, Y.; Li, B.; Li, Y. Genetically Encoded Sensors for the In Vivo Detection of Neurochemical Dynamics. Annu. Rev. Anal. Chem. 2024, 17, 367–392. [Google Scholar] [CrossRef] [PubMed]
- Ghosh, S.; Dahiya, M.; Kumar, A.; Bheri, M.; Pandey, G.K. Calcium imaging: A technique to monitor calcium dynamics in biological systems. Physiol. Mol. Biol. Plants 2023, 29, 1777–1811. [Google Scholar] [CrossRef] [PubMed]
- Zhang, Y.; Rózsa, M.; Liang, Y.; Bushey, D.; Wei, Z.; Zheng, J.; Reep, D.; Broussard, G.J.; Tsang, A.; Tsegaye, G.; et al. Fast and sensitive GCaMP calcium indicators for imaging neural populations. Nature 2023, 615, 884–891. [Google Scholar] [CrossRef]
- Inoue, M. Genetically encoded calcium indicators to probe complex brain circuit dynamics in vivo. Neurosci. Res. 2021, 169, 2–8. [Google Scholar] [CrossRef]
- Qian, Y.; Piatkevich, K.D.; McLarney, B.; Abdelfattah, A.S.; Mehta, S.; Murdock, M.H.; Gottschalk, S.; Molina, R.S.; Zhang, W.; Chen, Y.; et al. A genetically encoded near-infrared fluorescent calcium ion indicator. Nat. Methods 2019, 16, 171–174. [Google Scholar] [CrossRef]
- Shemetov, A.A.; Monakhov, M.V.; Zhang, Q.; Canton-Josh, J.E.; Kumar, M.; Chen, M.; Matlashov, M.E.; Li, X.; Yang, W.; Nie, L.; et al. A near-infrared genetically encoded calcium indicator for in vivo imaging. Nat. Biotechnol. 2021, 39, 368–377. [Google Scholar] [CrossRef]
- Baubet, V.; Le Mouellic, H.; Campbell, A.K.; Lucas-Meunier, E.; Fossier, P.; Brûlet, P. Chimeric green fluorescent protein-aequorin as bioluminescent Ca2+ reporters at the single-cell level. Proc. Natl. Acad. Sci. USA 2000, 97, 7260–7265. [Google Scholar] [CrossRef]
- Tian, X.; Zhang, Y.; Li, X.; Xiong, Y.; Wu, T.; Ai, H.W. A luciferase prosubstrate and a red bioluminescent calcium indicator for imaging neuronal activity in mice. Nat. Commun. 2022, 13, 3967. [Google Scholar] [CrossRef]
- Hartung, J.E.; Gold, M.S. GCaMP as an indirect measure of electrical activity in rat trigeminal ganglion neurons. Cell Calcium 2020, 89, 102225. [Google Scholar] [CrossRef] [PubMed]
- Li, P.; Geng, X.; Jiang, H.; Caccavano, A.; Vicini, S.; Wu, J.Y. Measurements of Subthreshold and Fast Population Neuronal Activity with Genetically Encoded Calcium Indicator GCaMP-6f. bioRxiv 2018. [Google Scholar] [CrossRef]
- Dana, H.; Sun, Y.; Mohar, B.; Hulse, B.K.; Kerlin, A.M.; Hasseman, J.P.; Tsegaye, G.; Tsang, A.; Wong, A.; Patel, R.; et al. High-performance calcium sensors for imaging activity in neuronal populations and microcompartments. Nat. Methods 2019, 16, 649–657. [Google Scholar] [CrossRef] [PubMed]
- Suzuki, J.; Kanemaru, K.; Ishii, K.; Ohkura, M.; Okubo, Y.; Iino, M. Imaging intraorganellar Ca2+ at subcellular resolution using CEPIA. Nat. Commun. 2014, 5, 4153. [Google Scholar] [CrossRef] [PubMed]
- Inoue, M.; Manita, S.; Horigane, S.I.; Sakamoto, M.; Kawakami, R.; Yamaguchi, K.; Otomo, K.; Yokoyama, H.; Kim, R.; Yokoyama, T.; et al. Rational Engineering of XCaMPs, a Multicolor GECI Suite for In Vivo Imaging of Complex Brain Circuit Dynamics. Cell 2019, 177, 1346–1360.e24. [Google Scholar] [CrossRef]
- Yokoyama, T.; Manita, S.; Uwamori, H.; Tajiri, M.; Imayoshi, I.; Yagishita, S.; Murayama, M.; Kitamura, K.; Sakamoto, M. A multicolor suite for deciphering population coding of calcium and cAMP in vivo. Nat. Methods 2024, 21, 897–907. [Google Scholar] [CrossRef]
- Sakamoto, M.; Yokoyama, T. Probing neuronal activity with genetically encoded calcium and voltage fluorescent indicators. Neurosci. Res. 2024, in press. [CrossRef]
- Sakamoto, M.; Inoue, M.; Takeuchi, A.; Kobari, S.; Yokoyama, T.; Horigane, S.I.; Takemoto-Kimura, S.; Abe, M.; Sakimura, K.; Kano, M.; et al. A Flp-dependent G-CaMP9a transgenic mouse for neuronal imaging in vivo. Cell Rep. Methods 2022, 2, 100168. [Google Scholar] [CrossRef]
- Chen, T.-W.; Wardill, T.J.; Sun, Y.; Pulver, S.R.; Renninger, S.L.; Baohan, A.; Schreiter, E.R.; Kerr, R.A.; Orger, M.B.; Jayaraman, V.; et al. Ultrasensitive fluorescent proteins for imaging neuronal activity. Nature 2013, 499, 295–300. [Google Scholar] [CrossRef]
- Zarowny, L.; Aggarwal, A.; Rutten, V.M.S.; Kolb, I.; GENIE Project; Patel, R.; Huang, H.Y.; Chang, Y.F.; Phan, T.; Kanyo, R.; et al. Bright and High-Performance Genetically Encoded Ca2+ Indicator Based on mNeonGreen Fluorescent Protein. ACS Sens. 2020, 5, 1959–1968. [Google Scholar] [CrossRef]
- Subach, O.M.; Subach, F.V. GAF-CaMP3–sfGFP, An Enhanced Version of the Near-Infrared Genetically Encoded Positive Phytochrome-Based Calcium Indicator for the Visualization of Neuronal Activity. Int. J. Mol. Sci. 2020, 21, 6883. [Google Scholar] [CrossRef] [PubMed]
- Deo, C.; Abdelfattah, A.S.; Bhargava, H.K.; Berro, A.J.; Falco, N.; Farrants, H.; Moeyaert, B.; Chupanova, M.; Lavis, L.D.; Schreiter, E.R. The HaloTag as a general scaffold for far-red tunable chemigenetic indicators. Nat. Chem. Biol. 2021, 17, 718–723. [Google Scholar] [CrossRef]
- Miyawaki, A.; Llopis, J.; Heim, R.; McCaffery, J.M.; Adams, J.A.; Ikura, M.; Tsien, R.Y. Fluorescent indicators for Ca2+based on green fluorescent proteins and calmodulin. Nature 1997, 388, 882–887. [Google Scholar] [CrossRef] [PubMed]
- Rose, T.; Goltstein, P.M.; Portugues, R.; Griesbeck, O. Putting a finishing touch on GECIs. Front. Mol. Neurosci. 2014, 7, 88. [Google Scholar] [CrossRef] [PubMed]
- Thestrup, T.; Litzlbauer, J.; Bartholomäus, I.; Mues, M.; Russo, L.; Dana, H.; Kovalchuk, Y.; Liang, Y.; Kalamakis, G.; Laukat, Y.; et al. Optimized ratiometric calcium sensors for functional in vivo imaging of neurons and T lymphocytes. Nat. Methods 2014, 11, 175–182. [Google Scholar] [CrossRef]
- Mank, M.; Santos, A.F.; Direnberger, S.; Mrsic-Flogel, T.D.; Hofer, S.B.; Stein, V.; Hendel, T.; Reiff, D.F.; Levelt, C.; Borst, A.; et al. A genetically encoded calcium indicator for chronic in vivo two-photon imaging. Nat. Methods 2008, 5, 805–811. [Google Scholar] [CrossRef]
- Subach, O.M.; Varfolomeeva, L.; Vlaskina, A.V.; Agapova, Y.K.; Nikolaeva, A.Y.; Piatkevich, K.D.; Patrushev, M.V.; Boyko, K.M.; Subach, F.V. FNCaMP, ratiometric green calcium indicator based on mNeonGreen protein. Biochem. Biophys. Res. Commun. 2023, 665, 169–177. [Google Scholar] [CrossRef]
- Hashizume, R.; Fujii, H.; Mehta, S.; Ota, K.; Qian, Y.; Zhu, W.; Drobizhev, M.; Nasu, Y.; Zhang, J.; Bito, H.; et al. A genetically encoded far-red fluorescent calcium ion biosensor derived from a biliverdin-binding protein. Protein Sci. 2022, 31, e4440. [Google Scholar] [CrossRef]
- Shen, Y.; Dana, H.; Abdelfattah, A.S.; Patel, R.; Shea, J.; Molina, R.S.; Rawal, B.; Rancic, V.; Chang, Y.F.; Wu, L.; et al. A genetically encoded Ca2+ indicator based on circularly permutated sea anemone red fluorescent protein eqFP578. BMC Biol. 2018, 16, 9. [Google Scholar] [CrossRef]
- Erofeev, A.I.; Vinokurov, E.K.; Vlasova, O.L.; Bezprozvanny, I.B. GCaMP, a Family of Single-Fluorophore Genetically Encoded Calcium Indicators. J. Evol. Biochem. Physiol. 2023, 59, 1195–1214. [Google Scholar] [CrossRef]
- Gu, W.; Yang, Y.; Wang, Y.; Li, J.; Li, W.; Zhang, X.; Dong, H.; Wang, Y. A bright cyan fluorescence calcium indicator for mitochondrial calcium with minimal interference from physiological pH fluctuations. Biophys. Rep. 2024, 10, 1. [Google Scholar] [CrossRef] [PubMed]
- Subach, O.M.; Sotskov, V.P.; Plusnin, V.V.; Gruzdeva, A.M.; Barykina, N.V.; Ivashkina, O.I.; Anokhin, K.V.; Nikolaeva, A.Y.; Korzhenevskiy, D.A.; Vlaskina, A.V.; et al. Novel Genetically Encoded Bright Positive Calcium Indicator NCaMP7 Based on the mNeonGreen Fluorescent Protein. Int. J. Mol. Sci. 2020, 21, 1644. [Google Scholar] [CrossRef] [PubMed]
- Subach, O.M.; Vlaskina, A.V.; Agapova, Y.K.; Nikolaeva, A.Y.; Varizhuk, A.M.; Podgorny, O.V.; Piatkevich, K.D.; Patrushev, M.V.; Boyko, K.M.; Subach, F.V. YTnC2, an improved genetically encoded green calcium indicator based on toadfish troponin C. FEBS Open Bio 2023, 13, 2047–2060. [Google Scholar] [CrossRef]
- Li, J.; Shang, Z.; Chen, J.H.; Gu, W.; Yao, L.; Yang, X.; Sun, X.; Wang, L.; Wang, T.; Liu, S.; et al. Engineering of NEMO as calcium indicators with large dynamics and high sensitivity. Nat. Methods 2023, 20, 918–924. [Google Scholar] [CrossRef] [PubMed]
- Wait, S.J.; Expòsit, M.; Lin, S.; Rappleye, M.; Lee, J.D.; Colby, S.A.; Torp, L.; Asencio, A.; Smith, A.; Regnier, M.; et al. Machine learning-guided engineering of genetically encoded fluorescent calcium indicators. Nat. Comput. Sci. 2024, 4, 224–236. [Google Scholar] [CrossRef]
- Subach, O.M.; Vlaskina, A.V.; Agapova, Y.K.; Korzhenevskiy, D.A.; Nikolaeva, A.Y.; Varizhuk, A.M.; Subach, M.F.; Patrushev, M.V.; Piatkevich, K.D.; Boyko, K.M.; et al. cNTnC and fYTnC2, Genetically Encoded Green Calcium Indicators Based on Troponin C from Fast Animals. Int. J. Mol. Sci. 2022, 23, 14614. [Google Scholar] [CrossRef]
- Koveal, D. Functional principles of genetically encoded fluorescent biosensors for metabolism and their quantitative use. J. Neurochem. 2024, 168, 496–505. [Google Scholar] [CrossRef]
- Van Der Linden, F.H.; Mahlandt, E.K.; Arts, J.J.G.; Beumer, J.; Puschhof, J.; de Man, S.M.A.; Chertkova, A.O.; Ponsioen, B.; Clevers, H.; van Buul, J.D.; et al. A turquoise fluorescence lifetime-based biosensor for quantitative imaging of intracellular calcium. Nat. Commun. 2021, 12, 7159. [Google Scholar] [CrossRef]
- Vu, C.Q.; Arai, S. Quantitative Imaging of Genetically Encoded Fluorescence Lifetime Biosensors. Biosensors 2023, 13, 939. [Google Scholar] [CrossRef]
- Díaz-García, C.M.; Mongeon, R.; Lahmann, C.; Koveal, D.; Zucker, H.; Yellen, G. Neuronal Stimulation Triggers Neuronal Glycolysis and Not Lactate Uptake. Cell Metab. 2017, 26, 361–374.e4. [Google Scholar] [CrossRef]
- Cho, J.-H.; Swanson, C.J.; Chen, J.; Li, A.; Lippert, L.G.; Boye, S.E.; Rose, K.; Sivaramakrishnan, S.; Chuong, C.M.; Chow, R.H. The GCaMP-R Family of Genetically Encoded Ratiometric Calcium Indicators. ACS Chem. Biol. 2017, 12, 1066–1074. [Google Scholar] [CrossRef] [PubMed]
- Demas, J.; Manley, J.; Tejera, F.; Barber, K.; Kim, H.; Traub, F.M.; Chen, B.; Vaziri, A. High-speed, cortex-wide volumetric recording of neuroactivity at cellular resolution using light beads microscopy. Nat. Methods 2021, 18, 1103–1111. [Google Scholar] [CrossRef] [PubMed]
- Manley, J.; Lu, S.; Barber, K.; Demas, J.; Kim, H.; Meyer, D.; Traub, F.M.; Vaziri, A. Simultaneous, cortex-wide dynamics of up to 1 million neurons reveal unbounded scaling of dimensionality with neuron number. Neuron 2024, 112, 1694–1709.e5. [Google Scholar] [CrossRef] [PubMed]
- Cormack, B.P.; Valdivia, R.H.; Falkow, S. FACS-optimized mutants of the green fluorescent protein (GFP). Gene 1996, 173, 33–38. [Google Scholar] [CrossRef] [PubMed]
- Mamontova, A.V.; Solovyev, I.D.; Savitsky, A.P.; Shakhov, A.M.; Lukyanov, K.A.; Bogdanov, A.M. Bright GFP with subnanosecond fluorescence lifetime. Sci. Rep. 2018, 8, 13224. [Google Scholar] [CrossRef]
- Mamontova, A.V.; Shakhov, A.M.; Lukyanov, K.A.; Bogdanov, A.M. Deciphering the Role of Positions 145 and 165 in Fluorescence Lifetime Shortening in the EGFP Variants. Biomolecules 2020, 10, 1547. [Google Scholar] [CrossRef]
- Sen, T.; Mamontova, A.V.; Titelmayer, A.V.; Shakhov, A.M.; Astafiev, A.A.; Acharya, A.; Lukyanov, K.A.; Krylov, A.I.; Bogdanov, A.M. Influence of the First Chromophore-Forming Residue on Photobleaching and Oxidative Photoconversion of EGFP and EYFP. Int. J. Mol. Sci. 2019, 20, 5229. [Google Scholar] [CrossRef]
- Mamontova, A.V.; Simonyan, T.R.; Lukyanov, K.A.; Bogdanov, A.M. Circular Permutants of BrUSLEE Protein as Fluorescent pH Indicators. Russ. J. Bioorganic Chem. 2022, 48, 850–853. [Google Scholar] [CrossRef]
- Ryu, J.; Kim, J.; Kim, H.; Jeong, J.H.; Lee, H.J.; Yoo, H.; Gweon, D.G. High-speed time-resolved laser-scanning microscopy using the line-to-pixel referencing method. Appl. Opt. 2016, 55, 9033. [Google Scholar] [CrossRef]
- Rakymzhan, A.; Radbruch, H.; Niesner, R.A. Quantitative Imaging of Ca2+ by 3D–FLIM in Live Tissues. In Multi-Parametric Live Cell Microscopy of 3D Tissue Models, Advances in Experimental Medicine and Biology; Dmitriev, R.I., Ed.; Springer International Publishing: Cham, Switzerland, 2017; pp. 135–141. [Google Scholar] [CrossRef]
- Hirvonen, L.M.; Nedbal, J.; Almutairi, N.; Phillips, T.A.; Becker, W.; Conneely, T.; Milnes, J.; Cox, S.; Stürzenbaum, S.; Suhling, K. Lightsheet fluorescence lifetime imaging microscopy with wide-field time-correlated single photon counting. J. Biophotonics 2020, 13, e201960099. [Google Scholar] [CrossRef]
- Park, J.; Gao, L. Advancements in fluorescence lifetime imaging microscopy Instrumentation: Towards high speed and 3D. Curr. Opin. Solid State Mater. Sci. 2024, 30, 101147. [Google Scholar] [CrossRef] [PubMed]
- Liu, X.; Lin, D.; Becker, W.; Niu, J.; Yu, B.; Liu, L.; Qu, J. Fast fluorescence lifetime imaging techniques: A review on challenge and development. J. Innov. Opt. Health Sci. 2019, 12, 1930003. [Google Scholar] [CrossRef]
- Zhang, Y.; Looger, L.L. Fast and sensitive GCaMP calcium indicators for neuronal imaging. J. Physiol. 2024, 602, 1595–1604. [Google Scholar] [CrossRef]
- Day-Cooney, J.; Dalangin, R.; Zhong, H.; Mao, T. Genetically encoded fluorescent sensors for imaging neuronal dynamics in vivo. J. Neurochem. 2023, 164, 284–308. [Google Scholar] [CrossRef] [PubMed]
- Zong, W.; Obenhaus, H.A.; Skytøen, E.R.; Eneqvist, H.; De Jong, N.L.; Vale, R.; Jorge, M.R.; Moser, M.B.; Moser, E.I. Large-scale two-photon calcium imaging in freely moving mice. Cell 2022, 185, 1240–1256.e30. [Google Scholar] [CrossRef]
- Grienberger, C.; Giovannucci, A.; Zeiger, W.; Portera-Cailliau, C. Two-photon calcium imaging of neuronal activity. Nat. Rev. Methods Primers 2022, 2, 67. [Google Scholar] [CrossRef]
- Kondo, M.; Kobayashi, K.; Ohkura, M.; Nakai, J.; Matsuzaki, M. Two-photon calcium imaging of the medial prefrontal cortex and hippocampus without cortical invasion. eLife 2017, 6, e26839. [Google Scholar] [CrossRef]
- Egashira, T.; Nakagawa-Tamagawa, N.; Abzhanova, E.; Kawae, Y.; Kohara, A.; Koitabashi, R.; Mizuno, H.; Mizuno, H. In vivo two-photon calcium imaging of cortical neurons in neonatal mice. STAR Protoc. 2023, 4, 102245. [Google Scholar] [CrossRef]
- Drobizhev, M.; Makarov, N.S.; Tillo, S.E.; Hughes, T.E.; Rebane, A. Two-photon absorption properties of fluorescent proteins. Nat. Methods 2011, 8, 393–399. [Google Scholar] [CrossRef]
- García-Nafría, J.; Watson, J.F.; Greger, I.H. IVA cloning: A single-tube universal cloning system exploiting bacterial In Vivo Assembly. Sci. Rep. 2016, 6, 27459. [Google Scholar] [CrossRef]
- Kabsch, W. XDS. Acta Crystallogr. Sect. D Biol. Crystallogr. 2010, 66, 125–132. [Google Scholar] [CrossRef] [PubMed]
- Vagin, A.; Teplyakov, A. MOLREP: An Automated Program for Molecular Replacement. J. Appl. Crystallogr. 1997, 30, 1022–1025. [Google Scholar] [CrossRef]
- Agirre, J.; Atanasova, M.; Bagdonas, H.; Ballard, C.B.; Baslé, A.; Beilsten-Edmands, J.; Borges, R.J.; Brown, D.G.; Burgos-Mármol, J.J.; Berrisford, J.M. The CCP 4 suite: Integrative software for macromolecular crystallography. Acta Crystallogr. Sect. Struct. Biol. 2023, 79, 449–461. [Google Scholar] [CrossRef] [PubMed]
- Murshudov, G.N.; Skubák, P.; Lebedev, A.A.; Pannu, N.S.; Steiner, R.A.; Nicholls, R.A.; Winn, M.D.; Long, F.; Vagin, A.A. REFMAC 5 for the refinement of macromolecular crystal structures. Acta Crystallogr. Sect. D Biol. Crystallogr. 2011, 67, 355–367. [Google Scholar] [CrossRef]
- Emsley, P.; Cowtan, K. Coot: Model-building tools for molecular graphics. Acta Crystallogr. Sect. D Biol. Crystallogr. 2004, 60, 2126–2132. [Google Scholar] [CrossRef]
- Shaner, N.C.; Steinbach, P.A.; Tsien, R.Y. A guide to choosing fluorescent proteins. Nat. Methods 2005, 2, 905–909. [Google Scholar] [CrossRef]






| Protein | Form | λex/λem, nm | FQY * | EC ** (M−1cm−1) | RB ***, % |
|---|---|---|---|---|---|
| GCaMP6s | Apo | (400 and 508)/515 | 0.42 ± 0.01 | 8220 ± 411 | 10.2 ± 0.6 |
| Sat | 497/509 | 0.56 ± 0.03 | 76,557 ± 827 | 130 ± 7 | |
| GCaMP6s-BrUS | Apo | (400 and 501)/515 | 0.124 ± 0.006 | 17,479 ± 735 | 5.3 ± 0.4 |
| Sat | 492/510 | 0.21 ± 0.01 | 70,884 ± 854 | 45 ± 6 | |
| GCaMP6s-BrUS-145 | Apo | (400 and 500)/515 | 0.023 ± 0.001 | 4676 ± 234 | 0.28 ± 0.01 |
| Sat | 493/512 | 0.131 ± 0.006 | 44,850 ± 442 | 13.6 ± 3.2 |
| Protein | Form | λex/λem | FQY * | EC ** | RB ***, % |
|---|---|---|---|---|---|
| GCaMP6s-BrUSLEE-389K | Apo | (392 and 501)/511 | 0.076 ± 0.002 | 6190 ± 115 | 1.12 ± 0.02 |
| Sat | 494/510 | 0.12 ± 0.01 | 83,463 ± 417 | 28 ± 2 | |
| GCaMP6s-BrUSLEE-389K/398G | Apo | (398 and 502)/515 | 0.22 ± 0.01 | 7373 ± 168 | 5.2 ± 0.4 |
| Sat | 496/512 | 0.30 ± 0.01 | 123,509 ± 354 | 112 ± 5 |
| Substitution | Primers for the 1st Step of the Overlap-Extension PCR | Primers for the 3rd Step of the Overlap-Extension PCR |
|---|---|---|
| T65G | forward 5′-ATGCGGATCCATGGCTAGCATGACTGGTGGACA-3′/reverse 5′-CACGCCGTAGCCCAGGGTGGT-3′ | forward 5′-ATGCGGATCCATGGCTAGCATGACTGGTGGACA-3′/reverse 5′-ATGCAAGCTTTCACTATTACTTCGCTGTCATCATTTGTACAAAC-3′ |
| forward 5′-GGCTACGGCGTGCAGTGCTTCAGC-3′/reverse 5′-ATGCAAGCTTTCACTATTACTTCGCTGTCATCATTTGTACAAAC-3′ | ||
| Y145M | forward 5′-ATGCGGATCCATGGCTAGCATGACTGGTGGACA-3′/reverse 5′-CAGTTGGTCCGGCATGTTGTACTCCAGCTT-3′ | |
| forward 5′-CTGGAGTACAACATGCTGCCGGACCAACTG-3′/reverse 5′-ATGCAAGCTTTCACTATTACTTCGCTGTCATCATTTGTACAAAC-3′ | ||
| F165Y | forward 5′-ATGCGGATCCATGGCTAGCATGACTGGTGGACA-3′/reverse 5′-GCGGATGTGGTAGTTCGCCTT-3′ | |
| forward 5′-TACCACATCCGCCACAACATCGAG-3′/reverse 5′-ATGCAAGCTTTCACTATTACTTCGCTGTCATCATTTGTACAAAC-3′ | ||
| deletion Y145 | forward 5′-ATGCGGATCCATGGCTAGCATGACTGGTGGACA-3′/reverse 5′-CAGTTGGTCCGGGTTGTACTCCAGCTT-3′ | |
| forward 5′-AAGCTGGAGTACAACCTGCCGGACCAACTG-3′/reverse 5′-ATGCAAGCTTTCACTATTACTTCGCTGTCATCATTTGTACAAAC-3′ |
| Substitution | Forward Primer | Reverse Primer |
|---|---|---|
| M314G | 5′-ACAAGCTGGAGTACAACGGCCTGCCGGACCAACTGACTGAAG-3′ | 5′-GTTGTACTCCAGCTTGTGCCCCAGGATGTTGCCGTCC-3′ |
| D317S | 5′-GTACAACATGCTGCCGAGCCAACTGACTGAAGAGCAGATCGCAG-3′ | 5′-CGGCAGCATGTTGTACTCCAGCTTGTGCCCCAGGATGTT-3′ |
| D317G | 5′-GTACAACATGCTGCCGGGCCAACTGACTGAAGAGCAGATCGCAG-3′ | 5′-CGGCAGCATGTTGTACTCCAGCTTGTGCCCCAGGATGTT-3′ |
| R389G | 5′-TCCTGACAATGATGGCAGGCAAAATGAAATACAGGGACACGGAAGAAGAAATTAGAG-3′ | 5′-TGCCATCATTGTCAGGAACTCAGGGAAGTCGATTGTGCC-3′ |
| R389K | 5′-TCCTGACAATGATGGCAAAAAAAATGAAATACAGGGACACGGAAGAAGAAATTAGAG-3′ | 5′-TGCCATCATTGTCAGGAACTCAGGGAAGTCGATTGTGCC-3′ |
| R389T | 5′-TCCTGACAATGATGGCAACCAAAATGAAATACAGGGACACGGAAGAAGAAATTAGAG-3′ | 5′-TGCCATCATTGTCAGGAACTCAGGGAAGTCGATTGTGCC-3′ |
Disclaimer/Publisher’s Note: The statements, opinions and data contained in all publications are solely those of the individual author(s) and contributor(s) and not of MDPI and/or the editor(s). MDPI and/or the editor(s) disclaim responsibility for any injury to people or property resulting from any ideas, methods, instructions or products referred to in the content. |
© 2024 by the authors. Licensee MDPI, Basel, Switzerland. This article is an open access article distributed under the terms and conditions of the Creative Commons Attribution (CC BY) license (https://creativecommons.org/licenses/by/4.0/).
Share and Cite
Simonyan, T.R.; Varfolomeeva, L.A.; Mamontova, A.V.; Kotlobay, A.A.; Gorokhovatsky, A.Y.; Bogdanov, A.M.; Boyko, K.M. Calcium Indicators with Fluorescence Lifetime-Based Signal Readout: A Structure–Function Study. Int. J. Mol. Sci. 2024, 25, 12493. https://doi.org/10.3390/ijms252312493
Simonyan TR, Varfolomeeva LA, Mamontova AV, Kotlobay AA, Gorokhovatsky AY, Bogdanov AM, Boyko KM. Calcium Indicators with Fluorescence Lifetime-Based Signal Readout: A Structure–Function Study. International Journal of Molecular Sciences. 2024; 25(23):12493. https://doi.org/10.3390/ijms252312493
Chicago/Turabian StyleSimonyan, Tatiana R., Larisa A. Varfolomeeva, Anastasia V. Mamontova, Alexey A. Kotlobay, Andrey Y. Gorokhovatsky, Alexey M. Bogdanov, and Konstantin M. Boyko. 2024. "Calcium Indicators with Fluorescence Lifetime-Based Signal Readout: A Structure–Function Study" International Journal of Molecular Sciences 25, no. 23: 12493. https://doi.org/10.3390/ijms252312493
APA StyleSimonyan, T. R., Varfolomeeva, L. A., Mamontova, A. V., Kotlobay, A. A., Gorokhovatsky, A. Y., Bogdanov, A. M., & Boyko, K. M. (2024). Calcium Indicators with Fluorescence Lifetime-Based Signal Readout: A Structure–Function Study. International Journal of Molecular Sciences, 25(23), 12493. https://doi.org/10.3390/ijms252312493

