T Regulatory Cell Subsets Do Not Restore for One Year After Acute COVID-19
Abstract
1. Introduction
2. Results
2.1. Alterations of T Lymphocytes and Their Populations (CTL, Th, and Tregs) in Acute COVID-19
2.2. Alterations in Regulatory T Lymphocyte Subpopulations in Acute COVID-19
2.3. Alterations in the Purinergic Signaling
2.3.1. Characteristics of CD39 Expression on Regulatory T Lymphocytes in Acute COVID-19
2.3.2. Characteristics of CD73 Expression in Tregs in Acute COVID-19
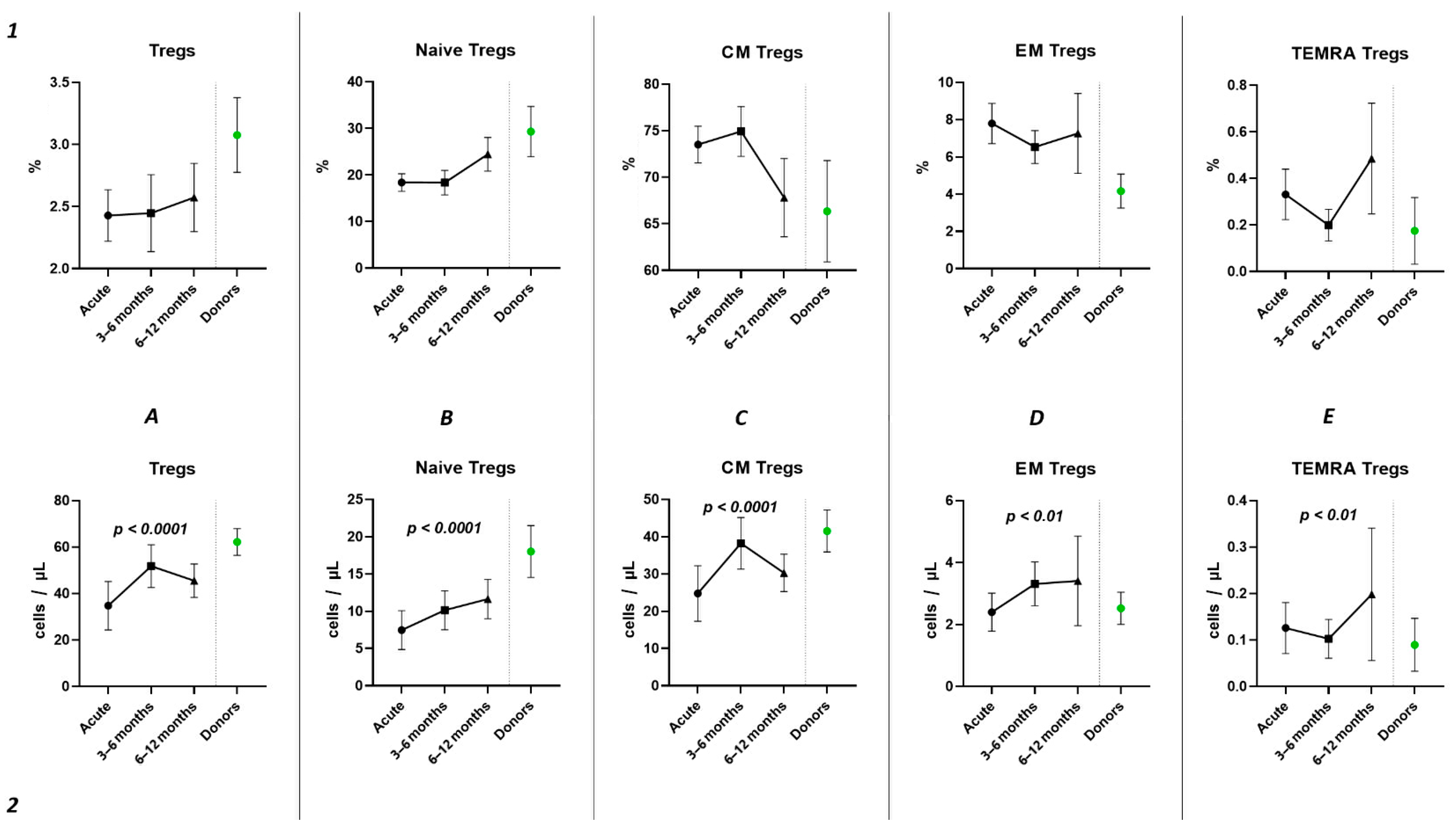
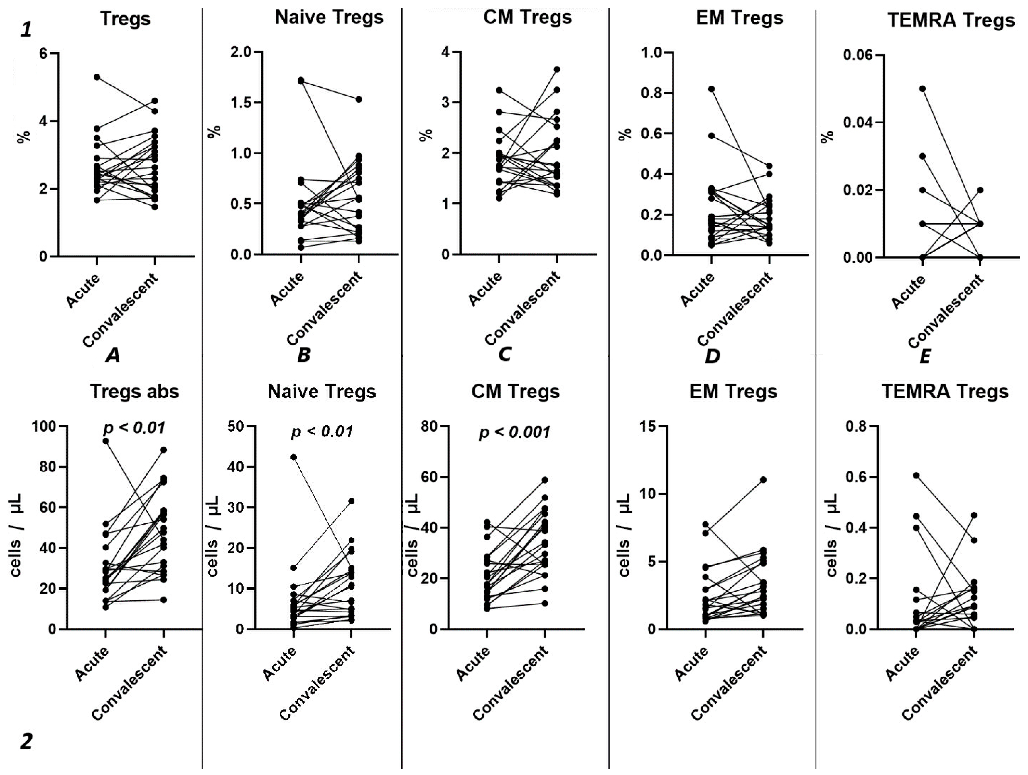
2.4. Tregs Subsets Restoration After COVID-19
2.4.1. Dynamics of CD39 Expression in Peripheral Blood Regulatory T Lymphocytes
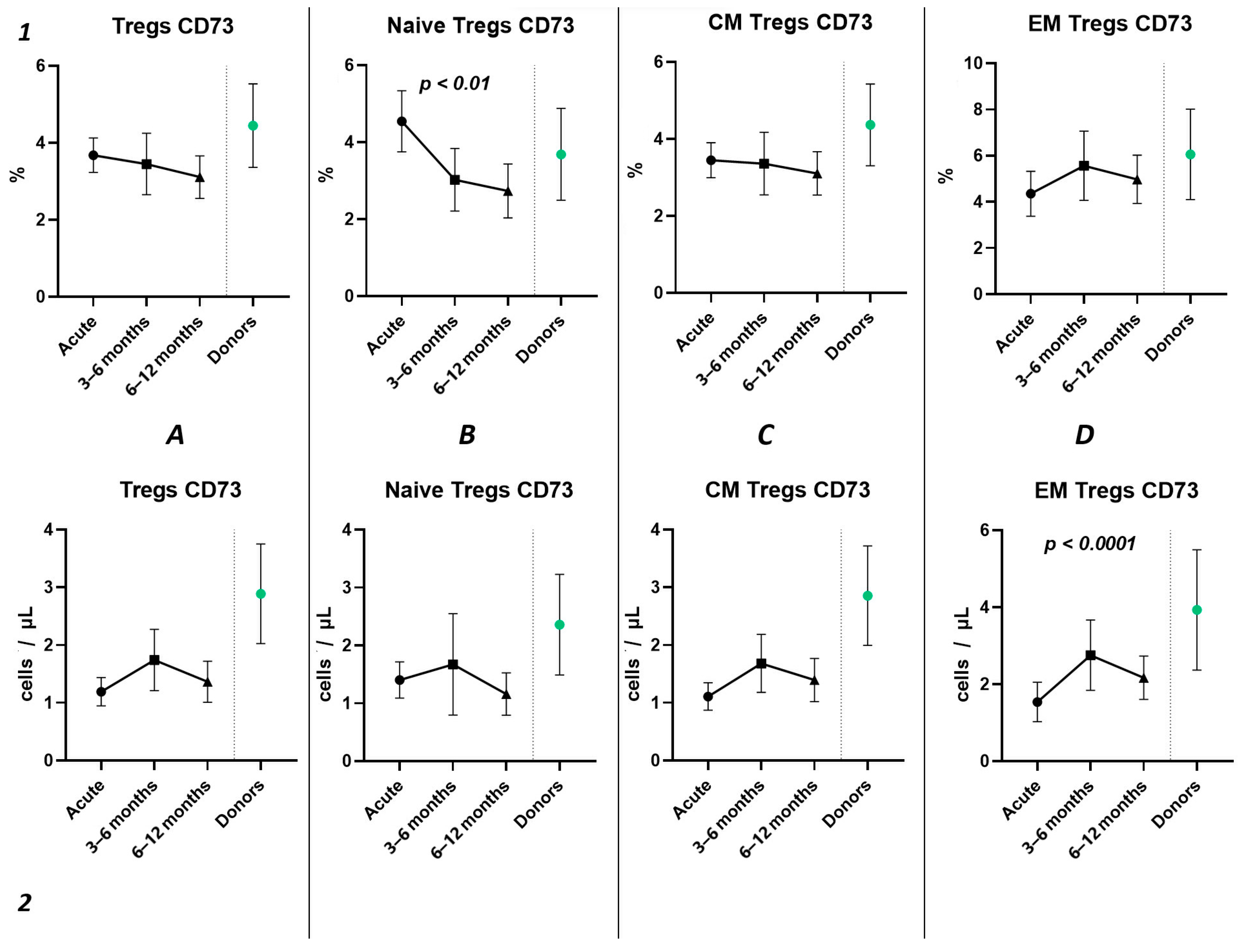
2.4.2. Dynamics of CD73 Expression in Peripheral Blood Regulatory T Lymphocytes
2.5. Cytokines Levels and Their Relationships with Levels of Immune Cells
3. Discussion
4. Materials and Methods
4.1. Patient Characteristics
4.2. Sample Collection
4.3. Antibodies and Flow Cytometry
4.4. Detection of Major Subpopulations of T Lymphocytes
4.5. Cytokines Multiplex Analysis
4.6. Statistical Analysis
5. Conclusions
Author Contributions
Funding
Institutional Review Board Statement
Informed Consent Statement
Data Availability Statement
Acknowledgments
Conflicts of Interest
Abbreviations
References
- Sharma, A.; Tiwari, S.; Deb, M.K.; Marty, J.L. Severe acute respiratory syndrome coronavirus-2 (SARS-CoV-2): A global pandemic and treatment strategies. Int. J. Antimicrob. Agents 2020, 56, 106054. [Google Scholar] [CrossRef] [PubMed]
- Hojyo, S.; Uchida, M.; Tanaka, K.; Hasebe, R.; Tanaka, Y.; Murakami, M.; Hirano, T. How COVID-19 induces cytokine storm with high mortality. Inflamm. Regen. 2020, 40, 37. [Google Scholar] [CrossRef] [PubMed]
- Nazerian, Y.; Ghasemi, M.; Yassaghi, Y.; Nazerian, A.; Hashemi, S.M. Role of SARS-CoV-2-induced cytokine storm in multi-organ failure: Molecular pathways and potential therapeutic options. Int. Immunopharmacol. 2022, 113, 109428. [Google Scholar] [CrossRef] [PubMed]
- Davitt, E.; Davitt, C.; Mazer, M.B.; Areti, S.S.; Hotchkiss, R.S.; Remy, K.E. COVID-19 disease and immune dysregulation. Best Pract. Res. Clin. Haematol. 2022, 35, 101401. [Google Scholar] [CrossRef]
- Liechti, T.; Iftikhar, Y.; Mangino, M.; Beddall, M.; Goss, C.W.; O’Halloran, J.A.; Mudd, P.A.; Roederer, M. Immune phenotypes that are associated with subsequent COVID-19 severity inferred from post-recovery samples. Nat. Commun. 2022, 13, 7255. [Google Scholar] [CrossRef]
- Gonzalez-Garcia, P.; Fiorillo Moreno, O.; Zarate Peñata, E.; Calderon-Villalba, A.; Pacheco Lugo, L.; Acosta Hoyos, A.; Villarreal Camacho, J.L.; Navarro Quiroz, R.; Pacheco Londoño, L.; Aroca Martinez, G.; et al. From Cell to Symptoms: The Role of SARS-CoV-2 Cytopathic Effects in the Pathogenesis of COVID-19 and Long COVID. Int. J. Mol. Sci. 2023, 24, 8290. [Google Scholar] [CrossRef]
- Dhawan, M.; Rabaan, A.A.; Alwarthan, S.; Alhajri, M.; Halwani, M.A.; Alshengeti, A.; Najim, M.A.; Alwashmi, A.S.S.; Alshehri, A.A.; Alshamrani, S.A.; et al. Regulatory T Cells (Tregs) and COVID-19: Unveiling the Mechanisms, and Therapeutic Potentialities with a Special Focus on Long COVID. Vaccines 2023, 11, 699. [Google Scholar] [CrossRef]
- Gladstone, D.E.; Kim, B.S.; Mooney, K.; Karaba, A.H.; D’Alessio, F.R. Regulatory T Cells for Treating Patients With COVID-19 and Acute Respiratory Distress Syndrome: Two Case Reports. Ann. Intern. Med. 2020, 173, 852–853. [Google Scholar] [CrossRef]
- Tan, M.; Liu, Y.; Zhou, R.; Deng, X.; Li, F.; Liang, K.; Shi, Y. Immunopathological characteristics of coronavirus disease 2019 cases in Guangzhou, China. Immunology 2020, 160, 261–268. [Google Scholar] [CrossRef]
- Chen, X.; Huang, J.; Huang, Y.; Chen, J.; Huang, Y.; Jiang, X.; Shi, Y. Characteristics of immune cells and cytokines in patients with coronavirus disease 2019 in Guangzhou, China. Hum. Immunol. 2020, 81, 702–708. [Google Scholar] [CrossRef]
- Kratzer, B.; Trapin, D.; Ettel, P.; Körmöczi, U.; Rottal, A.; Tuppy, F.; Feichter, M.; Gattinger, P.; Borochova, K.; Dorofeeva, Y.; et al. Immunological imprint of COVID-19 on human peripheral blood leukocyte populations. Allergy 2021, 76, 751–765. [Google Scholar] [CrossRef] [PubMed]
- Wang, W.; Su, B.; Pang, L.; Qiao, L.; Feng, Y.; Ouyang, Y.; Guo, X.; Shi, H.; Wei, F.; Su, X.; et al. High-dimensional immune profiling by mass cytometry revealed immunosuppression and dysfunction of immunity in COVID-19 patients. Cell. Mol. Immunol. 2020, 17, 650–652. [Google Scholar] [CrossRef] [PubMed]
- de Sousa Palmeira, P.H.; Peixoto, R.F.; Csordas, B.G.; de Medeiros, I.A.; de Azevedo, F.d.L.A.A.; Veras, R.C.; Janebro, D.I.; Amaral, I.P.G.; Keesen, T.S.L. Differential regulatory T cell signature after recovery from mild COVID-19. Front. Immunol. 2023, 14, 1078922. [Google Scholar] [CrossRef]
- Sadeghi, A.; Tahmasebi, S.; Mahmood, A.; Kuznetsova, M.; Valizadeh, H.; Taghizadieh, A.; Nazemiyeh, M.; Aghebati-Maleki, L.; Jadidi-Niaragh, F.; Abbaspour-Aghdam, S.; et al. Th17 and Treg cells function in SARS-CoV2 patients compared with healthy controls. J. Cell. Physiol. 2021, 236, 2829–2839. [Google Scholar] [CrossRef]
- Kalfaoglu, B.; Almeida-Santos, J.; Tye, C.A.; Satou, Y.; Ono, M. T-Cell Hyperactivation and Paralysis in Severe COVID-19 Infection Revealed by Single-Cell Analysis. Front. Immunol. 2020, 11, 589380. [Google Scholar] [CrossRef]
- Samaan, E.; Elmaria, M.O.; Khedr, D.; Gaber, T.; Elsayed, A.G.; Shenouda, R.N.; Gamal, H.; Shahin, D.; Abousamra, N.K.; Shemies, R. Characterization of regulatory T cells in SARS-CoV-2 infected hemodialysis patients: Relation to clinical and radiological severity. BMC Nephrol. 2022, 23, 391. [Google Scholar] [CrossRef]
- Galván-Peña, S.; Leon, J.; Chowdhary, K.; Michelson, D.A.; Vijaykumar, B.; Yang, L.; Magnuson, A.M.; Chen, F.; Manickas-Hill, Z.; Piechocka-Trocha, A.; et al. Profound Treg perturbations correlate with COVID-19 severity. Proc. Natl. Acad. Sci. USA 2021, 118, e2111315118. [Google Scholar] [CrossRef]
- Meckiff, B.J.; Ramírez-Suástegui, C.; Fajardo, V.; Chee, S.J.; Kusnadi, A.; Simon, H.; Eschweiler, S.; Grifoni, A.; Pelosi, E.; Weiskopf, D.; et al. Imbalance of Regulatory and Cytotoxic SARS-CoV-2-Reactive CD4+ T Cells in COVID-19. Cell 2020, 183, 1340–1353.e16. [Google Scholar] [CrossRef]
- Rezaei, M.; Marjani, M.; Mahmoudi, S.; Mortaz, E.; Mansouri, D. Dynamic Changes of Lymphocyte Subsets in the Course of COVID-19. Int. Arch. Allergy Immunol. 2021, 182, 254–262. [Google Scholar] [CrossRef] [PubMed]
- Vick, S.C.; Frutoso, M.; Mair, F.; Konecny, A.J.; Greene, E.; Wolf, C.R.; Logue, J.K.; Franko, N.M.; Boonyaratanakornkit, J.; Gottardo, R.; et al. A regulatory T cell signature distinguishes the immune landscape of COVID-19 patients from those with other respiratory infections. Sci. Adv. 2021, 7, eabj0274. [Google Scholar] [CrossRef]
- Galán, M.; Vigón, L.; Fuertes, D.; Murciano-Antón, M.A.; Casado-Fernández, G.; Domínguez-Mateos, S.; Mateos, E.; Ramos-Martín, F.; Planelles, V.; Torres, M.; et al. Persistent Overactive Cytotoxic Immune Response in a Spanish Cohort of Individuals With Long-COVID: Identification of Diagnostic Biomarkers. Front. Immunol. 2022, 13, 848886. [Google Scholar] [CrossRef] [PubMed]
- Utrero-Rico, A.; Ruiz-Ruigómez, M.; Laguna-Goya, R.; Arrieta-Ortubay, E.; Chivite-Lacaba, M.; González-Cuadrado, C.; Lalueza, A.; Almendro-Vazquez, P.; Serrano, A.; Aguado, J.M.; et al. A Short Corticosteroid Course Reduces Symptoms and Immunological Alterations Underlying Long-COVID. Biomedicines 2021, 9, 1540. [Google Scholar] [CrossRef] [PubMed]
- Kalinina, O.; Golovkin, A.; Zaikova, E.; Aquino, A.; Bezrukikh, V.; Melnik, O.; Vasilieva, E.; Karonova, T.; Kudryavtsev, I.; Shlyakhto, E. Cytokine Storm Signature in Patients with Moderate and Severe COVID-19. Int. J. Mol. Sci. 2022, 23, 8879. [Google Scholar] [CrossRef] [PubMed]
- Neumann, J.; Prezzemolo, T.; Vanderbeke, L.; Roca, C.P.; Gerbaux, M.; Janssens, S.; Willemsen, M.; Burton, O.; Van Mol, P.; Van Herck, Y.; et al. Increased IL-10-producing regulatory T cells are characteristic of severe cases of COVID-19. Clin. Transl. Immunol. 2020, 9, e1204. [Google Scholar] [CrossRef] [PubMed]
- Mathew, D.; Giles, J.R.; Baxter, A.E.; Oldridge, D.A.; Greenplate, A.R.; Wu, J.E.; Alanio, C.; Kuri-Cervantes, L.; Pampena, M.B.; D’Andrea, K.; et al. Deep immune profiling of COVID-19 patients reveals distinct immunotypes with therapeutic implications. Science 2020, 369, eabc8511. [Google Scholar] [CrossRef]
- Gu, J.; Gong, E.; Zhang, B.; Zheng, J.; Gao, Z.; Zhong, Y.; Zou, W.; Zhan, J.; Wang, S.; Xie, Z.; et al. Multiple organ infection and the pathogenesis of SARS. J. Exp. Med. 2005, 202, 415–424. [Google Scholar] [CrossRef]
- Wu, F.; Zhao, S.; Yu, B.; Chen, Y.-M.; Wang, W.; Song, Z.-G.; Hu, Y.; Tao, Z.-W.; Tian, J.-H.; Pei, Y.-Y.; et al. A new coronavirus associated with human respiratory disease in China. Nature 2020, 579, 265–269. [Google Scholar] [CrossRef]
- Giamarellos-Bourboulis, E.J.; Netea, M.G.; Rovina, N.; Akinosoglou, K.; Antoniadou, A.; Antonakos, N.; Damoraki, G.; Gkavogianni, T.; Adami, M.-E.; Katsaounou, P.; et al. Complex Immune Dysregulation in COVID-19 Patients with Severe Respiratory Failure. Cell Host Microbe 2020, 27, 992–1000.e3. [Google Scholar] [CrossRef]
- Qin, C.; Zhou, L.; Hu, Z.; Zhang, S.; Yang, S.; Tao, Y.; Xie, C.; Ma, K.; Shang, K.; Wang, W.; et al. Dysregulation of immune response in patients with COVID-19 in Wuhan, China. Clin. Infect. Dis. 2020, 71, 762–768. [Google Scholar] [CrossRef]
- Huang, C.; Wang, Y.; Li, X.; Ren, L.; Zhao, J.; Hu, Y.; Zhang, L.; Fan, G.; Xu, J.; Gu, X.; et al. Clinical features of patients infected with 2019 novel coronavirus in Wuhan, China. Lancet 2020, 395, 497–506. [Google Scholar] [CrossRef]
- Malkova, A.; Kudlay, D.; Kudryavtsev, I.; Starshinova, A.; Yablonskiy, P.; Shoenfeld, Y. Immunogenetic Predictors of Severe COVID-19. Vaccines 2021, 9, 211. [Google Scholar] [CrossRef] [PubMed]
- Tan, L.; Wang, Q.; Zhang, D.; Ding, J.; Huang, Q.; Tang, Y.-Q.; Wang, Q.; Miao, H. Lymphopenia predicts disease severity of COVID-19: A descriptive and predictive study. Signal Transduct. Target. Ther. 2020, 5, 33. [Google Scholar] [CrossRef] [PubMed]
- Tan, C.; Huang, Y.; Shi, F.; Tan, K.; Ma, Q.; Chen, Y.; Jiang, X.; Li, X. C-reactive protein correlates with computed tomographic findings and predicts severe COVID-19 early. J. Med. Virol. 2020, 92, 856–862. [Google Scholar] [CrossRef] [PubMed]
- De Biasi, S.; Meschiari, M.; Gibellini, L.; Bellinazzi, C.; Borella, R.; Fidanza, L.; Gozzi, L.; Iannone, A.; Lo Tartaro, D.; Mattioli, M.; et al. Marked T cell activation, senescence, exhaustion and skewing towards TH17 in patients with COVID-19 pneumonia. Nat. Commun. 2020, 11, 3434. [Google Scholar] [CrossRef] [PubMed]
- Mahmoud Salehi Khesht, A.; Karpisheh, V.; Qubais Saeed, B.; Olegovna Zekiy, A.; Yapanto, L.M.; Nabi Afjadi, M.; Aksoun, M.; Nasr Esfahani, M.; Aghakhani, F.; Movahed, M.; et al. Different T cell related immunological profiles in COVID-19 patients compared to healthy controls. Int. Immunopharmacol. 2021, 97, 107828. [Google Scholar] [CrossRef]
- Caldrer, S.; Mazzi, C.; Bernardi, M.; Prato, M.; Ronzoni, N.; Rodari, P.; Angheben, A.; Piubelli, C.; Tiberti, N. Regulatory T Cells as Predictors of Clinical Course in Hospitalised COVID-19 Patients. Front. Immunol. 2021, 12, 789735. [Google Scholar] [CrossRef]
- Jia, R.; Wang, X.; Liu, P.; Liang, X.; Ge, Y.; Tian, H.; Chang, H.; Zhou, H.; Zeng, M.; Xu, J. Mild Cytokine Elevation, Moderate CD4+ T Cell Response and Abundant Antibody Production in Children with COVID-19. Virol. Sin. 2020, 35, 734–743. [Google Scholar] [CrossRef]
- Yang, J.; Zhang, E.; Zhong, M.; Yang, Q.; Hong, K.; Zhou, D.; Xiang, J.; Xia, J.; Zhou, X.; Zhang, D.; et al. Impaired T cell functions along with elevated activated Tregs at the early stage of asymptomatic SARS-CoV-2 infection. medRxiv 2020. [Google Scholar] [CrossRef]
- Perfilyeva, Y.V.; Ostapchuk, Y.O.; Tleulieva, R.; Kali, A.; Abdolla, N.; Krasnoshtanov, V.K.; Perfilyeva, A.V.; Belyaev, N.N. Myeloid-derived suppressor cells in COVID-19: A review. Clin. Immunol. 2022, 238, 109024. [Google Scholar] [CrossRef]
- Rosichini, M.; Bordoni, V.; Silvestris, D.A.; Mariotti, D.; Matusali, G.; Cardinale, A.; Zambruno, G.; Condorelli, A.G.; Flamini, S.; Genah, S.; et al. SARS-CoV-2 infection of thymus induces loss of function that correlates with disease severity. J. Allergy Clin. Immunol. 2023, 151, 911–921. [Google Scholar] [CrossRef]
- Savchenko, A.A.; Tikhonova, E.; Kudryavtsev, I.; Kudlay, D.; Korsunsky, I.; Beleniuk, V.; Borisov, A. TREC/KREC Levels and T and B Lymphocyte Subpopulations in COVID-19 Patients at Different Stages of the Disease. Viruses 2022, 14, 646. [Google Scholar] [CrossRef] [PubMed]
- Haunhorst, S.; Bloch, W.; Javelle, F.; Krüger, K.; Baumgart, S.; Drube, S.; Lemhöfer, C.; Reuken, P.; Stallmach, A.; Müller, M.; et al. A scoping review of regulatory T cell dynamics in convalescent COVID-19 patients—Indications for their potential involvement in the development of Long COVID? Front. Immunol. 2022, 13, 1070994. [Google Scholar] [CrossRef] [PubMed]
- Rajamanickam, A.; Pavan Kumar, N.; Pandiaraj, A.N.; Selvaraj, N.; Munisankar, S.; Renji, R.M.; Venkataramani, V.; Murhekar, M.; Thangaraj, J.W.V.; Muthusamy, S.K.; et al. Characterization of memory T cell subsets and common γ−chain cytokines in convalescent COVID-19 individuals. J. Leukoc. Biol. 2022, 112, 201–212. [Google Scholar] [CrossRef] [PubMed]
- Kostopoulos, I.V.; Orologas-Stavrou, N.; Rousakis, P.; Panteli, C.; Ntanasis-Stathopoulos, I.; Charitaki, I.; Korompoki, E.; Gavriatopoulou, M.; Kastritis, E.; Trougakos, I.P.; et al. Recovery of Innate Immune Cells and Persisting Alterations in Adaptive Immunity in the Peripheral Blood of Convalescent Plasma Donors at Eight Months Post SARS-CoV-2 Infection. Microorganisms 2021, 9, 546. [Google Scholar] [CrossRef] [PubMed]
- Petrara, M.R.; Bonfante, F.; Costenaro, P.; Cantarutti, A.; Carmona, F.; Ruffoni, E.; Di Chiara, C.; Zanchetta, M.; Barzon, L.; Donà, D.; et al. Asymptomatic and Mild SARS-CoV-2 Infections Elicit Lower Immune Activation and Higher Specific Neutralizing Antibodies in Children Than in Adults. Front. Immunol. 2021, 12, 741796. [Google Scholar] [CrossRef]
- Ryan, F.J.; Hope, C.M.; Masavuli, M.G.; Lynn, M.A.; Mekonnen, Z.A.; Yeow, A.E.L.; Garcia-Valtanen, P.; Al-Delfi, Z.; Gummow, J.; Ferguson, C.; et al. Long-term perturbation of the peripheral immune system months after SARS-CoV-2 infection. BMC Med. 2022, 20, 26. [Google Scholar] [CrossRef]
- Borsellino, G.; Kleinewietfeld, M.; Di Mitri, D.; Sternjak, A.; Diamantini, A.; Giometto, R.; Höpner, S.; Centonze, D.; Bernardi, G.; Dell’Acqua, M.L.; et al. Expression of ectonucleotidase CD39 by Foxp3+ Treg cells: Hydrolysis of extracellular ATP and immune suppression. Blood 2007, 110, 1225–1232. [Google Scholar] [CrossRef]
- Deaglio, S.; Dwyer, K.M.; Gao, W.; Friedman, D.; Usheva, A.; Erat, A.; Chen, J.-F.; Enjyoji, K.; Linden, J.; Oukka, M.; et al. Adenosine generation catalyzed by CD39 and CD73 expressed on regulatory T cells mediates immune suppression. J. Exp. Med. 2007, 204, 1257–1265. [Google Scholar] [CrossRef]
- Tyagi, R.K.; Miles, B.; Parmar, R.; Garg, N.K.; Dalai, S.K.; Baban, B.; Cutler, C.W. Human IDO-competent, long-lived immunoregulatory dendritic cells induced by intracellular pathogen, and their fate in humanized mice. Sci. Rep. 2017, 7, 41083. [Google Scholar] [CrossRef]
- Ahmadi, P.; Hartjen, P.; Kohsar, M.; Kummer, S.; Schmiedel, S.; Bockmann, J.H.; Fathi, A.; Huber, S.; Haag, F.; Schulze Zur Wiesch, J. Defining the CD39/CD73 Axis in SARS-CoV-2 Infection: The CD73- Phenotype Identifies Polyfunctional Cytotoxic Lymphocytes. Cells 2020, 9, 1750. [Google Scholar] [CrossRef]
- Pietrobon, A.J.; Andrejew, R.; Custódio, R.W.A.; Oliveira, L.d.M.; Scholl, J.N.; Teixeira, F.M.E.; de Brito, C.A.; Glaser, T.; Kazmierski, J.; Goffinet, C.; et al. Dysfunctional purinergic signaling correlates with disease severity in COVID-19 patients. Front. Immunol. 2022, 13, 1012027. [Google Scholar] [CrossRef] [PubMed]
- Dorneles, G.P.; Teixeira, P.C.; da Silva, I.M.; Schipper, L.L.; Santana Filho, P.C.; Rodrigues Junior, L.C.; Bonorino, C.; Peres, A.; Fonseca, S.G.; Monteiro, M.C.; et al. Alterations in CD39/CD73 axis of T cells associated with COVID-19 severity. J. Cell. Physiol. 2022, 237, 3394–3407. [Google Scholar] [CrossRef] [PubMed]
- Díaz-García, E.; García-Tovar, S.; Alfaro, E.; Zamarrón, E.; Mangas, A.; Galera, R.; Ruíz-Hernández, J.J.; Solé-Violán, J.; Rodríguez-Gallego, C.; Van-Den-Rym, A.; et al. Role of CD39 in COVID-19 Severity: Dysregulation of Purinergic Signaling and Thromboinflammation. Front. Immunol. 2022, 13, 847894. [Google Scholar] [CrossRef] [PubMed]
- Mazzocco, Y.L.; Bergero, G.; Del Rosso, S.; Eberhardt, N.; Sola, C.; Saka, H.A.; Villada, S.M.; Bocco, J.L.; Aoki, M.P. Differential expression patterns of purinergic ectoenzymes and the antioxidative role of IL-6 in hospitalized COVID-19 patient recovery. Front. Immunol. 2023, 14, 1227873. [Google Scholar] [CrossRef] [PubMed]
- Elsaghir, A.; El-Sabaa, E.M.W.; Zahran, A.M.; Mandour, S.A.; Salama, E.H.; Aboulfotuh, S.; El-Morshedy, R.M.; Tocci, S.; Man-dour, A.M.; Ali, W.E.; et al. Elevated CD39+T-Regulatory Cells and Reduced Levels of Adenosine Indicate a Role for Tolerogenic Signals in the Progression from Moderate to Severe COVID-19. Int. J. Mol. Sci. 2023, 24, 17614. [Google Scholar] [CrossRef]
- Elsaghir, A.; El-Sabaa, E.M.W.; Ahmed, A.K.; Abdelwahab, S.F.; Sayed, I.M.; El-Mokhtar, M.A. The Role of Cluster of Differentiation 39 (CD39) and Purinergic Signaling Pathway in Viral Infections. Pathogens 2023, 12, 279. [Google Scholar] [CrossRef]
- Ortiz, M.A.; Diaz-Torné, C.; De Agustin, J.J.; Estrada, P.; Reina, D.; Hernandez, M.V.; Sang, H.; Zamora, C.; Cantó, E.; Corominas, H.; et al. Altered CD39 and CD73 Expression in Rheumatoid Arthritis: Implications for Disease Activity and Treatment Response. Biomolecules 2023, 14, 1. [Google Scholar] [CrossRef]
- Harris, F.; Berdugo, Y.A.; Tree, T. IL-2-based approaches to Treg enhancement. Clin. Exp. Immunol. 2023, 211, 149–163. [Google Scholar] [CrossRef]
- Hondowicz, B.D.; Kim, K.S.; Ruterbusch, M.J.; Keitany, G.J.; Pepper, M. IL-2 is required for the generation of viral-specific CD4 + Th1 tissue-resident memory cells and B cells are essential for maintenance in the lung. Eur. J. Immunol. 2018, 48, 80–86. [Google Scholar] [CrossRef]
- Perera, P.-Y.; Lichy, J.H.; Waldmann, T.A.; Perera, L.P. The role of interleukin-15 in inflammation and immune responses to infection: Implications for its therapeutic use. Microbes Infect. 2012, 14, 247–261. [Google Scholar] [CrossRef]
- Wang, Y.-H.; Liu, Y.-J. The IL-17 cytokine family and their role in allergic inflammation. Curr. Opin. Immunol. 2008, 20, 697–702. [Google Scholar] [CrossRef]
- Petersen, B.C.; Dolgachev, V.; Rasky, A.; Lukacs, N.W. IL-17E (IL-25) and IL-17RB promote respiratory syncytial virus-induced pulmonary disease. J. Leukoc. Biol. 2014, 95, 809–815. [Google Scholar] [CrossRef] [PubMed]
- Sharkhuu, T.; Matthaei, K.I.; Forbes, E.; Mahalingam, S.; Hogan, S.P.; Hansbro, P.M.; Foster, P.S. Mechanism of interleukin-25 (IL-17E)-induced pulmonary inflammation and airways hyper-reactivity. Clin. Exp. Allergy 2006, 36, 1575–1583. [Google Scholar] [CrossRef] [PubMed]
- Chen, Y.-C.; Lai, Y.-S.; Hsuuw, Y.-D.; Chang, K.-T. Withholding of M-CSF Supplement Reprograms Macrophages to M2-Like via Endogenous CSF-1 Activation. Int. J. Mol. Sci. 2021, 22, 3532. [Google Scholar] [CrossRef] [PubMed]
- Tsai, M.-L.; Tsai, Y.-G.; Lin, Y.-C.; Hsu, Y.-L.; Chen, Y.-T.; Tsai, M.-K.; Liao, W.-T.; Lin, Y.-C.; Hung, C.-H. IL-25 Induced ROS-Mediated M2 Macrophage Polarization via AMPK-Associated Mitophagy. Int. J. Mol. Sci. 2021, 23, 3. [Google Scholar] [CrossRef] [PubMed]
- Chung, E.J.; Hudak, K.; Horton, J.A.; White, A.; Scroggins, B.T.; Vaswani, S.; Citrin, D. Transforming Growth Factor Alpha is a Critical Mediator of Radiation Lung Injury. Radiat. Res. 2014, 182, 350. [Google Scholar] [CrossRef]
- Vivekananda, J.; Lin, A.; Coalson, J.J.; King, R.J. Acute inflammatory injury in the lung precipitated by oxidant stress induces fibroblasts to synthesize and release transforming growth factor-alpha. J. Biol. Chem. 1994, 269, 25057–25061. [Google Scholar] [CrossRef]
- Golovkin, A.; Kalinina, O.; Bezrukikh, V.; Aquino, A.; Zaikova, E.; Karonova, T.; Melnik, O.; Vasilieva, E.; Kudryavtsev, I. Imbalanced Immune Response of T-Cell and B-Cell Subsets in Patients with Moderate and Severe COVID-19. Viruses 2021, 13, 1966. [Google Scholar] [CrossRef]
- Kudryavtsev, I.; Serebriakova, M.; Zhiduleva, E.; Murtazalieva, P.; Titov, V.; Malashicheva, A.; Shishkova, A.; Semenova, D.; Irtyuga, O.; Isakov, D.; et al. CD73 Rather Than CD39 Is Mainly Involved in Controlling Purinergic Signaling in Calcified Aortic Valve Disease. Front. Genet. 2019, 10, 604. [Google Scholar] [CrossRef]
- Gronert Álvarez, A.; Fytili, P.; Suneetha, P.V.; Kraft, A.R.M.; Brauner, C.; Schlue, J.; Krech, T.; Lehner, F.; Meyer-Heithuis, C.; Jaeckel, E.; et al. Comprehensive phenotyping of regulatory T cells after liver transplantation. Liver Transplant. 2015, 21, 381–395. [Google Scholar] [CrossRef]
- Terzieva, V. Regulatory T Cells and HIV-1 Infection. Viral Immunol. 2008, 21, 285–292. [Google Scholar] [CrossRef] [PubMed]
- Nurkhametova, D.; Kudryavtsev, I.; Khayrutdinova, O.; Serebryakova, M.; Altunbaev, R.; Malm, T.; Giniatullin, R. Purinergic Profiling of Regulatory T-cells in Patients With Episodic Migraine. Front. Cell. Neurosci. 2018, 12, 326. [Google Scholar] [CrossRef] [PubMed]
- Kudryavtsev, I.; Benevolenskaya, S.; Serebriakova, M.; Grigor’yeva, I.; Kuvardin, E.; Rubinstein, A.; Golovkin, A.; Kalinina, O.; Zaikova, E.; Lapin, S.; et al. Circulating CD8+ T Cell Subsets in Primary Sjögren’s Syndrome. Biomedicines 2023, 11, 2778. [Google Scholar] [CrossRef] [PubMed]













| Cytokine | Acute COVID-19 | 3–6 Months | 6–12 Months |
|---|---|---|---|
| sCD40L, pg/L | 6877 (2325; 9681) | 1228 (576; 3938) ^ | 499 (313; 1585) *^ |
| EGF, pg/L | 15.5 (9.7; 40.5) | 0.0 (0.0; 19.2) | 0.0 (0.0; 11.1) * |
| Eotaxin, pg/L | 143.0 (104.7; 196.6) | 103.5 (88.1; 132.5) | 107.5 (72.5; 136.3) |
| FGF-2, pg/L | 52.9 (0.0; 65.6) | 61.6 (0.0; 82.5) | 49.8 (0.0; 76.7) |
| LT-L, pg/L | 9.5 (5.1; 16.9) | 16.1 (8.1; 21.8) | 8.4 (5.1; 18.1) |
| Fractalkine, pg/L | 136.1 (125.7; 250.2) | 164.6 (134.1; 222.2) | 164.6 (134.1; 191.6) |
| G-CSF, pg/L | 53.0 (16.7; 64.6) | 0.0 (0.0; 0.0) * | 0.0 (0.0; 20.6) * |
| GM-CSF, pg/L | 0.0 (0.0; 0.0) | 0.0 (0.0; 0.0) | 0.0 (0.0; 0.0) |
| GROa, pg/L | 10.6 (0.0; 29.5) | 0.0 (0.0; 3.9) * | 0.0 (0.0; 0.0) * |
| IFNa2, pg/L | 81.5 (53.9; 129.3) | 49.5 (39.9; 70.3) * | 49.5 (29.2; 66.4) * |
| IFNg, pg/L | 9.0 (3.7; 14.3) | 0.0 (0. 0; 3.2) * | 0.0 (0.0; 3.2) * |
| IL-1a, pg/L | 8.6 (6.5; 11.5) | 9.8 (6.5; 19.2) | 10.7 (5.6; 23.4) |
| IL-1b, pg/L | 12.0 (8.2; 21.2) | 14.7 (4.2; 31.3) | 8.7 (0.5; 20.4) |
| IL-1RA, pg/L | 6.4 (4.8; 30.1) | 3.9 (2.5; 6.7) *^ | 2.1 (1.4; 3.5) *^ |
| IL-2, pg/L | 0.0 (0.0; 1.0) | 0.0 (0.0; 1.5) | 0.0 (0.0; 1.2) |
| IL-3, pg/L | 0.1 (0.0; 0.4) | 0.0 (0.0; 0.1) | 0.0 (0.0; 0.0) |
| IL-4, pg/L | 0.0 (0.0; 4.4) | 0.0 (0.0; 1.6) | 0.0 (0.0; 1.3) |
| IL-5, pg/L | 3.2 (1.9; 10.5) | 3.3 (2.1; 5.7) | 3.1 (2.2; 4.7) |
| IL-6, pg/L | 11.1 (5.7; 27.2) | 2.2 (0.9; 3.0) * | 1.7 (0.9; 2.9) * |
| IL-7, pg/L | 2.7 (1.1; 3.8) | 0.8 (0.0; 2.4) | 0.8 (0.0; 1.8) * |
| IL-8, pg/L | 9.1 (6.4; 19.2) | 4.8 (3.2; 7.0) *^ | 3.5 (1.8; 5.1) *^ |
| IL-9, pg/L | 0.0 (0.0; 12.4) | 0.0 (0.0; 11.7) | 0.0 (0.0; 11.5) |
| IL-10, pg/L | 18.1 (15.0; 36.9) | 0.0 (0.0; 0.0) * | 0.0 (0.0; 0.0) * |
| IL-12 p40, pg/L | 61.5 (49.2; 81.8) | 40.8 (28.6; 64.5) | 37.2 (27.4; 53.9) |
| IL-12 p70, pg/L | 3.2 (2.3; 5.2) | 3.8 (2.1; 5.7) | 2.5 (0.7; 4.6) |
| IL-13, pg/L | 40.9 (0.0; 70.5) | 46.5 (31.2; 135.2) | 39.1 (0.0; 76.9) |
| IL-15, pg/L | 27.4 (22.3; 30.6) | 14.5 (11.1; 16.7) * | 11.9 (8.8; 15.6) * |
| IL-17A, pg/L | 5.0 (0.0; 7.2) | 6.0 (0.0; 11.2) | 5.0 (0.0; 8.2) |
| IL-17E/IL-25, pg/L | 371.6 (302.6; 448.8) | 213.9 (143.3; 324.1) * | 236.5 (131.0; 366.4) |
| IL-17F, pg/L | 0.0 (0.0; 14.5) | 0.0 (0.0; 0.0) | 0.0 (0.0; 0.0) |
| IL-18, pg/L | 115.7 (45.5; 217.3) | 41.1 (29.7; 77.4) ^ | 28.5 (16.8; 41.9) *^ |
| IL-22, pg/L | 0.0 (0.0; 0.0) | 0.0 (0.0; 0.0) | 0.0 (0.0; 0.0) |
| IL-27, pg/L | 3207 (1920; 3924) | 1487 (857; 2195) * | 1731 (1262; 2488) |
| IP-10, pg/L | 4425 (1532; 7602) | 287 (208; 418) * | 217 (141; 328) * |
| MCP-1, pg/L | 729.0 (513.7; 813.2) | 328.4 (288.3; 502.2) * | 355.1 (281.1; 453.5) * |
| MCP-3, pg/L | 28.0 (21.7; 37.8) | 25.0 (21.7; 35.6) | 24.0 (14.7; 28.9) |
| M-CSF, pg/L | 249.6 (159.9; 302.1) | 0.0 (0.0; 58.0) * | 36.3 (0.0; 61.4) * |
| MDC, pg/L | 657.6 (487.7; 814.2) | 707.2 (606.5; 861.1) | 603.5 (501.2; 761.4) |
| MIG, pg/L | 2899 (2075; 3193) | 1440 (1118; 2545) | 1857 (1044; 2821) |
| MIP-1a, pg/L | 23.2 (20.1; 26.1) | 23.8 (16.0; 33.4) | 17.4 (0.0; 28.3) |
| MIP-1b, pg/L | 36.6 (21.8; 60.0) | 25.4 (21.4; 33.5) | 27.2 (20.2; 35.5) |
| PDGF-AA, pg/L | 2050 (1496; 4252) | 1597 (906; 2474) | 1260 (518; 2262) |
| PDGF-AB/BB, pg/L | 31,995 (24,234; 43,757) | 26,310 (21,282; 30,908) | 25,503 (11,303; 32,086) |
| TGFa, pg/L | 7.1 (3.4; 13.4) | 3.9 (1.8; 6.5) | 2.4 (0.0; 3.7) * |
| TNFa, pg/L | 52.5 (40.8; 71.7) | 29.8 (19.8; 38.6) * | 22.6 (16.6; 29.1) * |
| TNFb, pg/L | 5.7 (4.4; 8.2) | 4.4 (0.0; 10.2) | 3.6 (0.0; 6.9) |
| VEGF-A, pg/L | 169.0 (71.3; 380.1) | 50.2 (26.9; 116.7) | 48.5 (24.3; 92.9) * |
| Associated Comorbidities | Acute COVID-19, N (%) | Convalescent, N (%) |
|---|---|---|
| Arterial hypertension | 65 (70) | 63 (72) |
| Ischemic heart disease | 24 (26) | 15 (17) |
| Obesity (body mass index > 30) | 31 (33) | 40 (45) |
| Type 1 diabetes mellitus | 1 (1) | 0 (0) |
| Type 2 diabetes mellitus | 29 (31) | 22 (25) |
| Chronic kidney disease | 6 (6) | 8 (9) |
| Chronic hepatitis | 1 (1) | 0 (0) |
| Chronic obstructive pulmonary disease | 1 (1) | 0 (0) |
| Parameters (Reference Values) | Moderate COVID-19 (n = 68) | Severe COVID-19 (n = 25) | 3–6 Months (n = 40) | 6–12 Months (n = 48) | Healthy Donors (n = 27) |
|---|---|---|---|---|---|
| Age, years | 59.5 (53; 70) | 59 (56; 70) | 56 (49; 64) | 60.5 (51; 71) | 37.0 (32.0; 47.0) |
| Hemoglobin, g/L | 135.5 (126; 142) | 132 (125; 143) | 144 (135; 153) | 143 (135; 153.5) | 139.5 (136; 148) |
| Red blood cells × 1012/L | 4.74 (4.48; 5.045) | 4.61 (4.48; 4.84) | 4.9 (4.68; 5.27) | 4.835 (4.645; 5.185) | 5.00 (4.70; 5.13) |
| Hematocrit, % | 40.35 (37.1; 41.9) | 39.3 (37.1; 41.3) | 42.6 (41; 44.9) | 41.5 (40.35; 44.7) | 43.2 (41.5; 46.0) |
| Platelets × 10⁹/L | 188 (140; 250.5) | 201 (157; 290) | 213 (193; 245) | 236.5 (188.5; 277) | 208 (194; 235) |
| Leukocytes × 10⁹/L | 5.31 (4.05; 7.95) | 8.6 (6.6; 10) | 6.62 (5.26; 7.62) | 6.075 (5.27; 7.705) | 5.8 (5.4; 7.7) |
| Lymphocytes × 10⁹/L | 1.175 (0.905; 1.55) | 1.03 (0.72; 1.24) | 1.99 (1.53; 2.45) | 1.585 (1.31; 1.91) | 1.95 (1.78; 2.21) |
| Monocytes × 10⁹/L | 0.56 (0.305; 0.715) | 0.37 (0.17; 0.69) | 0.47 (0.41; 0.67) | 0.61 (0.48; 0.72) | 0.58 (0.39; 0.71) |
| Neutrophils × 10⁹/L | 3.45 (2.535; 5.25) | 7.56 (4.71; 8.18) | 3.54 (2.93; 4.62) | 3.705 (3.125; 4.92) | 2.96 (2.78; 4.31) |
| Eosinophils × 10⁹/L | 0.01 (0; 0.04) | 0 (0; 0.03) | 0.13 (0.08; 0.21) | 0.17 (0.11; 0.35) | 0.11 (0.08; 0.23) |
| Basophils × 10⁹/L | 0.01 (0.005; 0.01) | 0.01 (0.01; 0.02) | 0.01 (0.01; 0.01) | 0.01 (0.005; 0.01) | 0.08 (0.06; 1.00) |
| CRP, mg/L (0–5.0) | 29.81 (12.03; 51.59) | 127.13 (32.41; 216.3) | |||
| D-dimer, mg/μL (0–5.0) | 0.24 (0.14; 0.49) | 0.445 (0.29; 0.765) | |||
| Ferritin, ng/mL (30–400) | 424 (202.15; 784.4) | 609.7 (330.3; 1002) | |||
| Procalcitonin, ng/mL (0–0.5) | 0.070 (0.047; 0.100) | 0.098 (0.064; 0.22) | |||
| ALT, U/L (0–41) | 26.4 (15.5; 42.8) | 22.3 (17.0; 40.1) | |||
| AST, U/L (0–40) | 28.1 (21.9; 39.8) | 27.7 (22.7; 41.9) | |||
| LDH, U/L (135–225) | 320 (251.5; 456) | 306 (251; 422) | |||
| Computed tomography, % of lung involvement | 25 (15; 40) | 50 (35; 55) |
Disclaimer/Publisher’s Note: The statements, opinions and data contained in all publications are solely those of the individual author(s) and contributor(s) and not of MDPI and/or the editor(s). MDPI and/or the editor(s) disclaim responsibility for any injury to people or property resulting from any ideas, methods, instructions or products referred to in the content. |
© 2024 by the authors. Licensee MDPI, Basel, Switzerland. This article is an open access article distributed under the terms and conditions of the Creative Commons Attribution (CC BY) license (https://creativecommons.org/licenses/by/4.0/).
Share and Cite
Aquino, A.; Zaikova, E.; Kalinina, O.; Karonova, T.L.; Rubinstein, A.; Mikhaylova, A.A.; Kudryavtsev, I.; Golovkin, A.S. T Regulatory Cell Subsets Do Not Restore for One Year After Acute COVID-19. Int. J. Mol. Sci. 2024, 25, 11759. https://doi.org/10.3390/ijms252111759
Aquino A, Zaikova E, Kalinina O, Karonova TL, Rubinstein A, Mikhaylova AA, Kudryavtsev I, Golovkin AS. T Regulatory Cell Subsets Do Not Restore for One Year After Acute COVID-19. International Journal of Molecular Sciences. 2024; 25(21):11759. https://doi.org/10.3390/ijms252111759
Chicago/Turabian StyleAquino, Arthur, Ekaterina Zaikova, Olga Kalinina, Tatiana L. Karonova, Artem Rubinstein, Arina A. Mikhaylova, Igor Kudryavtsev, and Alexey S. Golovkin. 2024. "T Regulatory Cell Subsets Do Not Restore for One Year After Acute COVID-19" International Journal of Molecular Sciences 25, no. 21: 11759. https://doi.org/10.3390/ijms252111759
APA StyleAquino, A., Zaikova, E., Kalinina, O., Karonova, T. L., Rubinstein, A., Mikhaylova, A. A., Kudryavtsev, I., & Golovkin, A. S. (2024). T Regulatory Cell Subsets Do Not Restore for One Year After Acute COVID-19. International Journal of Molecular Sciences, 25(21), 11759. https://doi.org/10.3390/ijms252111759

