Synthesis and Structure of Novel Hybrid Compounds Containing Phthalazin-1(2H)-imine and 4,5-Dihydro-1H-imidazole Cores and Their Sulfonyl Derivatives with Potential Biological Activities
Abstract
1. Introduction
2. Results and Discussion
2.1. Chemistry
2.1.1. Synthesis of 2-(4,5-dihydro-1H-imidazol-2-yl)phthalazin-1(2H)-imine (5)
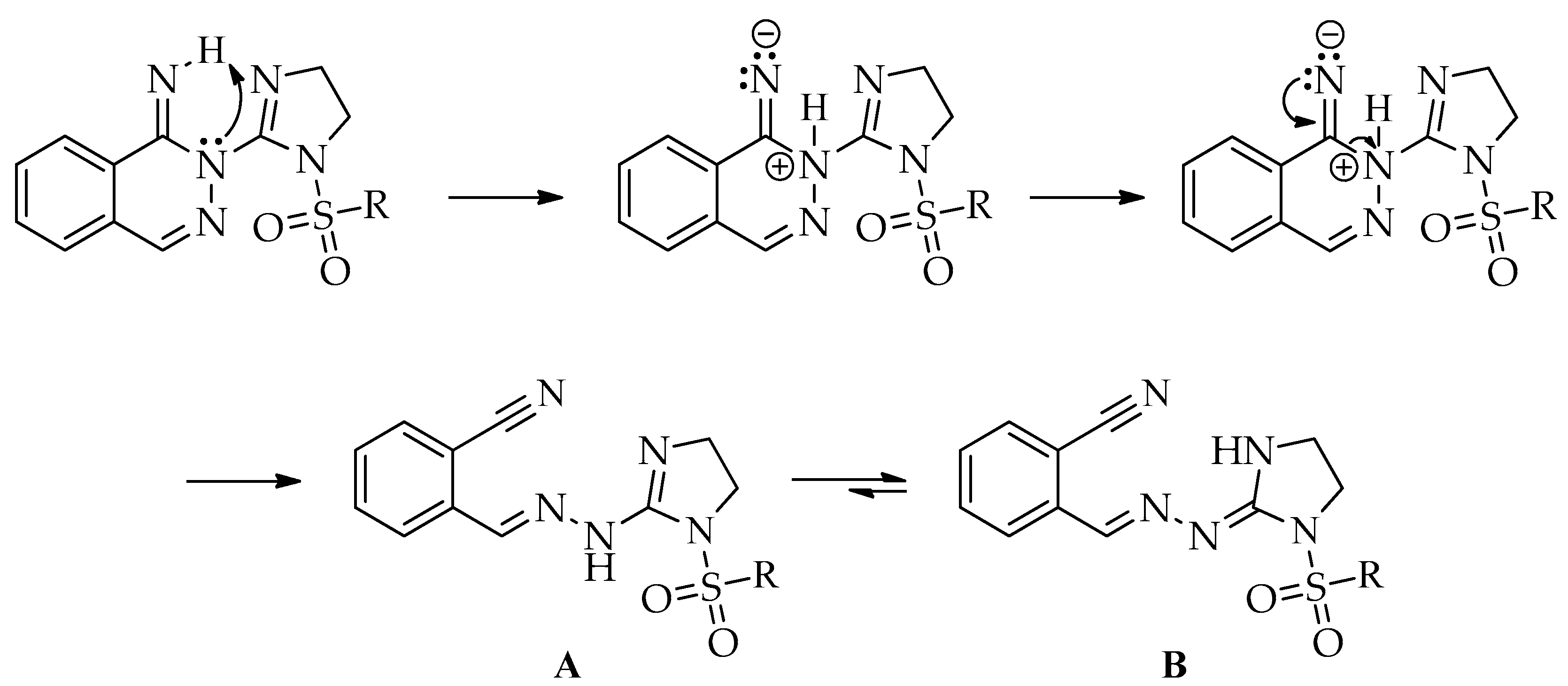
2.1.2. Synthesis of N-(2-(1-(aryl(alkyl)sulfonyl)-4,5-dihydro-1H-imidazol-2-yl)phthalazin-1(2H)-ylidene)aryl(alkyl)sulfonamides 6a–o and 2-(((1-(aryl(alkyl)sulfonyl)imidazolidin-2-ylidene)hydrazono)methyl)benzonitriles 7a–m
2.2. X-Ray Crystal Structure Determination of 5, 6c, 6e, 7g, and 7k
2.3. Molecular Modeling of Compound 7k
2.4. Biological Evaluation
2.4.1. In Vitro Anticancer Evaluation
2.4.2. Determination of Antioxidant Activity
2.4.3. In Silico Evaluation of Free Radical Scavenging Capacity
2.4.4. In Vitro Inhibition of Receptor for Advanced Glycation End-Products (RAGE)
3. Materials and Methods
3.1. Chemistry
3.1.1. General Methods and Physical Measurements
3.1.2. Synthesis of (2-(4,5-dihydro-1H-imidazol-1-ium-2-yl)-1,2-dihydrophthalazin-1-yl)amino Sulfate (4) and 2-(4,5-dihydro-1H-imidazol-2-yl)phthalazin-1(2H)-imine (5)
- Step 1
- Step 2
3.1.3. Synthesis of N-(2-(1-(aryl(alkyl)sulfonyl)-4,5-dihydro-1H-imidazol-2-yl)phthalazin-1(2H)-ylidene)aryl(alkyl)sulfonamides 6a–o and 2-(((1-(aryl(alkyl)sulfonyl)imidazolidin-2-ylidene)hydrazono)methyl)benzonitriles 7a–n (General Procedure)
3.2. Antioxidant Studies
3.2.1. Materials
3.2.2. DPPH Assay
3.2.3. ABTS Assay
3.2.4. β-Carotene Bleaching Test
3.2.5. FRAP Test
3.3. ELISA Biological Screening
4. Conclusions
Supplementary Materials
Author Contributions
Funding
Institutional Review Board Statement
Informed Consent Statement
Data Availability Statement
Acknowledgments
Conflicts of Interest
References
- Sangshetti, J.; Pathan, S.K.; Patil, R.; Ansari, S.A.; Chhajed, S.; Arote, S.R.; Shinde, D.B. Synthesis and biological activity of structurally diverse phthalazine derivatives: A systematic review. Bioorg. Med. Chem. 2019, 27, 3979–3997. [Google Scholar] [CrossRef]
- Saha, S.; Duklan, S.; Semwal, A.; Kaur, J.; Mehra, M.; Goswami, M.; Ahmad, M.; Asif, M. Role of pharmacological active phthalazine scaffolds in medicinal chemistry: A Mini-Review. Eur. Chem. Bull. 2023, 12, 3604–3627. [Google Scholar]
- Zaib, S.; Khan, I. Synthetic and medicinal chemistry of phthalazines: Recent developments, opportunities and challenges. Bioorg. Chem. 2020, 105, 104425. [Google Scholar] [CrossRef]
- Prime, M.E.; Courtney, S.M.; Brookfield, F.A.; Marston, R.W.; Walker, V.; Warne, J.; Boyd, A.E.; Kairies, N.A.; von der Saal, W.; Limberg, A.; et al. Phthalazinone pyrazoles as potent, selective, and orally bioavailable inhibitors of Aurora-A kinase. J. Med. Chem. 2011, 54, 312–319. [Google Scholar] [CrossRef]
- Carducci, M.; Shaheen, M.; Markman, B.; Hurvitz, S.; Mahadevan, D.; Kotasek, D.; Goodman, O.B., Jr.; Rasmussen, E.; Chow, V.; Juan, G.; et al. A phase 1, first-in-human study of AMG 900, an orally administered pan-Aurora kinase inhibitor, in adult patients with advanced solid tumors. Investig. New Drugs 2018, 36, 1060–1071. [Google Scholar] [CrossRef]
- Amin, K.M.; Barsoum, F.F.; Awadallah, F.M.; Mohamed, N.E. Identification of new potent phthalazine derivatives with VEGFR-2 and EGFR kinase inhibitory activity. Eur. J. Med. Chem. 2016, 123, 191–201. [Google Scholar] [CrossRef]
- El-Helby, A.A.; Ayyad, R.R.A.; Sakr, H.; El-Adl, K.; Ali, M.M.; Khedr, F. Design, synthesis, molecular docking, and anticancer activity of phthalazine derivatives as VEGFR-2 inhibitors. Arch. Pharm. 2017, 350, 1700240. [Google Scholar] [CrossRef]
- Elmeligie, S.; Aboul-Magd, A.M.; Lasheen, D.S.; Ibrahim, T.M.; Abdelghany, T.M.; Khojah, S.M.; Abouzid, K.A.M. Design and synthesis of phthalazine-based compounds as potent anticancer agents with potential antiangiogenic activity via VEGFR-2 inhibition. J. Enz. Inhib. Med. Chem. 2019, 34, 1347–1367. [Google Scholar] [CrossRef]
- Jost, L.M.; Gschwind, H.P.; Jalava, T.; Wang, Y.; Guenther, C.; Souppart, C.; Rottmann, A.; Denner, K.; Waldmeier, F.; Gross, G.; et al. Metabolism and disposi-tion of vatalanib (PTK787/ZK-222584) in cancer patients. Drug Metab. Dispos. 2006, 34, 1817–1828. [Google Scholar] [CrossRef]
- Boraei, A.T.A.; Ashour, H.K.; El Tamany, E.S.H.; Abdelmoaty, N.; El-Falouji, A.I.; Gomaa, M.S. Design and synthesis of new phthalazine-based derivatives as potential EGFR inhibitors for the treatment of hepatocellular carcinoma. Bioorg. Chem. 2019, 85, 293–307. [Google Scholar] [CrossRef]
- Bao, X.; Peng, Y.; Lu, X.; Yang, J.; Zhao, W.; Tan, W.; Dong, X. Synthesis and evaluation of novel benzylphthalazine derivatives as hedgehog signaling pathway inhibitors. Bioorg. Med. Chem. Lett. 2016, 26, 3048–3051. [Google Scholar] [CrossRef]
- Behalo, M.S.; Gad El-karim, I.A.; Rafaat, R. Synthesis of novel phthalazine derivatives as potential anticancer and antioxidant agents based on 1-chloro-4-(4-phenoxyphenyl)phthalazine. J. Heterocycl. Chem. 2017, 54, 3591–3599. [Google Scholar] [CrossRef]
- Bolteau, R.; Descamps, F.; Ettaoussi, M.; Caignard, D.H.; Delagrange, P.; Melnyk, P.; Yous, S. Quinazoline and phthalazine derivatives as novel melatonin receptor ligands analogues of agomelatine. Eur. J. Med. Chem. 2020, 189, 112078. [Google Scholar] [CrossRef]
- El-Helby, A.A.; Ayyad, R.R.A.; El-Adl, K.; Elkady, H. Phthalazine-1,4-dione derivatives as non-competitive AMPA receptor antagonists: Design, synthesis, anticonvulsant evaluation, ADMET profile and molecular docking. Mol. Divers. 2019, 23, 283–298. [Google Scholar] [CrossRef]
- Türkeş, C.; Arslan, M.; Demir, Y.; Çoçaj, L.; Nixha, A.R.; Beydemir, Ş. N-substituted phthalazine sulfonamide derivatives as non-classical aldose reductase inhibitors. J. Mol. Recognit. 2022, 35, e2991. [Google Scholar] [CrossRef]
- Krasavin, M. Biologically active compounds based on the privileged 2-imidazoline scaffold: The world beyond adrenergic/imidazoline receptor modulators. Eur. J. Med. Chem. 2015, 97, 525–537. [Google Scholar] [CrossRef]
- Sączewski, F.; Kornicka, A.; Balewski, Ł. Imidazoline scaffold in medicinal chemistry: A patent review (2012–2015). Expert Opin. Ther. Pat. 2016, 26, 1031–1048. [Google Scholar] [CrossRef]
- Krasavin, M. N-(Hetero)aryl-2-imidazolines: An emerging privileged motif for contemporary drug design. Chem. Heterocycl. Comp. 2017, 53, 240–255. [Google Scholar] [CrossRef]
- Shetnev, A.; Osipyan, A.; Baykov, S.; Sapegin, A.; Chirkova, Z.; Korsakov, M.; Petzer, A.; Engelbrecht, I.; Petzer, J.P. Novel monoamine oxidase inhibitors based on the privileged 2-imidazoline molecular framework. Bioorg. Med. Chem. Lett. 2019, 29, 40–46. [Google Scholar] [CrossRef]
- Zhou, Z.; Staropoli, I.; Brelot, A.; Suzanne, P.; Lesnard, A.; Fontaine, F.; Perato, S.; Rault, S.; Helynck, O.; Arenzana-Seisdedos, F.; et al. Discovery of bis-imidazoline derivatives as new CXCR4 ligands. Molecules 2023, 28, 1156. [Google Scholar] [CrossRef]
- Liguori, F.; Carradori, S.; Ronca, R.; Rezzola, S.; Filiberti, S.; Carta, F.; Turati, M.; Supuran, C.T. Benzenesulfonamides with different rigidity-conferring linkers as carbonic anhydrase inhibitors: An insight into the antiproliferative effect on glioblastoma, pancreatic, and breast cancer cells. J. Enz. Inhib. Med. Chem. 2022, 37, 1857–1869. [Google Scholar] [CrossRef]
- Tugrak, M.; Gul, H.I.; Demir, Y.; Levent, S.; Gulcin, I. Synthesis and in vitro carbonic anhydrases and acetylcholinesterase inhibitory activities of novel imidazolinone-based benzenesulfonamides. Arch. Pharm. 2021, 354, e2000375. [Google Scholar] [CrossRef]
- Markham, A. Copanlisib: First Global Approval. Drugs 2017, 77, 2057–2062. [Google Scholar] [CrossRef]
- Aubertin, G.; Weiss, M.; Traversi, F.; Benameur, D.; Choquet, P.; Dali-Youcef, N.; Pons, F.; Sigrist, S.; Greney, H.; Monassier, L.; et al. Effects of imidazoline-like drugs on liver and adipose tissues, and their role in preventing obesity and associated cardio-metabolic disorders. Int. J. Obes. 2019, 43, 2163–2175. [Google Scholar] [CrossRef]
- Mota, B.C.; Ashburner, N.; Abelleira-Hervas, L.; Liu, L.; Aleksynas, R.; Rovati, L.C.; Caselli, G.; Sastre, M. I2-imidazoline ligand CR4056 improves memory, increases ApoE expression and reduces BBB leakage in 5xFAD mice. Int. J. Mol. Sci. 2022, 23, 7320. [Google Scholar] [CrossRef]
- Mirzaei, N.; Mota, B.C.; Birch, A.M.; Davis, N.; Romero-Molina, C.; Katsouri, L.; Palmer, E.O.C.; Golbano, A.; Riggall, L.J.; Nagy, I.; et al. Imidazoline ligand BU224 reverses cognitive deficits, reduces microgliosis and enhances synaptic connectivity in a mouse model of Alzheimer’s disease. Br. J. Pharmacol. 2021, 178, 654–671. [Google Scholar] [CrossRef]
- Abdellatif, K.R.A.; Abdelgawad, M.A.; Labib, M.B.; Zidan, T.H. Synthesis and biological evaluation of new diarylpyrazole and triarylimidazoline derivatives as selective COX-2 inhibitors. Arch. Pharm. 2017, 350, 1600386. [Google Scholar] [CrossRef]
- Giovannoni, M.P.; Ghelardini, C.; Vergelli, C.; Dal Piaz, V. Alpha2-agonists as analgesic agents. Med. Res. Rev. 2009, 29, 339–368. [Google Scholar] [CrossRef]
- Dardonville, C.; Martínez, J.J.N. Bis(2-aminoimidazolines) and bisguanidines: Synthetic approaches, antiparasitic activity and DNA binding properties. Curr. Med. Chem. 2017, 24, 3606–3632. [Google Scholar] [CrossRef]
- Popov, A.B.; Krstulović, L.; Koštrun, S.; Jelić, D.; Bokulić, A.; Stojković, M.R.; Zonjić, I.; Taylor, M.C.; Kelly, J.M.; Bajić, M.; et al. Design, synthesis, antitrypanosomal activity, DNA/RNA binding and in vitro ADME profiling of novel imidazoline-substituted 2-arylbenzimidazoles. Eur. J. Med. Chem. 2020, 207, 112802. [Google Scholar] [CrossRef]
- Tonello, R.; Villarinho, J.G.; da Silva Sant’Anna, G.; Tamiozzo, L.; Machado, P.; Trevisan, G.; Martins, M.A.P.; Ferreira, J.; Rubin, M.A. The potential antidepressant-like effect of imidazoline I2 ligand 2-BFI in mice. Prog. Neuro-Psychopharmacol. Biol. Psychiatry 2012, 37, 15–21. [Google Scholar] [CrossRef] [PubMed]
- Singh, A.K.; Kumar, A.; Singh, H.; Sonawane, P.; Paliwal, H.; Thareja, S.; Pathak, P.; Grishina, M.; Jaremko, M.; Emwas, A.H.; et al. Concept of hybrid drugs and recent advancements in anticancer hybrids. Pharmaceuticals 2022, 15, 1071. [Google Scholar] [CrossRef] [PubMed]
- de Oliveira Pedrosa, M.; Duarte da Cruz, R.M.; de Oliveira Viana, J.; de Moura, R.O.; Ishiki, H.M.; Barbosa Filho, J.M.; Diniz, M.F.; Scotti, M.T.; Scotti, L.; Bezerra Mendonca, F.J. Hybrid compounds as direct multitarget ligands: A Review. Curr. Top. Med. Chem. 2017, 17, 1044–1079. [Google Scholar] [CrossRef] [PubMed]
- Viegas-Junior, C.; Danuello, A.; da Silva Bolzani, V.; Barreiro, E.J.; Fraga, C.A. Molecular hybridization: A useful tool in the design of new drug prototypes. Curr. Med. Chem. 2007, 14, 1829–1852. [Google Scholar] [CrossRef]
- Makowska, A.; Sączewski, F.; Bednarski, P.J.; Sączewski, J.; Balewski, Ł. Hybrid molecules composed of 2,4-diamino-1,3,5-triazines and 2-imino-coumarins and coumarins. Synthesis and cytotoxic properties. Molecules 2018, 23, 1616. [Google Scholar] [CrossRef]
- Korcz, M.; Sączewski, F.; Bednarski, P.J.; Kornicka, A. Synthesis, structure, chemical stability, and in vitro cytotoxic properties of novel quinoline-3-carbaldehyde hydrazones bearing a 1,2,4-triazole or benzotriazole moiety. Molecules 2018, 23, 1497. [Google Scholar] [CrossRef]
- Makowska, A.; Wolff, L.; Sączewski, F.; Bednarski, P.J.; Kornicka, A. Synthesis and cytotoxic evaluation of benzoxazole/benzothiazole-2-imino-coumarin hybrids and their coumarin analogues as potential anticancer agents. Pharmazie 2019, 74, 648–657. [Google Scholar] [CrossRef] [PubMed]
- Balewski, Ł.; Sączewski, F.; Bednarski, P.J.; Wolff, L.; Nadworska, A.; Gdaniec, M.; Kornicka, A. Synthesis, structure and cytotoxicity testing of novel 7-(4,5-dihydro-1H-imidazol-2-yl)-2-aryl-6,7-dihydro-2H-imidazo [2,1-c][1,2,4]triazol-3(5H)-imine derivatives. Molecules 2020, 25, 5924. [Google Scholar] [CrossRef]
- Kornicka, A.; Gzella, K.; Garbacz, K.; Jarosiewicz, M.; Gdaniec, M.; Fedorowicz, J.; Balewski, Ł.; Kokoszka, J.; Ordyszewska, A. Indole-acrylonitrile derivatives as potential antitumor and antimicrobial agents—Synthesis, in vitro and in silico studies. Pharmaceuticals 2023, 16, 918. [Google Scholar] [CrossRef]
- Bongarzone, S.; Savickas, V.; Luzi, F.; Gee, A.D. Targeting the receptor for advanced glycation endproducts (RAGE): A medicinal chemistry perspective. J. Med. Chem. 2017, 60, 7213–7232. [Google Scholar] [CrossRef]
- Sączewski, F.; Gdaniec, M. Syntheses of novel fused heterocyclic systems by reactions of 1,2-dihydro-2-(4,5-dihydroimidazol-2-yl)phthalazin-l-o1 with active methylene compounds. Liebigs Ann. 1996, 10, 1487–1695. [Google Scholar]
- Lu, G.; Lin, Y. A base-induced ring-opening process of 2-substituted-1,3,4-oxadiazoles for the generation of nitriles at room temperature. J. Chem. Res. 2014, 38, 371–374. [Google Scholar] [CrossRef]
- Panda, S.; Pradhan, N.; Manna, D. Ring-opening of indoles: An unconventional route for the transformation of indoles to 1H-pyrazoles using Lewis acid. ACS Comb Sci. 2018, 20, 573–578. [Google Scholar] [CrossRef]
- Rigaku Oxford Diffraction. CrysAlisPro Software System, version 1.171.38.43c; Rigaku Corporation: Oxford, UK, 2015. [Google Scholar]
- Sheldrick, G.M. SHELXT-Integrated Space-Group and Crystal-Structure Determination. Acta Cryst. A 2015, 71, 3–8. [Google Scholar] [CrossRef]
- Sheldrick, G.M. Crystal structure refinement with SHELXL. Acta Cryst. C 2015, 71, 3–8. [Google Scholar] [CrossRef]
- Dolomanov, O.V.; Bourhis, L.J.; Gildea, R.J.; Howard, J.A.K.; Puschmann, H. OLEX2: A complete structure solution, refinement and analysis program. J. Appl. Cryst. 2009, 42, 339–341. [Google Scholar] [CrossRef]
- Martin, Y.C. Let’s not forget tautomers. J. Comput. Aided Mol. Des. 2009, 23, 693–704. [Google Scholar] [CrossRef] [PubMed]
- Katritzky, A.R.; Hall, C.D.; El-Gendy, B.-D.; Draghici, B. Tautomerism in drug discovery. J. Comput. Aided Mol. Des. 2010, 24, 475–484. [Google Scholar] [CrossRef]
- Wavefunction Inc. Molecular Modelling Studies Were Performed at ab Initio Level Using the Density Functional (B3LYP) Method with the 6-31G** Basis Set as Implemented into Spartan ’14 version 1.1.4; Wavefunction Inc.: Irvine, CA, USA, 2014. [Google Scholar]
- Shoemaker, R.H. The NCI 60 human tumour cell line anticancer drug screen. Nat. Rev. 2006, 6, 813–823. [Google Scholar] [CrossRef]
- NCI-60 Screening Methodology. Available online: https://dtp.cancer.gov/discovery_development/nci-60/methodology.htm (accessed on 27 September 2024).
- Fernandes, A.S. Redox-Active Molecules as Therapeutic Agents. Antioxidants 2022, 11, 1004. [Google Scholar] [CrossRef]
- Sharma, S.; Ebadi, M. Antioxidants as Potential Therapeutics in Neurodegeneration. In Systems Biology of Free Radicals and Antioxidants; Laher, I., Ed.; Springer: Berlin/Heidelberg, Germany, 2014. [Google Scholar] [CrossRef]
- Singal, A.K.; Jampana, S.C.; Weinman, S.A. Antioxidants as therapeutic agents for liver disease. Liver Int. 2011, 31, 1432–1448. [Google Scholar] [CrossRef] [PubMed]
- Zhang, G.; Musgrave, C.B. Comparison of DFT methods for molecular orbital eigenvalue calculations. J. Phys. Chem. A 2007, 111, 1554–1561. [Google Scholar] [CrossRef] [PubMed]
- Teles Fujishima, M.A.; Silva, N.D.S.R.d.; Ramos, R.D.S.; Batista Ferreira, E.F.; Santos, K.L.B.d.; Silva, C.H.T.d.P.d.; Silva, J.O.d.; Campos Rosa, J.M.; Santos, C.B.R.d. An antioxidant potential, quantum-chemical and molecular docking study of the major chemical constituents present in the leaves of Curatella americana Linn. Pharmaceuticals 2018, 11, 72. [Google Scholar] [CrossRef] [PubMed]
- Costa, J.d.S.; Ramos, R.d.S.; Costa, K.d.S.L.; Brasil, D.d.S.B.; Silva, C.H.T.d.P.d.; Ferreira, E.F.B.; Borges, R.d.S.; Campos, J.M.; Macêdo, W.J.d.C.; Santos, C.B.R.d. An in silico study of the antioxidant ability for two caffeine analogs using molecular docking and quantum chemical methods. Molecules 2018, 23, 2801. [Google Scholar] [CrossRef]
- Pinheiro, A.C.; Nunes, I.J.; Ferreira, W.V.; Tomasini, P.P.; Trindade, C.; Martins, C.C.; Wilhelm, E.A.; Oliboni, R.d.S.; Netz, P.A.; Stieler, R.; et al. Antioxidant and anticancer potential of the new Cu(II) complexes bearing imine-phenolate ligands with pendant amine N-donor groups. Pharmaceutics 2023, 15, 376. [Google Scholar] [CrossRef]
- Reddy, V.P.; Aryal, P.; Soni, P. RAGE Inhibitors in Neurodegenerative Diseases. Biomedicines 2023, 11, 1131. [Google Scholar] [CrossRef]
- Neeper, M.; Schmidt, A.M.; Brett, J.; Yan, S.D.; Wang, F.; Pan, Y.C.; Elliston, K.; Stern, D.; Shaw, A. Cloning and expression of a cell surface receptor for advanced glycosylation end products of proteins. J. Biol. Chem. 1992, 267, 14998–15004. [Google Scholar] [CrossRef]
- Twarda-Clapa, A.; Olczak, A.; Białkowska, A.M.; Koziołkiewicz, M. Advanced Glycation End-Products (AGEs): Formation, Chemistry, Classification, Receptors, and Diseases Related to AGEs. Cells 2022, 11, 1312. [Google Scholar] [CrossRef]
- Tóbon-Velasco, J.C.; Cuevas, E.; Torres-Ramos, M.A. Receptor for AGEs (RAGE) as mediator of NF-κB pathway activation in neuroinflammation and oxidative stress. CNS Neurol. Disord. Drug Targets 2014, 13, 1615–1626. [Google Scholar] [CrossRef]
- Dascalu, A.-E.; Furman, C.; Landrieu, I.; Cantrelle, F.-X.; Mortelecque, J.; Grolaux, G.; Gillery, P.; Tessier, F.; Lipka, E.; Billamboz, M.; et al. Development of Receptor for Advanced Glycation End Products (RAGE) ligands through target directed dynamic combinatorial chemistry: A novel class of possible antagonists. Chem. Eur. J. 2024, 30, e202303255. [Google Scholar] [CrossRef]
- Singh, H.; Agrawal, D.K. Therapeutic potential of targeting the receptor for advanced glycation end products (RAGE) by small molecule inhibitors. Drug Dev. Res. 2022, 83, 1257–1269. [Google Scholar] [CrossRef] [PubMed]
- Le Bagge, S.; Fotheringham, A.K.; Leung, S.S.; Forbes, J.M. Targeting the receptor for advanced glycation end products (RAGE) in type 1 diabetes. Med. Res. Rev. 2020, 40, 1200–1219. [Google Scholar] [CrossRef]
- Zheng, L.; Li, H.; Zhang, W.-S. Recent progress of small-molecule inhibitors targeting the receptor for advanced glycation endproducts. Zhongguo Yaowu Huaxue Zazhi 2021, 31, 68–77. [Google Scholar]
- Bułakowska, A.; Sławiński, J.; Hałasa, R.; Hering, A.; Gucwa, M.; Ochocka, J.R.; Stefanowicz-Hajduk, J. An In Vitro Antimicrobial, Anticancer and Antioxidant Activity of N-[(2-Arylmethylthio)phenylsulfonyl]cinnamamide Derivatives. Molecules 2023, 28, 3087. [Google Scholar] [CrossRef] [PubMed]
- Thring, T.S.A.; Hili, P.; Naughton, D.P. Anti-collagenase, anti-elastase and anti-oxidant activities of extracts from 21 plants. BMC Complement. Altern. Med. 2009, 9, 27. [Google Scholar] [CrossRef] [PubMed]
- Olszowy, M.; Dawidowicz, A.L. Essential oils as antioxidants: Their evaluation by DPPH, ABTS, FRAP, CUPRAC, and β-carotene bleaching methods. Monatsh. Chem. 2016, 147, 2083–2091. [Google Scholar] [CrossRef]
- Ray, P.D.; Huang, B.W.; Tsuji, Y. Reactive oxygen species (ROS) homeostasis and redox regulation in cellular signaling. Cell Signall. 2012, 24, 981–990. [Google Scholar] [CrossRef]













| Compound Reference | 5 | 6e | 6c | 7k | 7g |
|---|---|---|---|---|---|
| CCDC number | 2361137 | 2361139 | 2361140 | 2361141 | 2361138 |
| Chemical formula | C11H11N5 | C25H23N5O6S2 | C25H23N5O4S2 | C17H14N6O4S | C17H14ClN5O2S |
| Formula Mass | 213.25 | 553.60 | 521.60 | 398.40 | 387.84 |
| Crystal system | monoclinic | monoclinic | monoclinic | monoclinic | triclinic |
| a/Å | 6.81358(7) | 7.5517(2) | 9.8874(3) | 7.2342(11) | 7.6338(8) |
| b/Å | 12.04885(14) | 17.1382(6) | 10.3839(3) | 14.748(3) | 10.1714(8) |
| c/Å | 12.51063(14) | 19.2240(6) | 23.6423(8) | 16.643(2) | 11.6609(8) |
| α/° | 90 | 90 | 90 | 90 | 82.556(6) |
| β° | 96.2273(10) | 94.443(3) | 97.633(3) | 91.217(14) | 88.506(7) |
| ɣ° | 90 | 90 | 90 | 90 | 80.477(8) |
| Unit cell volume/Å3 | 1021.01(2) | 2480.54(13) | 2405.83(13) | 1775.2(5) | 885.41(13) |
| Space group | P21/n | P21/c | P21/c | P21/n | P1 |
| Z | 4 | 4 | 4 | 4 | 2 |
| Radiation type | Cu Kα | Mo Kα | Mo Kα | Mo Kα | Mo Kα |
| Absorption coefficient, μ/mm−1 | 0.729 | 1.482 | 0.265 | 0.222 | 0.356 |
| No. refl. measured, 2Θmax/° | 7762, 153.3 | 21,136, 52.7 | 25,848, 52.7 | 18,832, 50.1 | 14,683, 52.7 |
| No. independent reflections | 2111 | 5074 | 4904 | 4958 | 7192 |
| Rint | 0.0178 | 0.0461 | 0.0486 | 0.0722 | 0.0364 |
| Final R1 values (I > 2σ(I)) | 0.0340 | 0.0479 | 0.0469 | 0.0432 | 0.0486 |
| Final wR(F2) values (I >2σ(I)) | 0.0988 | 0.0943 | 0.01036 | 0.0708 | 0.0769 |
| Final R1 values (all data) | 0.0374 | 0.0779 | 0.0755 | 0.1011 | 0.0790 |
| Final wR(F2) values (all data) | 0.1025 | 0.1074 | 0.1163 | 0.0790 | 0.0899 |
| Goodness of fit on F2 | 1.047 | 1.037 | 1.021 | 0.831 | 0.995 |
| Compound | ABTS * | DDPH ** | FRAP *** | β˗Carotene Bleaching |
|---|---|---|---|---|
| 6a | 889.22 ± 2.64 | NR **** | 219.92 ± 1.02 | 687.5 ± 1.41 |
| 6b | 851.23 ± 2.09 | NR | 332.73 ± 1.33 | 191.61 ± 0.55 |
| 6c | 338.63 ± 1.98 | NR | 419.93 ± 0.6 | 138.92 ± 0.12 |
| 6d | 682.71 ± 1.87 | NR | 494.21 ± 0.69 | 483.1 ± 0.81 |
| 6e | 420.7 ± 1.59 | NR | 221.6 ± 1.63 | 391.42 ± 0.32 |
| 6f | 442.57 ± 1.25 | NR | 273.8 ± 0.83 | 141.21 ± 0.13 |
| 6g | 558.75 ± 1.51 | NR | 331.59 ± 1.63 | 128.21 ± 0.28 |
| 6h | 634.04 ± 0.45 | NR | NR | NR |
| 6i | 483.24 ± 0.33 | NR | NR | 144.25 ± 1.02 |
| 6j | 52.77 ± 0.25 | NR | NR | 95.24 ± 0.86 |
| 6k | 475.53 ± 0.85 | NR | NR | 416.5 ± 1.55 |
| 6l | 256.16 ± 1.05 | NR | 630.72 ± 0.21 | 413.57 ± 1.02 |
| 6m | 898.49 ± 2.15 | 891.22 ± 3.67 | 243.75 ± 0.15 | 169.96 ± 0.86 |
| 6n | NR | NR | NR | 97.41 ± 0.28 |
| 6o | NR | NR | NR | 90.81 ± 1.08 |
| 7a | NR | NR | NR | NR |
| 7b | 280.44 ± 1.68 | 518.26 ± 0.36 | 246.23 ± 1.6 | NR |
| 7c | NR | NR | NR | 296.27 ± 0.7 |
| 7d | NR | NR | NR | 169.03 ± 0.39 |
| 7e | 657.35 ± 1.59 | 834.55 ± 2.88 | 242.8 ± 0.49 | 312.68 ± 0.22 |
| 7f | 473.01 ± 1.54 | 799.29 ± 2.57 | 736.02 ± 1.19 | NR |
| 7g | 847.39 ± 2.58 | NR | NR | 685.3 ± 1.35 |
| 7h | 588.04 ± 1.25 | NR | 487.5 ± 1.88 | 167 ± 0.25 |
| 7i | 391.24 ± 1.25 | 368.5 ± 1.36 | NR | 86.21 ± 0.83 |
| 7j | 536.35 ± 2.77 | 688.45 ± 2.67 | NR | 429.01 ± 1.15 |
| 7k | NR | NR | NR | 293.83 ± 0.56 |
| 7l | NR | NR | NR | NR |
| 7m | 166.17 ± 1.11 | 290.63 ± 1.9 | NR | NR |
| Ascorbic acid | 15.68 ± 0.8 | 12.75 ± 0.55 | 10.17 ± 0.51 | 49.76 ± 0.67 |
| Compound | LUMO{+1} | LUMO | HOMO | HOMO{−1} |
|---|---|---|---|---|
| 6j | ![]() | ![]() | ![]() | ![]() |
| 1.9 eV | 1.4 eV | −9.2 eV | −9.6 eV | |
| (a)GAP1 = 10.6 eV | (b)GAP2 = 11.1 eV | (c)GAP3 = 11.0 eV | (d)GAP4 = 11.5 eV | |
| 6k | ![]() | ![]() | ![]() | ![]() |
| 2.1 eV | 1.7 eV | −9.0 eV | −9.3 eV | |
| GAP1 = 10.7 eV | GAP2 = 11.1 eV | GAP3 = 11.0 eV | GAP4 = 11.4 eV | |
| 6n | ![]() | ![]() | ![]() | ![]() |
| 2.1 eV | 1.7eV | −8.4 eV | −8.7 eV | |
| GAP1 = 10.1 eV | GAP2 = 10.5 eV | GAP3 = 10.4 eV | GAP4 = 10.8 eV | |
| 6o | ![]() | ![]() | ![]() | ![]() |
| 2.2 eV | 1.7 eV | −8.6 eV | −9.1 eV | |
| GAP1 = 10.3 eV | GAP2 = 10.8 eV | GAP3 = 10.8 eV | GAP4 = 11.3 eV | |
| 7h | ![]() | ![]() | ![]() | ![]() |
| 2.3 eV | 1.9 eV | −8.2 eV | −9.3 eV | |
| GAP1 = 10.1 eV | GAP2 = 10.5 eV | GAP3 = 11.2 eV | GAP4 = 11.6 eV | |
| 7i | ![]() | ![]() | ![]() | ![]() |
| 2.3 eV | 1.8 eV | −8.2 eV | −9.2 eV | |
| GAP1 = 10.0 eV | GAP2 = 10.5 eV | GAP3 = 11.0 eV | GAP4 = 11.5 eV |
| Compound | Inhibition | |
|---|---|---|
![]() | R = | |
| 6a | CH3 | NA * |
| 6b | C6H5 | 11.0% |
| 6g | 4-(CH3)3C-C6H4 | NA |
| 6m | 2-naphthyl | NA |
![]() | R = | |
| 7a | CH3 | NA |
| 7c | 4-CH3-C6H4 | NA |
| 7d | 3-CH3O-C6H4 | 36.7% |
| 7e | 4-(CH3)3C-C6H4 | NA |
| 7f | 2-Cl-C6H4 | 31.9% |
| 7g | 4-Cl-C6H4 | NA |
| 7i | 2,6-di-Cl-C6H3 | NA |
| 7j | 3,4-di-Cl-C6H3 | NA |
| 7k | 4-NO2-C6H4 | 35.6% |
Disclaimer/Publisher’s Note: The statements, opinions and data contained in all publications are solely those of the individual author(s) and contributor(s) and not of MDPI and/or the editor(s). MDPI and/or the editor(s) disclaim responsibility for any injury to people or property resulting from any ideas, methods, instructions or products referred to in the content. |
© 2024 by the authors. Licensee MDPI, Basel, Switzerland. This article is an open access article distributed under the terms and conditions of the Creative Commons Attribution (CC BY) license (https://creativecommons.org/licenses/by/4.0/).
Share and Cite
Balewski, Ł.; Gdaniec, M.; Hering, A.; Furman, C.; Ghinet, A.; Kokoszka, J.; Ordyszewska, A.; Kornicka, A. Synthesis and Structure of Novel Hybrid Compounds Containing Phthalazin-1(2H)-imine and 4,5-Dihydro-1H-imidazole Cores and Their Sulfonyl Derivatives with Potential Biological Activities. Int. J. Mol. Sci. 2024, 25, 11495. https://doi.org/10.3390/ijms252111495
Balewski Ł, Gdaniec M, Hering A, Furman C, Ghinet A, Kokoszka J, Ordyszewska A, Kornicka A. Synthesis and Structure of Novel Hybrid Compounds Containing Phthalazin-1(2H)-imine and 4,5-Dihydro-1H-imidazole Cores and Their Sulfonyl Derivatives with Potential Biological Activities. International Journal of Molecular Sciences. 2024; 25(21):11495. https://doi.org/10.3390/ijms252111495
Chicago/Turabian StyleBalewski, Łukasz, Maria Gdaniec, Anna Hering, Christophe Furman, Alina Ghinet, Jakub Kokoszka, Anna Ordyszewska, and Anita Kornicka. 2024. "Synthesis and Structure of Novel Hybrid Compounds Containing Phthalazin-1(2H)-imine and 4,5-Dihydro-1H-imidazole Cores and Their Sulfonyl Derivatives with Potential Biological Activities" International Journal of Molecular Sciences 25, no. 21: 11495. https://doi.org/10.3390/ijms252111495
APA StyleBalewski, Ł., Gdaniec, M., Hering, A., Furman, C., Ghinet, A., Kokoszka, J., Ordyszewska, A., & Kornicka, A. (2024). Synthesis and Structure of Novel Hybrid Compounds Containing Phthalazin-1(2H)-imine and 4,5-Dihydro-1H-imidazole Cores and Their Sulfonyl Derivatives with Potential Biological Activities. International Journal of Molecular Sciences, 25(21), 11495. https://doi.org/10.3390/ijms252111495



























