Elucidation of 4-Hydroxybenzoic Acid Catabolic Pathways in Pseudarthrobacter phenanthrenivorans Sphe3
Abstract
1. Introduction
2. Results and Discussion
2.1. Utilization of 4-HBA as the Sole Carbon and Energy Source
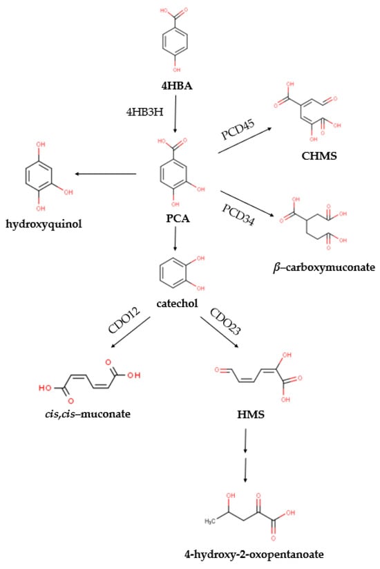
2.2. In Silico Analysis of P. phenanthrenivorans Genome: 4-HBA Degradation Pathway
2.3. Elucidation of 4-HBA Degradation Pathway in Sphe3
3. Materials and Methods
3.1. Bacterial Strains and Growth Conditions
3.2. Curing of pASPHE301 Plasmid
3.3. Preparation of Cell Extracts
3.4. Enzyme Assays
3.5. Quantitative Real-Time PCR (RT-qPCR)
3.6. Assessments of Growth and Determination of Residual 4-HBA in Culture Medium
3.7. HPLC Instrumentation and Chromatographic Analysis Conditions
3.8. UHPLC-LTQ/Orbitrap-HR-MS Analysis
3.9. In Silico Analysis of P. phenanthrenivorans Genome: 4-HBA Degradation Pathway
4. Conclusions
Supplementary Materials
Author Contributions
Funding
Institutional Review Board Statement
Informed Consent Statement
Data Availability Statement
Conflicts of Interest
References
- Haman, C.; Dauchy, X.; Rosin, C.; Munoz, J.-F. Occurrence, Fate and Behavior of Parabens in Aquatic Environments: A Review. Water Res. 2015, 68, 1–11. [Google Scholar] [CrossRef] [PubMed]
- Lu, P.; Huang, H.; Sun, Y.; Qiang, M.; Zhu, Y.; Cao, M.; Peng, X.; Yuan, B.; Feng, Z. Biodegradation of 4-Hydroxybenzoic Acid by Acinetobacter johnsonii FZ-5 and Klebsiella oxytoca FZ-8 under Anaerobic Conditions. Biodegradation 2022, 33, 17–31. [Google Scholar] [CrossRef]
- Liao, C.; Shi, J.; Wang, X.; Zhu, Q.; Kannan, K. Occurrence and Distribution of Parabens and Bisphenols in Sediment from Northern Chinese Coastal Areas. Environ. Pollut. 2019, 253, 759–767. [Google Scholar] [CrossRef]
- Harwood, C.S.; Parales, R.E. The β-Ketoadipate Pathway and the Biology of Self-Identity. Annu. Rev. Microbiol. 1996, 50, 553–590. [Google Scholar] [CrossRef] [PubMed]
- Prathibha, K.; Sumathi, S. Biodegradation of Mixture Containing Monohydroxybenzoate Isomers by Acinetobacter calcoaceticus. World J. Microbiol. Biotechnol. 2008, 24, 813–823. [Google Scholar] [CrossRef]
- Kamimura, N.; Masai, E. The Protocatechuate 4,5-Cleavage Pathway: Overview and New Findings. In Biodegradative Bacteria; Springer: Tokyo, Japan, 2014; pp. 207–226. ISBN 9784431545200. [Google Scholar]
- Li, Y.-X.; Lin, W.; Han, Y.-H.; Wang, Y.-Q.; Wang, T.; Zhang, H.; Zhang, Y.; Wang, S.-S. Biodegradation of P-Hydroxybenzoic Acid in Herbaspirillum aquaticum KLS-1 Isolated from Tailing Soil: Characterization and Molecular Mechanism. J. Hazard. Mater. 2023, 456, 131669. [Google Scholar] [CrossRef] [PubMed]
- Shahsavari, E.; Schwarz, A.; Aburto-Medina, A.; Ball, A.S. Biological Degradation of Polycyclic Aromatic Compounds (PAHs) in Soil: A Current Perspective. Curr. Pollut. Rep. 2019, 5, 84–92. [Google Scholar] [CrossRef]
- Sakshi; Haritash, A.K. A Comprehensive Review of Metabolic and Genomic Aspects of PAH-Degradation. Arch. Microbiol. 2020, 202, 2033–2058. [Google Scholar] [CrossRef]
- Chenprakhon, P.; Wongnate, T.; Chaiyen, P. Monooxygenation of Aromatic Compounds by Flavin-dependent Monooxygenases. Protein Sci. 2019, 28, 8–29. [Google Scholar] [CrossRef]
- Tsagogiannis, E.; Vandera, E.; Primikyri, A.; Asimakoula, S.; Tzakos, A.G.; Gerothanassis, I.P.; Koukkou, A.-I. Characterization of Protocatechuate 4,5-Dioxygenase from Pseudarthrobacter phenanthrenivorans Sphe3 and In Situ Reaction Monitoring in the NMR Tube. Int. J. Mol. Sci. 2021, 22, 9647. [Google Scholar] [CrossRef]
- Chen, K.; Huang, L.; Xu, C.; Liu, X.; He, J.; Zinder, S.H.; Li, S.; Jiang, J. Molecular Characterization of the Enzymes Involved in the Degradation of a Brominated Aromatic Herbicide. Mol. Microbiol. 2013, 89, 1121–1139. [Google Scholar] [CrossRef] [PubMed]
- Chen, K.; Jian, S.; Huang, L.; Ruan, Z.; Li, S.; Jiang, J. Reductive Dehalogenation of 3,5-Dibromo-4-Hydroxybenzoate by an Aerobic Strain of Delftia sp. EOB-17. Biotechnol. Lett. 2015, 37, 2395–2401. [Google Scholar] [CrossRef] [PubMed]
- Ni, B.; Zhang, Y.; Chen, D.-W.; Wang, B.-J.; Liu, S.-J. Assimilation of Aromatic Compounds by Comamonas testosteroni: Characterization and Spreadability of Protocatechuate 4,5-Cleavage Pathway in Bacteria. Appl. Microbiol. Biotechnol. 2013, 97, 6031–6041. [Google Scholar] [CrossRef]
- Yun, S.H.; Choi, C.-W.; Lee, S.-Y.; Lee, Y.G.; Kwon, J.; Leem, S.H.; Chung, Y.H.; Kahng, H.-Y.; Kim, S.J.; Kwon, K.K.; et al. Proteomic Characterization of Plasmid PLA1 for Biodegradation of Polycyclic Aromatic Hydrocarbons in the Marine Bacterium, Novosphingobium pentaromativorans US6-1. PLoS ONE 2014, 9, e90812. [Google Scholar] [CrossRef] [PubMed]
- Kim, Y.H.; Cho, K.; Yun, S.-H.; Kim, J.Y.; Kwon, K.-H.; Yoo, J.S.; Kim, S. Il Analysis of Aromatic Catabolic Pathways in Pseudomonas putida KT 2440 Using a Combined Proteomic Approach: 2-DE/MS and Cleavable Isotope-Coded Affinity Tag Analysis. Proteomics 2006, 6, 1301–1318. [Google Scholar] [CrossRef] [PubMed]
- Henson, W.R.; Campbell, T.; DeLorenzo, D.M.; Gao, Y.; Berla, B.; Kim, S.J.; Foston, M.; Moon, T.S.; Dantas, G. Multi-Omic Elucidation of Aromatic Catabolism in Adaptively Evolved Rhodococcus opacus. Metab. Eng. 2018, 49, 69–83. [Google Scholar] [CrossRef]
- Wang, L.; Liu, T.; Liu, F.; Zhang, J.; Wu, Y.; Sun, H. Occurrence and Profile Characteristics of the Pesticide Imidacloprid, Preservative Parabens, and Their Metabolites in Human Urine from Rural and Urban China. Environ. Sci. Technol. 2015, 49, 14633–14640. [Google Scholar] [CrossRef]
- Donoso, R.A.; Pérez-Pantoja, D.; González, B. Strict and Direct Transcriptional Repression of the PobA Gene by Benzoate Avoids 4-hydroxybenzoate Degradation in the Pollutant Degrader Bacterium Cupriavidus necator JMP134. Environ. Microbiol. 2011, 13, 1590–1600. [Google Scholar] [CrossRef]
- Kallimanis, A.; Labutti, K.M.; Lapidus, A.; Clum, A.; Lykidis, A.; Mavromatis, K.; Pagani, I.; Liolios, K.; Ivanova, N.; Goodwin, L.; et al. Complete Genome Sequence of Arthrobacter phenanthrenivorans Type Strain (Sphe3). Stand. Genom. Sci. 2011, 4, 123–130. [Google Scholar] [CrossRef][Green Version]
- Johnson, T.A.; Sims, G.K.; Ellsworth, T.R.; Ballance, A.R. Effects of Moisture and Sorption on Bioavailability of P-Hydroxybenzoic Acid to Arthrobacter sp. in Soil. Microbiol. Res. 1999, 153, 349–353. [Google Scholar] [CrossRef]
- Sharma, N.K.; Pandey, J.; Gupta, N.; Jain, R.K. Growth and Physiological Response of Arthrobacter protophormiae RKJ100 toward Higher Concentrations of o-Nitrobenzoate and p-Hydroxybenzoate. FEMS Microbiol. Lett. 2007, 271, 65–70. [Google Scholar] [CrossRef]
- Hernández-Fernández, G.; Galán, B.; Carmona, M.; Castro, L.; García, J.L. Transcriptional Response of the Xerotolerant Arthrobacter sp. Helios Strain to PEG-Induced Drought Stress. Front. Microbiol. 2022, 13, 1009068. [Google Scholar] [CrossRef] [PubMed]
- Kallimanis, A.; Frillingos, S.; Drainas, C.; Koukkou, A.I. Taxonomic Identification, Phenanthrene Uptake Activity, and Membrane Lipid Alterations of the PAH Degrading Arthrobacter sp. Strain Sphe3. Appl. Microbiol. Biotechnol. 2007, 76, 709–717. [Google Scholar] [CrossRef] [PubMed]
- Asimakoula, S.; Marinakos, O.; Tsagogiannis, E.; Koukkou, A.-I. Phenol Degradation by Pseudarthrobacter phenanthrenivorans Sphe3. Microorganisms 2023, 11, 524. [Google Scholar] [CrossRef] [PubMed]
- Vandera, E.; Samiotaki, M.; Parapouli, M.; Panayotou, G.; Koukkou, A.I. Comparative Proteomic Analysis of Arthrobacter phenanthrenivorans Sphe3 on Phenanthrene, Phthalate and Glucose. J. Proteom. 2015, 113, 73–89. [Google Scholar] [CrossRef] [PubMed]
- Kallimanis, A.; Kavakiotis, K.; Perisynakis, A.; Sproer, C.; Pukall, R.; Drainas, C.; Koukkou, A.I. Arthrobacter phenanthrenivorans sp. Nov., to Accommodate the Phenanthrene-Degrading Bacterium Arthrobacter Sp. Strain Sphe3. Int. J. Syst. Evol. Microbiol. 2009, 59, 275–279. [Google Scholar] [CrossRef]
- Spence, E.M.; Scott, H.T.; Dumond, L.; Calvo-Bado, L.; di Monaco, S.; Williamson, J.J.; Persinoti, G.F.; Squina, F.M.; Bugg, T.D.H. The Hydroxyquinol Degradation Pathway in Rhodococcus jostii RHA1 and Agrobacterium Species Is an Alternative Pathway for Degradation of Protocatechuic Acid and Lignin Fragments. Appl. Environ. Microbiol. 2020, 86, e01561-20. [Google Scholar] [CrossRef]
- Sonoki, T.; Morooka, M.; Sakamoto, K.; Otsuka, Y.; Nakamura, M.; Jellison, J.; Goodell, B. Enhancement of Protocatechuate Decarboxylase Activity for the Effective Production of Muconate from Lignin-Related Aromatic Compounds. J. Biotechnol. 2014, 192, 71–77. [Google Scholar] [CrossRef]
- Grant, D.J.W.; Patel, J.C. The Non-Oxidative Decarboxylation Of p-Hydroxybenzoic Acid, Gentisic Acid, Protocatechuic Acid and Gallic Acid By Klebsiella aerogenes (Aerobacter Aerogenes). Antonie Van Leeuwenhoek 1969, 35, 325–343. [Google Scholar] [CrossRef]
- He, Z.; Wiegel, J. Purification and Characterization of an Oxygen-Sensitive, Reversible 3,4-Dihydroxybenzoate Decarboxylase from Clostridium hydroxybenzoicum. J. Bacteriol. 1996, 178, 3539–3543. [Google Scholar] [CrossRef]
- Yoshida, T.; Inami, Y.; Matsui, T.; Nagasawa, T. Regioselective Carboxylation of Catechol by 3,4-Dihydroxybenzoate Decarboxylase of Enterobacter cloacae P. Biotechnol. Lett. 2010, 32, 701–705. [Google Scholar] [CrossRef] [PubMed]
- Cao, B.; Nagarajan, K.; Loh, K.-C. Biodegradation of Aromatic Compounds: Current Status and Opportunities for Biomolecular Approaches. Appl. Microbiol. Biotechnol. 2009, 85, 207–228. [Google Scholar] [CrossRef] [PubMed]
- Si, H.-L.; Shi, F.-X.; Zhang, L.-L.; Yue, H.-S.; Wang, H.-Y.; Zhao, Z.-T. Subtercola lobariae sp. nov., an Actinobacterium of the Family Microbacteriaceae Isolated from the Lichen Lobaria retigera. Int. J. Syst. Evol. Microbiol. 2017, 67, 1516–1521. [Google Scholar] [CrossRef] [PubMed]
- Clark, J.S.; Buswell, J.A. Catabolism of Gentisic Acid by Two Strains of Bacillus stearothermophilus. J. Gen. Microbiol. 1979, 112, 191–195. [Google Scholar] [CrossRef]
- Crawford, R.L. Pathways of 4-Hydroxybenzoate Degradation among Species of Bacillus. J. Bacteriol. 1976, 127, 204–210. [Google Scholar] [CrossRef]
- Fairley, D.J.; Boyd, D.R.; Sharma, N.D.; Allen, C.C.R.; Morgan, P.; Larkin, M.J. Aerobic Metabolism of 4-Hydroxybenzoic Acid in Archaea via an Unusual Pathway Involving an Intramolecular Migration (NIH Shift). Appl. Environ. Microbiol. 2002, 68, 6246–6255. [Google Scholar] [CrossRef]
- Romero-Silva, M.J.; Méndez, V.; Agulló, L.; Seeger, M.; Me, V.; Agullo, L. Genomic and Functional Analyses of the Gentisate and Protocatechuate Ring-Cleavage Pathways and Related 3-Hydroxybenzoate and 4-Hydroxybenzoate Peripheral Pathways in Burkholderia xenovorans LB400. PLoS ONE 2013, 8, e56038. [Google Scholar] [CrossRef] [PubMed][Green Version]
- Allende, J.L.; Gibello, A.; Fortún, A.; Mengs, G.; Ferrer, E.; Martín, M. 4-Hydroxybenzoate Uptake in an Isolated Soil Acinetobacter sp. Curr. Microbiol. 2000, 40, 34–39. [Google Scholar] [CrossRef]
- Suemori, A.; Nakajima, K.; Kurane, R.; Nakamura, Y. o-, m- and p-Hydroxybenzoate Degradative Pathways in Rhodococcus erythropolis. FEMS Microbiol. Lett. 1995, 125, 31–35. [Google Scholar] [CrossRef][Green Version]
- Wang, J.-Y.; Zhou, L.; Chen, B.; Sun, S.; Zhang, W.; Li, M.; Tang, H.; Jiang, B.-L.; Tang, J.-L.; He, Y.-W. A Functional 4-Hydroxybenzoate Degradation Pathway in the Phytopathogen Xanthomonas campestris Is Required for Full Pathogenicity. Sci. Rep. 2015, 5, 18456. [Google Scholar] [CrossRef]
- Ren, C.; Wang, Y.; Wu, Y.; Zhao, H.P.; Li, L. Complete Degradation of di-n-Butyl Phthalate by Glutamicibacter sp. Strain 0426 with a Novel Pathway. Biodegradation 2023, 35, 87–99. [Google Scholar] [CrossRef] [PubMed]
- Brzostowicz, P.C.; Reams, A.B.; Clark, T.J.; Neidle, E.L. Transcriptional Cross-Regulation of the Catechol and Protocatechuate Branches of the β-Ketoadipate Pathway Contributes to Carbon Source-Dependent Expression of the Acinetobacter sp. Strain ADP1 pobA Gene. Appl. Environ. Microbiol. 2003, 69, 1598–1606. [Google Scholar] [CrossRef] [PubMed]
- Ghimire, N.; Kim, B.; Lee, C.-M.; Oh, T.-J. Comparative Genome Analysis among Variovorax Species and Genome Guided Aromatic Compound Degradation Analysis Emphasizing 4-Hydroxybenzoate Degradation in Variovorax sp. PAMC26660. BMC Genom. 2022, 23, 375. [Google Scholar] [CrossRef]
- Chakraborty, J.; Suzuki-Minakuchi, C.; Tomita, T.; Okada, K.; Nojiri, H. A Novel Gene Cluster Is Involved in the Degradation of Lignin-Derived Monoaromatics in Thermus oshimai JL-2. Appl. Environ. Microbiol. 2021, 87, e01589-20. [Google Scholar] [CrossRef]
- Daubaras, D.L.; Saido, K.; Chakrabarty, A.M. Purification of Hydroxyquinol 1,2-Dioxygenase and Maleylacetate Reductase: The Lower Pathway of 2,4,5-Trichlorophenoxyacetic Acid Metabolism by Burkholderia cepacia AC1100. Appl. Environ. Microbiol. 1996, 62, 4276–4279. [Google Scholar] [CrossRef]
- Yamamoto, K.; Nishimura, M.; Kato, D.-I.; Takeo, M.; Negoro, S. Identification and Characterization of Another 4-Nitrophenol Degradation Gene Cluster, Nps, in Rhodococcus sp. Strain PN1. J. Biosci. Bioeng. 2011, 111, 687–694. [Google Scholar] [CrossRef]
- Armengaud, J.; Timmis, K.N.; Wittich, R.-M. A Functional 4-Hydroxysalicylate/Hydroxyquinol Degradative Pathway Gene Cluster Is Linked to the Initial Dibenzo- p -Dioxin Pathway Genes in Sphingomonas sp. Strain RW1. J. Bacteriol. 1999, 181, 3452–3461. [Google Scholar] [CrossRef] [PubMed]
- Pérez-Pantoja, D.; De La Iglesia, R.; Pieper, D.H.; González, B. Metabolic Reconstruction of Aromatic Compounds Degradation from the Genome of the Amazing Pollutant-Degrading Bacterium Cupriavidus necator JMP134. FEMS Microbiol. Rev. 2008, 32, 736–794. [Google Scholar] [CrossRef]
- Nordin, K.; Unell, M.; Jansson, J.K. Novel 4-Chlorophenol Degradation Gene Cluster and Degradation Route via Hydroxyquinol in Arthrobacter chlorophenolicus A6. Appl. Environ. Microbiol. 2005, 71, 6538–6544. [Google Scholar] [CrossRef]
- Tomoeda, M.; Inuzuka, M.; Kubo, N.; Nakamura, S. Effective Elimination of Drug Resistance and Sex Factors in Escherichia coli by Sodium Dodecyl Sulfate. J. Bacteriol. 1968, 95, 1078–1089. [Google Scholar] [CrossRef]
- William, S.; Feil, H.; Copeland, A. Bacterial DNA Isolation CTAB Protocol Bacterial Genomic DNA Isolation Using CTAB Materials & Reagents. Doe Jt. Genome Inst. 2004, 4. Available online: https://jgi.doe.gov/wp-content/uploads/2014/02/JGI-Bacterial-DNA-isolation-CTAB-Protocol-2012.pdf (accessed on 14 September 2022).
- Herschleb, J.; Ananiev, G.; Schwartz, D.C. Pulsed-Field Gel Electrophoresis. Nat. Protoc. 2007, 2, 677–684. [Google Scholar] [CrossRef]
- Bradford, M.M. A Rapid and Sensitive Method for the Quantitation of Microgram Quantities of Protein Utilizing the Principle of Protein-Dye Binding. Anal. Biochem. 1976, 72, 248–254. [Google Scholar] [CrossRef]
- Iwagami, S.G.; Yang, K.; Davies, J. Characterization of the Protocatechuic Acid Catabolic Gene Cluster from Streptomyces sp. Strain 2065. Appl. Environ. Microbiol. 2000, 66, 1499–1508. [Google Scholar] [CrossRef]
- Vandera, E.; Kavakiotis, K.; Kallimanis, A.; Kyrpides, N.C.; Drainas, C.; Koukkou, A. Heterologous Expression and Characterization of Two 1-Hydroxy-2-Naphthoic Acid Dioxygenases from Arthrobacter phenanthrenivorans. Appl. Environ. Microbiol. 2012, 78, 621–627. [Google Scholar] [CrossRef]
- Pfaffl, M.W. A New Mathematical Model for Relative Quantification in Real-Time RT-PCR. Nucleic Acids Res. 2001, 29, e45. [Google Scholar] [CrossRef]
- Corbella, M.E.; Puyet, A. Real-Time Reverse Transcription-PCR Analysis of Expression of Halobenzoate and Salicylate Catabolism-Associated Operons in Two Strains of Pseudomonas aeruginosa. Appl. Environ. Microbiol. 2003, 69, 2269–2275. [Google Scholar] [CrossRef][Green Version]
- Applied Biosystems Relative Quantitation of Gene Expression. ABI Prism 7700 Sequence Detection System. 1997. Available online: https://assets.thermofisher.com/TFS-Assets/LSG/manuals/cms_040980.pdf (accessed on 7 August 2022).
- Liolios, K.; Chen, I.M.A.; Mavromatis, K.; Tavernarakis, N.; Hugenholz, P.; Markowitz, V.M.; Kyrpides, N.C. The Genomes on Line Database (GOLD) in 2009: Status of Genomic and Metagenomic Projects and Their Associated Metadata. Nucleic Acids Res. 2010, 38, D346–D354. [Google Scholar] [CrossRef]




| m/z | (M-H)− | R.T. (min) | Compound | Catabolic Pathway | Exponential | Late Exponential | Stationary | Late Stationary |
|---|---|---|---|---|---|---|---|---|
| 109.0295 | C6H5O2 | 1.84 | catechol | - | Sphe3, Sphe3c | Sphe3, Sphe3c | Sphe3c | - |
| hydroquinone | - | |||||||
| 125.0250 | C6H5O3 | 2.06 | hydroxyquinol | - | Sphe3, Sphe3c | - | - | - |
| 131.0357 | C5H7O4 | 0.91–1.2 | 4-hydroxy-2-oxopentanoate | CDO23 | - | - | Sphe3 | Sphe3 |
| 137.0244 | C7H5O3 | 3.3 | 4HB | - | Sphe3, Sphe3c | Sphe3, Sphe3c | Sphe3, Sphe3c | Sphe3, Sphe3c |
| 141.0193 | C6H5O4 | 0.62 | cis,cis-4-hydroxymuconate semialdehyde | HQDO12 | Sphe3, Sphe3c | Sphe3, Sphe3c | Sphe3, Sphe3c | Sphe3, Sphe3c |
| cis,cis-muconate | CDO12 | |||||||
| (+)-muconolactone | CDO12 | |||||||
| 3-oxoadipate | CDO12 | |||||||
| 2-hydroxymuconate semialdehyde | CDO23 | |||||||
| 153.0193 | C7H5O4 | 1.88 | PCA | - | Sphe3, Sphe3c | Sphe3, Sphe3c | Sphe3, Sphe3c | Sphe3, Sphe3c |
| gentisate | - | |||||||
| pyrocatechuate | - | |||||||
| 185.0091 | C7H5O6 | 0.54 | 4-carboxy-2-hydroxymuconate semialdehyde | PCD45 | Sphe3, Sphe3c | Sphe3, Sphe3c | Sphe3, Sphe3c | Sphe3, Sphe3c |
| 2-hydroxy-2-hydropyrone-4,6-dicarboxylate | PCD45 | |||||||
| 3-carboxy-cis,cis-muconate | PCD34 | |||||||
| 4-carboxymuconolactone | PCD34 | |||||||
| 2-carboxy-2,5-dihydro-5-oxofuran-2-acetate | PCD34 | |||||||
| maleylpyruvate | GDO | |||||||
| 3-fumarylpyruvate | GDO | |||||||
| 3-carboxy-2-hydroxymuconate semialdehyde | PRCD34 |
Disclaimer/Publisher’s Note: The statements, opinions and data contained in all publications are solely those of the individual author(s) and contributor(s) and not of MDPI and/or the editor(s). MDPI and/or the editor(s) disclaim responsibility for any injury to people or property resulting from any ideas, methods, instructions or products referred to in the content. |
© 2024 by the authors. Licensee MDPI, Basel, Switzerland. This article is an open access article distributed under the terms and conditions of the Creative Commons Attribution (CC BY) license (https://creativecommons.org/licenses/by/4.0/).
Share and Cite
Tsagogiannis, E.; Asimakoula, S.; Drainas, A.P.; Marinakos, O.; Boti, V.I.; Kosma, I.S.; Koukkou, A.-I. Elucidation of 4-Hydroxybenzoic Acid Catabolic Pathways in Pseudarthrobacter phenanthrenivorans Sphe3. Int. J. Mol. Sci. 2024, 25, 843. https://doi.org/10.3390/ijms25020843
Tsagogiannis E, Asimakoula S, Drainas AP, Marinakos O, Boti VI, Kosma IS, Koukkou A-I. Elucidation of 4-Hydroxybenzoic Acid Catabolic Pathways in Pseudarthrobacter phenanthrenivorans Sphe3. International Journal of Molecular Sciences. 2024; 25(2):843. https://doi.org/10.3390/ijms25020843
Chicago/Turabian StyleTsagogiannis, Epameinondas, Stamatia Asimakoula, Alexandros P. Drainas, Orfeas Marinakos, Vasiliki I. Boti, Ioanna S. Kosma, and Anna-Irini Koukkou. 2024. "Elucidation of 4-Hydroxybenzoic Acid Catabolic Pathways in Pseudarthrobacter phenanthrenivorans Sphe3" International Journal of Molecular Sciences 25, no. 2: 843. https://doi.org/10.3390/ijms25020843
APA StyleTsagogiannis, E., Asimakoula, S., Drainas, A. P., Marinakos, O., Boti, V. I., Kosma, I. S., & Koukkou, A.-I. (2024). Elucidation of 4-Hydroxybenzoic Acid Catabolic Pathways in Pseudarthrobacter phenanthrenivorans Sphe3. International Journal of Molecular Sciences, 25(2), 843. https://doi.org/10.3390/ijms25020843

