Characterization and Potential Action Mode Divergences of Homologous ACO1 Genes during the Organ Development and Ripening Process between Non-Climacteric Grape and Climacteric Peach
Abstract
1. Introduction
2. Results
2.1. Identification and Characterization of ACO1 Genes from Grape and Peach
2.2. Phylogenetic and Conservative Analysis of VvACO1 and PpACO1 Proteins
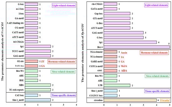
2.3. The Promoter Analysis of VvACO1 and PpACO1
2.4. The Tissue-Specific Expression Modes of VvACO1 and PpACO1
2.5. Transient Over-Expressed VvACO1 and PpACO1 in Tomato Fruits
2.6. Virus-Induced VvACO1 and PpACO1 Silencing in Tomato Fruits
3. Discussion
3.1. Characterization and Expression Modes of VvACO1 and PpACO1 Genes
3.2. Regulatory Roles of Plant Hormones in Climacteric and Non-Climacteric Plants
3.3. The Biological Functions of VvACO1 and PpACO1
4. Materials and Methods
4.1. Plant Materials
4.2. RNA Isolation and cDNA Synthesis
4.3. PCR Amplification of the VvACO1 and PpACO1 Open Reading Frame
4.4. The Bioinformatics Analysis of VvACO1 and PpACO1
4.5. Expression Analysis of VvACO1 and PpACO1
4.6. Vector Construction of VvACO1 and PpACO1
4.7. Transient Injection of the Tomato Fruits
5. Conclusions
Supplementary Materials
Author Contributions
Funding
Institutional Review Board Statement
Informed Consent Statement
Data Availability Statement
Conflicts of Interest
References
- McAtee, P.; Karim, S.; Schaffer, R.; David, K. A dynamic interplay between phytohormones is required for fruit development, maturation, and ripening. Front. Plant Sci. 2013, 4, 79. [Google Scholar] [CrossRef]
- Su, Z.W.; Wang, X.C.; Xuan, X.X.; Sheng, Z.L.; Jia, H.R.; Emal, N.; Liu, Z.J.; Zheng, T.; Wang, C.; Fang, J.G. Characterization and Action Mechanism Analysis of VvmiR156b/c/d-VvSPL9 Module Responding to Multiple-Hormone Signals in the Modulation of Grape Berry Color Formation. Foods 2021, 10, 896. [Google Scholar] [CrossRef]
- Cherian, S.; Figueroa, C.R.; Nair, H. ‘Movers and shakers’ in the regulation of fruit ripening: A cross-dissection of climacteric versus non-climacteric fruit. J. Exp. Bot. 2014, 65, 4705–4722. [Google Scholar] [CrossRef]
- Lelievre, J.M.; Latche, A.; Jones, B.; Bouzayen, M.; Pech, J.C. Ethylene and fruit ripening. Physiol. Plant. 1997, 101, 727–739. [Google Scholar] [CrossRef]
- Katz, E.; Lagunes, P.M.; Riov, J.; Weiss, D.; Goldschmidt, E.E. Molecular and physiological evidence suggests the existence of a system II-like pathway of ethylene production in non-climacteric Citrus fruit. Planta 2004, 219, 243–252. [Google Scholar] [CrossRef] [PubMed]
- Symons, G.M.; Chua, Y.J.; Ross, J.J.; Quittenden, L.J.; Davies, N.W.; Reid, J.B. Hormonal changes during non-climacteric ripening in strawberry. J. Exp. Bot. 2012, 63, 4741–4750. [Google Scholar] [CrossRef] [PubMed]
- Chen, Y.; Grimplet, J.; David, K.; Castellarin, S.D.; Terol, J.; Wong, D.C.J.; Luo, Z.W.; Schaffer, R.; Celton, J.M.; Talon, M.; et al. Ethylene receptors and related proteins in climacteric and non-climacteric fruits. Plant Sci. 2018, 276, 63–72. [Google Scholar] [CrossRef]
- Wang, P.P.; Yu, A.S.; Ji, X.L.; Mu, Q.; Haider, M.S.; Wei, R.A.; Leng, X.P.; Fang, J.G. Transcriptome and metabolite integrated analysis reveals that exogenous ethylene controls berry ripening processes in grapevine. Food Res. Int. 2022, 155, 111084. [Google Scholar] [CrossRef] [PubMed]
- Ferrara, G.; Mazzeo, A.; Matarrese, A.M.S.; Pacucci, C.; Trani, A.; Fidelibus, M.W.; Gambacorta, G. Ethephon As a Potential Abscission Agent for Table Grapes: Effects on Pre-Harvest Abscission, Fruit Quality, and Residue. Front. Plant Sci. 2016, 7, 620. [Google Scholar] [CrossRef]
- Liu, M.Y.; Song, C.Z.; Chi, M.; Wang, T.M.; Zuo, L.L.; Li, X.L.; Zhang, Z.W.; Xi, Z.M. The effects of light and ethylene and their interaction on the regulation of proanthocyanidin and anthocyanin synthesis in the skins of Vitis vinifera berries. Plant Growth Regul. 2016, 79, 377–390. [Google Scholar] [CrossRef]
- Villarreal, N.M.; Bustamante, C.A.; Civello, P.M.; Martinez, G.A. Effect of ethylene and 1-MCP treatments on strawberry fruit ripening. J. Sci. Food Agric. 2010, 90, 683–689. [Google Scholar] [CrossRef]
- Merchante, C.; Vallarino, J.G.; Osorio, S.; Araguez, I.; Villarreal, N.; Ariza, M.T.; Martinez, G.A.; Medina-Escobar, N.; Civello, M.P.; Fernie, A.R.; et al. Ethylene is involved in strawberry fruit ripening in an organ-specific manner. J. Exp. Bot. 2013, 64, 4421–4439. [Google Scholar] [CrossRef] [PubMed]
- Mayuoni, L.; Tietel, Z.; Patil, B.S.; Porat, R. Does ethylene degreening affect internal quality of citrus fruit? Postharvest Biol. Technol. 2011, 62, 50–58. [Google Scholar] [CrossRef]
- Zhu, Y.X. Screening of Key ERF Genes for Grape Resistance to Botrytis cinerea and Regulation Mechanism of VaERF16 Resistance to Botrytis cinerea. Ph.D. Dissertation, Northwest A&F University, Xianyang, China, 2022. [Google Scholar]
- Cazzonelli, C.I.; Cavallaro, A.S.; Botella, J.R. Cloning and characterisation of rixpening-induced ethylene biosynthetic genes from non-climacteric pineapple (Ananas comosus) fruits. Funct. Plant Biol. 1998, 25, 513–518. [Google Scholar] [CrossRef]
- Espinosa, M.E.Á.; Moreira, R.O.; Lima, A.A.; Ságio, S.A.; Barreto, H.G.; Luiz, S.L.P.; Abreu, C.E.A.; Yanes-Paz, E.; Ruíz, Y.C.; González-Olmedo, J.L.; et al. Early histological, hormonal, and molecular changes during pineapple (Ananas comosus (L.) Merrill) artificial flowering induction. J. Plant Physiol. 2017, 209, 11–19. [Google Scholar] [CrossRef] [PubMed]
- Yu, M.M.; Shen, L.; Zhang, A.J.; Sheng, J.P. Methyl jasmonate-induced defense responses are associated with elevation of 1-aminocyclopropane-1-carboxylate oxidase in Lycopersicon esculentum fruit. J. Plant Physiol. 2011, 168, 1820–1827. [Google Scholar] [CrossRef] [PubMed]
- Liu, Y.; Hoffman, N.E.; Yang, S.F. Promotion by ethylene of the capability to convert 1-Aminocyclopropane-1-Carboxylic Acid to ethylene in preclimacteric tomato and cantaloupe fruits. Plant Physiol. 1985, 77, 407–411. [Google Scholar] [CrossRef] [PubMed]
- Ramassamy, S.; Olmos, E.; Bouzayen, M.; Pech, J.C.; Latche, A. 1-aminocyclopropane-1-carboxylate oxidase of apple fruit is periplasmic. J. Exp. Bot. 1998, 49, 1909–1915. [Google Scholar] [CrossRef][Green Version]
- Atta-Aly, M.A.; Brecht, J.K.; Huber, D.J. Ethylene feedback mechanisms in tomato and strawberry fruit tissues in relation to fruit ripening and climacteric patterns. Postharvest Biol. Technol. 2000, 20, 151–162. [Google Scholar] [CrossRef]
- Ruperti, B.; Bonghi, C.; Rasori, A.; Ramina, A.; Tonutti, P. Characterization and expression of two members of the peach 1-aminocyclopropane-1-carboxylate oxidase gene family. Physiol. Plant. 2001, 111, 336–344. [Google Scholar] [CrossRef]
- Antunes, M.D.C.; Sfakiotakis, E.M. Chilling induced ethylene biosynthesis in ‘Hayward’ kiwifruit following storage. Sci. Hortic. 2002, 92, 29–39. [Google Scholar] [CrossRef]
- Chervin, C.; El-Kereamy, A.; Roustan, J.P.; Latche, A.; Lamon, J.; Bouzayen, M. Ethylene seems required for the berry development and ripening in grape, a non-climacteric fruit. Plant Sci. 2004, 167, 1301–1305. [Google Scholar] [CrossRef]
- Zhang, M.J.; Jiang, Y.M.; Jiang, W.B.; Liu, X.J. Regulation of ethylene synthesis of harvested banana fruit by 1-methylcyclopropene. Food Technol. Biotechnol. 2006, 44, 111–115. [Google Scholar]
- Nakatsuka, A.; Murachi, S.; Okunishi, H.; Shiomi, S.; Naano, R.; Kubo, Y.; Inaba, A. Differential expression and internal feedback regulation of 1-aminocyclopro-pane-1-carboxylate synthase,1-aminocyclopropane-1-carboxylate oxidase, andethylene receptor genes in tomato fruit during development and ripening. Plant Physiol. 1998, 118, 1295–1305. [Google Scholar] [CrossRef] [PubMed]
- Cara, B.; Giovannoni, J.J. Molecular biology of ethylene during tomato fruit development and maturation. Plant Sci. 2008, 175, 106–113. [Google Scholar] [CrossRef]
- Trainotti, L.; Pavanello, A.; Casadoro, G. Different ethylene receptors show an increased expression during the ripening of strawberries: Does such an increment imply a role for ethylene in the ripening of these non-climacteric fruits? J. Exp. Bot. 2005, 56, 2037–2046. [Google Scholar] [CrossRef] [PubMed]
- Zhu, M.; Yin, M.A.; Ye, H.H.; Ren, X.L. Expression patterns of apple ACO1 gene and transcription factor MdHB-1 gene. Food Sci. 2014, 35, 166–170. [Google Scholar]
- Guo, C.Y.; Luo, S.M.; Xie, Y.F.; Zhou, Y.H.; Fan, F.X.; Li, F.M.; Liu, X.P. Cloning and expression analysis of the ACC oxidase gene VcACO2 in blueberries. Mol. Plant Breed. 2023, 10, 1–12. [Google Scholar]
- Leng, X.P.; Wang, P.P.; Wang, C.; Zhu, X.D.; Li, X.P.; Li, H.Y.; Mu, Q.; Li, A.; Liu, Z.J.; Fang, J.G. Genome-wide identification and characterization of genes involved in carotenoid metabolic in three stages of grapevine fruit development. Sci. Rep. 2017, 7, 4216. [Google Scholar] [CrossRef]
- Su, Z.W.; Jia, H.R.; Sun, M.; Cai, Z.X.; Shen, Z.J.; Zhao, B.T.; Li, J.Y.; Ma, R.J.; Yu, M.L.; Yan, J. Integrative analysis of the metabolome and transcriptome reveals the molecular mechanism of chlorogenic acid synthesis in peach fruit. Front. Nutr. 2022, 9, 961626. [Google Scholar] [CrossRef]
- Callahan, A.M.; Morgens, P.H.; Wright, P. Comparison of pch313 (pTOM13 homolog) RNA accumulation during fruit softening and wounding of two phenotypically different peach cultivars. Plant Physiol. 1992, 100, 482–488. [Google Scholar] [CrossRef] [PubMed]
- Mathooko, F.M.; Tsunashima, Y.; Owino, W.Z.O.; Kubo, Y.; Inaba, A. Regulation of genes encoding ethylene biosynthetic enzymes in peach (Prunus persica L.) fruit by carbon dioxide and 1-methylcyclopropene. Postharvest Biol. Technol. 2001, 21, 265–281. [Google Scholar] [CrossRef]
- Chen, X.X.; Zhang, B.B.; Guo, S.L. The expression differences of genes related to ethylene biosynthesis in different fleshy peach fruits during ripening. J. Nanjing Agric. Univ. 2020, 43, 637–644. [Google Scholar]
- Cai, T. Expression Characteristics of Grape 1-aminocyclopropane-1-carboxylate oxidase (ACO) Gene and Its Overexpression in Tomatoes. Master’s Thesis, Nanjing Agricultural University, Nanjing, China, 2013. [Google Scholar]
- Munoz-Robredo, P.; Gudenschwager, O.; Chervin, C.; Campos-Vargas, R.; Gonzalez-Aguero, M.; Defilippi, B.G. Study on differential expression of 1-aminocyclopropane-1-carboxylic acid oxidase genes in table grape cv. Thompson Seedless. Postharvest Biol. Technol. 2013, 76, 163–169. [Google Scholar] [CrossRef]
- Tong, S.M.; Xi, H.X.; Ai, K.Y.; Hou, H.S. Expression of VvACO1 Gene in Grape and Genetic Transformation in Arabidopsis and Tomato. Acta Hortic. Sin. 2016, 43, 2315–2324. [Google Scholar]
- Osorio, S.; Scossa, F.; Fernie, A.R. Molecular regulation of fruit ripening. Front. Plant Sci. 2013, 4, 198. [Google Scholar] [CrossRef]
- Hu, Y.; Sun, H.; Han, Z.; Wang, S.; Wang, T.; Li, Q.; Tian, J.; Wang, Y.; Zhang, X.; Xu, X.; et al. ERF4 affects fruit ripening by acting as a JAZ interactor between ethylene and jasmonic acid hormone signaling pathways. Hortic. Plant J. 2022, 8, 689–699. [Google Scholar] [CrossRef]
- Guo, J.X.; Wang, S.F.; Yu, X.Y.; Shen, Y.Y. Polyamines Regulate Strawberry Fruit Ripening by Abscisic Acid, Auxin, and Ethylene. Plant Physiol. 2018, 1, 177. [Google Scholar] [CrossRef]
- Jia, H.F.; Chai, Y.M.; Li, L.C.; Yue, S.Y. Abscisic acid plays an important role in the regulation of strawberry fruit ripening. Plant Physiol. 2011, 1, 157. [Google Scholar] [CrossRef]
- Cheng, A.X.; Han, X.J.; Wu, Y.F.; Lou, H.X. The Function and Catalysis of 2-Oxoglutarate-Dependent Oxygenases Involved in Plant Flavonoid Biosynthesis. Int. J. Mol. Sci. 2014, 15, 1080–1095. [Google Scholar] [CrossRef]
- Hausinger, R.P. Fe(II)/α-Ketoglutarate-Dependent Hydroxylases and Related Enzymes. Crit. Rev. Biochem. Mol. Biol. 2004, 39, 21–68. [Google Scholar] [CrossRef] [PubMed]
- Yu, B.Y.; Wang, L.M.; Zhao, Y.N.; Li, Y.Z.; Guo, J.; Zhu, Y.D. A putative 2OG-Fe(II) oxygenase’s response to gibberellin deficiency is related to the internodal growth of columnar apples. Acta Physiol. Plant. 2021, 5, 43. [Google Scholar]
- Pattyn, J.; Vaughan-Hirsch, J.; van de Poel, B. The regulation of ethylene biosynthesis: A complex multilevel control circuitry. New Phytol. 2021, 229, 770–782. [Google Scholar] [CrossRef] [PubMed]
- Binnie, I.E.; McManus, M.T. Characterization of the 1-aminocyclopropane-1-carboxylic acid (ACC) oxidase multigene family of Malus domestica Borkh. Phytochemistry 2009, 70, 348–360. [Google Scholar] [CrossRef]
- Shi, H.Y.; Zhang, Y.X. Pear ACO genes encoding putative 1-aminocyclopropane-1-carboxylate oxidase homologs are functionally expressed during fruit ripening and involved in response to salicylic acid. Mol. Biol. Rep. 2012, 39, 9509–9519. [Google Scholar] [CrossRef]
- Chersicola, M.; Kladnik, A.; Znidaric, M.T.; Mrak, T.; Gruden, K.; Dermastia, M. 1-Aminocyclopropane-1-Carboxylate Oxidase Induction in Tomato Flower Pedicel Phloem and Abscission Related Processes Are Differentially Sensitive to Ethylene. Front. Plant Sci. 2017, 8, 464. [Google Scholar] [CrossRef]
- Ye, X.; Zheng, X.B.; Zhai, D.H.; Song, W.; Tan, B.; Li, J.D.; Feng, J.C. Expression Patterns of ACS and ACO Gene Families and Ethylene Production in Rachis and Berry of Grapes. Hortscience 2017, 52, 413. [Google Scholar] [CrossRef]
- Iannetta, P.P.M.; Laarhoven, L.J.; Medina-Escobar, N.; James, E.K.; McManus, M.T.; Davies, H.V.; Harren, F.J.M. Ethylene and carbon dioxide production by developing strawberries show a correlative pattern that is indicative of ripening climacteric fruit. Physiol. Plant. 2006, 127, 247–259. [Google Scholar] [CrossRef]
- Xu, L.L.; Yue, Q.Y.; Xiang, G.Q.; Bian, F.E.; Yao, Y.X. Melatonin promotes ripening of grape berry via increasing the levels of ABA, H2O2, and particularly ethylene. Hortic. Res. 2018, 5, 41. [Google Scholar] [CrossRef]
- Alexander, L.; Grierson, D. Ethylene biosynthesis and action in tomato: A model for climacteric fruit ripening. J. Exp. Bot. 2002, 53, 2039–2055. [Google Scholar] [CrossRef]
- Ibraheem, O.; Botha, C.E.J.; Bradley, G. In silico analysis of cis-acting regulatory elements in 5′ regulatory regions of sucrose transporter gene families in rice (Oryza sativa Japonica) and Arabidopsis thaliana. Comput. Biol. Chem. 2010, 34, 268–283. [Google Scholar] [CrossRef]
- Huang, J.Y.; Zhao, X.B.; Burger, M.; Wang, Y.R.; Chory, J. Two interacting ethylene response factors regulate heat stress response. Plant Cell 2021, 33, 338–357. [Google Scholar] [CrossRef] [PubMed]
- Soto, A.; Ruiz, K.B.; Ravaglia, D.; Costa, G.; Torrigiani, P. ABA may promote or delay peach fruit ripening through modulation of ripening- and hormone-related gene expression depending on the developmental stage. Plant Physiol. Biochem. 2013, 64, 11–24. [Google Scholar] [CrossRef] [PubMed]
- Lv, J.Y.; Zhang, M.Y.; Zhang, J.H.; Ge, Y.H.; Li, C.Y.; Meng, K.; Li, J.R. Effects of methyl jasmonate on expression of genes involved in ethylene biosynthesis and signaling pathway during postharvest ripening of apple fruit. Sci. Hortic. 2018, 229, 157–166. [Google Scholar] [CrossRef]
- Tatsuki, M.; Nakajima, N.; Fujii, H.; Shimada, T.; Nakano, M.; Hayashi, K.; Hayama, H.; Yoshioka, H.; Nakamura, Y. Increased levels of IAA are required for system 2 ethylene synthesis causing fruit softening in peach (Prunus persica L. Batsch). J. Exp. Bot. 2013, 64, 1049, Erratum in J. Exp. Bot. 2013, 64, 2117. [Google Scholar] [CrossRef] [PubMed]
- Achard, P.; Cheng, H.; De Grauwe, L.; Decat, J.; Schoutteten, H.; Moritz, T.; Van Der Straeten, D.; Peng, J.R.; Harberd, N.P. Integration of plant responses to environmentally activated phytohormonal signals. Science 2006, 311, 91–94. [Google Scholar] [CrossRef] [PubMed]
- Houben, M.; Van de Poel, B. 1-Aminocyclopropane-1-Carboxylic Acid Oxidase (ACO): The Enzyme That Makes the Plant Hormone Ethylene. Front. Plant Sci. 2019, 10, 695. [Google Scholar] [CrossRef] [PubMed]
- Wei, H.; Xue, Y.; Chen, P.; Hao, P.; Wei, F.; Sun, L.; Yang, Y. Genome-Wide Identification and Functional Investigation of 1-Aminocyclopropane-1-carboxylic Acid Oxidase (ACO) Genes in Cotton. Plants 2021, 10, 1699. [Google Scholar] [CrossRef]
- Chervin, C.; Tira-umphon, A.; Terrier, N.; Zouine, M.; Severac, D.; Roustan, J.P. Stimulation of the grape berry expansion by ethylene and effects on related gene transcripts, over the ripening phase. Physiol. Plant. 2008, 134, 534–546. [Google Scholar] [CrossRef]
- Haider, M.S.; Cheng, Z.; Kurjogi, M.M.; Pervaiz, T.; Ting, Z.; Zhang, C.B.; Chen, L.D.; Shangguan, L.F.; Fang, J.G. Insights into grapevine defense response against drought as revealed by biochemical, physiological and RNA-Seq analysis. Sci. Rep. 2017, 7, 13134. [Google Scholar] [CrossRef]







Disclaimer/Publisher’s Note: The statements, opinions and data contained in all publications are solely those of the individual author(s) and contributor(s) and not of MDPI and/or the editor(s). MDPI and/or the editor(s) disclaim responsibility for any injury to people or property resulting from any ideas, methods, instructions or products referred to in the content. |
© 2024 by the authors. Licensee MDPI, Basel, Switzerland. This article is an open access article distributed under the terms and conditions of the Creative Commons Attribution (CC BY) license (https://creativecommons.org/licenses/by/4.0/).
Share and Cite
Luo, L.; Zhao, P.; Su, Z.; Huang, Y.; Zhang, Y.; Mu, Q.; Xuan, X.; Qu, Z.; Yu, M.; Qi, Z.; et al. Characterization and Potential Action Mode Divergences of Homologous ACO1 Genes during the Organ Development and Ripening Process between Non-Climacteric Grape and Climacteric Peach. Int. J. Mol. Sci. 2024, 25, 789. https://doi.org/10.3390/ijms25020789
Luo L, Zhao P, Su Z, Huang Y, Zhang Y, Mu Q, Xuan X, Qu Z, Yu M, Qi Z, et al. Characterization and Potential Action Mode Divergences of Homologous ACO1 Genes during the Organ Development and Ripening Process between Non-Climacteric Grape and Climacteric Peach. International Journal of Molecular Sciences. 2024; 25(2):789. https://doi.org/10.3390/ijms25020789
Chicago/Turabian StyleLuo, Linjia, Pengcheng Zhao, Ziwen Su, Yuqing Huang, Yanping Zhang, Qian Mu, Xuxian Xuan, Ziyang Qu, Mucheng Yu, Ziyang Qi, and et al. 2024. "Characterization and Potential Action Mode Divergences of Homologous ACO1 Genes during the Organ Development and Ripening Process between Non-Climacteric Grape and Climacteric Peach" International Journal of Molecular Sciences 25, no. 2: 789. https://doi.org/10.3390/ijms25020789
APA StyleLuo, L., Zhao, P., Su, Z., Huang, Y., Zhang, Y., Mu, Q., Xuan, X., Qu, Z., Yu, M., Qi, Z., Aziz, R. B., Gong, P., Xie, Z., Fang, J., & Wang, C. (2024). Characterization and Potential Action Mode Divergences of Homologous ACO1 Genes during the Organ Development and Ripening Process between Non-Climacteric Grape and Climacteric Peach. International Journal of Molecular Sciences, 25(2), 789. https://doi.org/10.3390/ijms25020789

