The 419th Aspartic Acid of Neural Membrane Protein Enolase 2 Is a Key Residue Involved in the Axonal Growth of Motor Neurons Mediated by Interaction between Enolase 2 Receptor and Extracellular Pgk1 Ligand
Abstract
1. Introduction
2. Results
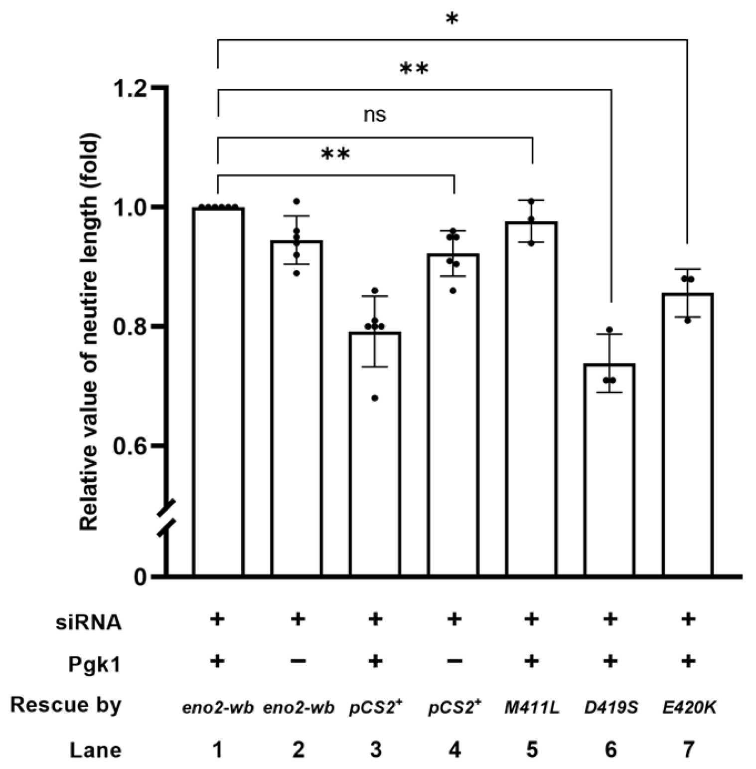
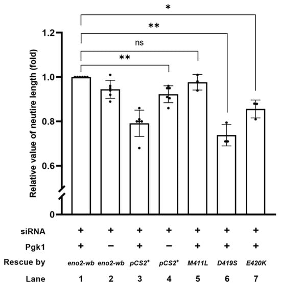
2.1. Effects of Overexpression of Mutated Eno2 on Promoting the Axonal Growth of Motor Neurons
2.2. The Synergic Promotion of Axonal Growth Derived from Cells Transfected with Mutated Eno2 Plus Pgk1 Immersion
2.3. Axonal Defect That Occurred in Eno2-Knockdown Zebrafish Embryos Was Rescued by Introducing eno2 mRNA Mutant
2.4. Effect of Overexpressing Mutated Eno2 on the Improvement of Branched Neuron Formation in Zebrafish Embryos
2.5. Expression Level of Phosphorylated Cofilin (p-Cofilin) within NSC34 Cells
2.6. Docking Model Illustrates That D419 of Eno2 Is a Key Amino Acid Involved in Eno2-Pgk1 Interaction
3. Discussion
3.1. A Docking Model Illustrates How the 419th Aspartic Acid of Eno2 Is a Key Residue Involved in NOMN Mediated by Eno2-Epgk1 Interaction
3.2. Distinct Interaction between Ligands and Receptor Eno Family Depends on the Specific Amino Acid Residues of Receptors Recognized by Ligands
4. Materials and Methods
4.1. Plasmids Containing Various Mutated Mouse Eno2
4.2. Cell Culture
4.3. Cell Transfection
4.4. Purification of Recombinant Mutated Pgk1 Fused with Flag
- Neurite length developed from eno2-siRNA-treated NSC34 cells transfected by DNA coding for mutated Eno2 proteins
- b.
- Neurite length developed from eno2-siRNA-transfected NSC34 cells transfected by plasmid encoding Eno2-mutants in the presence of ePgk1
4.5. Zebrafish Husbandry and Use of the Transgene Line
4.6. mRNA Synthesis
4.7. Rescue Experiment in Eno2-Knockdown Zebrafish Embryos
4.8. Axonal Defective Phenotypes of Growing Motor Neurons Occurred in eno2-Knockdown Zebrafish Embryos Rescued by mRNA Injection
4.9. Formation of Branching Neurites from Axons in the eno2-Knockdown Zebrafish Embryos Rescued by Both mRNA Injection and Pgk1 Immersion
4.10. Total Proteins Extracted from Cells and Zebrafish Embryos, Followed by Western Blot Analysis
4.11. Molecular Docking
4.12. Statistical Analysis
Author Contributions
Funding
Institutional Review Board Statement
Informed Consent Statement
Data Availability Statement
Acknowledgments
Conflicts of Interest
References
- Cao, F.; Yang, X.; Liu, W.; Hu, W.; Li, G.; Zheng, X.J.; Shen, F.; Zhao, X.Q.; Lv, S.T. Elevation of neuron-specific enolase and S-100β protein level in experimental acute spinal cord injury. J. Clin. Neurosci. Off. J. Neurosurg. Soc. Australas. 2008, 15, 541–544. [Google Scholar] [CrossRef] [PubMed]
- Qian, J.; Herrera, J.J.; Narayana, P.A. Neuronal and axonal degeneration in experimental spinal cord injury: In vivo proton magnetic resonance spectroscopy and histology. J. Neurotrauma 2010, 27, 599–610. [Google Scholar] [CrossRef]
- Bae, S.; Kim, H.; Lee, N.; Won, C.; Kim, H.-R.; Hwang, Y.I.; Song, Y.W.; Kang, J.S.; Lee, W.J. α-Enolase expressed on the surfaces of monocytes and macrophages induces robust synovial inflammation in rheumatoid arthritis. J. Immunol. 2012, 189, 365–372. [Google Scholar] [CrossRef] [PubMed]
- Fukano, K.; Kimura, K. Measurement of enolase activity in cell lysates. Methods Enzymol. 2014, 542, 115–124. [Google Scholar] [CrossRef] [PubMed]
- Sawhney, S.; Hood, K.; Shaw, A.; Braithwaite, A.W.; Stubbs, R.; Hung, N.A.; Royds, J.A.; Slatter, T.L. Alpha-enolase is upregulated on the cell surface and responds to plasminogen activation in mice expressing a ∆133p53α mimic. PLoS ONE 2015, 10, e0116270. [Google Scholar] [CrossRef]
- Polcyn, R.; Capone, M.; Hossain, A.; Matzelle, D.; Banik, N.L.; Haque, A. Enolase and acute spinal cord injury. J. Clin. Cell. Immunol. 2017, 8, 536. [Google Scholar] [CrossRef]
- Tsukahara, A.; Hosokawa, T.; Nishioka, D.; Kotani, T.; Ishida, S.; Takeuchi, T.; Kimura, F.; Arawaka, S. Neuron-specific enolase level is a useful biomarker for distinguishing amyotrophic lateral sclerosis from cervical spondylotic myelopathy. Sci. Rep. 2021, 11, 22827. [Google Scholar] [CrossRef]
- Wygrecka, M.; Marsh, L.M.; Morty, R.E.; Henneke, I.; Guenther, A.; Lohmeyer, J.; Markart, P.; Preissner, K.T. Enolase-1 promotes plasminogen-mediated recruitment of monocytes to the acutely inflamed lung. Blood 2009, 113, 5588–5598. [Google Scholar] [CrossRef]
- Shimizu, A.; Suzuki, F.; Kato, K. Characterization of αα, ββ, γγ and αγ human enolase isozymes, and preparation of hybrid enolases (αγ, βγ and αβ) from homodimeric forms. Biochim. Biophys. Acta 1983, 748, 278–284. [Google Scholar] [CrossRef]
- Merkulova, T.; Dehaupas, M.; Nevers, M.C.; Créminon, C.; Alameddine, H.; Keller, A. Differential modulation of α, β and γ enolase isoforms in regenerating mouse skeletal muscle. Eur. J. Biochem. 2000, 267, 3735–3743. [Google Scholar] [CrossRef] [PubMed]
- Dudani, A.K.; Cummings, C.; Hashemi, S.; Ganz, P.R. Isolation of a novel 45 kDa plasminogen receptor from human endothelial cells. Thromb. Res. 1993, 69, 185–196. [Google Scholar] [CrossRef] [PubMed]
- Redlitz, A.; Fowler, B.J.; Plow, E.F.; Miles, L.A. The role of an enolase-related molecule in plasminogen binding to cells. Eur. J. Biochem. 1995, 227, 407–415. [Google Scholar] [CrossRef] [PubMed]
- Hsiao, K.C.; Shih, N.Y.; Fang, H.L.; Huang, T.S.; Kuo, C.-C.; Chu, P.Y.; Hung, Y.M.; Chou, S.W.; Yang, Y.Y.; Chang, G.C.; et al. Surface α-enolase promotes extracellular matrix degradation and tumor metastasis and represents a new therapeutic target. PLoS ONE 2013, 8, e69354. [Google Scholar] [CrossRef] [PubMed]
- Herrmann, M.; Curio, N.; Jost, S.; Wunderlich, M.T.; Synowitz, H.; Wallesch, C.W. Protein S-100B and neuron specific enolase as early neurobiochemical markers of the severity of traumatic brain injury. Restor. Neurol. Neurosci. 1999, 14, 109–114. [Google Scholar] [PubMed]
- Abdo, W.F.; De Jong, D.; Hendriks, J.C.; Horstink, M.W.; Kremer, B.P.; Bloem, B.R.; Verbeek, M.M. Cerebrospinal fluid analysis differentiates multiple system atrophy from Parkinson’s disease. Mov. Disord. Off. J. Mov. Disord. Soc. 2004, 19, 571–579. [Google Scholar] [CrossRef] [PubMed]
- Selakovic, V.; Raicevic, R.; Radenovic, L. The increase of neuron-specific enolase in cerebrospinal fluid and plasma as a marker of neuronal damage in patients with acute brain infarction. J. Clin. Neurosci. Off. J. Neurosurg. Soc. Australas. 2005, 12, 542–547. [Google Scholar] [CrossRef] [PubMed]
- Pouw, M.H.; Kwon, B.K.; Verbeek, M.M.; Vos, P.E.; van Kampen, A.; Fisher, C.G.; Street, J.; Paquette, S.J.; Dvorak, M.F.; Boyd, M.C.; et al. Structural biomarkers in the cerebrospinal fluid within 24 h after a traumatic spinal cord injury: A descriptive analysis of 16 subjects. Spinal Cord 2014, 52, 428–433. [Google Scholar] [CrossRef] [PubMed]
- Christl, J.; Verhülsdonk, S.; Pessanha, F.; Menge, T.; Seitz, R.J.; Kujovic, M.; Höft, B.; Supprian, T.; Lange-Asschenfeldt, C. Association of cerebrospinal fluid S100B protein with core biomarkers and cognitive deficits in prodromal and mild Alzheimer’s disease. J. Alzheimer’s Dis. 2019, 72, 1119–1127. [Google Scholar] [CrossRef]
- Papuć, E.; Rejdak, K. Increased CSF NFL in non-demented Parkinson’s disease subjects reflects early white matter damage. Front. Aging Neurosci. 2020, 12, 128. [Google Scholar] [CrossRef]
- Hafner, A.; Obermajer, N.; Kos, J. γ-Enolase C-terminal peptide promotes cell survival and neurite outgrowth by activation of the PI3K/Akt and MAPK/ERK signalling pathways. Biochem. J. 2012, 443, 439–450. [Google Scholar] [CrossRef] [PubMed]
- Ueta, H.; Nagasawa, H.; Oyabu-Manabe, Y.; Toida, K.; Ishimura, K.; Hori, H. Localization of enolase in synaptic plasma membrane as an alphagamma heterodimer in rat brain. Neurosci. Res. 2004, 48, 379–386. [Google Scholar] [CrossRef] [PubMed]
- Fu, C.Y.; Chen, H.Y.; Lin, C.Y.; Chen, S.J.; Sheu, J.C.; Tsai, H.J. Extracellular Pgk1 interacts neural membrane protein enolase-2 to improve the neurite outgrowth of motor neurons. Commun. Biol. 2023, 6, 849. [Google Scholar] [CrossRef]
- Haque, A.; Polcyn, R.; Matzelle, D.; Banik, N.L. New insights into the role of neuron-specific enolase in neuro-inflammation, neurodegeneration, and neuroprotection. Brain Sci. 2018, 8, 33. [Google Scholar] [CrossRef] [PubMed]
- Obermajer, N.; Doljak, B.; Jamnik, P.; Fonović, U.P.; Kos, J. Cathepsin X cleaves the C-terminal dipeptide of alpha- and gamma-enolase and impairs survival and neuritogenesis of neuronal cells. Int. J. Biochem. Cell Biol. 2009, 41, 1685–1696. [Google Scholar] [CrossRef]
- Hafner, A.; Obermajer, N.; Kos, J. γ-1-syntrophin mediates trafficking of γ-enolase towards the plasma membrane and enhances its neurotrophic activity. Neurosignals 2010, 18, 246–258. [Google Scholar] [CrossRef] [PubMed]
- Hattori, T.; Ohsawa, K.; Mizuno, Y.; Kato, K.; Kohsaka, S. Synthetic peptide corresponding to 30 amino acids of the C-terminal of neuron-specific enolase promotes survival of neocortical neurons in culture. Biochem. Biophys. Res. Commun. 1994, 202, 25–30. [Google Scholar] [CrossRef] [PubMed]
- Keller, A.; Peltzer, J.; Carpentier, G.; Horváth, I.; Oláh, J.; Duchesnay, A.; Orosz, F.; Ovadi, J. Interactions of enolase isoforms with tubulin and microtubules during myogenesis. Biochim. Biophys. Acta 2007, 1770, 919–926. [Google Scholar] [CrossRef]
- Wu, J.; Zhou, D.; Deng, C.; Wu, X.; Long, L.; Xiong, Y. Characterization of porcine ENO3: Genomic and cDNA structure, polymorphism and expression. Genet. Sel. Evol. 2008, 40, 563–579. [Google Scholar] [CrossRef] [PubMed]
- Lin, C.Y.; Wu, C.L.; Lee, K.Z.; Chen, Y.J.; Zhang, P.H.; Chang, C.Y.; Harn, H.J.; Lin, S.Z.; Tsai, H.J. Extracellular Pgk1 enhances neurite outgrowth of motoneurons through Nogo66/NgR-independent targeting of NogoA. eLife 2019, 8, e49175. [Google Scholar] [CrossRef] [PubMed]
- Lin, C.Y.; Zhang, P.H.; Chen, Y.J.; Wu, C.L.; Tsai, H.J. Conditional overexpression of rtn4al in muscle of adult zebrafish displays defects similar to human Amyotrophic lateral sclerosis. Mar. Biotechnol. 2019, 21, 52–64. [Google Scholar] [CrossRef] [PubMed]
- Holmes, J.L.; Davis, F.; Collyer, S.D.; Higson, S.P.J. A new application of scanning electrochemical microscopy for the label-free interrogation of antibody-antigen interactions. Anal. Chim. Acta 2011, 689, 206–211. [Google Scholar] [CrossRef] [PubMed]
- Kang, H.J.; Jung, S.-K.; Kim, S.J.; Chung, S.J. Structure of human α-enolase (hENO1), a multifunctional glycolytic enzyme. Acta Crystallographica. Sect. D Biol. Crystallogr. 2008, 64 Pt 6, 651–657. [Google Scholar] [CrossRef]
- Gilson, M.K.; Honig, B.H. Energetics of charge-charge interactions in proteins. Proteins 1988, 3, 32–52. [Google Scholar] [CrossRef] [PubMed]
- Miles, L.A.; Dahlberg, C.M.; Plescia, J.; Felez, J.; Kato, K.; Plow, E.F. Role of cell-surface lysines in plasminogen binding to cells: Identification of alpha-enolase as a candidate plasminogen receptor. Biochemistry 1991, 30, 1682–1691. [Google Scholar] [CrossRef]
- Nakajima, K.; Hamanoue, M.; Takemoto, N.; Hattori, T.; Kato, K.; Kohsaka, S. Plasminogen binds specifically to α-enolase on rat neuronal plasma membrane. J. Neurochem. 1994, 63, 2048–2057. [Google Scholar] [CrossRef]
- Kobayashi, M.; Nishita, M.; Mishima, T.; Ohashi, K.; Mizuno, K. MAPKAPK-2-mediated LIM-kinase activation is critical for VEGF-induced actin remodeling and cell migration. EMBO J. 2006, 25, 713–726. [Google Scholar] [CrossRef] [PubMed]
- Westerfield, M. The Zebrafish Book. A Guide for the Laboratory Use of Zebrafish (Danio rerio), 4th ed.; University of Oregon: Eugene, OR, USA, 2000. [Google Scholar]
- Kimmel, C.B.; Ballard, W.W.; Kimmel, S.R.; Ullmann, B.; Schilling, T.F. Stages of embryonic development of the zebrafish. Dev. Dyn. 1995, 203, 253–310. [Google Scholar] [CrossRef] [PubMed]
- Flanagan-Steet, H.; Fox, M.A.; Meyer, D.; Sanes, J.R. Neuromuscular synapses can form in vivo by incorporation of initially aneural postsynaptic specializations. Development 2005, 132, 4471–4481. [Google Scholar] [CrossRef] [PubMed]
- Lin, C.-Y.; Lee, H.-C.; Fu, C.-Y.; Ding, Y.-Y.; Chen, J.-S.; Lee, M.H.; Huang, W.J.; Tsai, H.J. MiR-1 and miR-206 target different genes to have opposing roles during angiogenesis in zebrafish embryos. Nat. Commun. 2013, 4, 2829. [Google Scholar] [CrossRef]
- Kozakov, D.; Hall, D.R.; Xia, B.; Porter, K.A.; Padhorny, D.; Yueh, C.; Beglov, D.; Vajda, S. The ClusPro web server for protein–protein docking. Nat. Protoc. 2017, 12, 255–278. [Google Scholar] [CrossRef] [PubMed]
- Goddard, T.D.; Huang, C.C.; Meng, E.C.; Pettersen, E.F.; Couch, G.S.; Morris, J.H.; Ferrin, T.E. UCSF ChimeraX: Meeting modern challenges in visualization and analysis: UCSF ChimeraX Visualization System. Protein Sci. 2018, 27, 14–25. [Google Scholar] [CrossRef]








| Primer Name | Sequence (5’ → 3’) |
|---|---|
| (A) Primers used to generate Eno2-wb and Eno2 mutants: L410I, M411L, D419S, E420K | |
| flanking primers | |
| mEno2-EcoRI F | TATATGAATTCATGTCTATAGAGAAGATTTGGG |
| mEno2-Flag -XhoI R | TATATCTCGAGTCACTTATCGTCGTCATCCTTGTAATCCAGCACACTGGGATTTC |
| mutagenic primers | |
| mEno2-wobble F | GACCCATCACGCTATATAACTGGGGACCAGCTG |
| mEno2-wobble R | TTATATAGCGTGATGGGTCAGCGGGAGACTTG |
| mEno2-L410I F | AAGTACAACCAGATCATGAGAATTGAG |
| mEno2-L410I R | CTCAATTCTCATGATCTGGTTGTACTT |
| mEno2-M411L F | TACAACCAGCTCCTCAGAATTGAGGAA |
| mEno2-M411L R | TTCCTCAATTCTGAGGAGCTGGTTGTA |
| mEno2-D419S F | GAGGAAGAGCTGGGGAGCGAAGCTC |
| mEno2-D419S R | GAGCTTCGCTCCCCAGCTCTTCCTC |
| mEno2-E420K F | GCTGGGGGACAAAGCTCGCTTCG |
| mEno2-E420K R | CGAAGCGAGCTTTGTCCCCCAGC |
| (B) Primers used to generate Eno2 mutants: R422K, H426R, N427K | |
| flanking primers | |
| mEno2-EcoRI F | TATATGAATTCATGTCTATAGAGAAGATTTGGG |
| mutagenic primers | |
| mEno2-R422K R | AACTCGAGTCACAGCACACTGGGATTTCGGAAATTATGTCCCGCGAACTTAGCTTCGTCCCC |
| mEno2-H426R R | AACTCGAGTCACAGCACACTGGGATTTCGGAAATTCCTTCCCGCGAACTT |
| mEno2-N427S R | AACTCGAGTCACAGCACACTGGGATTTCGGAAGGAATGTCCCGCGAA |
Disclaimer/Publisher’s Note: The statements, opinions and data contained in all publications are solely those of the individual author(s) and contributor(s) and not of MDPI and/or the editor(s). MDPI and/or the editor(s) disclaim responsibility for any injury to people or property resulting from any ideas, methods, instructions or products referred to in the content. |
© 2024 by the authors. Licensee MDPI, Basel, Switzerland. This article is an open access article distributed under the terms and conditions of the Creative Commons Attribution (CC BY) license (https://creativecommons.org/licenses/by/4.0/).
Share and Cite
Lee, B.-C.; Tsai, J.-C.; Huang, Y.-H.; Wang, C.-C.; Lee, H.-C.; Tsai, H.-J. The 419th Aspartic Acid of Neural Membrane Protein Enolase 2 Is a Key Residue Involved in the Axonal Growth of Motor Neurons Mediated by Interaction between Enolase 2 Receptor and Extracellular Pgk1 Ligand. Int. J. Mol. Sci. 2024, 25, 10753. https://doi.org/10.3390/ijms251910753
Lee B-C, Tsai J-C, Huang Y-H, Wang C-C, Lee H-C, Tsai H-J. The 419th Aspartic Acid of Neural Membrane Protein Enolase 2 Is a Key Residue Involved in the Axonal Growth of Motor Neurons Mediated by Interaction between Enolase 2 Receptor and Extracellular Pgk1 Ligand. International Journal of Molecular Sciences. 2024; 25(19):10753. https://doi.org/10.3390/ijms251910753
Chicago/Turabian StyleLee, Bing-Chang, Jui-Che Tsai, Yi-Hsin Huang, Chun-Cheng Wang, Hung-Chieh Lee, and Huai-Jen Tsai. 2024. "The 419th Aspartic Acid of Neural Membrane Protein Enolase 2 Is a Key Residue Involved in the Axonal Growth of Motor Neurons Mediated by Interaction between Enolase 2 Receptor and Extracellular Pgk1 Ligand" International Journal of Molecular Sciences 25, no. 19: 10753. https://doi.org/10.3390/ijms251910753
APA StyleLee, B.-C., Tsai, J.-C., Huang, Y.-H., Wang, C.-C., Lee, H.-C., & Tsai, H.-J. (2024). The 419th Aspartic Acid of Neural Membrane Protein Enolase 2 Is a Key Residue Involved in the Axonal Growth of Motor Neurons Mediated by Interaction between Enolase 2 Receptor and Extracellular Pgk1 Ligand. International Journal of Molecular Sciences, 25(19), 10753. https://doi.org/10.3390/ijms251910753

