Comparative Analysis of the Codon Usage Pattern in the Chloroplast Genomes of Gnetales Species
Abstract
1. Introduction
2. Results
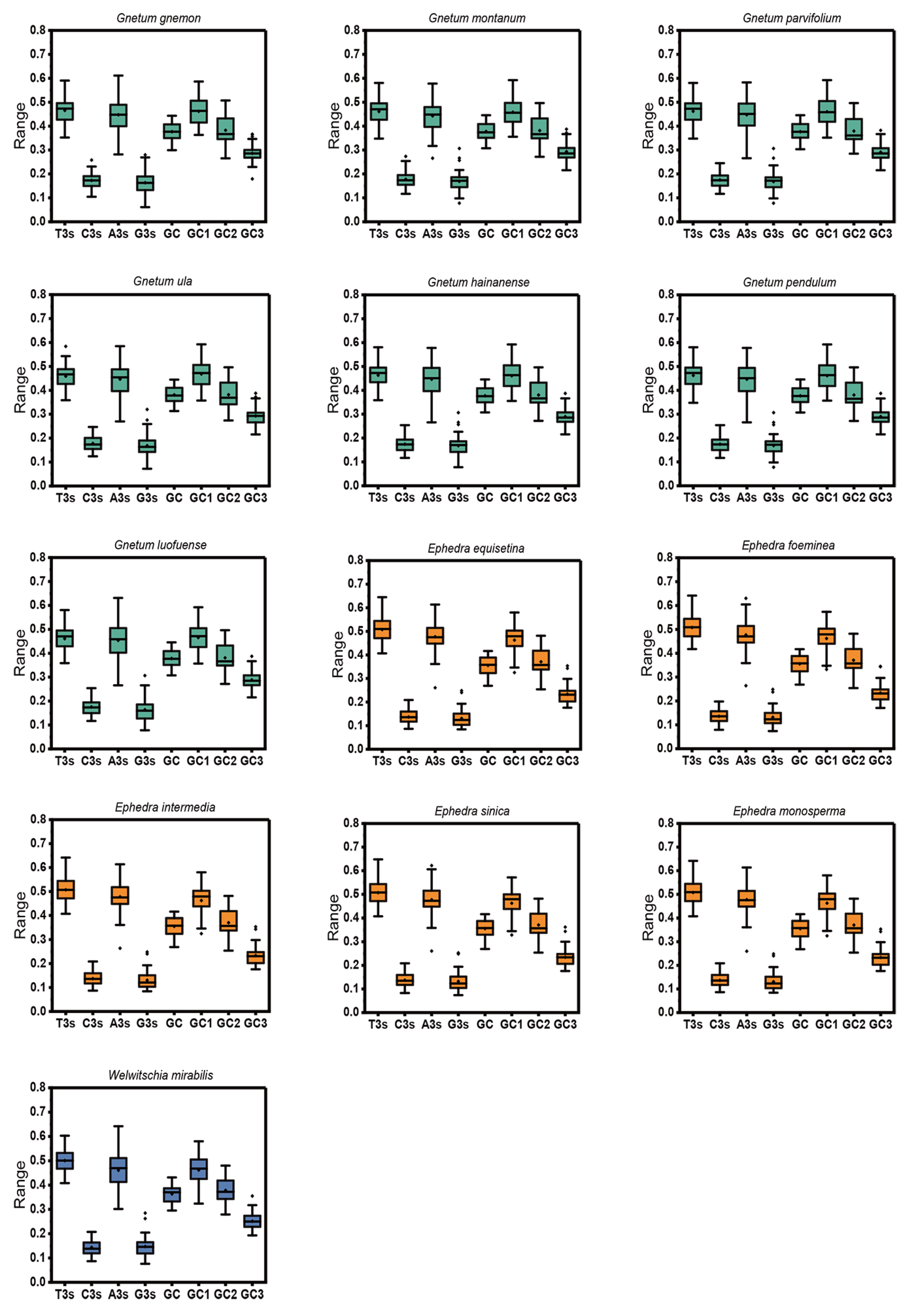
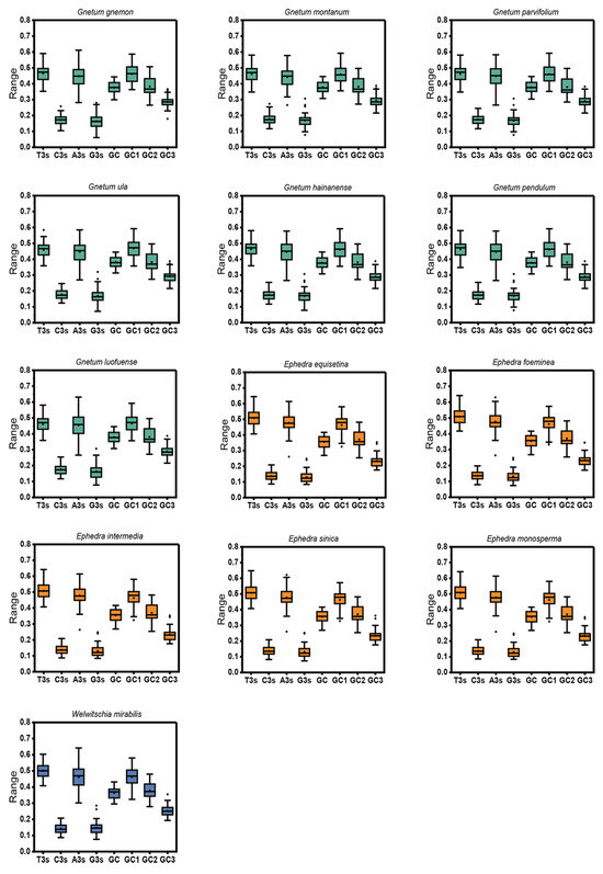
2.1. Characteristics of Codon Usage Composition
2.2. High-Frequency and Optimal Codons
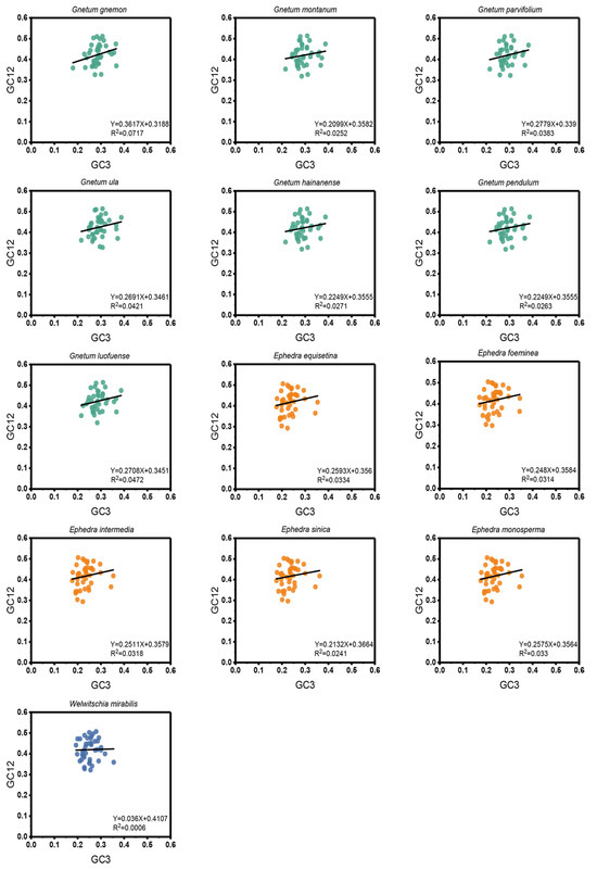
2.3. Neutrality Plot Analysis
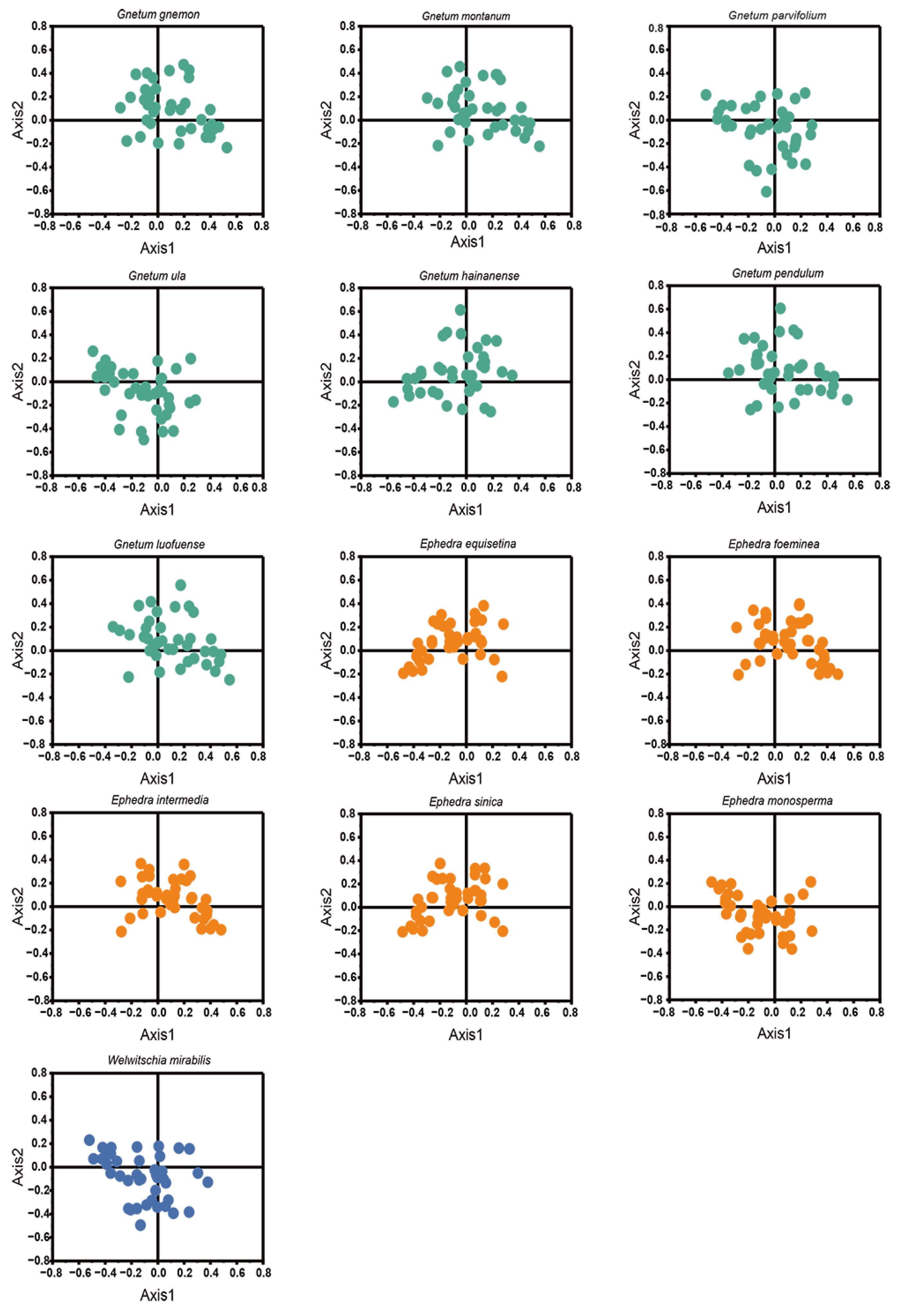
2.4. ENC-Plot Analysis
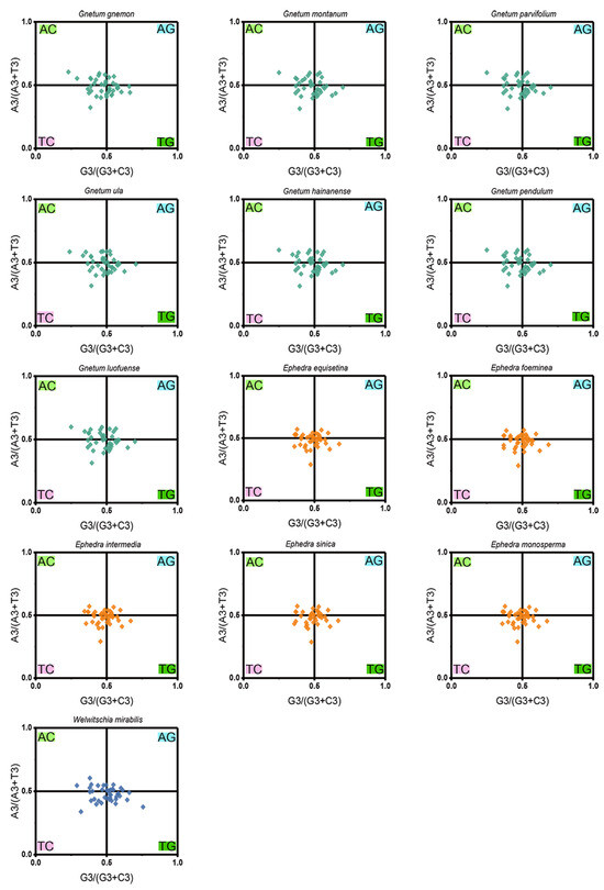
2.5. PR2-Plot Analysis
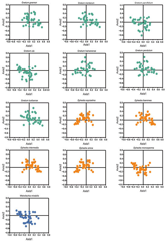
2.6. Correspondence Analysis (COA)
2.7. Relationship between CUB and Nucleotide Skews
2.8. Relationship between CUB and Protein Properties
2.9. Relationship between CUB and Gene Expression
2.10. Codon Usage Frequency among Different Species
2.11. Phylogenetic Analysis of Different Gnetales Species
3. Discussion
4. Materials and Methods
4.1. Chloroplast Genomes and Data Collection
4.2. Characteristics of Codon Usage Bias Indices
4.3. Analysis of High-Frequency Codons
4.4. Analysis of Optimal Codons
4.5. Synonymous Codon Usage Order (SCUO) Analysis
4.6. Measure Independent of Length and Composition
4.7. Correspondence Analysis (COA) of Codon Usage
4.8. Parity Rule 2 (PR2) Plot Analysis
4.9. ENC-Plot Analysis
4.10. Neutrality Analysis
4.11. Comparative Analysis of the Frequency of Codon Usage
4.12. Cluster Analysis and Phylogenetic Analysis
5. Conclusions
Supplementary Materials
Author Contributions
Funding
Institutional Review Board Statement
Informed Consent Statement
Data Availability Statement
Conflicts of Interest
References
- Daniell, H.; Lin, C.-S.; Yu, M.; Chang, W.-J. Chloroplast genomes: Diversity, evolution, and applications in genetic engineering. Genome Biol. 2016, 17, 134. [Google Scholar] [CrossRef] [PubMed]
- Dobrogojski, J.; Adamiec, M.; Luciński, R. The chloroplast genome: A review. Acta Physiol. Plant. 2020, 42, 98. [Google Scholar] [CrossRef]
- Jin, S.; Daniell, H. The engineered Chloroplast genome just got smarter. Trends Plant Sci. 2015, 20, 622–640. [Google Scholar] [CrossRef]
- Daniell, H.; Jin, S.; Zhu, X.-G.; Gitzendanner, M.A.; Soltis, D.E.; Soltis, P.S. Green giant-a tiny chloroplast genome with mighty power to produce high-value proteins: History and phylogeny. Plant Biotechnol. J. 2021, 19, 430–447. [Google Scholar] [CrossRef]
- Ikemura, T. Codon usage and tRNA content in unicellular and multicellular organisms. Mol. Biol. Evol. 1985, 2, 13–34. [Google Scholar]
- Iriarte, A.; Lamolle, G.; Musto, H. Codon usage bias: An endless tale. J. Mol. Evol. 2021, 89, 589–593. [Google Scholar] [CrossRef]
- Li, T.; Ma, Z.; Ding, T.; Yang, Y.; Wang, F.; Wan, X.; Liang, F.; Chen, X.; Yao, H. Codon usage bias and phylogenetic analysis of chloroplast genome in 36 gracilariaceae species. Funct. Integr. Genom. 2024, 24, 45. [Google Scholar] [CrossRef] [PubMed]
- Parvathy, S.T.; Udayasuriyan, V.; Bhadana, V. Codon usage bias. Mol. Biol. Rep. 2022, 49, 539–565. [Google Scholar] [CrossRef] [PubMed]
- Mazumdar, P.; Binti Othman, R.; Mebus, K.; Ramakrishnan, N.; Ann Harikrishna, J. Codon usage and codon pair patterns in non-grass monocot genomes. Ann. Bot. 2017, 120, 893–909. [Google Scholar] [CrossRef]
- Li, N.; Li, Y.; Zheng, C.; Huang, J.; Zhang, S. Genome-wide comparative analysis of the codon usage patterns in plants. Genes Genom. 2016, 38, 723–731. [Google Scholar] [CrossRef]
- Das, S.; Paul, S.; Dutta, C. Synonymous codon usage in adenoviruses: Influence of mutation, selection and protein hydropathy. Virus Res. 2006, 117, 227–236. [Google Scholar] [CrossRef] [PubMed]
- Yadav, M.K.; Swati, D. Comparative genome analysis of six malarial parasites using codon usage bias based tools. Bioinformation 2012, 8, 1230–1239. [Google Scholar] [CrossRef] [PubMed]
- Zhao, Y.; Zheng, H.; Xu, A.; Yan, D.; Jiang, Z.; Qi, Q.; Sun, J. Analysis of codon usage bias of envelope glycoprotein genes in nuclear polyhedrosis virus (NPV) and its relation to evolution. BMC Genom. 2016, 17, 677. [Google Scholar] [CrossRef]
- Zhou, Z.; Dang, Y.; Zhou, M.; Li, L.; Yu, C.-h.; Fu, J.; Chen, S.; Liu, Y. Codon usage is an important determinant of gene expression levels largely through its effects on transcription. Proc. Natl. Acad. Sci. USA 2016, 113, E6117–E6125. [Google Scholar] [CrossRef]
- Tang, L.; Shah, S.; Chung, L.; Carney, J.; Katz, L.; Khosla, C.; Julien, B. Cloning and heterologous expression of the Epothilone gene cluster. Science 2000, 287, 640–642. [Google Scholar] [CrossRef]
- Ickert-Bond, S.M.; Renner, S.S. The Gnetales: Recent insights on their morphology, reproductive biology, chromosome numbers, biogeography, and divergence times. J. Syst. Evol. 2016, 54, 1–16. [Google Scholar] [CrossRef]
- Mathews, S. Phylogenetic relationships among seed plants: Persistent questions and the limits of molecular data. Am. J. Bot. 2009, 96, 228–236. [Google Scholar] [CrossRef] [PubMed]
- Doyle, J. Molecular and fossil evidence on the origin of Angiosperms. Annu. Rev. Earth Planet. Sci. 2012, 40, 301–326. [Google Scholar] [CrossRef]
- Rudall, P.J.; Rice, C.L. Epidermal patterning and stomatal development in Gnetales. Ann. Bot. 2019, 124, 149–164. [Google Scholar] [CrossRef]
- Deng, N.; Hou, C.; Liu, C.; Li, M.; Bartish, I.; Tian, Y.; Chen, W.; Du, C.; Jiang, Z.; Shi, S. Significance of photosynthetic characters in the evolution of Asian Gnetum (Gnetales). Front. Plant Sci. 2019, 10, 39. [Google Scholar] [CrossRef]
- Moise, M.-M.; Benjamin, L.-M.; Etienne, M.; Thierry, G.; Ndembe Dalida, K.; Doris, T.M.; Samy, W.M. Intake of Gnetum Africanum and Dacryodes Edulis, imbalance of oxidant/antioxidant status and prevalence of diabetic retinopathy in central Africans. PLoS ONE 2012, 7, e49411. [Google Scholar] [CrossRef] [PubMed]
- Ali, F.; Assanta, M.A.; Robert, C. Gnetum africanum: A wild food plant from the African forest with many nutritional and medicinal properties. J. Med. Food 2011, 14, 1289–1297. [Google Scholar] [CrossRef] [PubMed]
- Deng, N.; Liu, C.; Song, Q.; Yao, M.; Yang, R.; Ma, F.; Tian, Y. Codon usage pattern analysis of Gnetum luofuense (Gnetales) based on transcriptome data. Agron. J. 2021, 113, 696–705. [Google Scholar] [CrossRef]
- Palidwor, G.A.; Perkins, T.J.; Xia, X. A general model of codon bias due to GC mutational bias. PLoS ONE 2010, 5, e13431. [Google Scholar] [CrossRef]
- Wang, Z.; Cai, Q.; Wang, Y.; Li, M.; Wang, C.; Wang, Z.; Jiao, C.; Xu, C.; Wang, H.; Zhang, Z. Comparative analysis of codon bias in the chloroplast genomes of Theaceae species. Front. Genet. 2022, 13, 824610. [Google Scholar] [CrossRef] [PubMed]
- Chakraborty, S.; Yengkhom, S.; Uddin, A. Analysis of codon usage bias of chloroplast genes in Oryza species. Planta 2020, 252, 67. [Google Scholar] [CrossRef]
- Zhang, P.; Xu, W.; Lu, X.; Wang, L. Analysis of codon usage bias of chloroplast genomes in Gynostemma species. Physiol. Mol. Biol. Plants 2021, 27, 2727–2737. [Google Scholar] [CrossRef] [PubMed]
- Zhang, W.-J.; Zhou, J.; Li, Z.-F.; Wang, L.; Gu, X.; Zhong, Y. Comparative analysis of codon usage patterns among mitochondrion, chloroplast and nuclear genes in Triticum aestivum L. J. Integr. Plant Biol. 2007, 49, 246–254. [Google Scholar] [CrossRef]
- Wang, L.; Roossinck, M.J. Comparative analysis of expressed sequences reveals a conserved pattern of optimal codon usage in plants. Plant Mol. Biol. 2006, 61, 699–710. [Google Scholar] [CrossRef]
- Zhang, Y.; Nie, X.; Jia, X.; Zhao, C.; Biradar, S.S.; Wang, L.; Du, X.; Weining, S. Analysis of codon usage patterns of the chloroplast genomes in the Poaceae family. Aust. J. Bot. 2012, 60, 461–470. [Google Scholar] [CrossRef]
- Nie, X.; Deng, P.; Feng, K.; Liu, P.; Du, X.; You, F.; Weining, S. Comparative analysis of codon usage patterns in chloroplast genomes of the Asteraceae family. Plant Mol. Biol. Report. 2013, 32, 828–840. [Google Scholar] [CrossRef]
- Anwar, A.M.; Aljabri, M.; El-Soda, M. Patterns of genome-wide codon usage bias in tobacco, tomato and potato. Biotechnol. Biotechnol. Equip. 2021, 35, 657–664. [Google Scholar] [CrossRef]
- Wang, Z.; Xu, B.; Li, B.; Zhou, Q.; Wang, G.; Jiang, X.; Wang, C.; Xu, Z. Comparative analysis of codon usage patterns in chloroplast genomes of six Euphorbiaceae species. Peer J. 2020, 8, e8251. [Google Scholar] [CrossRef]
- Sharp, P.M.; Emery, L.R.; Zeng, K. Forces that influence the evolution of codon bias. Philos. Trans. R. Soc. B Biol. Sci. 2010, 365, 1203–1212. [Google Scholar] [CrossRef] [PubMed]
- Bhattacharyya, D.; Uddin, A.; Das, S.; Chakraborty, S. Mutation pressure and natural selection on codon usage in chloroplast genes of two species in Pisum L. (Fabaceae: Faboideae). Mitochondrial DNA Part A 2019, 30, 664–673. [Google Scholar] [CrossRef]
- Zeng, Y.; Shen, L.; Chen, S.; Qu, S.; Hou, N. Codon usage profiling of chloroplast genome in Juglandaceae. Forests 2023, 14, 378. [Google Scholar] [CrossRef]
- Xiao, M.; Hu, X.; Li, Y.; Liu, Q.; Shen, S.; Jiang, T.; Zhang, L.; Zhou, Y.; Li, Y.; Luo, X.; et al. Comparative analysis of codon usage patterns in the chloroplast genomes of nine forage legumes. Physiol. Mol. Biol. Plants 2024, 30, 153–166. [Google Scholar] [CrossRef]
- Li, C.; Zhou, L.; Nie, J.; Wu, S.; Li, W.; Liu, Y.; Liu, Y. Codon usage bias and genetic diversity in chloroplast genomes of Elaeagnus species (Myrtiflorae: Elaeagnaceae). Physiol. Mol. Biol. Plants 2023, 29, 239–251. [Google Scholar] [CrossRef] [PubMed]
- Wan, X.F.; Zhou, J.; Xu, D. CodonO: A new informatics method for measuring synonymous codon usage bias within and across genomes. Int. J. Gen. Syst. 2006, 35, 109–125. [Google Scholar] [CrossRef]
- Liu, X.-Y.; Li, Y.; Ji, K.-K.; Zhu, J.; Ling, P.; Zhou, T.; Fan, L.-Y.; Xie, S.-Q. Genome-wide codon usage pattern analysis reveals the correlation between codon usage bias and gene expression in Cuscuta australis. Genomics 2020, 112, 2695–2702. [Google Scholar] [CrossRef]
- Li, N.; Sun, M.-H.; Jiang, Z.-S.; Shu, H.-R.; Zhang, S.-Z. Genome-wide analysis of the synonymous codon usage patterns in apple. J. Integr. Agric. 2016, 15, 983–991. [Google Scholar] [CrossRef]
- Huang, X.; Xu, J.; Chen, L.; Wang, Y.; Gu, X.; Peng, X.; Yang, G. Analysis of transcriptome data reveals multifactor constraint on codon usage in Taenia multiceps. BMC Genom. 2017, 18, 308. [Google Scholar] [CrossRef] [PubMed]
- Sharp, P.M.; Li, W.-H. An evolutionary perspective on synonymous codon usage in unicellular organisms. J. Mol. Evol. 1986, 24, 28–38. [Google Scholar] [CrossRef] [PubMed]
- Anwar, A.; Soudy, M.; Mohamed, R. vhcub: Virus-host codon usage co-adaptation analysis. F1000Research 2019, 8, 2137. [Google Scholar] [CrossRef]
- Supek, F.; Vlahoviček, K. Comparison of codon usage measures and their applicability in prediction of microbial gene expressivity. BMC Bioinform. 2005, 6, 182. [Google Scholar] [CrossRef]
- Perrière, G.; Thioulouse, J. Use and misuse of correspondence analysis in codon usage studies. Nucleic Acids Res. 2002, 30, 4548–4555. [Google Scholar] [CrossRef] [PubMed]
- Zhou, H.-Q.; Ning, L.-W.; Zhang, H.-X.; Guo, F.-B. Analysis of the relationship between genomic GC content and patterns of base usage, codon usage and amino acid usage in Prokaryotes: Similar GC content adopts similar compositional frequencies regardless of the phylogenetic lineages. PLoS ONE 2014, 9, e107319. [Google Scholar] [CrossRef]
- Novembre, J.A. Accounting for background nucleotide composition when measuring codon usage bias. Mol. Biol. Evol. 2002, 19, 1390–1394. [Google Scholar] [CrossRef] [PubMed]
- Sueoka, N. Near homogeneity of PR2-Bias fingerprints in the human genome and their implications in phylogenetic analyses. J. Mol. Evol. 2001, 53, 469–476. [Google Scholar] [CrossRef]
- Kumar, S.; Stecher, G.; Li, M.; Knyaz, C.; Tamura, K. MEGA X: Molecular evolutionary genetics analysis across computing platforms. Mol. Biol. Evol. 2018, 35, 1547–1549. [Google Scholar] [CrossRef]
- Darriba, D.; Posada, D.; Kozlov, A.M.; Stamatakis, A.; Morel, B.; Flouri, T. ModelTest-NG: A new and scalable tool for the selection of DNA and protein evolutionary models. Mol. Biol. Evol. 2020, 37, 291–294. [Google Scholar] [CrossRef] [PubMed]







| Species | Optimal Codon Numbers | Optimal Codon |
|---|---|---|
| Ephedra equisetina | 3 | ‘UUG’, ‘CUU’, ‘UCC’ |
| Ephedra foeminea | 4 | ‘AUA’, ‘CUU’, ‘CUA’, ‘ACA’ |
| Ephedra intermedia | 3 | ‘AUA’, ‘CUU’, ‘ACA’ |
| Ephedra monosperma | 3 | ‘AUA’, ‘CUU’, ‘ACA’ |
| Ephedra sinica | 4 | ‘AUA’, ‘CUU’, ‘UCC’, ‘ACA’ |
| Gnetum gnemon | 5 | ‘GCA’, ‘CUA’, ‘UCC’, ‘UCG’, ‘ACA’ |
| Gnetum hainanense | 7 | ‘GCA’, ‘CGA’, ‘GGC’, ‘CUA’, ‘UCC’, ‘ACC’, ‘ACA’ |
| Gnetum luofuense | 7 | ‘GCA’, ‘CGA’, ‘GGC’, ‘CUA’, ‘UCC’, ‘ACC’, ‘ACA’ |
| Gnetum monotanum | 7 | ‘GCA’, ‘CGA’, ‘GGG’, ‘CUA’, ‘UCC’, ‘ACC’, ‘ACA’ |
| Gnetum parvifolium | 6 | ‘GCA’, ‘CGA’, ‘GGG’, ‘UCC’, ‘ACA’, ‘GUC’ |
| Gnetum pendulum | 7 | ‘GCA’, ‘CGA’, ‘GGG’, ‘CUA’, ‘UCC’, ‘ACC’, ‘ACA’ |
| Gnetum ula | 2 | ‘CUA’, ‘ACC’ |
| Welwitschia mirabilis | 6 | ‘GCC’, ‘AUA’, ‘UUG’, ‘CUA’, ‘UCA’, ‘GUA’ |
| Amino Acid | High-Frequency Codons |
|---|---|
| Leu | UUA |
| Val | GUU |
| Ser | UCU |
| Thr | ACU |
| Tyr | UAU |
| Gln | CAA |
| Lys | AAA |
| Ala | GCU |
| Glu | GAA |
| Arg | AGA, CGU *, CGA * |
| Gly | GGA |
| Phe | UUU * |
| Ile | AUU * |
| Pro | CCU * |
| His | CAU |
| Asn | AAU * |
| Asp | GAU * |
| Cys | UGU * |
| Species Name | r | p |
|---|---|---|
| Gnetum gnemon | 0.561 ** | 0.000 |
| Gnetum montanum | 0.411 * | 0.011 |
| Gnetum parvifolium | 0.455 ** | 0.004 |
| Gnetum ula | 0.500 ** | 0.001 |
| Gnetum hainanense | 0.492 ** | 0.002 |
| Gnetum pendulum | 0.489 ** | 0.002 |
| Gnetum luofuense | 0.480 ** | 0.002 |
| Welwitschia mirabilis | 0.429 ** | 0.005 |
| Ephedra equisetina | 0.071 | 0.657 |
| Ephedra foeminea | 0.158 | 0.324 |
| Ephedra intermedia | 0.071 | 0.660 |
| Ephedra sinica | 0.119 | 0.460 |
| Ephedra monosperma | 0.066 | 0.682 |
Disclaimer/Publisher’s Note: The statements, opinions and data contained in all publications are solely those of the individual author(s) and contributor(s) and not of MDPI and/or the editor(s). MDPI and/or the editor(s) disclaim responsibility for any injury to people or property resulting from any ideas, methods, instructions or products referred to in the content. |
© 2024 by the authors. Licensee MDPI, Basel, Switzerland. This article is an open access article distributed under the terms and conditions of the Creative Commons Attribution (CC BY) license (https://creativecommons.org/licenses/by/4.0/).
Share and Cite
Yang, X.; Wang, Y.; Gong, W.; Li, Y. Comparative Analysis of the Codon Usage Pattern in the Chloroplast Genomes of Gnetales Species. Int. J. Mol. Sci. 2024, 25, 10622. https://doi.org/10.3390/ijms251910622
Yang X, Wang Y, Gong W, Li Y. Comparative Analysis of the Codon Usage Pattern in the Chloroplast Genomes of Gnetales Species. International Journal of Molecular Sciences. 2024; 25(19):10622. https://doi.org/10.3390/ijms251910622
Chicago/Turabian StyleYang, Xiaoming, Yuan Wang, Wenxuan Gong, and Yinxiang Li. 2024. "Comparative Analysis of the Codon Usage Pattern in the Chloroplast Genomes of Gnetales Species" International Journal of Molecular Sciences 25, no. 19: 10622. https://doi.org/10.3390/ijms251910622
APA StyleYang, X., Wang, Y., Gong, W., & Li, Y. (2024). Comparative Analysis of the Codon Usage Pattern in the Chloroplast Genomes of Gnetales Species. International Journal of Molecular Sciences, 25(19), 10622. https://doi.org/10.3390/ijms251910622

