DNA Damage in Moderate and Severe COVID-19 Cases: Relation to Demographic, Clinical, and Laboratory Parameters
Abstract
1. Introduction
2. Results
2.1. Demographic, Clinical, and Laboratory Parameters of COVID-19 Patients
2.2. DNA Damage in COVID-19 Patients
2.3. Relationship of DNA Damage with COVID-19 Severity
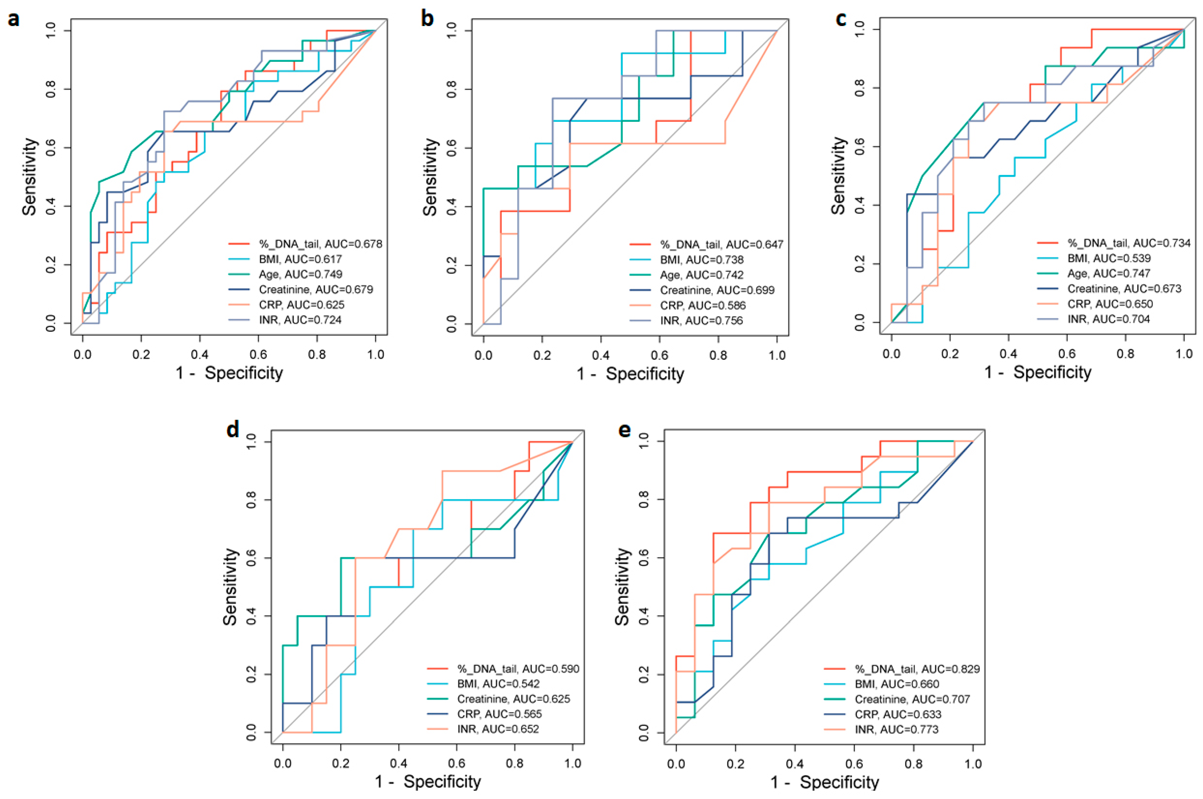
2.4. Analysis of Prognostic Values of Indicators of COVID-19 Severity
3. Discussion
Limitations
4. Materials and Methods
4.1. Study Participants
4.2. Blood Sample Collection
4.3. Demographic, Clinical, and Laboratory Parameters
4.4. DNA Damage Analysis
4.5. Statistical Analysis
5. Conclusions
Author Contributions
Funding
Institutional Review Board Statement
Informed Consent Statement
Data Availability Statement
Acknowledgments
Conflicts of Interest
References
- World Health Organization. WHO COVID-19 Dashboard; World Health Organization: Geneva, Switzerland, 2024.
- Wise, J. COVID-19: WHO Declares End of Global Health Emergency. BMJ 2023, 381, 10412023. [Google Scholar] [CrossRef] [PubMed]
- Harris, E. WHO Declares End of COVID-19 Global Health Emergency. JAMA 2023, 329, 1817. [Google Scholar] [CrossRef] [PubMed]
- Roknuzzaman, A.S.M.; Sarker, R.; Islam, M.R. The World Health Organization Has Endorsed COVID-19 Is No Longer a Global Public Health Emergency: How They Took This Step and What We Should Do Right Now? Int. J. Health Plann. Manag. 2023, 38, 1595–1598. [Google Scholar] [CrossRef] [PubMed]
- Carabelli, A.M.; Peacock, T.P.; Thorne, L.G.; Harvey, W.T.; Hughes, J.; de Silva, T.I.; Peacock, S.J.; Barclay, W.S.; de Silva, T.I.; Towers, G.J.; et al. SARS-CoV-2 Variant Biology: Immune Escape, Transmission and Fitness. Nat. Rev. Microbiol. 2023, 21, 162–177. [Google Scholar] [CrossRef]
- World Health Organization. COVID-19, W. Epidemiological Update—17 June 2024; World Health Organization: Geneva, Switzerland, 2024.
- Sil, D.; Gautam, S.; Saxena, S.; Joshi, S.; Kumar, D.; Mehta, A.; Jindal, P.; Sharma, S.; Pandey, P.; Diksha; et al. Comprehensive Analysis of Omicron Subvariants: EG.5 Rise, Vaccination Strategies, and Global Impact. Curr. Drug Targets 2024, 25, 517–525. [Google Scholar] [CrossRef]
- Grand, R.J. SARS-CoV-2 and the DNA Damage Response. J. Gen. Virol. 2023, 104, 001918. [Google Scholar] [CrossRef]
- Hovhannisyan, G.; Harutyunyan, T.; Aroutiounian, R.; Liehr, T. The Diagnostic, Prognostic, and Therapeutic Potential of Cell-Free DNA with a Special Focus on COVID-19 and Other Viral Infections. Int. J. Mol. Sci. 2023, 24, 14163. [Google Scholar] [CrossRef]
- Papanikolaou, C.; Rapti, V.; Stellas, D.; Stefanou, D.T.; Syrigos, K.; Pavlakis, G.N.; Souliotis, V.L. Delineating the SARS-CoV-2 Induced Interplay between the Host Immune System and the DNA Damage Response Network. Vaccines 2022, 10, 1764. [Google Scholar] [CrossRef]
- Mekawy, A.S.; Alaswad, Z.; Ibrahim, A.A.; Mohamed, A.A.; AlOkda, A.; Elserafy, M. The Consequences of Viral Infection on Host DNA Damage Response: A Focus on SARS-CoVs. J. Genet. Eng. Biotechnol. 2022, 20, 104. [Google Scholar] [CrossRef]
- Gioia, U.; Tavella, S.; Martínez-Orellana, P.; Cicio, G.; Colliva, A.; Ceccon, M.; Cabrini, M.; Henriques, A.C.; Fumagalli, V.; Paldino, A.; et al. SARS-CoV-2 Infection Induces DNA Damage, through CHK1 Degradation and Impaired 53BP1 Recruitment, and Cellular Senescence. Nat. Cell Biol. 2023, 25, 550–564. [Google Scholar] [CrossRef]
- Mihaljevic, O.; Zivancevic-Simonovic, S.; Cupurdija, V.; Marinkovic, M.; Vukajlovic, J.T.; Markovic, A.; Stanojevic-Pirkovic, M.; Milosevic-Djordjevic, O. DNA Damage in Peripheral Blood Lymphocytes of Severely Ill COVID-19 Patients in Relation to Inflammatory Markers and Parameters of Hemostasis. Mutagenesis 2022, 37, 203–212. [Google Scholar] [CrossRef] [PubMed]
- Basaran, M.M.; Hazar, M.; Aydın, M.; Uzuğ, G.; Özdoğan, İ.; Pala, E.; Aydın Dilsiz, S.; Basaran, N. Effects of COVID-19 Disease on DNA Damage, Oxidative Stress and Immune Responses. Toxics 2023, 11, 386. [Google Scholar] [CrossRef] [PubMed]
- Bektemur, G.; Bozali, K.; Colak, S.; Aktas, S.; Guler, E.M. Oxidative Stress, DNA Damage, and Inflammation in COVID-19 Patients. North. Clin. Istanbul 2023, 10, 335–340. [Google Scholar] [CrossRef] [PubMed]
- Doğan, H.; Kara, A.; Çankaya, E.; Balkan, E.; Gürbüz, M.A.; Kızılkaya, M.; Aykaç, M. Clinical Investigation of Leukocyte DNA Damage in COVID-19 Patients. Curr. Issues Mol. Biol. 2023, 45, 963–974. [Google Scholar] [CrossRef]
- Tepebaşı, M.Y.; İlhan, İ.; Temel, E.N.; Sancer, O.; Öztürk, Ö. Investigation of Inflammation, Oxidative Stress, and DNA Damage in COVID-19 Patients. Cell Stress Chaperones 2023, 28, 191–199. [Google Scholar] [CrossRef]
- D’Agnillo, F.; Walters, K.A.; Xiao, Y.; Sheng, Z.M.; Scherler, K.; Park, J.; Gygli, S.; Rosas, L.A.; Sadtler, K.; Kalish, H.; et al. Lung Epithelial and Endothelial Damage, Loss of Tissue Repair, Inhibition of Fibrinolysis, and Cellular Senescence in Fatal COVID-19. Sci. Transl. Med. 2021, 13, eabj7790. [Google Scholar] [CrossRef]
- Kulasinghe, A.; Liu, N.; Tan, C.W.; Monkman, J.; Sinclair, J.E.; Bhuva, D.D.; Godbolt, D.; Pan, L.; Nam, A.; Sadeghirad, H.; et al. Transcriptomic Profiling of Cardiac Tissues from SARS-CoV-2 Patients Identifies DNA Damage. Immunology 2023, 168, 403–419. [Google Scholar] [CrossRef]
- Victor, J.; Deutsch, J.; Whitaker, A.; Lamkin, E.N.; March, A.; Zhou, P.; Botten, J.W.; Chatterjee, N. SARS-CoV-2 Triggers DNA Damage Response in Vero E6 Cells. Biochem. Biophys. Res. Commun. 2021, 579, 141–145. [Google Scholar] [CrossRef]
- Ren, H.; Ma, C.; Peng, H.; Zhang, B.; Zhou, L.; Su, Y.; Gao, X.; Huang, H. Micronucleus Production, Activation of DNA Damage Response and CGAS-STING Signaling in Syncytia Induced by SARS-CoV-2 Infection. Biol. Direct 2021, 16, 20. [Google Scholar] [CrossRef]
- de Oliveira Gonçalves, S.; da Luz, T.M.; Silva, A.M.; de Souza, S.S.; Montalvão, M.F.; Guimarães, A.T.B.; Ahmed, M.A.I.; da Costa Araújo, A.P.; Karthi, S.; Malafaia, G. Can Spike Fragments of SARS-CoV-2 Induce Genomic Instability and DNA Damage in the Guppy, Poecilia Reticulate? An Unexpected Effect of the COVID-19 Pandemic. Sci. Total Environ. 2022, 825, 153988. [Google Scholar] [CrossRef]
- Jahankhani, K.; Ahangari, F.; Adcock, I.M.; Mortaz, E. Possible Cancer-Causing Capacity of COVID-19: Is SARS-CoV-2 an Oncogenic Agent? Biochimie 2023, 213, 130–138. [Google Scholar] [CrossRef]
- Weir, C.B.; Jan, A. BMI Classification Percentile and Cut Off Points; StatPearls: Treasure Island, FL, USA, 2019. [Google Scholar]
- Fukui, S.; Ikeda, K.; Kobayashi, M.; Nishida, K.; Yamada, K.; Horie, S.; Shimada, Y.; Miki, H.; Goto, H.; Hayashi, K.; et al. Predictive Prognostic Biomarkers in Patients with COVID-19 Infection. Mol. Med. Rep. 2023, 27, 15. [Google Scholar] [CrossRef] [PubMed]
- Zhang, J.J.; Dong, X.; Liu, G.H.; Gao, Y.D. Risk and Protective Factors for COVID-19 Morbidity, Severity, and Mortality. Clin. Rev. Allergy Immunol. 2023, 64, 90–107. [Google Scholar] [CrossRef] [PubMed]
- Martono; Fatmawati, F.; Mulyanti, S. Risk Factors Associated with the Severity of COVID-19. Malays. J. Med. Sci. 2023, 30, 84–92. [Google Scholar] [CrossRef] [PubMed]
- Milić, M.; Ceppi, M.; Bruzzone, M.; Azqueta, A.; Brunborg, G.; Godschalk, R.; Koppen, G.; Langie, S.; Møller, P.; Teixeira, J.P.; et al. The HCOMET Project: International Database Comparison of Results with the Comet Assay in Human Biomonitoring. Baseline Frequency of DNA Damage and Effect of Main Confounders. Mutat. Res. Rev. Mutat. Res. 2021, 787, 108371. [Google Scholar] [CrossRef]
- Su, W.; Qiu, Z.; Zhou, L.; Hou, J.; Wang, Y.; Huang, F.; Zhang, Y.; Jia, Y.; Zhou, J.; Liu, D.; et al. Sex Differences in Clinical Characteristics and Risk Factors for Mortality among Severe Patients with COVID-19: A Retrospective Study. Aging 2020, 12, 18833–18843. [Google Scholar] [CrossRef]
- Haitao, T.; Vermunt, J.V.; Abeykoon, J.; Ghamrawi, R.; Gunaratne, M.; Jayachandran, M.; Narang, K.; Parashuram, S.; Suvakov, S.; Garovic, V.D. COVID-19 and Sex Differences: Mechanisms and Biomarkers. Mayo Clin. Proc. 2020, 95, 2189–2203. [Google Scholar] [CrossRef]
- Brest, P.; Refae, S.; Mograbi, B.; Hofman, P.; Milano, G. Host Polymorphisms May Impact SARS-CoV-2 Infectivity. Trends Genet. 2020, 36, 813–815. [Google Scholar] [CrossRef]
- Pinto, T.G.; Alpire, M.E.S.; Ribeiro, D.A. Cytogenetic Biomonitoring in Buccal Mucosa Cells of COVID-19 Patients: Preliminary Findings. In Vivo 2021, 35, 3495–3499. [Google Scholar] [CrossRef]
- Oddoze, C.; Morange, S.; Portugal, H.; Berland, Y.; Dussol, B. Comet-Assay Analysis Identifies Genomic Damage in Lymphocytes of Uremic Patients. Am. J. Kidney Dis. 2001, 38, 296–301. [Google Scholar] [CrossRef]
- Rangel-López, A.; Paniagua-Medina, M.E.; Urbán-Reyes, M.; Cortes-Arredondo, M.; Álvarez-Aguilar, C.; López-Meza, J.; Ochoa-Zarzosa, A.; Lindholm, B.; García-López, E.; Paniagua, J.R. Genetic Damage in Patients with Chronic Kidney Disease, Peritoneal Dialysis and Haemodialysis: A Comparative Study. Mutagenesis 2013, 28, 219–225. [Google Scholar] [CrossRef] [PubMed]
- Ryan, E.L.; Hollingworth, R.; Grand, R.J. Activation of the DNA Damage Response by RNA Viruses. Biomolecules 2016, 6, 2. [Google Scholar] [CrossRef] [PubMed]
- Nguyen, T.T.T.; Park, E.-M.; Lim, Y.-S.; Hwang, S.B. Nonstructural Protein 5A Impairs DNA Damage Repair: Implications for Hepatitis C Virus-Mediated Hepatocarcinogenesis. J. Virol. 2018, 92, e00178-18. [Google Scholar] [CrossRef] [PubMed]
- Pánico, P.; Ostrosky-Wegman, P.; Salazar, A.M. The Potential Role of COVID-19 in the Induction of DNA Damage. Mutat. Res. Rev. Mutat. Res. 2022, 789, 108411. [Google Scholar] [CrossRef]
- Mongelli, A.; Barbi, V.; Zamperla, M.G.; Atlante, S.; Forleo, L.; Nesta, M.; Massetti, M.; Pontecorvi, A.; Nanni, S.; Farsetti, A.; et al. Evidence for Biological Age Acceleration and Telomere Shortening in COVID-19 Survivors. Int. J. Mol. Sci. 2021, 22, 6151. [Google Scholar] [CrossRef]
- Zhang, L.; Richards, A.; Inmaculada Barrasa, M.; Hughes, S.H.; Young, R.A.; Jaenisch, R. Reverse-Transcribed SARS-CoV-2 RNA Can Integrate into the Genome of Cultured Human Cells and Can Be Expressed in Patient-Derived Tissues. Proc. Natl. Acad. Sci. USA 2021, 118, e2105968118. [Google Scholar] [CrossRef]
- Aldén, M.; Olofsson Falla, F.; Yang, D.; Barghouth, M.; Luan, C.; Rasmussen, M.; De Marinis, Y. Intracellular Reverse Transcription of Pfizer BioNTech COVID-19 MRNA Vaccine BNT162b2 In Vitro in Human Liver Cell Line. Curr. Issues Mol. Biol. 2022, 44, 1115–1126. [Google Scholar] [CrossRef]
- Chen, M.; Ma, Y.; Chang, W. SARS-CoV-2 and the Nucleus. Int. J. Biol. Sci. 2022, 18, 4731–4743. [Google Scholar] [CrossRef]
- Zhang, J.; Cruz-cosme, R.; Zhuang, M.W.; Liu, D.; Liu, Y.; Teng, S.; Wang, P.H.; Tang, Q. A Systemic and Molecular Study of Subcellular Localization of SARS-CoV-2 Proteins. Signal Transduct. Target. Ther. 2020, 5, 269. [Google Scholar] [CrossRef]
- Kundura, L.; Gimenez, S.; Cezar, R.; André, S.; Younas, M.; Lin, Y.L.; Portalès, P.; Lozano, C.; Boulle, C.; Reynes, J.; et al. Angiotensin II Induces Reactive Oxygen Species, DNA Damage, and T-Cell Apoptosis in Severe COVID-19. J. Allergy Clin. Immunol. 2022, 150, 594–603.e2. [Google Scholar] [CrossRef]
- Molani, S.; Hernandez, P.V.; Roper, R.T.; Duvvuri, V.R.; Baumgartner, A.M.; Goldman, J.D.; Ertekin-Taner, N.; Funk, C.C.; Price, N.D.; Rappaport, N.; et al. Risk Factors for Severe COVID-19 Differ by Age for Hospitalized Adults. Sci. Rep. 2022, 12, 6568. [Google Scholar] [CrossRef] [PubMed]
- Singh, R.; Rathore, S.S.; Khan, H.; Karale, S.; Chawla, Y.; Iqbal, K.; Bhurwal, A.; Tekin, A.; Jain, N.; Mehra, I.; et al. Association of Obesity With COVID-19 Severity and Mortality: An Updated Systemic Review, Meta-Analysis, and Meta-Regression. Front. Endocrinol. 2022, 13, 780872. [Google Scholar] [CrossRef]
- Zinellu, A.; Paliogiannis, P.; Carru, C.; Mangoni, A.A. INR and COVID-19 Severity and Mortality: A Systematic Review with Meta-Analysis and Meta-Regression. Adv. Med. Sci. 2021, 66, 372–380. [Google Scholar] [CrossRef] [PubMed]
- Abdelaal, A.; Abu-Elfatth, A.; Bakkar, L.M.; El-Azeem, H.G.A.; Hetta, H.F.; Badawy, E.R. Assessment of COVID -19 Associated Coagulopathy and Multiple Hemostatic Markers: A Single Center Study in Egypt. Infection 2023, 51, 655–664. [Google Scholar] [CrossRef] [PubMed]
- Russo, A.; Pisaturo, M.; Monari, C.; Ciminelli, F.; Maggi, P.; Allegorico, E.; Gentile, I.; Sangiovanni, V.; Esposito, V.; Gentile, V.; et al. Prognostic Value of Creatinine Levels at Admission on Disease Progression and Mortality in Patients with COVID-19—An Observational Retrospective Study. Pathogens 2023, 12, 973. [Google Scholar] [CrossRef]
- Abdullah, A.J.; Arif, A.T.; Rahman, H.A.; Sofihussein, K.Q.; Hadi, J.M.; Aziz, J.M.A.; Tofiq, S.S.; Mustafa, A.M. Assessing Serum C-Reactive Protein as a Predictor of COVID-19 Outcomes: A Retrospective Cross-Sectional Study. Ann. Med. Surg. 2023, 85, 3359–3363. [Google Scholar] [CrossRef]
- Hu, R.; Han, C.; Pei, S.; Yin, M.; Chen, X. Procalcitonin Levels in COVID-19 Patients. Int. J. Antimicrob. Agents 2020, 56, 106051. [Google Scholar] [CrossRef]
- Sui, J.; Noubouossie, D.F.; Gandotra, S.; Cao, L. Elevated Plasma Fibrinogen Is Associated With Excessive Inflammation and Disease Severity in COVID-19 Patients. Front. Cell. Infect. Microbiol. 2021, 11, 734005. [Google Scholar] [CrossRef]
- Kangro, K.; Wolberg, A.S.; Flick, M.J. Fibrinogen, Fibrin, and Fibrin Degradation Products in COVID-19. Curr. Drug Targets 2022, 23, 1593–1602. [Google Scholar] [CrossRef]
- Zeng, F.; Huang, Y.; Guo, Y.; Yin, M.; Chen, X.; Xiao, L.; Deng, G. Association of Inflammatory Markers with the Severity of COVID-19: A Meta-Analysis. Int. J. Infect. Dis. 2020, 96, 467–474. [Google Scholar] [CrossRef]
- Hariyanto, T.I.; Japar, K.V.; Kwenandar, F.; Damay, V.; Siregar, J.I.; Lugito, N.P.H.; Tjiang, M.M.; Kurniawan, A. Inflammatory and Hematologic Markers as Predictors of Severe Outcomes in COVID-19 Infection: A Systematic Review and Meta-Analysis. Am. J. Emerg. Med. 2021, 41, 110–119. [Google Scholar] [CrossRef] [PubMed]
- Kumar, A.; Karn, E.; Trivedi, K.; Kumar, P.; Chauhan, G.; Kumari, A.; Pant, P.; Munisamy, M.; Prakash, J.; Sarkar, P.G.; et al. Procalcitonin as a Predictive Marker in COVID-19: A Systematic Review and Meta-Analysis. PLoS ONE 2022, 17, e0272840. [Google Scholar] [CrossRef] [PubMed]
- Pal, S.; Sengupta, S.; Lahiri, S.; Ghosh, A.; Bhowmick, K. Role of Biomarkers in Prognostication of Moderate and Severe COVID-19 Cases. J. Fam. Med. Prim. Care 2023, 12, 3186–3193. [Google Scholar] [CrossRef] [PubMed]
- Kay, J.; Thadhani, E.; Samson, L.; Engelward, B. Inflammation-Induced DNA Damage, Mutations and Cancer. DNA Repair 2019, 83, 102673. [Google Scholar] [CrossRef] [PubMed]
- Pezone, A.; Olivieri, F.; Napoli, M.V.; Procopio, A.; Avvedimento, E.V.; Gabrielli, A. Inflammation and DNA Damage: Cause, Effect or Both. Nat. Rev. Rheumatol. 2023, 19, 200–211. [Google Scholar] [CrossRef]
- Liu, F.; Li, L.; Xu, M.D.; Wu, J.; Luo, D.; Zhu, Y.S.; Li, B.X.; Song, X.Y.; Zhou, X. Prognostic Value of Interleukin-6, C-Reactive Protein, and Procalcitonin in Patients with COVID-19. J. Clin. Virol. 2020, 127, 104370. [Google Scholar] [CrossRef]
- Pál, K.; Molnar, A.A.; Huțanu, A.; Szederjesi, J.; Branea, I.; Timár, Á.; Dobreanu, M. Inflammatory Biomarkers Associated with In-Hospital Mortality in Critical COVID-19 Patients. Int. J. Mol. Sci. 2022, 23, 10423. [Google Scholar] [CrossRef]
- Pijls, B.G.; Jolani, S.; Atherley, A.; Derckx, R.T.; Dijkstra, J.I.R.; Franssen, G.H.L.; Hendriks, S.; Richters, A.; Venemans-Jellema, A.; Zalpuri, S.; et al. Demographic Risk Factors for COVID-19 Infection, Severity, ICU Admission and Death: A Meta-Analysis of 59 Studies. BMJ Open 2021, 11, e044640. [Google Scholar] [CrossRef]
- Soeroto, A.Y.; Soetedjo, N.N.; Purwiga, A.; Santoso, P.; Kulsum, I.D.; Suryadinata, H.; Ferdian, F. Effect of Increased BMI and Obesity on the Outcome of COVID-19 Adult Patients: A Systematic Review and Meta-Analysis. Diabetes Metab. Syndr. Clin. Res. Rev. 2020, 14, 1897–1904. [Google Scholar] [CrossRef]
- World Health Organization. Living Guidance for Clinical Management of COVID-19; World Health Organization: Geneva, Switzerland, 2021; p. 63.
- Singh, N.P.; McCoy, M.T.; Tice, R.R.; Schneider, E.L. A Simple Technique for Quantitation of Low Levels of DNA Damage in Individual Cells. Exp. Cell Res. 1988, 175, 184–191. [Google Scholar] [CrossRef]
- Azqueta, A.; Collins, A.R. The Essential Comet Assay: A Comprehensive Guide to Measuring DNA Damage and Repair. Arch. Toxicol. 2013, 87, 949–968. [Google Scholar] [CrossRef] [PubMed]
- Tang, D.; Chen, M.; Huang, X.; Zhang, G.; Zeng, L.; Zhang, G.; Wu, S.; Wang, Y. SRplot: A Free Online Platform for Data Visualization and Graphing. PLoS ONE 2023, 18, e0294236. [Google Scholar] [CrossRef] [PubMed]




| Characteristics | Moderate Group (n = 36) | Severe Group (n = 29) | Control Group (n = 24) |
|---|---|---|---|
| Age, median (IQR) | 62 (44.5–69.5) | 72 (63.0–70.0) * | 64.5 (54.5–72.5) |
| Male, n (%) | 17 (47.2) | 13 (44.8) | 10 (41.6) |
| Female, n (%) | 19 (52.8) | 16 (55.2) | 14 (58.4) |
| Smoking status, n (%) | 13 (36.1) | 7 (24.1) | 8 (33.3) |
| Alcohol consumption, n (%) | 0 | 1 (3.4) | 0 |
| BMI, median (IQR) | 26.1 (22.5–29.5) | 29.1 (25.3–31.6) | 23.0 (22.0–24.5) a |
| Comorbidities | |||
| Hypertension, n (%) | 17 (47.2) | 19 (65.5) | 13 (54.2) |
| Diabetes, n (%) | 11 (30.5) | 11 (37.9) | 8 (33.3) |
| Heart diseases, n (%) | 6 (16.6) | 7 (24.1) | 5 (20.8) |
| Stroke, n (%) | 3 (8.3) | 0 | 0 |
| Pneumocystis pneumonia, n (%) | 0 | 2 (6.9) | 0 |
| Bronchial asthma, n (%) | 2 (5.5) | 0 | 0 |
| Thyroid disease, n (%) | 0 | 2 (6.9) | 1 (4.1) |
| Chronic obstructive pulmonary disease, n (%) | 0 | 4 (13.8) | 0 |
| Varicose veins in the lower extremities, n (%) | 1 (2.7) | 0 | 1 (4.1) |
| Epilepsy, n (%) | 0 | 1 (3.4) | 0 |
| Gastrointestinal bleeding, n (%) | 0 | 1 (3.4) | 0 |
| Laboratory Parameters | Reference Values | Moderate Group (Median (IQR)) | Severe Group (Median (IQR)) |
|---|---|---|---|
| WBC, ×109/L | 3.50–10.00 | 6.18 (4.96–9.25) | 9.04 (4.52–13.40) |
| NEU, ×109/L | 1.60–7.00 | 3.75 (2.83–5.68) | 4.34 (2.43–9.94) |
| LYM, ×109/L | 1.00–3.00 | 1.37 (0.73–2.13) | 0.88 (0.63–1.71) |
| NLR | 0.88–4.0 | 3.19 (1.82–5.40) | 3.40 (1.86–9.98) |
| PLT, ×109/L | 150–400 | 269.00 (221.00–339.00) | 246.50 (217.00–328.00) |
| CRP, mg/L | <5 | 34.00 (7.20–85.00) | 98.50 (61.00–181.00) * |
| PCT, ng/mL | <0.05 | 0.42 (0.32–0.46) | 0.33 (0.21–0.45) |
| INR, s | 0.85–1.2 | 1.34 (1.16–1.70) | 1.75 (1.44–2.08) * |
| APTT, s | 25–43 | 39.05 (36.00–42.00) | 40.50 (33.50–47.50) |
| Fibrinogen, mg/dL | 200–400 | 500.00 (442.00–549.00) | 500.00 (435.50–501.00) |
| Creatinine, µmol/L | 53–115 | 48.00 (35.00–64.00) | 63.50 (40.00–93.90) * |
| ALT, IU/L | 0–38 | 23.50 (15.00–30.00) | 25.00 (17.00–54.00) |
| AST, IU/L | 0–41 | 21.55 (15.00–32.00) | 22.00 (16.00–41.00) |
| LOS, days | - | 8.00 (7.00–10.00) | 13.00 (6.00–20.00) * |
| Laboratory Parameters | Male | Female | ||
|---|---|---|---|---|
| Moderate (Median (IQR)) (n = 17) | Severe (Median (IQR)) (n = 13) | Moderate (Median (IQR)) (n = 19) | Severe (Median (IQR)) (n = 16) | |
| Age, years | 61 (19–69) | 71 (59–81) * | 66 (54–70) | 73 (67–77) * |
| BMI, kg/m2 | 24.9 (22.5–26.38) | 27.25 (25.3–30.0) * | 28.65 (22.6–34.2) | 29.3 (25.3–33.7) |
| WBC,×109/L | 6.19 (4.77–10.18) | 9.04 (4.52–10.4) | 6.18 (5.3–7.09) | 9.56 (4.76–13.4) |
| NEU, × 109/L | 4.41 (2.89–8.02) | 4.76 (2.56–8.66) | 3.59 (2.83–4.61) | 3.91 (2.35–10.31) |
| LYM, × 109/L | 1.42 (0.62–1.95) | 1.08 (0.6–1.62) | 1.37 (0.91–2.13) | 0.77 (0.64–1.96) |
| NLR | 3.88 (1.69–8.34) | 4.12 (2.24–9.0) | 3.05 (1.81–4.75) | 3.37 (1.32–14.93) |
| PLT, × 109/L | 257 (243–320) | 232 (191.0–295.5) | 261.50 (219–298) | 240.5 (233–313) |
| CRP, mg/L | 25.5 (6.4–85.0) | 179.14 (61.0–213.0) * | 41 (9.0–87.0) | 87.5 (66.0–122.0) |
| PCT, ng/mL | 0.44 (0.43–0.46) a | 0.44 (0.27–0.59) | 0.32 (0.28–0.40) | 0.28 (0.19–0.34) |
| INR, s | 1.3 (1.22–1.7) | 1.56 (1.41–2.05) | 1.41 (1.16–1.63) | 1.8 (1.47–2.12) * |
| APTT, s | 40 (36.3–42.0) | 42.3 (36.5–50.6) | 37.9 (36.0–41.9) | 37.9 (33.0–43.0) |
| Fibrinogen, mg/dL | 470 (419–500) | 500 (439–500) | 500 (442–556) | 500 (432–515) |
| Creatinine, µmol/L | 50 (44–64) | 64 (60–86) | 40.5 (32.5–58.5) | 62 (35–95) |
| ALT, IU/L | 26.5 (14.9–41.5) | 28 (13–65) | 20 (15–30) | 22 (17–31) |
| AST, IU/L | 27.5 (18.0–32.5) | 30 (16–59) | 19 (15–25) | 21 (16–36) |
| LOS, days | 8.0 (7.0–9.5) | 11.5 (5.5–21.0) | 8.0 (6.0–10.0) | 14 (10–16) * |
| Laboratory Parameters | Age Group < 65 Years (n = 30) | Age Group ≥ 65 Years (n = 35) | ||
|---|---|---|---|---|
| Moderate (Median (IQR)) (n = 20) | Severe (Median (IQR)) (n = 10) | Moderate (Median (IQR)) (n = 16) | Severe (Median (IQR)) (n = 19) | |
| BMI, kg/m2 | 13.89 (7.21–17.42) | 27.25 (25.0–30.0) | 27.6 (25.1–29.5) | 29.3 (26.44–32.0) |
| WBC, ×109/L | 6.07 (4.73–9.61) | 10.18 (5.7–17.58) | 6.36 (5.16–8.92) | 8.33 (4.42–10.99) |
| NEU, ×109/L | 3.56 (2.26–5.68) | 6.69 (3.03–10.51) | 4.13 (3.27–5.88) | 3.91 (2.35–9.26) |
| LYM, ×109/L | 1.56 (1.14–1.76) | 1.62 (1.28–1.74) | 1.08 (0.56–2.15) | 0.74 (0.6–1.48) |
| NLR | 2.28 (1.51–5.06) | 4.12 (1.31–10.11) | 3.38 (2.60–8.16) | 3.37 (2.2–9.85) |
| PLT, ×109/L | 269 (237.5–310.5) | 251 (218.5–316.5) | 258 (215–310) | 245 (218–300) |
| CRP, mg/L | 21.5 (6.0–73.5) | 87.5 (50.0–179.14) | 41.0 (17.0–87.0) | 99.0 (61.0–206.0) * |
| PCT, ng/mL | 0.42 (0.36–0.45) | 0.27 (0.19–0.51) | 0.38 (0.28–0.47) | 0.34 (0.21–0.45) |
| INR, s | 1.41 (1.10–1.77) | 1.49 (1.41–2.05) | 1.3 (1.16–1.63) | 1.81 (1.46–2.09) * |
| APTT, s | 37.9 (34.8–41.9) | 46.6 (37.2–55.2) | 40.0 (36.0–44.0) | 38.8 (32.6–42.3) |
| Fibrinogen, mg/dL | 475.5 (392.0–500.0) | 432.0 (419.0–478.0) | 522.0 (459.0–606.0) | 501.0 (500.0–538.0) a |
| Creatinine, µmol/L | 46 (37–60) | 63.0 (40.0–95.0) | 50 (35–64) | 64.0 (40.0–92.8) |
| ALT, IU/L | 25.0 (16.0–30.0) | 23.5 (12.4–50.0) | 18.0 (15.0–31.0) | 25.0 (18.0–54.0) |
| AST, IU/L | 25.0 (16.0–32.0) | 20.0 (15.3–34.5) | 20.0 (14.0–28.0) | 28.9 (17.0–47.0) |
| LOS, days | 7.5 (6.0–9.0) | 10.0 (6.0–15.0) | 9.0 (7.0–11.0) | 17.0 (14.0–35.0) *a |
| Patient Groups | INR | Creatinine |
|---|---|---|
| Total group | r = 0.471; p < 0.001 | r = 0.326; p < 0.05 |
| Total severely affected group | r = 0.398; p < 0.001 | r = 0.379; p < 0.05 |
| Total moderately affected group | r = 0.456; p < 0.05 | NS |
| Males | NS | NS |
| Severely affected males | NS | NS |
| Moderately affected males | r = 0.600; p < 0.05 | NS |
| Females | r = 0.567; p < 0.01 | r = 0.385; p < 0.05 |
| Severely affected females | NS | r = 0.534; p < 0.05 |
| Moderately affected females | r = 0.570; p < 0.05 | NS |
| Cut-Off Point | Sensitivity (%) | Specificity (%) | AUC | p-Value | 95% CI | |
|---|---|---|---|---|---|---|
| Total group | ||||||
| Age, years | 72.50 | 48.3 | 94.4 | 0.749 | 0.001 | 0.625–0.872 |
| BMI, kg/m2 | 26.44 | 71.43 | 52.94 | 0.617 | 0.115 | 0.478–0.757 |
| DNA damage, % | 9.72 | 79.3 | 52.8 | 0.678 | 0.014 | 0.547–0.809 |
| Creatinine, µmol/L | 78.0 | 46.43 | 90.32 | 0.679 | 0.044 | 0.541–0.817 |
| CRP, mg/L | 50.0 | 86.36 | 65.52 | 0.625 | 0.003 | 0.478–0.772 |
| INR, s | 1.46 | 75.00 | 68.97 | 0.724 | 0.004 | 0.597–0.851 |
| Male patients | ||||||
| Age, years | 72.50 | 46.2 | 100 | 0.742 | 0.025 | 0.557–0.928 |
| BMI, kg/m2 | 26.37 | 69.2 | 76.5 | 0.738 | 0.028 | 0.550–0.925 |
| DNA damage, % | 17.79 | 38.5 | 94.1 | 0.647 | 0.174 | 0.439–0.855 |
| Creatinine, µmol/L | 56.00 | 76.9 | 64.7 | 0.699 | 0.066 | 0.495–0.903 |
| CRP, mg/L | 50.0 | 88.89 | 64.29 | 0.586 | 0.038 | 0.356–0.816 |
| INR, s | 1.39 | 76.9 | 76.5 | 0.756 | 0.018 | 0.576–0.935 |
| Female patients | ||||||
| Age, years | 69.50 | 75.0 | 68.4 | 0.747 | 0.013 | 0.572–0.922 |
| BMI, kg/m2 | 29.0 | 60.0 | 55.6 | 0.539 | 0.691 | 0.345–0.734 |
| DNA damage, % | 7.96 | 75.0 | 68.4 | 0.734 | 0.019 | 0.564–0.903 |
| Creatinine, µmol/L | 77.00 | 43.8 | 94.7 | 0.673 | 0.082 | 0.483–0.863 |
| CRP, mg/L | 53.50 | 68.8 | 73.7 | 0.650 | 0.132 | 0.452–0.847 |
| INR, s | 1.45 | 75.0 | 68.4 | 0.704 | 0.040 | 0.519–0.889 |
| Under 65 years | ||||||
| BMI, kg/m2 | 23.4 | 80.0 | 45.0 | 0.542 | 0.725 | 0.323–0.762 |
| DNA damage, % | 17.99 | 40.0 | 85.0 | 0.590 | 0.441 | 0.376–0.804 |
| Creatinine, µmol/L | 62.00 | 60.0 | 80.0 | 0.625 | 0.281 | 0.417–0.833 |
| CRP, mg/L | 50.00 | 60.0 | 75.0 | 0.565 | 0.580 | 0.348–0.782 |
| INR, s | 1.47 | 66.66 | 66.66 | 0.652 | 0.370 | 0.384–0.846 |
| Over 65 years | ||||||
| BMI, kg/m2 | 29.30 | 52.63 | 75.00 | 0.660 | 0.112 | 0.475–0.844 |
| DNA damage, % | 12.82 | 68.42 | 87.50 | 0.829 | 0.001 | 0.686–0.972 |
| Creatinine, µmol/L | 78.00 | 47.36 | 84.61 | 0.707 | 0.192 | 0.439–0.840 |
| CRP, mg/L | 58.00 | 68.42 | 68.75 | 0.633 | 0.389 | 0.448–0.818 |
| INR, s | 1.46 | 78.94 | 66.66 | 0.773 | 0.011 | 0.589–0.926 |
Disclaimer/Publisher’s Note: The statements, opinions and data contained in all publications are solely those of the individual author(s) and contributor(s) and not of MDPI and/or the editor(s). MDPI and/or the editor(s) disclaim responsibility for any injury to people or property resulting from any ideas, methods, instructions or products referred to in the content. |
© 2024 by the authors. Licensee MDPI, Basel, Switzerland. This article is an open access article distributed under the terms and conditions of the Creative Commons Attribution (CC BY) license (https://creativecommons.org/licenses/by/4.0/).
Share and Cite
Harutyunyan, T.; Sargsyan, A.; Kalashyan, L.; Stepanyan, N.; Aroutiounian, R.; Liehr, T.; Hovhannisyan, G. DNA Damage in Moderate and Severe COVID-19 Cases: Relation to Demographic, Clinical, and Laboratory Parameters. Int. J. Mol. Sci. 2024, 25, 10293. https://doi.org/10.3390/ijms251910293
Harutyunyan T, Sargsyan A, Kalashyan L, Stepanyan N, Aroutiounian R, Liehr T, Hovhannisyan G. DNA Damage in Moderate and Severe COVID-19 Cases: Relation to Demographic, Clinical, and Laboratory Parameters. International Journal of Molecular Sciences. 2024; 25(19):10293. https://doi.org/10.3390/ijms251910293
Chicago/Turabian StyleHarutyunyan, Tigran, Anzhela Sargsyan, Lily Kalashyan, Naira Stepanyan, Rouben Aroutiounian, Thomas Liehr, and Galina Hovhannisyan. 2024. "DNA Damage in Moderate and Severe COVID-19 Cases: Relation to Demographic, Clinical, and Laboratory Parameters" International Journal of Molecular Sciences 25, no. 19: 10293. https://doi.org/10.3390/ijms251910293
APA StyleHarutyunyan, T., Sargsyan, A., Kalashyan, L., Stepanyan, N., Aroutiounian, R., Liehr, T., & Hovhannisyan, G. (2024). DNA Damage in Moderate and Severe COVID-19 Cases: Relation to Demographic, Clinical, and Laboratory Parameters. International Journal of Molecular Sciences, 25(19), 10293. https://doi.org/10.3390/ijms251910293

