Antimicrobial Activity of Chalcones with a Chlorine Atom and Their Glycosides
Abstract
1. Introduction
2. Results and Discussion
2.1. Synthesis of Biotransformation Substrates 4-Chloro-2′-Hydroxychalcone (3) and 5′-Chloro-2′-Hydroxychalcone (6)
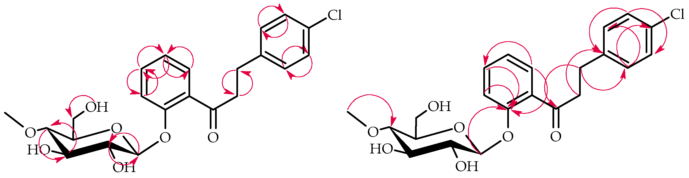
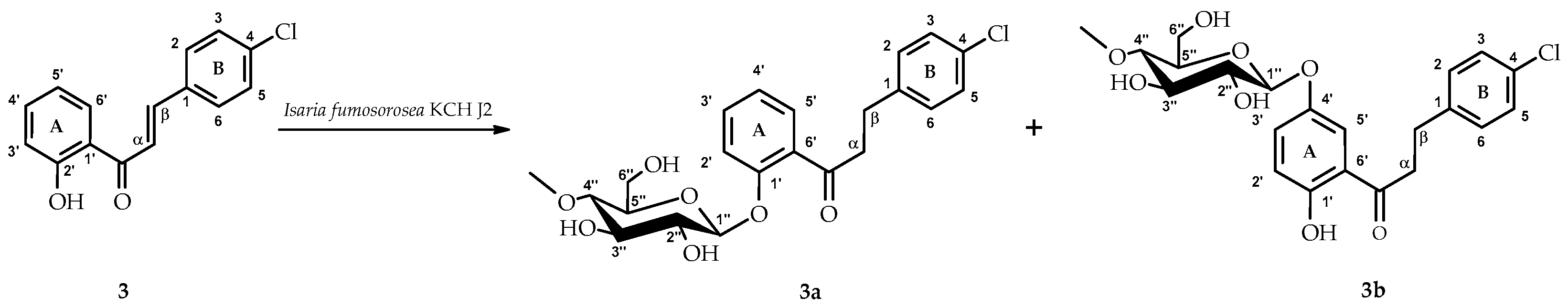
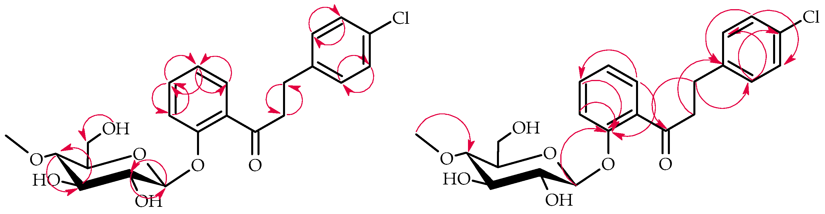
2.2. Biotransformation of 4-Chloro-2′-Hydroxychalcone (3) in Culture of I. Fumosorosea KCH J2
2.3. Biotransformation of 4-Chloro-2′-Hydroxychalcone (3) in the Culture of B. Bassiana KCH J1.5
2.4. Biotransformation of 5′-Chloro-2′-Hydroxychalcone (6) in the Culture of I. Fumosorosea KCH J2
2.5. Biotransformation of 5′-Chloro-2′-Hydroxychalcone (6) in the Culture of B. Bassiana KCH J1.5
2.6. SwissADME Analysis: Pharmacokinetics and Drug-Likeness Prediction of 4-Chloro-2′-Hydroxychalcone (3), 5′-Chloro-2′-Hydroxychalcone (6) and Their Derivatives (3a–3c, 6a–6b)
2.7. Antimicrobial Effects of 2′-Hydroxychalcone and Its Derivatives (3, 3a–3c, 6, 6a–6b, and 7)
3. Materials and Methods
3.1. General Procedure for the Synthesis of Biotransformation Substrates 3 and 6
3.2. Microorganisms
3.3. Analysis
3.4. Screening Procedure
3.5. The Semi-Preparative Biotransformation
3.6. Fungal Biotransformation Products
3.7. Pharmacokinetics and Drug Nature Predictions
3.8. Antimicrobial Activity Assays
4. Conclusions
Supplementary Materials
Author Contributions
Funding
Data Availability Statement
Conflicts of Interest
References
- Zhuang, C.; Zhang, W.; Sheng, C.; Zhang, W.; Xing, C.; Miao, Z. Chalcone: A Privileged Structure in Medicinal Chemistry. Chem. Rev. 2017, 117, 7762–7810. [Google Scholar] [CrossRef] [PubMed]
- Ehrenkranz, J.R.L.; Lewis, N.G.; Kahn, C.R.; Roth, J. Phlorizin: A review. Diabetes/Metabolism Res. Rev. 2004, 21, 31–38. [Google Scholar] [CrossRef]
- Gosch, C.; Halbwirth, H.; Stich, K. Phloridzin: Biosynthesis, distribution and physiological relevance in plants. Phytochemistry 2010, 71, 838–843. [Google Scholar] [CrossRef] [PubMed]
- Tian, L.; Cao, J.; Zhao, T.; Liu, Y.; Khan, A.; Cheng, G. The Bioavailability, Extraction, Biosynthesis and Distribution of Natural Dihydrochalcone: Phloridzin. Int. J. Mol. Sci. 2021, 22, 962. [Google Scholar] [CrossRef] [PubMed]
- Londzin, P.; Siudak, S.; Cegieła, U.; Pytlik, M.; Janas, A.; Waligóra, A.; Folwarczna, J. Phloridzin, an Apple Polyphenol, Exerted Unfavorable Effects on Bone and Muscle in an Experimental Model of Type 2 Diabetes in Rats. Nutrients 2018, 10, 1701. [Google Scholar] [CrossRef]
- Guvenalp, Z.; Ozbek, H.; Karadayi, M.; Gulluce, M.; Kuruuzum-Uz, A.; Salih, B.; Demirezer, O. Two antigenotoxic chalcone glycosides from Mentha longifolia subsp. longifolia. Pharm. Biol. 2014, 53, 888–896. [Google Scholar] [CrossRef]
- Itoh, T.; Ninomiya, M.; Nozawa, Y.; Koketsu, M. Chalcone glycosides isolated from aerial parts of Brassica rapa L. ‘hidabeni’ suppress antigen-stimulated degranulation in rat basophilic leukemia RBL-2H3 cells. Bioorganic Med. Chem. 2010, 18, 7052–7057. [Google Scholar] [CrossRef] [PubMed]
- Prasad, Y.R.; Rao, A.L.; Rambabu, R. Synthesis and Antimicrobial Activity of Some Chalcone Derivatives. J. Chem. 2007, 5, 461–466. [Google Scholar] [CrossRef]
- Lin, Y.-M.; Zhou, Y.; Flavin, M.T.; Zhou, L.-M.; Nie, W.; Chen, F.-C. Chalcones and flavonoids as anti-Tuberculosis agents. Bioorganic Med. Chem. 2002, 10, 2795–2802. [Google Scholar] [CrossRef]
- Konečná, K.; Diepoltová, A.; Holmanová, P.; Jand’ourek, O.; Vejsová, M.; Voxová, B.; Bárta, P.; Maixnerová, J.; Trejtnar, F.; Kučerová-Chlupáčová, M. Comprehensive insight into anti-staphylococcal and anti-enterococcal action of brominated and chlorinated pyrazine-based chalcones. Front. Microbiol. 2022, 13, 912467. [Google Scholar] [CrossRef]
- Rehberg, N.; Akone, H.S.; Ioerger, T.R.; Erlenkamp, G.; Daletos, G.; Gohlke, H.; Proksch, P.; Kalscheuer, R. Chlorflavonin Targets Acetohydroxyacid Synthase Catalytic Subunit IlvB1 for Synergistic Killing of Mycobacterium tuberculosis. ACS Infect. Dis. 2017, 4, 123–134. [Google Scholar] [CrossRef] [PubMed]
- Perz, M.; Krawczyk-Łebek, A.; Dymarska, M.; Janeczko, T.; Kostrzewa-Susłow, E. Biotransformation of Flavonoids with -NO2, -CH3 Groups and -Br, -Cl Atoms by Entomopathogenic Filamentous Fungi. Int. J. Mol. Sci. 2023, 24, 9500. [Google Scholar] [CrossRef] [PubMed]
- Dymarska, M.; Grzeszczuk, J.; Urbaniak, M.; Janeczko, T.; Pląskowska, E.; Stępień, Ł.; Kostrzewa-Susłow, E. Glycosylation of 6-methylflavone by the strain Isaria fumosorosea KCH J2. PLoS ONE 2017, 12, e0184885. [Google Scholar] [CrossRef]
- Dou, F.; Wang, Z.; Li, G.; Dun, B. Microbial Transformation of Flavonoids by Isaria fumosorosea ACCC 37814. Molecules 2019, 24, 1028. [Google Scholar] [CrossRef]
- Xie, L.; Zhang, L.; Wang, C.; Wang, X.; Xu, Y.-M.; Yu, H.; Wu, P.; Li, S.; Han, L.; Gunatilaka, A.A.L.; et al. Methylglucosylation of aromatic amino and phenolic moieties of drug-like biosynthons by combinatorial biosynthesis. Proc. Natl. Acad. Sci. USA 2018, 115, E4980–E4989. [Google Scholar] [CrossRef] [PubMed]
- Xiao, J. Dietary Flavonoid Aglycones and Their Glycosides: Which Show Better Biological Significance? Crit. Rev. Food Sci. Nutr. 2015, 57, 1874–1905. [Google Scholar] [CrossRef]
- Krawczyk-Łebek, A.; Żarowska, B.; Dymarska, M.; Janeczko, T.; Kostrzewa-Susłow, E. Synthesis, fungal biotransformation, and evaluation of the antimicrobial potential of chalcones with a chlorine atom. Sci. Rep. 2024, 14, 1–22. [Google Scholar] [CrossRef]
- Krawczyk-Łebek, A.; Dymarska, M.; Janeczko, T.; Kostrzewa-Susłow, E. Glycosylation of Methylflavonoids in the Cultures of Entomopathogenic Filamentous Fungi as a Tool for Obtaining New Biologically Active Compounds. Int. J. Mol. Sci. 2022, 23, 5558. [Google Scholar] [CrossRef]
- Krawczyk-Łebek, A.; Dymarska, M.; Janeczko, T.; Kostrzewa-Susłow, E. New Glycosylated Dihydrochalcones Obtained by Biotransformation of 2′-Hydroxy-2-methylchalcone in Cultures of Entomopathogenic Filamentous Fungi. Int. J. Mol. Sci. 2021, 22, 9619. [Google Scholar] [CrossRef]
- Krawczyk-Łebek, A.; Dymarska, M.; Janeczko, T.; Kostrzewa-Susłow, E. Entomopathogenic Filamentous Fungi as Biocatalysts in Glycosylation of Methylflavonoids. Catalysts 2020, 10, 1148. [Google Scholar] [CrossRef]
- Kim, H.J.; Lee, I.-S. Microbial Metabolism of the Prenylated Chalcone Xanthohumol. J. Nat. Prod. 2006, 69, 1522–1524. [Google Scholar] [CrossRef] [PubMed]
- Tronina, T.; Bartmańska, A.; Milczarek, M.; Wietrzyk, J.; Popłoński, J.; Rój, E.; Huszcza, E. Antioxidant and antiproliferative activity of glycosides obtained by biotransformation of xanthohumol. Bioorganic Med. Chem. Lett. 2013, 23, 1957–1960. [Google Scholar] [CrossRef] [PubMed]
- Huszcz, E.; Bartmanska, A.; Tronin, T. Glycosylation of Xanthohumol by Fungi. Z. Fur Naturforschung Sect. C-A J. Biosci. 2008, 63, 557–560. [Google Scholar] [CrossRef]
- Daina, A.; Michielin, O.; Zoete, V. SwissADME: A free web tool to evaluate pharmacokinetics, drug-likeness and medicinal chemistry friendliness of small molecules. Sci. Rep. 2017, 7, 42717. [Google Scholar] [CrossRef]
- Daina, A.; Zoete, V. A BOILED-Egg to Predict Gastrointestinal Absorption and Brain Penetration of Small Molecules. ChemMedChem 2016, 11, 1117–1121. [Google Scholar] [CrossRef] [PubMed]
- Cyboran-Mikołajczyk, S.; Bonarska-Kujawa, D.; Męczarska, K.; Krawczyk-Łebek, A.; Kostrzewa-Susłow, E. Novel O-Methylglucoside Derivatives of Flavanone in Interaction with Model Membrane and Transferrin. Membranes 2022, 12, 978. [Google Scholar] [CrossRef]
- Alcaráz, L.; Blanco, S.; Puig, O.; Tomás, F.; Ferretti, F. Antibacterial Activity of Flavonoids Against Methicillin-resistant Staphylococcus aureus strains. J. Theor. Biol. 2000, 205, 231–240. [Google Scholar] [CrossRef]
- Silva, A.M.S.; Tavares, H.R.; Barros, A.I.N.R.A.; Cavaleiro, J.A.S. NMR and Structural and Conformational Features of 2′-Hydroxychalcones and Flavones. Spectrosc. Lett. 1997, 30, 1655–1667. [Google Scholar] [CrossRef]
- Rapposelli, S.; Da Settimo, F.; Digiacomo, M.; La Motta, C.; Lapucci, A.; Sartini, S.; Vanni, M. Synthesis and Biological Evaluation of 2′-Oxo-2,3-dihydro-3′H-spiro[chromene-4,5′-[1,3]oxazolidin]-3′yl]acetic Acid Derivatives as Aldose Reductase Inhibitors. Arch. der Pharm. 2011, 344, 372–385. [Google Scholar] [CrossRef]
- Yelve, N.P.; Mitra, M.; Mujumdar, P.M. Detection of delamination in composite laminates using Lamb wave based nonlinear method. Compos. Struct. 2017, 159, 126. [Google Scholar] [CrossRef]
- Ibrahim, N.S.; Ahmed, F. Antimicrobial Activities of Some Synthetic Flavonoids. IOSR J. Appl. Chem. 2014, 7, 01–06. [Google Scholar] [CrossRef]
- Gutam, M.; Mokenapelli, S.; Yerrabelli, J.R.; Banerjee, S.; Roy, P.; Chitneni, P.R. Synthesis and cytotoxicity of novel (E)-2-phenylchroman-4-one-O-((1-substituted-1H-1,2,3-triazol-4-yl)methyl) oxime derivatives. Synth. Commun. 2020, 50, 1883–1891. [Google Scholar] [CrossRef]
- Kozłowska, E.; Urbaniak, M.; Hoc, N.; Grzeszczuk, J.; Dymarska, M.; Stępień, Ł.; Pląskowska, E.; Kostrzewa-Susłow, E.; Janeczko, T. Cascade biotransformation of dehydroepiandrosterone (DHEA) by Beauveria species. Sci. Rep. 2018, 8, 13449. [Google Scholar] [CrossRef]
- Wu, Y.; Griffiths, M.; McKellar, R. A comparison of the Bioscreen method and microscopy for the determination of lag times of individual cells of Listeria monocytogenes. Lett. Appl. Microbiol. 2000, 30, 468–472. [Google Scholar] [CrossRef]
- Stephens, P.; Joynson, J.; Davies, K.; Holbrook, R.; Lappin-Scott, H.; Humphrey, T. The use of an automated growth analyser to measure recovery times of single heat-injured Salmonella cells. J. Appl. Microbiol. 1997, 83, 445–455. [Google Scholar] [CrossRef] [PubMed]
- Kozłowska, J.; Potaniec, B.; Żarowska, B.; Anioł, M. Synthesis and Biological Activity of Novel O-Alkyl Derivatives of Naringenin and Their Oximes. Molecules 2017, 22, 1485. [Google Scholar] [CrossRef] [PubMed]
- Grabarczyk, M.; Wińska, K.; Mączka, W.; Żarowska, B.; Maciejewska, G.; Dancewicz, K.; Gabryś, B.; Anioł, M. Synthesis, biotransformation and biological activity of halolactones obtained from β-ionone. Tetrahedron 2016, 72, 637–644. [Google Scholar] [CrossRef]
- Antonić, B.; Dordević, D.; Jančíková, S.; Kushkevych, I. Antimicrobial activity of natural soaps tested by Bioscreen methodology. Stud. Biol. 2020, 14, 23–32. [Google Scholar] [CrossRef]



















| Proton | Compound | |||
|---|---|---|---|---|
| 3 | 3a | 3b | 3c | |
| H-α | 8.09 (d) J = 15.5 | 3.45 (m) | 3.48 (t) J = 7.3 | 3.48 (m) |
| H-β | 7.92 (d) J = 15.5 | 2.97 (m) | 3.04 (t) J = 7.4 | 3.02 (t) J = 7.6 |
| H-2 | 7.93 (m) | 7.30 (m) | 7.36 (m) | 7.26 (d) J = 1.8 |
| H-3 | 7.52 (m) | 7.30 (m) | 7.31 (m) | - |
| H-5 | 7.52 (m) | 7.30 (m) | 7.31 (m) | 7.30 (d) J =8.1 |
| H-6 | 7.93 (m) | 7.30 (m) | 7.36 (m) | 6.96 (m) |
| H-3′ | 7.00 (m) | 7.30 (m) | 6.87 (d) J = 9.0 | 6.96 (m) |
| H-4′ | 7.58 (m) | 7.48 (ddd) J = 9.0, J = 7.3, J = 1.8 | 7.29 (dd) J = 9.0, J = 2.8 | 7.53 (m) |
| H-5′ | 7.00 (m) | 7.10 (td) J = 7.7, J = 0.9 | - | 6.96 (m) |
| H-6′ | 8.28 (dd) J = 8.3, J = 1.4 | 7.58 (dd) J = 7.7, J = 1.6 | 7.67 (d) J = 2.9 | 8.00 (dd) J = 8.4, J = 1.6 |
| H-1″ | - | 5.08 (d) J = 7.7 | 4.84 (d) J = 7.8 | 5.05 (d) J = 7.6 |
| H-2″ | - | 3.51 (m) | 3.43 (m) | 3.52 (m) |
| H-3″ | - | 3.63 (dd) J = 8.9, J = 3.7 | 3.59 (m) | 3.61 (m) |
| H-4″ | - | 3.22 (m) | 3.13 (dd) J = 9.6, J = 9.0 | 3.20 (dd) J = 9.6, J = 8.9 |
| H-5″ | - | 3.51 (m) | 3.43 (m) | 3.48 (m) |
| H-6″ | - | 3.84 (m) 3.69 (m) | 3.85 (m) 3.85 (m) | 3.82 (m) 3.67 (m) |
| 4″-OCH3 | - | 3.56 (s) | 3.54 (s) | 3.55 (s) |
| C2′-OH | 12.83 (s) | - | 11.89 (s) | 12.24 (s) |
| 2″-OH | - | 4.68 (d) J = 3.4 | 4.64 (d) J = 4.0 | 4.61 (d) J = 4.3 |
| 3″-OH | - | 4.52 (d) J = 4.0 | 4.42 (d) J = 4.2 | 4.46 (d) J = 4.1 |
| 6″-OH | - | 3.78 (m) | 3.67 (m) | 3.82 (m) |
| Carbon | Compound | |||
|---|---|---|---|---|
| 3 | 3a | 3b | 3c | |
| C-α | 122.3 | 45.4 | 40.0 | 40.2 |
| C-β | 144.6 | 30.2 | 29.5 | 30.1 |
| C-1 | 134.6 | 141.7 | 141.0 | 142.5 |
| C-2 | 131.5 | 131.1 | 131.2 | 117.4 |
| C-3 | 130.0 | 129.1 | 129.2 | 153.8 |
| C-4 | 137.1 | 131.8 | 130.6 | 121.0 |
| C-5 | 130.0 | 129.1 | 129.2 | 130.6 |
| C-6 | 131.5 | 131.1 | 131.2 | 123.7 |
| C-1′ | 120.8 | 130.4 | 119.8 | 120.2 |
| C-2′ | 164.5 | 157.2 | 158.4 | 163.1 |
| C-3′ | 119.0 | 117.1 | 119.4 | 118.8 |
| C-4′ | 137.6 | 134.1 | 127.6 | 137.3 |
| C-5′ | 119.9 | 123.0 | 150.8 | 119.3 |
| C-6′ | 131.5 | 130.4 | 118.1 | 131.6 |
| C-1″ | - | 102.1 | 102.8 | 101.3 |
| C-2″ | - | 75.0 | 74.9 | 74.8 |
| C-3″ | - | 78.1 | 78.0 | 78.2 |
| C-4″ | - | 80.0 | 80.4 | 80.1 |
| C-5″ | - | 77.2 | 77.2 | 77.1 |
| C-6″ | - | 62.0 | 62.3 | 62.1 |
| 4″-OCH3 | - | 60.6 | 60.6 | 60.6 |
| C=O | 194.9 | 201.9 | 206.4 | 206.7 |
| Proton | Compound | ||
|---|---|---|---|
| 6 | 6a | 6b | |
| H-α | 8.12 (d) J = 15.4 | 3.44 (t) J = 7.5 | 8.07 (d) J = 15.4 |
| H-β | 7.98 (d) J = 15.4 | 2.98 (t) J = 7.5 | 7.93 (d) J = 15.5 |
| H-2 | 7.93 (m) | 7.26 (m) | 7.63 (m) |
| H-3 | 7.49 (m) | 7.26 (m) | - |
| H-4 | 7.49 (m) | 7.16 (m) | 7.18 (ddd) J = 8.2, J = 2.4, J = 0.9 |
| H-5 | 7.49 (m) | 7.26 (m) | 7.40 (t) J = 7.9 |
| H-6 | 7.93 (m) | 7.26 (m) | 7.55 (d) J = 7.7 |
| H-3′ | 7.03 (d) J = 8.9 | 7.34 (d) J = 8.8, | 7.03 (d) J = 8.9 |
| H-4′ | 7.57 (dd) J = 8.9, J = 2.6 | 7.48 (dd) J = 8.8, J = 2.8 | 7.58 (dd) J = 8.9, J = 2.6, |
| H-6′ | 8.32 (d) J = 2.6 | 7.51 (d) J = 2.7 | 8.35 (d) J = 2.6 |
| H-1″ | - | 5.09 (d) J = 7.7 | 5.04 (d) J = 7.8 |
| H-2″ | - | 3.51 (m) | 3.49 (m) |
| H-3″ | - | 3.63 (m) | 3.61 (m) |
| H-4″ | - | 3.21 (m) | 3.21 (dd) J = 9.7, J = 8.9 |
| H-5″ | - | 3.51 (m) | 3.55 (m) |
| H-6″ | - | 3.83 (m) 3.68 (m) | 3.90 (m) 3.90 (m) |
| 4″-OCH3 | - | 3.55 (s) | 3.57 (s) |
| C2′-OH | 12.85 (s) | - | 12.82 (s) |
| 2″-OH | - | 4.68 (d) J = 4.3 | 4.71 (d) J = 3.8 |
| 3″-OH | - | 4.54 (d) J = 4.4 | 4.49 (d) J = 3.7 |
| 6″-OH | - | 3.78 (m) | 3.72 (m) |
| Carbon | Compound | ||
|---|---|---|---|
| 6 | 6a | 6b | |
| C-α | 121.1 | 45.6 | 121.5 |
| C-β | 147.2 | 30.7 | 146.9 |
| C-1 | 135.6 | 142.4 | 136.9 |
| C-2 | 130.2 | 129.3 | 117.3 |
| C-3 | 129.9 | 129.1 | 159.2 |
| C-4 | 132.1 | 126.7 | 120.3 |
| C-5 | 129.9 | 129.1 | 130.8 |
| C-6 | 130.2 | 129.3 | 124.3 |
| C-1′ | 124.2 | 131.9 | 124.2 |
| C-2′ | 163.1 | 155.8 | 163.0 |
| C-3′ | 120.9 | 119.1 | 120.8 |
| C-4′ | 137.1 | 133.4 | 137.2 |
| C-5′ | 121.7 | 127.7 | 121.6 |
| C-6′ | 130.4 | 129.7 | 130.6 |
| C-1″ | - | 102.2 | 101.5 |
| C-2″ | - | 74.9 | 74.9 |
| C-3″ | - | 78.0 | 78.2 |
| C-4″ | - | 80.0 | 80.3 |
| C-5″ | - | 77.3 | 77.1 |
| C-6″ | - | 62.0 | 62.2 |
| 4″-OCH3 | - | 60.6 | 60.6 |
| C=O | 194.3 | 200.9 | 194.3 |
| Activity/Parameter | 3 | 3a | 3b | 3c | 6 | 6a | 6b | 7 |
|---|---|---|---|---|---|---|---|---|
| Lipophilicity consensus Log Po/w | 3.70 | 2.14 | 1.97 | 1.89 | 3.70 | 1.95 | 1.78 | 3.13 |
| Water solubility [mg/mL] | 0.0068 | 0.125 | 0.0786 | 0.0786 | 0.0068 | 0.125 | 0.0525 | 0.0221 |
| Gastrointestinal absorption | High | High | High | High | High | High | High | High |
| BBB permeant | Yes | No | No | No | Yes | No | No | Yes |
| P-gp substrate | No | Yes | Yes | Yes | No | Yes | Yes | No |
| CYP1A2 inhibitor | Yes | No | No | No | Yes | No | No | No |
| CYP2C9 inhibitor | Yes | No | No | No | Yes | No | No | Yes |
| CYP2C19 inhibitor | Yes | No | No | No | Yes | No | No | Yes |
| CYP2D6 inhibitor | No | Yes | No | No | No | Yes | No | No |
| CYP3A4 inhibitor | No | Yes | Yes | Yes | No | Yes | Yes | No |
| Log Kp (skin permeation) [cm/s] | −4.68 | −7.58 | −7.54 | −7.54 | −4.68 | −7.58 | −7.39 | −4.91 |
| Drug-likeness (Lipinski, Ghose, Veber, Egan, and Muegge) | Yes | Yes | Yes | Yes | Yes | Yes | Yes | Yes |
| Abbott bioavailability score (ABS) | 0.55 | 0.55 | 0.55 | 0.55 | 0.55 | 0.55 | 0.55 | 0.55 |
| PAINS | 0 alert | 0 alert | 0 alert | 0 alert | 0 alert | 0 alert | 0 alert | 0 alert |
| Compounds and Standard Drugs | E. coli 10536 (Gram-) | P. aeruginosa DSM 939 (Gram-) | S. aureus DSM 799 (Gram+) | C. albicans DSM 1386 (Yeast) | ||||
|---|---|---|---|---|---|---|---|---|
| Lag-Phase [h] | ΔOD | Lag-Phase [h] | ΔOD | Lag-Phase [h] | ΔOD | Lag-Phase [h] | ΔOD | |
| Control | 1.5 | 0.51 | 6.0 | 0.63 | 2.0 | 0.78 | 10 | 0.96 |
| Oxytetracycline | - | 0 | - | 0 | - | 0 | - | - |
| Cycloheximide | - | - | - | - | - | - | - | 0 |
| 3 | - | 0 | 18.0 | 0.21 | 16.0 | 0.13 | - | 0 |
| 3a | 7.0 | 0.15 | 8.0 | 0.39 | 4.0 | 0.11 | - | 0 |
| 6 | 4.0 | 0.12 | 3.0 | 0.21 | 4.0 | 0.21 | - | 0 |
| 6a | - | 0 | 14.0 | 0.21 | - | 0 | - | 0.35 |
| 6b | 12.0 | 0.15 | 6.0 | 0.31 | 7.0 | 0.17 | - | 0 |
| 7 | 5.0 | 0.25 | 9.0 | 0.36 | 10 | 0.32 | - | 0.11 |
| Compounds | L. acidophilus KBiMZ 01 (Gram+) | L. rhamnosus GG (Gram+) | S. thermophilus KBM-1 (Gram+) | |||
|---|---|---|---|---|---|---|
| Lag-Phase [h] | ΔOD | Lag-Phase [h] | ΔOD | Lag-Phase [h] | ΔOD | |
| Control | 8.0 | 1.73 | 2.0 | 1.83 | 6.0 | 1.61 |
| 3 | - | 0 | - | 0 | - | 0 |
| 3a | 7 | 0.74 | - | 0 | - | 0 |
| 6 | - | 0.12 | - | 0 | - | 0.12 |
| 6a | 5 | 0.68 | - | 0 | - | 0 |
| 6b | 8 | 1.02 | - | 0 | - | 0 |
| 7 | - | 0 | - | 0 | - | 0 |
Disclaimer/Publisher’s Note: The statements, opinions and data contained in all publications are solely those of the individual author(s) and contributor(s) and not of MDPI and/or the editor(s). MDPI and/or the editor(s) disclaim responsibility for any injury to people or property resulting from any ideas, methods, instructions or products referred to in the content. |
© 2024 by the authors. Licensee MDPI, Basel, Switzerland. This article is an open access article distributed under the terms and conditions of the Creative Commons Attribution (CC BY) license (https://creativecommons.org/licenses/by/4.0/).
Share and Cite
Krawczyk-Łebek, A.; Żarowska, B.; Janeczko, T.; Kostrzewa-Susłow, E. Antimicrobial Activity of Chalcones with a Chlorine Atom and Their Glycosides. Int. J. Mol. Sci. 2024, 25, 9718. https://doi.org/10.3390/ijms25179718
Krawczyk-Łebek A, Żarowska B, Janeczko T, Kostrzewa-Susłow E. Antimicrobial Activity of Chalcones with a Chlorine Atom and Their Glycosides. International Journal of Molecular Sciences. 2024; 25(17):9718. https://doi.org/10.3390/ijms25179718
Chicago/Turabian StyleKrawczyk-Łebek, Agnieszka, Barbara Żarowska, Tomasz Janeczko, and Edyta Kostrzewa-Susłow. 2024. "Antimicrobial Activity of Chalcones with a Chlorine Atom and Their Glycosides" International Journal of Molecular Sciences 25, no. 17: 9718. https://doi.org/10.3390/ijms25179718
APA StyleKrawczyk-Łebek, A., Żarowska, B., Janeczko, T., & Kostrzewa-Susłow, E. (2024). Antimicrobial Activity of Chalcones with a Chlorine Atom and Their Glycosides. International Journal of Molecular Sciences, 25(17), 9718. https://doi.org/10.3390/ijms25179718

