Anti-Inflammatory Potential of Pygeum africanum Bark Extract: An In Vitro Study of Cytokine Release by Lipopolysaccharide-Stimulated Human Peripheral Blood Mononuclear Cells
Abstract
1. Introduction
2. Results
2.1. Viability Assays
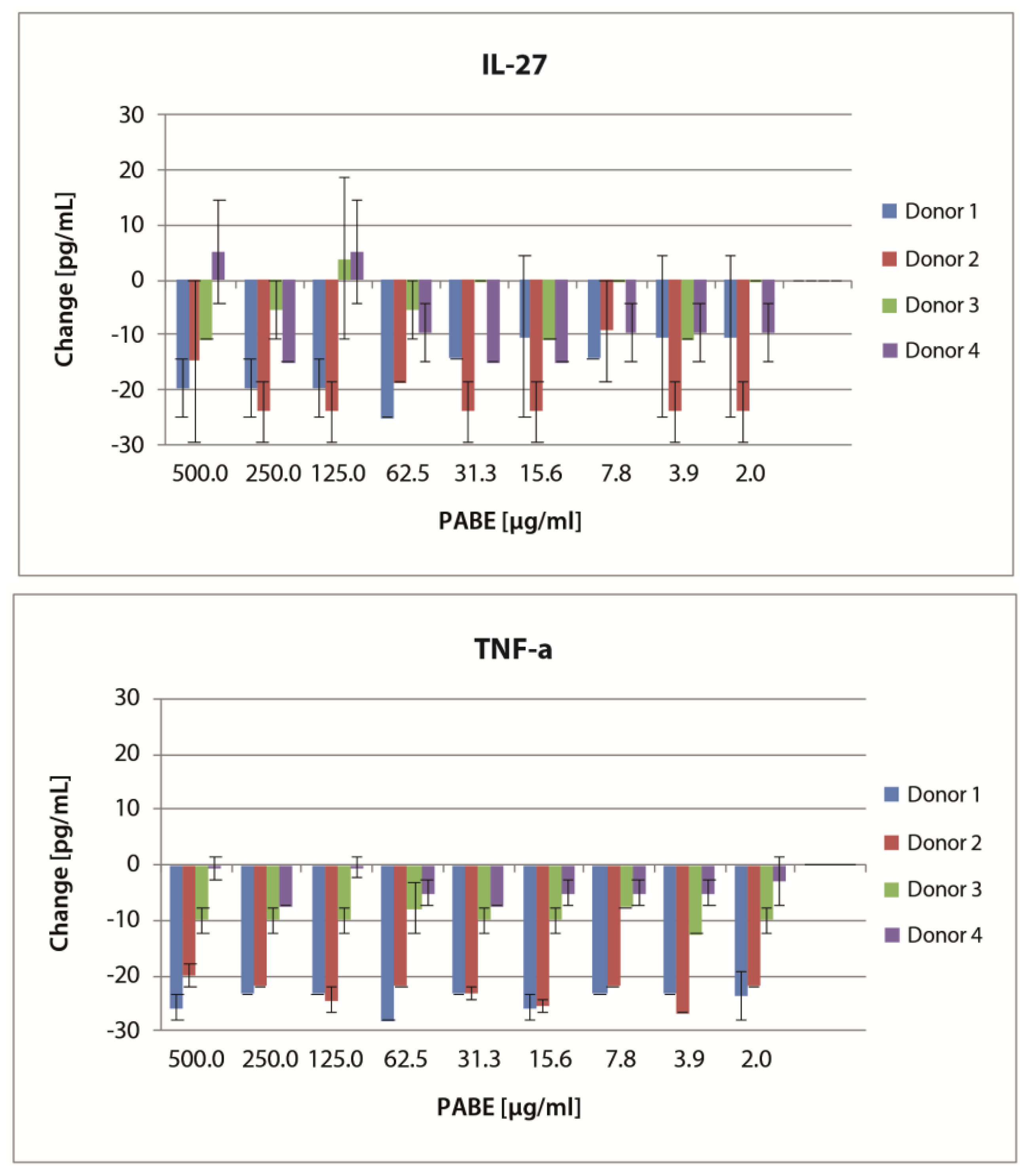
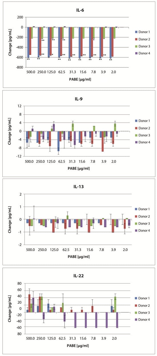
2.2. Cytokine Release
3. Discussion
4. Materials and Methods
4.1. Human Peripheral Blood Mononuclear Cells
4.2. Cell Viability Assay
4.3. Cytokine Release Assay
4.4. Statistical Analysis
5. Conclusions
Supplementary Materials
Author Contributions
Funding
Institutional Review Board Statement
Informed Consent Statement
Data Availability Statement
Acknowledgments
Conflicts of Interest
References
- Untergasser, G.; Madersbacher, S.; Berger, P. Benign prostatic hyperplasia: Age-related tissue-remodeling. Exp. Gerontol. 2005, 40, 121–128. [Google Scholar] [CrossRef]
- Kramer, G.; Steiner, G.E.; Handisurya, A.; Stix, U.; Haitel, A.; Knerer, B.; Gessl, A.; Lee, C.; Marberger, M. Increased expression of lymphocyte-derived cytokines in benign hyperplastic prostate tissue, identification of the producing cell types, and effect of differentially expressed cytokines on stromal cell proliferation. Prostate 2002, 52, 43–58. [Google Scholar] [CrossRef]
- Steiner, G.; Gessl, A.; Kramer, G.; Schöllhammer, A.; Förster, O.; Marberger, M. Phenotype and function of peripheral and prostatic lymphocytes in patients with benign prostatic hyperplasia. J. Urol. 1994, 151, 480–484. [Google Scholar] [CrossRef]
- Norström, M.M.; Rådestad, E.; Sundberg, B.; Mattsson, J.; Henningsohn, L.; Levitsky, V.; Uhlin, M. Progression of benign prostatic hyperplasia is associated with pro-inflammatory mediators and chronic activation of prostate-infiltrating lymphocytes. Oncotarget 2016, 7, 23581–23593. [Google Scholar] [CrossRef]
- Manzarbeitia, F.; Vela Navarrete, R.; Fernández-Aceñero, M.J. Early histopathological aspects of benign prostatic hyperplasia: Myxoid-inflammatory nodules. Actas Urol. Esp. 2010, 34, 549–554. [Google Scholar] [CrossRef][Green Version]
- Wang, L.; Yang, J.R.; Yang, L.Y.; Liu, Z.T. Chronic inflammation in benign prostatic hyperplasia: Implications for therapy. Med. Hypotheses 2008, 70, 1021–1023. [Google Scholar] [CrossRef]
- Naiyila, X.; Li, J.; Huang, Y.; Chen, B.; Zhu, M.; Li, J.; Chen, Z.; Yang, L.; Ai, J.; Wei, Q.; et al. A novel insight into the immune-related interaction of inflammatory cytokines in benign prostatic hyperplasia. J. Clin. Med. 2023, 12, 1821. [Google Scholar] [CrossRef]
- de la Taille, A. Therapeutic approach: The importance of controlling prostatic inflammation. Eur. J. Urol. Suppl. 2013, 12, 116–122. [Google Scholar] [CrossRef]
- Anonymous. Pygeum africanum (Prunus africana) (African plum tree) Monograph. Altern. Med. Rev. 2002, 7, 71–74. [Google Scholar]
- Andro, M.C.; Riffaud, J.P. Pigeum africanum extract for the treatment of patients with benign prostatic hyperplasia: Review of 25 years of published experience. Curr. Ther. Res. 1995, 56, 796–817. [Google Scholar] [CrossRef]
- Yablonsky, F.; Nicolas, V.; Riffaud, J.P.; Bellamy, F. Antiproliferative effect of Pygeum africanum extract on rat prostatic fibroblasts. J. Urol. 1997, 157, 2381–2387. [Google Scholar] [CrossRef] [PubMed]
- Paubert-Braquet, M.; Cave, A.; Hocquemiller, R.; Delacroix, D.; Dupont, C.; Hedef, N.; Borgeat, P. Effect of Pygeum africanum extract on A23187-stimulated production of lipoxygenase metabolites from human polymorphonuclear cells. J. Lipid Mediat. Cell Signal. 1994, 9, 285–290. [Google Scholar]
- Lucchetta, G.; Weill, A.; Becker, N.; Clavert, A.; Bollack, C. Reactivation of the secretion from the prostatic gland in cases of reduced fertility. Biological study of seminal fluid modifications. Urol. Int. 1984, 39, 222–224. [Google Scholar] [CrossRef]
- Boulbès, D.; Soustelle, L.; Costa, P.; Haddoum, M.; Bali, J.P.; Hollande, F.; Magous, R. Pygeum africanum extract inhibits proliferation of human cultured prostatic fibroblasts and myofibroblasts. BJU Int. 2006, 98, 1106–1113. [Google Scholar] [CrossRef] [PubMed]
- Antoniou, V.; Gauhar, V.; Modi, S.; Somani, B.K. Role of phytotherapy in the management of BPH: A summary of the literature. J. Clin. Med. 2023, 12, 1899. [Google Scholar] [CrossRef] [PubMed]
- Jena, A.K.; Vasisht, K.; Sharma, N.; Kaur, R.; Dhingra, M.S.; Karan, M. Amelioration of testosterone induced benign prostatic hyperplasia by Prunus species. J. Ethnopharmacol. 2016, 22, 33–45. [Google Scholar] [CrossRef] [PubMed]
- ESCOP Monographs. The Scientific Foundation for Herbal Medicinal Products. Pruni africanae Cortex. Pygeum africanum Bark. 2020. Available online: https://www.sefit.es/corteza-pigeum-pruni-africanae-cortex-pygeum-africanum-bark-monografia-online-escop/ (accessed on 31 March 2023).
- Pagano, E.; Laudato, M.; Griffo, M.; Capasso, R. Phytotherapy of benign prostatic hyperplasia. A minireview. Phytother. Res. 2014, 28, 949–955. [Google Scholar] [CrossRef] [PubMed]
- Ishani, A.; MacDonald, R.; Nelson, D.; Rutks, I.; Wilt, T.J. Pygeum africanum for the treatment of patients with benign prostatic hyperplasia: A systematic review and quantitative meta-analysis. Am. J. Med. 2000, 109, 654–664. [Google Scholar] [CrossRef] [PubMed]
- Breza, J.; Dzurny, O.; Borowka, A.; Hanus, T.; Petrik, R.; Blane, G.; Chadha-Boreham, H. Efficacy and acceptability of tadenan (Pygeum africanum extract) in the treatment of benign prostatic hyperplasia (BPH): A multicentre trial in central Europe. Curr. Med. Res. Opin. 1998, 143, 127–139. [Google Scholar] [CrossRef] [PubMed]
- Cambronero, J.; Osca-García, J.M.; Merino-Salas, S.; Miguel, J.M.; Borralleras, C.; López-Alcina, E. Effectiveness of treatment with Pygeum africanum in patients with lower urinary tract symptoms and benign prostatic hyperplasia: A cross-sectional study in the real-world clinical practice in Spain (The PROFIT Study). Arch. Esp. Urol. 2022, 75, 219–227. [Google Scholar]
- European Medicines Agency. Committee on Herbal Medicinal Products (HMPC). 12 July 2016. EMA/HMPC/680624/2’13. Assessment Report on Prunus africana (Hook f.) Kalkm., Cortex. Available online: https://www.ema.europa.eu/en/documents/herbal-report/final-assessment-report-prunus-africana-hook-f-kalkm-cortex_en.pdf (accessed on 31 March 2023).
- Chughtai, B.; Lee, R.; Te, A.; Kaplan, S. Inflammation and benign prostatic hyperplasia: Clinical implications. Curr. Urol. Rep. 2011, 12, 274–277. [Google Scholar] [CrossRef] [PubMed]
- Quiles, M.T.; Arbós, M.A.; Fraga, A.; de Torres, I.M.; Reventós, J.; Morote, J. Antiproliferative and apoptotic effects of the herbal agent Pygeum africanum on cultured prostate stromal cells from patients with benign prostatic hyperplasia (BPH). Prostate 2010, 70, 1044–1053. [Google Scholar] [CrossRef]
- Paubert-Braquet, M.; Monboisse, J.C.; Servent-Saez, N.; Serikoff, A.; Cavé, A.; Hocquemiller, R.; Dupont, C.; Forneau, C.; Borel, J.P. Inhibition of bFGF and EGF-induced proliferation of 3T3 fibroblasts by extract of Pygeum africanum (Tadenan®). Biomed. Pharmacother. 1994, 48 (Suppl. S1), 43s–47s. [Google Scholar] [CrossRef]
- Penna, G.; Fibbi, B.; Amuchastegui, S.; Cossetti, C.; Aquilano, F.; Laverny, G.; Gacci, M.; Crescioli, C.-; Maggi, M.; Adorini, L. Human benign prostatic hyperplasia stromal cells as inducers and targets of chronic immuno-mediated inflammation. J. Immunol. 2009, 182, 4056–4064. [Google Scholar] [CrossRef]
- Kramer, G.; Marberger, M. Could inflammation be a key component in the progression of benign prostatic hyperplasia? Curr. Opin. Urol. 2006, 16, 25–29. [Google Scholar] [CrossRef] [PubMed]
- Szolnoki, E.; Reichart, E.; Marchal, S.; Szegedi, G. The effect of Pygeum africanum on fibroblast growth factor (FGF) and transforming growth factor beta (TGF beta 1/LAP) expression in animal model. Acta Microbiol. Immunol. Hung. 2001, 48, 1–9. [Google Scholar] [CrossRef] [PubMed]
- Sidoti, C.; Hedef, N.; Delacroix, D.; Cavet, A.; Dupontt, C.H.; Borgeat, H. Inhibitory effect of Pygeum africanum extract (Tadenan®) on A23187-stimulated lipoxygenase metabolite production from human polymorphonuclear cells. Pharmacologist 1993, 35, 196. [Google Scholar]
- Mohamed, A.H.; Ahmed, A.T.; Al Abdulmonem, W.; Bokov, D.O.; Shafie, A.; Al-Hetty, H.R.A.K.; Hsu, C.Y.; Alissa, M.; Nazirm, S.; Jamali, M.C.; et al. Interleukin-6 serves as a critical factor in various cancer progression and therapy. Med. Oncol. 2024, 41, 182. [Google Scholar] [CrossRef] [PubMed]
- Liu, G.; Zhang, J.; Frey, L.; Gang, X.; Wu, K.; Liu, Q.; Lilly, M.; Wu, J. Prostate-specific IL-6 transgene autonomously induce prostate neoplasm through amplifying inflammation in the prostate and peri-prostatic adipose tissue. J. Hematol. Oncol. 2017, 10, 14. [Google Scholar] [CrossRef]
- Nguyen, D.P.; Li, J.; Tewari, A.K. Inflammation and prostate cancer: The role of interleukin 6 (IL-6). BJU Int. 2014, 113, 986–992. [Google Scholar] [CrossRef]
- Chun, J.Y.; Nadiminty, N.; Dutt, S.; Lou, W.; Yang, J.C.; Kung, H.J.; Evans, C.P.; Gao, A.C. Interleukin-6 regulates androgen synthesis in prostate cancer cells. Clin. Cancer Res. 2009, 15, 4815–4822. [Google Scholar] [CrossRef]
- United States Pharmacopeia. Dietary Supplement Monographs, Pygeum Extract. USP-NF; United States Pharmacopeia: Rockville, MD, USA, 2023. [Google Scholar] [CrossRef]





| Cytokines pg/mL | Donor 1 Mean (SD) | Donor 2 Mean (SD) | Donor 3 Mean (SD) | Donor 4 Mean (SD) |
|---|---|---|---|---|
| IL-1β | 15.43 (2.81) | 19.08 (2.90) | 18.95 (1.98) | 26.79 (3.86) |
| IL-2 | −68.67 (9.34) | −74.08 (16.70) | −38.14 (11.54) | −12.53 (15.33) |
| IL-4 | −21.15 (3.13) | −30.86 (4.92) | −19.36 (3.13) | 7.41 (3.83) |
| IL-5 | −21.20 (1.80) | −16.20 (1.05) | −5.90 (1.05) | 2.85 (2.15) |
| IL-6 | −5439.97 (18.48) | −5109.79 (18.09) | −1972.39 (6.58) | 31.83 (13.65) |
| IL-9 | −42.65 (11.22) | −53.08 (13.19) | 3.24 (11.49) | −16.84 (16.54) |
| IL-13 | −1.76 (1.25) | −6.71 (1.98) | −2.36 (0.73) | −4.15 (1.98) |
| IL-22 | 65.52 (52.03) | 150.29 (67.43) | 148.46 (52.11) | −202.86 (53.73) |
| IL-27 | −144.31 (60.04) | −186.46 (56.07) | −40.19 (25.36) | −73.58 (40.03) |
| TNF-α | −43.92 (1.86) | −41.39 (1.38) | −17.48 (3.77) | −7.70 (3.65) |
| Cytokine | Characteristics |
|---|---|
| IL-1β | Pro-inflammatory cytokine expressed by monocytes, macrophages, and dendritic cells and synthesized in response to inflammatory stimuli (e.g., pathogens). |
| IL-2 | Plays a central role in the activation and proliferation of lymphocytes that have been primed by antigens; pivotal for the expansion of most T-cells, natural killer [NK] cells, and B-cells during various phases of the immune response. |
| IL-4 | Anti-inflammatory cytokine, secreted by activated T-cells and NK cells. |
| IL-5 | Acts as a hematopoietic growth factor, promoting proliferation, activation, and differentiation of certain bone marrow cells. |
| IL-6 | Pleiotropic cytokine, produced mainly by monocytes, plays a central role in host defense mechanisms. |
| IL-9 | Pro-inflammatory cytokine having pleiotropic effects on Th2 lymphocytes, B-cells, and mast cells and implicated in asthma and other allergies. |
| IL-13 | Pleiotropic cytokine expressed by activated T-helper, T-suppressor, and NK cells; suppresses macrophage cytotoxic activity and inflammatory cytokine expression. |
| IL-22 | Regulates production of acute phase proteins of the immunological response; involved in the inflammatory immune response. |
| TNF-α | Pleiotropic cytokine that plays key roles in innate and adaptive immunity, most often associated with the regulation of pro-inflammatory properties. |
| Sample Identifier | Gender | Aye, Years | Ethnicity/Race | ABO Group/Rh | Antigen |
|---|---|---|---|---|---|
| HHU20130318 | Male | 38 | Asian | A/positive | SFC |
| HHU20130715 | Male | 41 | Hispanic | 0/positive | SFC |
| HHU20150826 | Male | 49 | Caucasian | Unknown | SFC |
| HHU20150910 | Female | 23 | African American | Unknown | SFC |
Disclaimer/Publisher’s Note: The statements, opinions and data contained in all publications are solely those of the individual author(s) and contributor(s) and not of MDPI and/or the editor(s). MDPI and/or the editor(s) disclaim responsibility for any injury to people or property resulting from any ideas, methods, instructions or products referred to in the content. |
© 2024 by the authors. Licensee MDPI, Basel, Switzerland. This article is an open access article distributed under the terms and conditions of the Creative Commons Attribution (CC BY) license (https://creativecommons.org/licenses/by/4.0/).
Share and Cite
Villar, A.; Silva-Fuentes, F.; Mulà, A.; Zangara, A. Anti-Inflammatory Potential of Pygeum africanum Bark Extract: An In Vitro Study of Cytokine Release by Lipopolysaccharide-Stimulated Human Peripheral Blood Mononuclear Cells. Int. J. Mol. Sci. 2024, 25, 8298. https://doi.org/10.3390/ijms25158298
Villar A, Silva-Fuentes F, Mulà A, Zangara A. Anti-Inflammatory Potential of Pygeum africanum Bark Extract: An In Vitro Study of Cytokine Release by Lipopolysaccharide-Stimulated Human Peripheral Blood Mononuclear Cells. International Journal of Molecular Sciences. 2024; 25(15):8298. https://doi.org/10.3390/ijms25158298
Chicago/Turabian StyleVillar, Agustín, Fredy Silva-Fuentes, Anna Mulà, and Andrea Zangara. 2024. "Anti-Inflammatory Potential of Pygeum africanum Bark Extract: An In Vitro Study of Cytokine Release by Lipopolysaccharide-Stimulated Human Peripheral Blood Mononuclear Cells" International Journal of Molecular Sciences 25, no. 15: 8298. https://doi.org/10.3390/ijms25158298
APA StyleVillar, A., Silva-Fuentes, F., Mulà, A., & Zangara, A. (2024). Anti-Inflammatory Potential of Pygeum africanum Bark Extract: An In Vitro Study of Cytokine Release by Lipopolysaccharide-Stimulated Human Peripheral Blood Mononuclear Cells. International Journal of Molecular Sciences, 25(15), 8298. https://doi.org/10.3390/ijms25158298

