The Role of Lactobacillus plantarum in Reducing Obesity and Inflammation: A Meta-Analysis
Abstract
1. Introduction
2. Results
2.1. Study Search and Characteristics of Included Patients
2.2. Quality Assessment
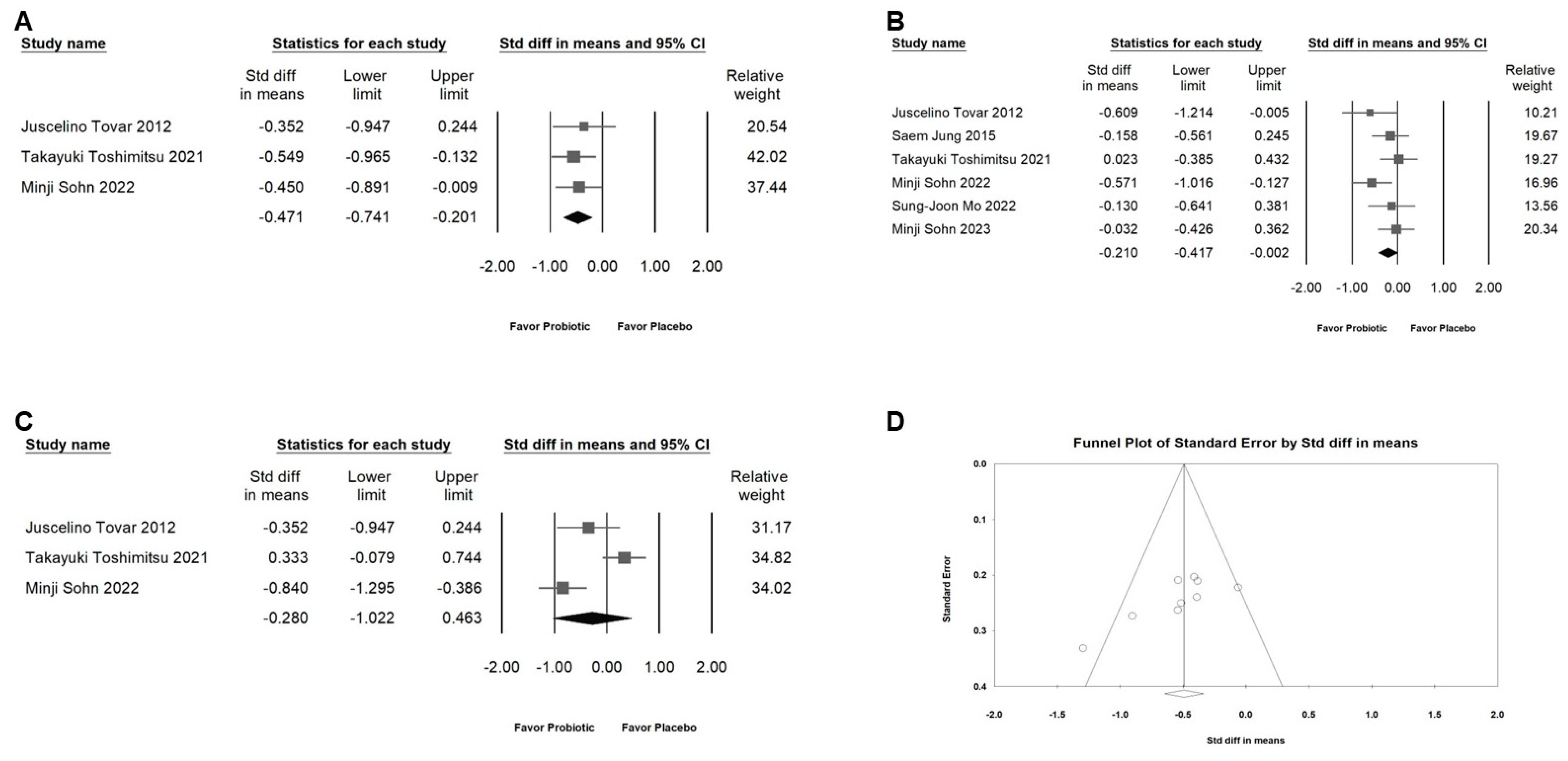
2.3. Impact of L. plantarum on Body Mass Index and Body Weight
2.4. Impact of L. plantarum on Populations from Different Countries
2.5. Effects of L. plantarum on Blood Lipids, Lipoproteins, and Abdominal Fat Areas
2.6. Effects of L. plantarum on Plasma Glucose, Serum Insulin, and Systolic and Diastolic Blood Pressure
2.7. Effects of L. plantarum on Inflammatory Markers
2.8. Publishing Bias
3. Discussion
4. Methods and Materials
4.1. Data Sources and Selection Criteria
4.2. Selection of Studies
4.3. Data Extraction
4.4. Outcomes
4.5. Quality Assessment
4.6. Statistical Analyses
5. Conclusions
Supplementary Materials
Author Contributions
Funding
Institutional Review Board Statement
Informed Consent Statement
Data Availability Statement
Conflicts of Interest
Abbreviations
References
- Yanovski, S.Z.; Yanovski, J.A. Obesity. N. Engl. J. Med. 2002, 346, 591–602. [Google Scholar] [CrossRef]
- Tilg, H.; Moschen, A.R.; Kaser, A. Obesity and the microbiota. Gastroenterology 2009, 136, 1476–1483. [Google Scholar] [CrossRef] [PubMed]
- Dhurandhar, N.V. A framework for identification of infections that contribute to human obesity. Lancet Infect. Dis. 2011, 11, 963–969. [Google Scholar] [CrossRef] [PubMed]
- Million, M.; Angelakis, E.; Paul, M.; Armougom, F.; Leibovici, L.; Raoult, D. Comparative meta-analysis of the effect of lactobacillus species on weight gain in humans and animals. Microb. Pathog. 2012, 53, 100–108. [Google Scholar] [CrossRef] [PubMed]
- Ley, R.E.; Turnbaugh, P.J.; Klein, S.; Gordon, J.I. Microbial ecology: Human gut microbes associated with obesity. Nature 2006, 444, 1022–1023. [Google Scholar] [CrossRef]
- Rahayu, E.S.; Mariyatun, M.; Putri Manurung, N.E.; Hasan, P.N.; Therdtatha, P.; Mishima, R.; Komalasari, H.; Mahfuzah, N.A.; Pamungkaningtyas, F.H.; Yoga, W.K.; et al. Effect of probiotic Lactobacillus plantarum dad-13 powder consumption on the gut microbiota and intestinal health of overweight adults. World J. Gastroenterol. 2021, 27, 107–128. [Google Scholar] [CrossRef]
- Delzenne, N.M.; Cani, P.D. Interaction between obesity and the gut microbiota: Relevance in nutrition. Annu. Rev. Nutr. 2011, 31, 15–31. [Google Scholar] [CrossRef] [PubMed]
- Hakansson, A.; Andren Aronsson, C.; Brundin, C.; Oscarsson, E.; Molin, G.; Agardh, D. Effects of Lactobacillus plantarum and Lactobacillus paracasei on the peripheral immune response in children with celiac disease autoimmunity: A randomized, double-blind, placebo-controlled clinical trial. Nutrients 2019, 11, 1925. [Google Scholar] [CrossRef]
- Lee, S.J.; Bose, S.; Seo, J.G.; Chung, W.S.; Lim, C.Y.; Kim, H. The effects of co-administration of probiotics with herbal medicine on obesity, metabolic endotoxemia and dysbiosis: A randomized double-blind controlled clinical trial. Clin. Nutr. 2014, 33, 973–981. [Google Scholar] [CrossRef]
- Sudha, M.R.; Ahire, J.J.; Jayanthi, N.; Tripathi, A.; Nanal, S. Effect of multi-strain probiotic (ub0316) in weight management in overweight/obese adults: A 12-week double blind, randomised, placebo-controlled study. Benef. Microbes 2019, 10, 855–866. [Google Scholar] [CrossRef]
- Sohn, M.; Jung, H.; Lee, W.S.; Kim, T.H.; Lim, S. Effect of Lactobacillus plantarum lmt1-48 on body fat in overweight subjects: A randomized, double-blind, placebo-controlled trial. Diabetes Metab. J. 2023, 47, 92–103. [Google Scholar] [CrossRef] [PubMed]
- Sohn, M.; Na, G.Y.; Chu, J.; Joung, H.; Kim, B.K.; Lim, S. Efficacy and safety of Lactobacillus plantarum k50 on lipids in koreans with obesity: A randomized, double-blind controlled clinical trial. Front. Endocrinol. 2022, 12, 790046. [Google Scholar] [CrossRef] [PubMed]
- Mo, S.J.; Lee, K.; Hong, H.J.; Hong, D.K.; Jung, S.H.; Park, S.D.; Shim, J.-J.; Lee, J.-L. Effects of Lactobacillus curvatus hy7601 and Lactobacillus plantarum ky1032 on overweight and the gut microbiota in humans: Randomized, double-blinded, placebo-controlled clinical trial. Nutrients 2022, 14, 2484. [Google Scholar] [CrossRef] [PubMed]
- Takeuchi, M.; Kishino, S.; Tanabe, K.; Hirata, A.; Park, S.B.; Shimizu, S.; Ogawa, J. Hydroxy fatty acid production by pediococcus sp. Eur. J. Lipid Sci. Technol. 2013, 115, 386–393. [Google Scholar] [CrossRef]
- Omar, J.M.; Chan, Y.-M.; Jones, M.L.; Prakash, S.; Jones, P.J.H. Lactobacillus fermentum and Lactobacillus amylovorus as probiotics alter body adiposity and gut microflora in healthy persons. J. Funct. Foods 2013, 5, 116–123. [Google Scholar] [CrossRef]
- Doria, E.; Buonocore, D.; Michelotti, A.; Nobile, V.; Marzatico, F. Evaluation of a phyto-supplement efficacy as adjuvant in reducing body weight and fat mass in overweight women. Curr. Top. Nutraceutical Res. 2013, 11, 21. [Google Scholar]
- Sharafedtinov, K.K.; Plotnikova, O.A.; Alexeeva, R.I.; Sentsova, T.B.; Songisepp, E.; Stsepetova, J.; Smidt, I.; Mikelsaar, M. Hypocaloric diet supplemented with probiotic cheese improves body mass index and blood pressure indices of obese hypertensive patients-a randomized double-blind placebo-controlled pilot study. Nutr. J. 2013, 12, 138. [Google Scholar] [CrossRef] [PubMed]
- Tovar, J.; Nilsson, A.; Johansson, M.; Ekesbo, R.; Åberg, A.M.; Johansson, U.; Bjorck, I. A diet based on multiple functional concepts improves cardiometabolic risk parameters in healthy subjects. Nutr. Metab. 2012, 9, 29. [Google Scholar] [CrossRef] [PubMed]
- Jung, S.; Lee, Y.J.; Kim, M.; Kim, M.; Kwak, J.H.; Lee, J.W.; Ahn, Y.-T.; Sim, J.-H.; Lee, J.H. Supplementation with two probiotic strains, Lactobacillus curvatus hy7601 and Lactobacillus plantarum ky1032, reduced body adiposity and lp-pla(2) activity in overweight subjects. J. Funct. Foods 2015, 19, 744–752. [Google Scholar] [CrossRef]
- Kim, M.; Kim, M.; Kang, M.; Yoo, H.J.; Kim, M.S.; Ahn, Y.T.; Sim, J.-H.; Jee, S.H.; Lee, J.H. Effects of weight loss using supplementation with lactobacillus strains on body fat and medium-chain acylcarnitines in overweight individuals. Food Funct. 2017, 8, 250–261. [Google Scholar] [CrossRef]
- Toshimitsu, T.; Gotou, A.; Sashihara, T.; Furuichi, K.; Hachimura, S.; Shioya, N.; Suzuki, S.; Asami, Y. Ingesting yogurt containing Lactobacillus plantarum oll2712 reduces abdominal fat accumulation and chronic inflammation in overweight adults in a randomized placebo-controlled trial. Curr. Dev. Nutr. 2021, 5, nzab006. [Google Scholar] [CrossRef] [PubMed]
- Bauer, P.V.; Duca, F.A.; Waise, T.M.Z.; Dranse, H.J.; Rasmussen, B.A.; Puri, A.; Rasti, M.; O’Brien, C.A.; Lam, T.K. Lactobacillus gasseri in the upper small intestine impacts an acsl3-dependent fatty acid-sensing pathway regulating whole-body glucose homeostasis. Cell Metab. 2018, 27, 572–587. [Google Scholar] [CrossRef] [PubMed]
- Kato, S.; Tobe, H.; Matsubara, H.; Sawada, M.; Sasaki, Y.; Fukiya, S.; Morita, N.; Yokota, A. The membrane phospholipid cardiolipin plays a pivotal role in bile acid adaptation by Lactobacillus gasseri jcm1131(t). Biochim. Biophys. Acta Mol. Cell Biol. Lipids 2019, 1864, 403–412. [Google Scholar] [CrossRef] [PubMed]
- Kang, M.; Kang, M.; Yoo, J.; Lee, J.; Lee, S.; Yun, B.; Song, M.; Kim, J.-M.; Kim, H.-W.; Yang, J.; et al. Dietary supplementation with Lacticaseibacillus rhamnosus idcc3201 alleviates sarcopenia by modulating the gut microbiota and metabolites in dexamethasone-induced models. Food Funct. 2024, 15, 4936–4953. [Google Scholar] [CrossRef] [PubMed]
- World Health Organization. Obesity and Overweight [Internet]. 2020. Available online: https://www.who.int/news-room/fact-sheets/detail/obesity-and-overweight (accessed on 1 June 2024).
- Ley, R.E.; Backhed, F.; Turnbaugh, P.; Lozupone, C.A.; Knight, R.D.; Gordon, J.I. Obesity alters gut microbial ecology. Proc. Natl. Acad. Sci. USA 2005, 102, 11070–11075. [Google Scholar] [CrossRef] [PubMed]
- Crovesy, L.; Ostrowski, M.; Ferreira, D.; Rosado, E.L.; Soares-Mota, M. Effect of lactobacillus on body weight and body fat in overweight subjects: A systematic review of randomized controlled clinical trials. Int. J. Obes. 2017, 41, 1607–1614. [Google Scholar] [CrossRef] [PubMed]
- Borgeraas, H.; Johnson, L.K.; Skattebu, J.; Hertel, J.K.; Hjelmesaeth, J. Effects of probiotics on body weight, body mass index, fat mass and fat percentage in subjects with overweight or obesity: A systematic review and meta-analysis of randomized controlled trials. Obes. Rev. 2018, 19, 219–232. [Google Scholar] [CrossRef] [PubMed]
- Wu, Y.; Zhang, Q.; Ren, Y.; Ruan, Z. Effect of probiotic lactobacillus on lipid profile: A systematic review and meta-analysis of randomized, controlled trials. PLoS ONE 2017, 12, e0178868. [Google Scholar] [CrossRef] [PubMed]
- Clamp, L.D.; Hume, D.J.; Lambert, E.V.; Kroff, J. Enhanced insulin sensitivity in successful, long-term weight loss maintainers compared with matched controls with no weight loss history. Nutr. Diabetes 2017, 7, e282. [Google Scholar] [CrossRef]
- Ruan, Y.; Sun, J.; He, J.; Chen, F.; Chen, R.; Chen, H. Effect of probiotics on glycemic control: A systematic review and meta-analysis of randomized, controlled trials. PLoS ONE 2015, 10, e0132121. [Google Scholar] [CrossRef]
- Shoelson, S.E.; Herrero, L.; Naaz, A. Obesity, inflammation, and insulin resistance. Gastroenterology 2007, 132, 2169–2180. [Google Scholar] [CrossRef] [PubMed]
- Nicklas, B.J.; Ambrosius, W.; Messier, S.P.; Miller, G.D.; Penninx, B.W.; Loeser, R.F.; Palla, S.; Bleecker, E.; Pahor, M. Diet-induced weight loss, exercise, and chronic inflammation in older, obese adults: A randomized controlled clinical trial. Am. J. Clin. Nutr. 2004, 79, 544–551. [Google Scholar] [CrossRef] [PubMed]
- Selvin, E.; Paynter, N.P.; Erlinger, T.P. The effect of weight loss on c-reactive protein: A systematic review. Arch. Intern. Med. 2007, 167, 31–39. [Google Scholar] [CrossRef] [PubMed]
- Hyung, K.E.; Yoo, H.K.; Ham, J.E.; Choi, J.Y.; Lee, S.; Park, S.Y.; Hwang, K.W. Lactobacillus plantarum isolated from kimchi regulates inflammation by increasing interleukin-10 secretion by antigen-presenting cells, leading to diminishing of stat5 phosphorylation in th2 cells. J. Food Sci. 2024, 89, 3802–3815. [Google Scholar] [CrossRef] [PubMed]
- Jung, H.; Yun, Y.R.; Hong, S.W.; Shin, S. Association between kimchi consumption and obesity based on bmi and abdominal obesity in korean adults: A cross-sectional analysis of the health examinees study. BMJ Open 2024, 14, e076650. [Google Scholar] [CrossRef] [PubMed]
- Lozupone, C.A.; Stombaugh, J.I.; Gordon, J.I.; Jansson, J.K.; Knight, R. Diversity, stability and resilience of the human gut microbiota. Nature 2012, 489, 220–230. [Google Scholar] [CrossRef]
- Page, M.J.; McKenzie, J.E.; Bossuyt, P.M.; Boutron, I.; Hoffmann, T.C.; Mulrow, C.D.; Shamseer, L.; Tetzlaff, J.M.; Akl, E.A.; Brennan, S.E.; et al. The PRISMA 2020 statement: An updated guideline for reporting systematic reviews. BMJ 2021, 372, n71. [Google Scholar] [CrossRef]
- Higgins, J.P.T. Cochrane Collaboration: Cochrane Handbook for Systematic Reviews of Interventions, 2nd ed.; Wiley-Blackwell: Hoboken, NJ, USA, 2020. [Google Scholar]








| Author (Year)/Country | Inclusion Criteria | Sample Size (% of Male)/Age | Study Design | Placebo Used | Intervention Probiotics/Follow-Up Time | Main Results | Secondary Outcome Measurement |
|---|---|---|---|---|---|---|---|
| multi-strain | |||||||
| Tovar (2012) [18]/Sweden | Healthy (BMI of 25–33 kg/m2) | 44 (18)/ M: 63.6 ± 1.9 F: 63.2 ± 0.8 | RCT/ crossover trial | Control diet | 1. Antioxidant and phenolics food. 2. Omega-3 fatty acid. 3. L. plantarum Heal19, DSM 15313. 4. Low-glycemic-impact food/4 weeks | BW reduced to 78.0 ± 1.3 kg (−1.8%; p < 0.0001) | Cholesterol (mmol/L), TG (mmol/L), Apolipoproteins (g/L), Insulin (mU/L), Glucose (mmol/L), HbA1c (%), Free fatty acids (mmol/L), Blood pressure (mm Hg), hs-CRP (mg/L), and Inflammatory markers |
| Jung (2015) [19]/ Korea | Non-diabetic (fasting blood glucose <126 mg/dL and 2 h blood glucose <200 mg/dL) and overweight (BMI between 25 and 30 kg/m2) | P: 46 (34.8) I: 49 (36.7)/ P: 37.8 ± 1.63 I: 40.1 ± 1.48 | RCT/ double-blind/ placebo-controlled | Control powder (did not contain probiotics) | 2 g of powder of two probiotic strains, L. curvatus HY7601 and L. plantarum KY1032, each at 2.5 × 109 cfu, twice a day (immediately after breakfast and dinner)/12 weeks | 1. BMI reduced to 26.8 ± 0.23 kg/m2 (p < 0.001). 2. BW reduced to 72.9 ± 1.30 kg (p < 0.001) | Cholesterol (mg/dL), TG (mg/dL), Insulin (mU/L), Glucose (mg/dL), Blood pressure (mm Hg), and Hs-CRP (mg/dL) |
| Kim (2017) [20]/ Korea | Non-diabetic and overweight individuals | P: 34 I: 32/ no mention | RCT/ double-blind/ placebo-controlled | Control powder (did not contain probiotics) | 2 g of probiotic powder twice a day containing L. curvatus HY7601 (2.5 × 109 cfu) and L. plantarum KY1032 (2.5 × 109 cfu)/12 weeks | 1. BMI reduced (0.23 ± 0.11 kg/m2; p < 0.05). 2. Body weight reduced (0.60 ± 0.30 kg; p < 0.05) | Abdominal fat areas, Total fat mass, Abdominal fat area, and Metabolic profiling of plasma |
| Sudha (2019) [10]/ India | Non-diabetic male or female between 30 and 65 years of age; BMI between 25 and 32 kg/m2; female, not currently pregnant or breast feeding | P: 36 (52.7) I: 35 (37.1)/ P: 41.3 I: 43.5 | RCT/ double-blind/ placebo-controlled | Excipient maltodextrin | UB0316 (L. salivarius UBLS22, L. casei UBLC-42, L. plantarum UBLP-40, L. acidophilus UBLA-34, B. breve UBBr-01, and B. coagulans Unique IS2, 5 × 109 cfu each, and prebiotic, fructo-oligosaccharide, 100 mg), 2 capsules per day/12 weeks | 1. BMI reduced to 27.4 ± 2.10 kg/m2 (−2.83%; p = 0.0001). 2. BW reduced to 64.5 ± 7.17 kg (−2.40%; p < 0.0001) | Cholesterol (mg/dL), TG (mg/dL), HDL (mg/dL), LDL (mg/dL), VLDL (mg/dL), Glucose (mg/dL), Quality of life, and Waist-to-hip ratio |
| Mo (2022) [13]/ Korea | Non-diabetic male or female between 19 and 65 years of age; BMI between 23 and 35 kg/m2; fasting blood glucose <126 mg/dL | P: 29 (72.4) I: 30 (83.3)/ P: 39.34 ± 1.61 I: 35.7 ± 1.44 | RCT/ double-blind/ placebo-controlled | 350 mg capsule (250 mg lactose, 5.57 mg crystalline cellulose, 3.5 mg SiO2, and 7 mg magnesium stearate) | 350 mg capsule contained 250 mg L. curvatus HY7601 and L. plantarum KY1032 (5 × 109 cfu), 5.57 mg crystalline cellulose, 3.5 mg SiO2, and 7 mg magnesium stearate/12 weeks | 1. BMI reduced to 26.73 ± 0.51 kg/m2 (p < 0.001). 2. BW reduced to 78.74 ± 2.21 kg (−2.40%; p = 0.001) | Cholesterol (mg/dL), TG (mg/dL), HDL (mg/dL), LDL (mg/dL), Leptin (ng/mL), Insulin (μIU/mL), Waist circumference (cm), Hip circumference (cm), and Body fat mass |
| single-strain | |||||||
| Rahayu (2021) [6]/ Indonesia | BMI equal to or greater than 25, no history of gastrointestinal disorder | P: 30 (40) I: 30 (40)/ P: 44.67 ± 5.66 I: 44.07 ± 6.23 | RCT/ double-blind/ placebo-controlled | Skimmed milk | 1 g of skimmed milk powder containing the probiotic L. plantarum Dad-13 of 2 × 109 cfu/90 days | 1. BMI reduced to 32.57 ± 5.01 kg/m2 (p = 0.04). 2. BW reduced to 83.14 ± 14.71 kg (−2.40%; p = 0.04) | Cholesterol (mg/dL), TG (mg/dL), HDL (mg/dL), LDL (mg/dL), Gut microbiota composition, and Fecal pH |
| Toshimitsu (2021) [21]/ Japan | Non-diabetic and overweight individuals (BMI of 25–30 kg/m2) | P: 46 (71.7) I: 46 (65.2)/ P: 44.7 ± 8.2 I: 45.5 ± 10.7 | RCT/ double-blind/ placebo-controlled | 112 g of placebo yogurt | Heat-treated L. plantarum OLL2712 (>5 × 109 cells/112 g of yogurt)/12 weeks | 1. BMI of 27.5 ± 1.4 kg/m2. 2. BW of 74.6 ± 8.3 kg | Cholesterol (mg/dL), TG (mg/dL), HDL (mg/dL), LDL (mg/dL), Waist circumference (cm), Hip circumference (cm), Waist-to-hip ratio, Blood pressure (mm Hg), HbA1c (%), and Inflammatory markers |
| Sohn (2022) [12]/ Korea | Healthy men and women aged 20 to 65 years with a BMI of 25–30 kg/m2 | P: 40 (40) I: 41 (39)/ P: 45.5 ± 10.0 I: 47.8 ± 11.7 | RCT/ double-blind/ placebo-controlled | Equivalent placebo | Two daily allocations of 2 × 109 cfu of L. plantarum K50 (LPK; total of 4 × 109 cfu/day)/12 weeks | 1. BMI of 27.0 ± 1.7 kg/m2 (p = 0.572). 2. BW of 74.2 ± 10.0 kg (p = 0.726) | Cholesterol (mg/dL), TG (mg/dL), HDL (mg/dL), LDL (mg/dL), Insulin (mU/L), Glucose (mmol/L), Waist circumference (cm), Blood pressure (mm Hg), hs-CRP (mg/L), and Inflammatory markers |
| Sohn (2023) [11]/ Korea | Healthy adult with a BMI of 25–30 kg/m2 | P: 49 (57) I: 50 (58)/ P: 40.1 ± 10.5 I: 40.2 ± 11.2 | RCT/ double-blind/ placebo-controlled | Placebo capsules contained 100% of maltodextrin | Once daily ingested L. plantarum strain LMT1-48 capsules contained 10% of LMT1-48 (1 × 1010 cfu) and 90% of maltodextrin/12 weeks | 1. BMI of 27.0 ± 1.7 kg/m2 (p < 0.05). 2. BW of 75.7 ± 9.2 kg (p < 0.05) | Cholesterol (mg/dL), TG (mg/dL), HDL (mg/dL), LDL (mg/dL), Waist circumference (cm), Blood pressure (mm Hg), Insulin (mU/L), Glucagon (pg/mL), and hs-CRP (μmol/L) |
Disclaimer/Publisher’s Note: The statements, opinions and data contained in all publications are solely those of the individual author(s) and contributor(s) and not of MDPI and/or the editor(s). MDPI and/or the editor(s) disclaim responsibility for any injury to people or property resulting from any ideas, methods, instructions or products referred to in the content. |
© 2024 by the authors. Licensee MDPI, Basel, Switzerland. This article is an open access article distributed under the terms and conditions of the Creative Commons Attribution (CC BY) license (https://creativecommons.org/licenses/by/4.0/).
Share and Cite
Li, C.-P.; Chen, C.-C.; Hsiao, Y.; Kao, C.-H.; Chen, C.-C.; Yang, H.-J.; Tsai, R.-Y. The Role of Lactobacillus plantarum in Reducing Obesity and Inflammation: A Meta-Analysis. Int. J. Mol. Sci. 2024, 25, 7608. https://doi.org/10.3390/ijms25147608
Li C-P, Chen C-C, Hsiao Y, Kao C-H, Chen C-C, Yang H-J, Tsai R-Y. The Role of Lactobacillus plantarum in Reducing Obesity and Inflammation: A Meta-Analysis. International Journal of Molecular Sciences. 2024; 25(14):7608. https://doi.org/10.3390/ijms25147608
Chicago/Turabian StyleLi, Chen-Pi, Chin-Chang Chen, Yao Hsiao, Chieh-Hsin Kao, Chin-Chu Chen, Hao-Jan Yang, and Ru-Yin Tsai. 2024. "The Role of Lactobacillus plantarum in Reducing Obesity and Inflammation: A Meta-Analysis" International Journal of Molecular Sciences 25, no. 14: 7608. https://doi.org/10.3390/ijms25147608
APA StyleLi, C.-P., Chen, C.-C., Hsiao, Y., Kao, C.-H., Chen, C.-C., Yang, H.-J., & Tsai, R.-Y. (2024). The Role of Lactobacillus plantarum in Reducing Obesity and Inflammation: A Meta-Analysis. International Journal of Molecular Sciences, 25(14), 7608. https://doi.org/10.3390/ijms25147608

