Abstract
Sulfur metabolism plays a major role in plant growth and development, environmental adaptation, and material synthesis, and the sulfate transporters are the beginning of sulfur metabolism. We identified 37 potential VcSULTR genes in the blueberry genome, encoding peptides with 534 to 766 amino acids. The genes were grouped into four subfamilies in an evolutionary analysis. The 37 putative VcSULTR proteins ranged in size from 60.03 to 83.87 kDa. These proteins were predicted to be hydrophobic and mostly localize to the plasma membrane. The VcSULTR genes were distributed on 30 chromosomes; VcSULTR3;5b and VcSULTR3;5c were the only tandemly repeated genes. The VcSULTR promoters contained cis-acting elements related to the fungal symbiosis and stress responses. The transcript levels of the VcSULTRs differed among blueberry organs and changed in response to ericoid mycorrhizal fungi and sulfate treatments. A subcellular localization analysis showed that VcSULTR2;1c localized to, and functioned in, the plasma membrane and chloroplast. The virus-induced gene knock-down of VcSULTR2;1c resulted in a significantly decreased endogenous sulfate content, and an up-regulation of genes encoding key enzymes in sulfur metabolism (VcATPS2 and VcSiR1). These findings enhance our understanding of mycorrhizal-fungi-mediated sulfate transport in blueberry, and lay the foundation for further research on blueberry–mycorrhizal symbiosis.
1. Introduction
Blueberries (Vaccinium) are known for their excellent health benefits, which are related to the flavonoids in their fruits [1,2]. Highbush blueberries, lowbush blueberries (V. angustifolium), and rabbiteye blueberries (V. ashei) are the three most widely cultivated groups [3]. Highbush blueberries can be divided into southern highbush blueberries (V. australe), half-highbush blueberries (V. corymbosum × V. angustifolium), and northern highbush (V. corymbosum) blueberries, depending on their winter hardiness and chilling requirements [4]. Blueberry plants have a fibrous root system with a low absorption capacity for water and nutrients [5]. An association with mycorrhizal fungi is required to improve the absorption of mineral nutrients. Moreover, when cultivating blueberry plants, it is usually necessary to add sulfur to adjust the soil pH, because blueberry plants grow best in acidic soil [6]. The sulfur application rate differs among different regions. Hence, it would be useful to understand the absorption and metabolism of sulfate for blueberry.
Sulfur is an essential macronutrient for plant growth and development, and it plays a fundamental role in metabolism [7,8]. In addition to being a structural component of protein disulfide bonds, sulfur is present in amino acids (cysteine and methionine), vitamins (biotin and thiamin), cofactors (S-adenosyl-methionine), and the iron–sulfur groups of electron transport chains [9]. Plants use sulfur primarily in its anionic form, sulfate (SO42−), which is generally present in very small amounts in the soil. Furthermore, because sulfate is water-soluble, it readily leaches out of the soil. Plants are able to take up sulfate from the soil over a wide range of concentrations through the use of high-affinity and low-affinity transporters [10]. In soils with low-sulfur availability, a symbiotic association between plants and arbuscular mycorrhizal fungi (AMF) assists with sulfur acquisition from the soil. Plants obtain nutrients from their fungal partner, which in return receives sugars from the plant [11,12,13]. In this process, sulfate transporters play an essential role in growth, nutrient absorption, and metabolism in plants.
Sulfate transporter (SULTR) genes have been characterized in many plant species, such as Arabidopsis thaliana [14], Phaseolus vulgaris [15], Malus domestica [16], Camellia sinensis [17], and Triticum turgidum [18]. In previous studies, the SULTR gene family has been divided into the following four groups according to the localization and role of the encoded protein: high-affinity SULTRs that absorb sulfate from soil, low-affinity SULTRs that transport sulfate from the roots to the aboveground plant parts, chloroplast-localized SULTRs that mainly transport sulfate within chloroplasts, and vacuole-localized SULTRs that are responsible for the outward transport of sulfate from vacuoles [19,20]. All of these transporters contain sulfate transporter anti-sigma domains in the C-terminal region [21].
In addition to studies identifying members of the SULTR gene family in diverse plant species, an increasing number of studies have characterized the function of SULTRs. Under sulfur-deficiency stress, tobacco plants (Nicotiana tabacum) overexpressing GmSULTR1;2b from soybean showed reduced yield losses [22]. Xun et al. [16] demonstrated that MhSULTR3;1a was specifically expressed in the root, and its encoded product was capable of transporting sulfate in a yeast functional complementation experiment. In rice, two low-affinity SULTRs, OsSULTR2;1 and OsSULTR2;2, were shown to have sulfate transporter activity, with the activity of the former being higher than that of the latter [23]. To date, however, no study has explored the function of sulfate transporter genes in blueberry. The identification and functional validation of sulfate transporter genes in blueberry will provide mechanistic insight into how its symbiont, ericoid mycorrhizal fungi (ERMF), promotes sulfur absorption and metabolism.
In this study, we conducted a genome-wide analysis to detect genes encoding sulfate transporters in V. corymbosum and analyzed the response of VcSULTRs to mycorrhizal fungi and sulfates. We identified 37 sulfate transporter genes in V. corymbosum and evaluated their biophysical features, gene architecture, conserved motifs, distribution on the chromosomes, and transcript profiles in response to inoculation with ERMF or sulfate treatments. The results of this study provide useful information for further research on the biological functions of sulfate transporters in blueberry, especially their roles during the establishment and development of the ERMF symbiosis.
2. Results
2.1. Identification of SULTR Genes in the Blueberry Genome
A total of 37 VcSULTR genes were identified in the blueberry genome (Table S1). The genes were predicted to encode polypeptides of 534 (VcSULTR3;5a) to 766 (VcSULTR3;5c) amino acids, with a predicted molecular mass ranging from 60.02 to 83.97 kDa, and a theoretical isoelectric point (pI) ranging from 7.55 (VcSULTR4;1c) to 9.57 (VcSULTR2;2b). The instability index of most of the putative proteins was lower than 40, indicating that they are stable proteins. All of the VcSULTR proteins were predicted to be hydrophobic on the basis of their positive grand average hydropathicity (GRAVY) values. Details of the secondary structures of the putative proteins, including the numbers of alpha helixes, beta turns, random coils, and extended strands, are summarized in Table S1. Most VcSULTRs were predicted to localize to the cytoplasmic membrane, and a few were predicted to localize to the vacuole (Table S2).
2.2. Phylogenetic Analysis of VcSULTRs
To explore the evolutionary relationships of blueberry SULTR proteins, a multiple alignment analysis of the full-length SULTR protein sequences of V. corymbosum (37 VcSULTRs), A. thaliana (12 VcSULTRs), M. domestica (9 VcSULTRs), C. sinensis (8 VcSULTRs), and O. sativa (11 VcSULTRs) was conducted using MEGA 11. The gene IDs and corresponding gene names are listed in Table S3. The SULTR proteins in blueberry were classified into four subfamilies in the phylogenetic tree and each subfamily contained VcSULTRs (Figure 1). Group I contained VcSULTR1s that grouped with AtSULTR1s, so we hypothesized that VcSULTR1s are high-affinity sulfur transporters that absorb sulfate from the external environment. Because VcSULTR2s grouped with AtSULTR2s, they were predicted to be low-affinity sulfur transporters that transport sulfate from the roots to the aboveground plant parts. The SULTR3 subfamily contained the most VcSULTRs (20 VcSULTRs), which may localize to the chloroplasts and participate in the absorption and transport of sulfate in the chloroplast envelope. The remaining VcSULTRs clustered together with AtSULTR4s, suggesting that they localize to the vacuole membrane and promote the outward transport of sulfate from the vacuole.
Figure 1.
The phylogenetic tree of the SULTRs from Vaccinium corymbosum (Vc), Arabidopsis thaliana (At), Oryza sativa (Os), Malus domestica (Mh), and Camellia sinensis (Cs). Gene IDs are shown in Table S4.
2.3. Chromosomal Location of VcSULTRs and Collinearity Analysis
The 37 VcSULTRs were distributed on 30 chromosomes (chr). Among them, chr3 had three VcSULTRs; chr2, chr28, chr40, and chr41 each had two VcSULTRs; and the remaining chr had one gene each. The collinearity analysis of the VcSULTR gene family predicted a total of 60 duplicated gene pairs. Only VcSULTR3;5b and VcSULTR3;5c were tandemly repeated genes (Figure 2), which are known to play an important role in gene family expansion. To investigate the events that have occurred within the VcSULTR gene family, we calculated the Ks, Ka, and Ka/Ks ratio for each duplicated gene pair. The Ks value ranged from 0.002 to 1.381, and the Ka/Ks value ranged from 0.05 to 0.76, suggesting that the genes have been subject to purifying selection during evolution. The first duplication event occurred approximately 100 million years ago (Figure 3 and Table S4).
Figure 2.
Chromosomal location and intraspecific collinearity analysis of VcSULTRs. The lines with different colors represent the duplicated VcSULTR gene pairs with collinearity relationships, and each color represents a group. The heatmap and line in the outer circle indicate gene density on the chromosome. The chromosome number is shown in the bottom of each chromosome.
Figure 3.
The frequency of Ks and Ka/Ks values in the VcSULTRs. The full details of the duplicated SULTRs are provided in Table S4.
In addition, an interspecific collinearity analysis was conducted with A. thaliana and V. vinifera to explore the variability and conservation of SULTR genes during species evolution. During the evolutionary process of the SULTR family gene members in blueberry, there was a higher degree of conservation between blueberry and grape, but a greater variability between blueberry and A. thaliana. The results indicated that the distribution of collinear loci was non-uniform. We detected a total of 18 collinear loci between V. corymbosum and A. thaliana, and 32 collinear loci between V. corymbosum and V. vinifera (Figure 4).
Figure 4.
Interspecific collinearity analysis of VcSULTRs. Blue, purple, and green represent Arabidopsis thaliana, Vaccinium corymbosum, and Vitis vinifera.
2.4. Conserved Motifs and Gene Structure of VcSULTRs
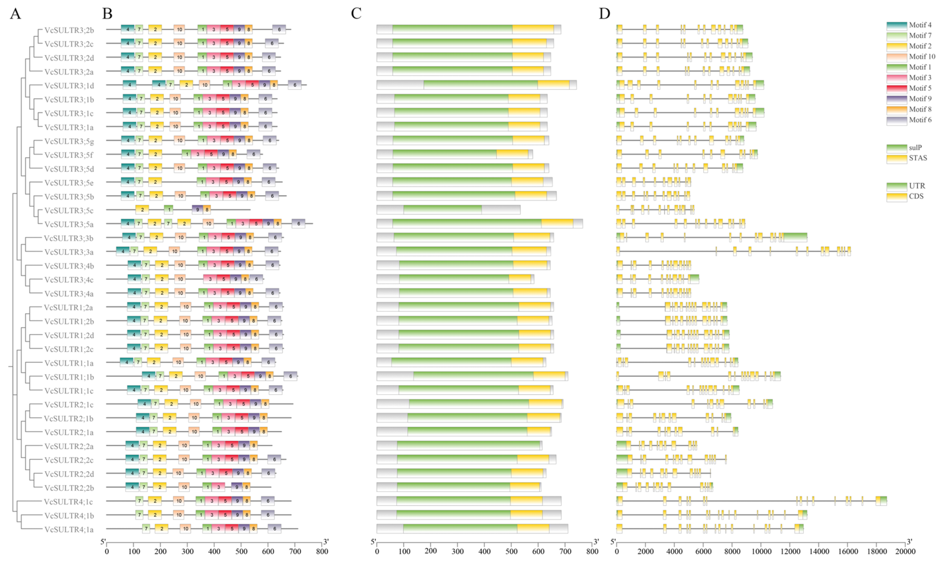
According to their genetic relationships and the position of the genes on the chromosomes, the 37 VcSULTRs were named VcSULTR1;1a–VcSULTR4;1c. A gene structure analysis showed that the VcSULTRs contained 11–16 exons. Three genes had the highest number of exons (VcSULTR4;1a, VcSULTR4;1b, and VcSULTR4;1c), and group III showed the largest variation in the number of exons amongst its members, indicating that members of this subfamily may have diverse functions (Figure 5). These results were consistent with the evolutionary tree results.
Figure 5.
Phylogenetic relationship, conserved motifs, and gene structures analysis of VcSULTRs. (A) Phylogenetic analysis of 37 VcSULTR proteins using MEGA11. (B) Distributions of conserved motifs in VcSULTR proteins. Different colors represent different motifs. (C) The positions of Sulfate_transp (sulP) and STAS-conserved domains. (D) The exon–intron structure of VcSULTR genes. The green boxes represent untranslated regions (UTRs), the yellow boxes represent CDS (extrons), and the gray lines represent introns.
To further analyze differences in amino acid sequences among VcSULTRs, the conserved motifs were analyzed. Most of the VcSULTRs contained two highly conserved domains, namely the N-terminal Sulfate_transp (PF00916) domain and the C-terminal STAS (PF01740) domain. The exceptions were VcSULTR2;2a and VcSULTR3;5c, which only had the N-terminal Sulfate_transp domain. Motif analysis showed that most VcSULTRs (80%) contained motifs 1–10. VcSULTR4;1b and VcSULTR4;1c had similar motifs apart from motif 4, and VcSULTR2;2b had 8 of the 10 motifs, lacking motif 5 and motif 6. VcSULTR2;2a, VcSULTR2;1a, VcSULTR2;1b, and VcSULTR2;1c had the same motifs apart from motif 6, and VcSULTR3;5c contained only four motifs (motifs 1, 2, 8, and 9). VcSULTR3;5e and VcSULTR3;5f lacked motif 10, VcSULTR3;4c lacked motif 1, and VcSULTR4;1a lacked motif 4 (Figure 5). Thus, members of the same subfamily had similar conserved domains.
2.5. Identification of Cis-Regulatory Elements in VcSULTR Promoter Regions
To understand the regulation of VcSULTR gene expression, we identified the cis-acting elements within the promoter regions of blueberry SULTR genes (Figure 6 and Table S5). The results showed that the cis-acting elements from SULTRs could be classified into five classes according to function, including motifs related to the stress response, light response, hormone response, growth and development, and fungi response (mycorrhizal symbiosis). The cis-acting elements involved in the light response included G-box, GT1-box, AE box, TCCC motif, and Sp1, whereas those related to the stress response included LTR (involved in the low-temperature stress response), TC-rich repeats (involved in defense and stress responses), and MBS (involved in the drought stress response). Moreover, the promoters of VcSULTRs contained a large number of hormone-responsive elements, such as ABRE (involved in the abscisic acid response), ARE (induced by gibberellin), and TGA (auxin-responsive element). The cis-acting elements related to growth and development included MYB, MYC, and F-box. We also detected cis-acting elements related to the mycorrhizal symbiosis, including mycorrhizal response elements (MYCS1, S-box, and GCC box), a fungal inducer element (W box), and AuxRR core and P-box, which are involved in the auxin response.
Figure 6.
Analysis of the promoter region cis-regulatory element. (A) Phylogenetic analysis of 37 VcSULTR proteins using MEGA11. (B) Cis-regulatory elements in VcSULTR promoter regions.
2.6. Expression Patterns of SULTR Genes in Blueberry
The SULTR gene family plays an important role in sulfur absorption and metabolism. In the phylogenetic analysis, some sequences showed high homology. The sequences could be divided into 10 groups, so one gene from each group was randomly selected for qRT-PCR analysis. Moreover, in our preliminary experiments, we found that the homologous genes of VcSULTR2;1a were differentially expressed in the mycorrhizal and non-mycorrhizal roots of blueberry, so VcSULTR2;1b and VcSULTR2;1c were also used in this test. The various genes showed diverse transcript profiles in different tissues. The transcript levels of VcSULTR1;2a and VcSULTR2;1a were higher in the roots than in the other organs; those of VcSULTR2;2c and VcSULTR3;4c were higher in the stem; VcSULTR3;3a showed high transcript levels in the leaf; and VcSULTR3;5a, VcSULTR3;5g, and VcSULTR4;1a showed high transcript levels in the mature fruit (Figure 7).
Figure 7.
The expression levels of VcSULTRs in different organs of ‘Duke’ using qRT-PCR analysis. Data are presented as the mean ± SD of three independent biological replicates. Different letters indicate significant differences (p < 0.05).
2.7. Expression Analysis of VcSULTR Genes in Response to ERMF Inoculation and Sulfate Treatments
To compare the expression of the various genes under different sulfate levels and in response to ERMF inoculation, we quantified the transcript levels of VcSULTRs by qRT-PCR. The results showed that the vast majority of SULTR genes validated in this experiment were up-regulated in the root and stem upon sulfate treatments and ERMF inoculation, except for VcSULTR2;1a under CKHS treatment and VcSULTR2;2c under IEHS treatment in the root, and VcSULTR3;1d under IENS treatment (Figure 8). In the leaf, the expression of VcSULTRs was affected by ERMF and sulfate supply levels and exhibited diversity (Figure 8). VcSULTR3;1d was up-regulated upon sulfate treatments, VcSULTR2;2c was up-regulated by ERMF inoculation, and the other VcSULTR genes were both up-regulated and down-regulated in the leaf. These results indicated that VcSULTRs may regulate sulfur absorption at the transcriptional level and respond to mycorrhizal symbiosis, especially for VcSULTR2;1c, which was up-regulated under ERMF treatment.
Figure 8.
The expression levels of VcSULTRs and key enzyme genes for sulfur metabolism in the root, stem, and leaf under sulfate and ericoid mycorrhizal fungus treatments. CK: not inoculated; IE: inoculated with ERMF. NS: no sulfate application; LS: low-sulfate (0.01 mmol/L MgSO4) treatment; HS: high-sulfate (1 mmol/L MgSO4) treatment. (A) The expression levels of VcSULTRs and key enzyme genes for sulfur metabolism in the root. (B) The expression levels of VcSULTRs and key enzyme genes for sulfur metabolism in the stem. (C) The expression levels of VcSULTRs and key enzyme genes for sulfur metabolism in the leaf.
To further explore the mechanism of sulfate absorption and metabolism, we analyzed the transcript profiles of genes encoding key enzymes in various metabolic pathways (Figure 8). Compared with uninoculated plants, those inoculated with ERMF showed increased transcript levels of VcATPS2, VcAPR1, and VcSAT1 in the root and leaf, and decreased transcript levels of VcATPS1 and VcOASTL1 in those two organs. VcOASTL2 was up-regulated in the root, stem, and leaf. VcSiR1 was down-regulated in the root and stem, but up-regulated in the leaf.
2.8. Subcellular Localization of VcSULTR2;1c
Considering that VcSULTR2;1c was especially expressed in the roots (Figure 7) and induced by ERMF inoculation (Figure 8), and that previous studies have shown that the gene is most significantly up-regulated after inoculation with ericoid mycorrhizal fungi, VcSULTR2;1c was isolated from the roots of blueberry (Figure S1). To determine the subcellular location of VcSULTR2;1c, we constructed a vector expressing the GFP-VcSULTR2;1c fusion protein, which was infiltrated into tobacco leaves via Agrobacterim tumefaciens strain GV3101 (pSoup-p19). The GFP signals of VcSULTR2;1c were detected in the plasma membrane and chloroplast (Figure 9).
Figure 9.
Subcellular localization of the VcSULTR2;1c protein.
2.9. Expression Analysis of VcSULTR2;1c and Its Involvement in Sulfate Absorption
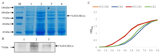
Analyses of gene transcript levels indicated that VcSULTR2;1c was significantly up-regulated after sulfate application (Figure 8), suggesting that this gene may encode a sulfate transporter. To further analyze the function of VcSULTR2;1c, we successfully constructed a fusion gene pEASY-VcSULTR2;1c (Figure S2) and performed a prokaryotic expression analysis. Western blot and SDS-PAGE analyses showed that, compared with the Escherichia coli strain harboring the empty vector pEASY-Blunt E2, the strain harboring VcSULTR2;1c produced a protein of ~75 kDa at 8 h after IPTG induction. The size of this band was consistent with the size of the putative VcSULTR2;1c protein (Figure 10A, B), indicating the correct expression of the recombinant protein and being a soluble protein. Growth kinetics analyses indicated that the effect of low sulfate (0.1 mol/L MgSO4) on the growth of E. coli is not significant; moreover, whether sulfate is applied or not, the VcSULTR2;1c significantly promoted the growth of E. coli in the short term (Figure 10C).
Figure 10.
The expression of VcSULTR2;1c in E. coil. (A) SDS-PAGE analysis of the prokaryotic expression protein of VcSULTR2;1c gene. Line 1 represents the whole protein of E. coli pEASY-Blunt E2; lines 2–4 represent pEASY-VcSULTR2;1c recombinant proteins induced by 0.1 mmol/L, 0.2 mmol/L, and 0.4 mol/L IPTG, respectively. The arrow indicates the band of VcSULTR2;1c protein. (B) Western blot analysis using His-tag mouse monoclonal antibody and HRP-conjugated affinipure goat anti-mouse. 1: E. coil pEASY-Blunt E2 vector, 2: E. coil pEASY-VcSULTR2;1c whole cell, 3: E. coil pEASY-VcSULTR2;1c supernatant. Three samples were induced by 0.1 mmol/L of IPTG. (C) The growth curves of recombinant bacteria and non-recombinant bacteria. 0 represents no additional sulfur added. 1 represents adding 0.1 mol/L of MgSO4. CK represents the control vector. SULTR represents pEASY-VcSULTR2;1c. All samples are induced by 0.1 mmol/L of IPTG.
2.10. Virus-Induced Gene Silencing of VcSULTR2;1c
To explore the function of VcSULTR2;1c in sulfate transport, we constructed a recombinant gene pTRV2-VcSULTR2;1c (Figure S3) and knocked down the expression of VcSULTR2;1c in blueberry roots by virus-induced gene silencing (VIGS). The blueberry plants with knocked-down VcSULTR2;1c grew normally under the conditions of the two treatments and grew new white fibrous roots. Toluidine blue staining revealed that the root cells of the control group were arranged in a regular pattern, while the cortical cells of the experimental group were narrower, and some had a concave shape (Figure 11). qRT-PCR analyses confirmed that VcSULTR2;1c was strongly down-regulated in the silenced blueberry roots (Figure 11), and that the other two homologs of VcSULTR2;1c, namely VcSULTR2;1a and VcSULTR2;1b, were down-regulated as well. In addition, vacuole SULTRs, like VcSULTR4;1a, were up-regulated. In contrast, VcATPS2, VcAPR1, and VcSiR1 that encode key enzymes in the sulfur metabolism pathway were significantly up-regulated. The endogenous sulfate content in the roots was significantly lower in the VcSULTR2;1c-knocked-down line than in the control.
Figure 11.
Functional analysis of VcSULTR2;1c in blueberry root. (A) Transverse section of blueberry roots with pTRV1-pTRV2. (B) Transverse section of blueberry roots with pTRV2-VcSULTR2;1c. (C) The effect of silenced VcSULTR2;1c gene on endogenous sulfate content. ** means significant difference at 0.01 level. (D) The expression analysis of blueberry roots silenced for VcSULTR2;1c gene through VIGS system. * means significant difference at 0.05 level, ** means significant difference at 0.01 level.
3. Discussion
SULTR is a carrier protein for higher plants to absorb and transport sulfates. It participates in the absorption of sulfates from soil by plant roots, and it is a key factor in the transportation and redistribution of sulfates within the plant body [21]. Genome-wide analysis of the SULTR gene family has been performed in several species, including M. domestica [16], C. sinensis [17], T. turgidum [18], O. sativa [19], and C. sativa and Brassica napus [24]. However, no other studies have conducted a similar analysis of VcSULTR genes in blueberry. In this study, we identified 37 VcSULTRs genes in the genome of the tetraploid blueberry cultivar ‘Draper’. Our results show that, compared with the plant species mentioned above, blueberry has a higher number of SULTR genes. This is likely related to the polyploidy, genome size, and evolutionary history of blueberry. Analyses of the physical and chemical properties of the putative VcSULTRs revealed positive total average hydrophilicity values, indicating that all of these proteins are hydrophobic, like the SULTRs of oilseed crops and wheat [18,24]. This suggests that VcSULTRs function under the same conditions. A gene structure analysis revealed high conservation of the structure of VcULTRs. The motifs of most proteins were roughly the same, except for VcSULTR3;5c, which contained only motif 4. Like the SULTR proteins of most plants, VcSULTRs contained sequences encoding Sulfate_transp and/or STAS domains, which are typical characteristics of VcSULTRs. In addition, our analyses revealed 11–16 exons in blueberry VcSULTRs, different from the 4 to 20 exons in the SULTRs of C. sativa and 4 to 19 exons in the SULTRs of B. napus [24], but similar to the 11–17 exons in the SULTRs of C. sinensis. These results suggest that the genetic structure of blueberry may be more similar to that of C. sinensis [17].
Previous studies have divided SULTRs into four subfamilies, with group I and group II expressed in the roots, group III mainly expressed in the leaves, and group IV primarily expressed in vacuolar cells [16,17,24,25]. In the phylogenetic analysis, the 37 VcSULTRs were divided into four subfamilies, like the SULTRs in other species such as tea tree [17], potato [26], and sorghum [27]. The VcSULTRs were found to be distributed in all four subfamilies, although their evolutionary trends were different. According to the Ka/Ks indices, the first duplication event of VcSULTRs in blueberry occurred approximately 100 million years ago, which is earlier than duplication events in C. sativa and B. napus [24]. Furthermore, most of the VcSULTRs appeared to originate from VcSULTR3, consistent with the findings of Heidari et al. [24]. The Ka/Ks value of all the VcSULTR genes was less than 1, indicating that these genes may have been subject to certain limitations to maintain their function or structure, as reported for the SULTRs of B. napus [24]. Other studies have reported that there is a relatively high gene homology within each subfamily of SULTRs, and there is functional similarity among the proteins in each subfamily. For example, in tea, CsSULTR1;1. CsSULTR1;2, and CsSULTR3;2 were found to be significantly up-regulated in response to an exogenous sulfur treatment. Similarly, in maize roots, sulfur deficiency significantly up-regulated ZmSULTR1;1. ZmSULTR1;2, and ZmSULTR3;4 [17,28]. Other studies showed that OsSULTR2;1 and OsSULTR2;2 in rice have sulfate transport activity [23], and PtSULTR1;1a and PtSULTR3;3a in Populus transport sulfates in the phloem [29]. However, the proteins in the third subfamily are more diverse. We found that the third subfamily had the largest number of proteins, and they could be further classified into three groups. Chen et al. [25] found that AtSULTR3s are localized in chloroplasts, where they are involved in the uptake of sulfate and cysteine. Xun et al. [16] showed that MhSULTR3;1a localizes in plasma membranes and nuclear membranes, and suggested that its sulfur transport function can improve plant tolerance to low-sulfur conditions. In our analyses, most VcSULTRs were predicted to localize in the plasma membrane and vacuole, but a subcellular localization analysis revealed that VcSULTR2;1c localizes in the plasma membrane and chloroplasts. The above results indicate that VcSULTRs in blueberry are similar to those in other species, in that they show functional diversity and functional redundancy [16,25].
In production and cultivation, applying sulfur powder to reduce soil pH is an important part of soil improvement, which directly affects yield and economic benefits. If the application of microbial fertilizers can reduce soil pH, it can avoid a series of problems such as heavy metal pollution caused by improper sulfur application, which is beneficial for production and green environmental protection. Therefore, analyzing the response of sulfur transporter genes to mycorrhizal fungi and sulfate is of great significance. In this study, we found that the expression of VcSULTRs was tissue-specific and responsive to sulfate and ERMF inoculation. For instance, there were very high transcript levels of VcSULTR2;1a/b/c in blueberry roots; those of VcSULTR3;2b, VcSULTR2;2c, and VcSULTR3;4c were significantly higher in the stems than in the other organs; and VcSULTR3;5a, VcSULTR3;5g, and VcSULTR4;1a were specifically expressed in blue (ripe) fruits. A tissue-specific expression of SULTRs has also been detected in C. sinensis [17], Z. may [28], M. domestica [16], C. sativa, and B. napus [24], with differences in gene expression patterns among these species, and between blueberry and these species. Interestingly, we found that VcSULTRs in the roots were significantly up-regulated upon inoculation with ERMF and in the sulfate treatments, and this may be related to the control of gene expression via cis-acting elements related to mycorrhizal symbiotic and stress responses in the gene promoter regions (Figure 6), such as TC rich repeats, which is involved in the defense and stress response. In addition, we found that the elements involved in the stress response include LTR and MBS, which may be due to the intermediate products of sulfur metabolism, cysteine, and glutathione, and play important roles in resisting biotic and abiotic stress. In Medicago truncatula, the expression of some MtSULTRs was found to be induced by sulfate and mycorrhiza, which shed light on the role of mycorrhizal interactions in sulfate absorption [30]. Therefore, we speculate that VcSULTR2s (VcSULTR2;1a, VcSULTR2;1b, and VcSULTR2;1c) may be involved in the mycorrhizal symbiosis and have sulfate absorption and transport functions.
In recent years, the RNA-mediated plant antiviral mechanism VIGS has been widely used in reverse genetics research to investigate the function of plant genes. For example, gene knock-out or knock-down using VIGs has been used to determine the function of genes related to physiological pathways, disease resistance, growth and development, and metabolic regulation. This technology has been successfully established for fruit trees, for example, pear [31], apple [32], grape [33], and blueberry [34]. In this study, we aimed to silence gene expression in blueberry roots, which differ from fruits and leaves, so we selected the vacuum infiltration method. The knocked-down expression of VcSULTR2;1c in the roots resulted in gaps between epidermal cells, a wrinkled and deformed phenotype of cells in the endothelial layer, and decreases in the endogenous sulfate content and the transcript levels of VcSULTR2;1c, VcAULTR2;1b, and VcSULTR2;1a. However, VcATPS2, VcAPR1, and VcSiR1 were up-regulated in the roots; moreover, VcSULTR4;1a, the vacuole SULTR, was up-regulated. These results indicate that the knock-down of VcSULTR2;1c either inhibited the transport of sulfate from the roots to the aboveground parts, or promoted sulfate metabolism in the roots, and may transport sulfates to the vacuoles for storage. When VcSULTR2;1c was expressed in E. coli, a 75 kDa protein consistent with the size of VcSULTR2;1c was produced, and it belongs to soluble proteins. Furthermore, the recombinant bacteria grew better than the empty control with and without sulfate, as demonstrated by the growth kinetics analysis. Sulfur is one of the essential trace elements for the growth of E. coli and is crucial for maintaining individual growth. Research has shown that sulfate transporters are responsible for the absorption of sulfates and thiosulfates, providing a sulfur source for sulfur metabolism, thereby synthesizing substances such as sulfur-containing amino acids and coenzymes that are crucial for growth and development [7,21,35]. This study found that recombinant bacteria significantly promoted the growth of E. coli. Therefore, we speculate that the VcSULTR2;1c may promote sulfur metabolism in E. coli, generating beneficial growth and development compounds such as cysteine and sulfides, thereby promoting the growth of E. coli in the early stages. Further research, including the use of methods such as yeast complementation analysis and homologous transformation [16,23,36], are needed to further explore the role of VcSULTR2;1c in sulfate transport.
4. Materials and Methods
4.1. Plant Materials and Treatments
For tissue-specific gene expression analyses, samples of different organs were collected from 6-year-old plants of the blueberry cultivar ‘Duke’ growing at the Blueberry Germplasm Resource Nursery of Jilin Agricultural University in Changchun, China (43°79′ N, 125°41′ E). All samples were immediately frozen in liquid nitrogen and then stored at −80 °C.
Plants were grown from cuttings for analyses of gene expression in response to ERMF (Oidiodendron maius) inoculation and sulfate treatments. Two-year-old plants with consistent growth were selected for use in these experiments, which were conducted in a greenhouse. There were three sulfate treatments, no sulfate (0 mmol/L MgSO4), low sulfate (0.01 mmol/L MgSO4), and high sulfate (1 mmol/L MgSO4), represented by NS, LS, and HS, respectively. In addition, the plants were inoculated or not inoculated with ERMF under these three sulfate treatments, making a total of six treatments. Each treatment was repeated three times with 10 seedlings per replicate. The substrate had sterile treatment to eliminate interference from soil fungi. The inoculum of ERMF was cultured in 75 mL of malt extract broth (MEB) for 10 days until the mycelium occupied about two-thirds of the volume of the MEB, and then they were made into a homogenate with a homogenizer and was applied as an inoculum [37]. For the first inoculation, 25 mL of homogenate was added 5 cm apart from blueberry roots. After one month, we conducted the second inoculation like the first time. The irrigation of sulfate solutions and inoculation were carried out simultaneously. To promote mycorrhizal colonization, we applied 20 μmol/L of KH2PO4 once a week [38]. All other conditions were those used in conventional field management. We collected the roots, stem, and leaf samples three months after the second inoculation. All samples were quickly frozen in liquid nitrogen and stored at −80 °C.
4.2. Identification of SULTR Gene Family Members in Blueberry
Two methods were used to identify the SULTR family members in blueberry. First, the genomic data for blueberry were obtained from the Vaccinium database (https://www.vaccinium.org/analysis/49, accessed on 18 March 2023) [39]. The protein sequences of the A. thaliana SULTR gene family were downloaded from TAIR (https://www.arabidopsis.org/, accessed on 18 March 2023) and used as BLASTP templates (E-value of 1 × 10−5) to identify all SULTR candidate members in the blueberry genome. Second, the Hidden Markov Model (HMM) files of the SULTR structural domains (PF00916 and PF01740) were downloaded from the Pfam database (https://www.ebi.ac.uk/interpro/download/Pfam/, accessed on 18 March 2023). We searched for SULTR genes in the V. corymbosum genome database using the Hmmer search function in the HMMER 3.0 program (default parameters) [40,41,42]. The results of the two methods were compared, and those genes identified using both methods were retained. Finally, the SULTR-conserved structural domains of all candidates were retrieved using the online tool NCBI CD-search (https://www.ncbi.nlm.nih.gov/Structure/bwrpsb/bwrpsb.cgi, accessed on 18 March 2023). Proteins with incomplete SULTR structural domains were excluded, and the remaining SULTR members were designated as VcSULTRs.
4.3. Gene Information and Phylogenetic Relationships
The amino acid sequence length, molecular weight (MW), theoretical isoelectric point (pI), and grand average of hydropathicity index (GRAVY) of VcSULTRs were analyzed using the ExPASy Prot-Param tool (https://web.expasy.org/protparam/, accessed on 18 March 2023) [43]. Protein secondary structures were predicted by SOPMA (https://npsa-prabi.ibcp.fr/cgi-bin/npsa_automat.pl?page=npsa_sopma.html, accessed on 18 March 2023) [44]. The subcellular localization of VcSULTRs was predicted using WoLF PSORT (https://www.genscript.com/wolf-psort.html, accessed on 18 March 2023) [45]. The ClustalW tool was used to perform multiple sequence alignments of blueberry VcSULTRs and SULTR proteins from A. thaliana, M. domestica, C. sinensis, and O. sativa. A phylogenetic tree was constructed using the neighbor-joining (NJ) method in MEGA 11 software with a bootstrap value of 1000 [46].
4.4. Chromosomal Location of Genes and Collinearity Analysis
GFF3 files and genome sequence files were used for these analyses. The chromosomal locations of SULTR family members were visualized using the Gene Location Visualize From GTF/GFF tool in TBtools software (v2.062). The candidate genes were renamed from VcSULTR1;1a to VcSULTR4;1c according to the phylogenetic results and their positions on the chromosomes [47]. The collinearity of SULTR family members was visualized using the Advanced Circos tool and Multiple Synteny Plot tool in TBtools software (v2.062). The collinearity of the SULTR gene family between V. corymbosum, A. thaliana, and V. vinifera was visualized using the Multiple Synteny Plot tool in TBtools software (v1.112).
4.5. Analysis of Domain Motifs and Gene Structures
The online program MEME Suite 5.5.1 (https://meme-suite.org/meme/tools/meme, accessed on 18 March 2023) was used to analyze conserved motif structures. The number of motifs was 10, and the width of motifs was set to the default value. Then, NCBI-CD (https://www.ncbi.nlm.nih.gov/Structure/bwrpsb/bwrpsb.cgi, accessed on 18 March 2023) was used to confirm the presence of conserved domains. The conserved motifs and domains in candidate genes were visualized using TBtools software (v1.112) [47].
4.6. Analysis of VcSULTR Gene Promoter Regions
The cis-acting elements in the promoter fragments of the VcSULTR genes (2000 bp upstream of the translation initiation sites) were identified using the online program PlantCARE (http://bioinformatics.psb.ugent.be/webtools/plantcare/html/, accessed on 20 March 2023). Several other cis-acting elements were identified according to previous studies [48,49,50]. The results of these analyses were displayed using TBtools software (v1.112) [47].
4.7. Expression Pattern Analysis of VcSULTRs
To understand the expression patterns of the identified VcSULTR, we determined the transcript levels of VcSULTRs in different organs of blueberry plants and under different conditions, including low sulfate (0.01 mmol/L MgSO4) and high sulfate (1 mmol/L MgSO4), and not inoculated or inoculated with ERMF (Oidiodendron maius) [51]. qRT-PCR was performed with TBGreen with the ABI StepOne Plus system. The EF1α gene was used as the housekeeping gene. All primers used in this study are listed in Table S6. The tissue-specific gene expression analyses were calculated using the 2−ΔCt method. For the response to sulfate and ERMF, the relative transcript level of each gene was calculated using the 2−ΔΔCt method [52,53].
4.8. Cloning of VcSULTR2;1c and Subcellular Localization
First-strand cDNA was synthesized from the total RNA extracted from blueberry root samples. The complete coding sequence of the VcSULTR2;1c gene was cloned using the primers shown in Table S6. For subcellular localization analysis of VcSULTR2;1c, the plasmid pGDG-VcSULTR2;1c and empty vector were each introduced into Agrobacterium tumefaciens GV3101(pSoup-p19) by the liquid nitrogen quick-freezing method, and then transfected into tobacco leaves. The injected tobacco plants were cultured under a low light level for 48 h and then fluorescence signals were detected by fluorescence confocal microscopy. The two vectors were transformed into tobacco leaves with a cytoplasmic membrane marker [54].
4.9. Prokaryotic Expression of VcSULTR2;1c
The VcSULTR2;1c fragment was amplified and ligated into the pEASY-Blunt E2 vector, which was subsequently transformed into competent Escherichia coli Rosetta. The positive recombinant transformant was cultured in Luria–Bertani broth containing 50 μg/mL of kanamycin with shaking at 37 °C until OD600 = 0.6–0.8, and then induced with IPTG. The total cellular pellet, pellet, and supernatant were analyzed by 10% SDS-PAGE. After electrophoresis, one gel was stained with Coomassie Brilliant Blue, and the other was used for Western blot analysis with a His-tag mouse monoclonal antibody and HRP-conjugated affinipure goat anti-mouse IgG (H + L). After IPTG induction, the bacterial solution was diluted 100 times and inoculated into LB broth containing different concentrations of MgSO4 to observe the growth of recombinant bacteria [55].
4.10. Transient Transformation of Blueberry Root
For the construction of blueberry pTRV2-VcSULTR2;1c, the 398 bp fragment of VcSULTR2;1c was amplified by PCR from blueberry root cDNA as the template. The PCR product was fused to the pTRV2 plasmid. The VcSULTR2;1c recombinant plasmid was transformed into A. tumefaciens strain GV3101 (pSoup-p19) and then transformed into blueberry roots using the vacuum infiltration method [56]. After 15 days, the roots were collected to detect the transcript levels of VcSULTR2;1c and other genes in the transformed plants and the endogenous sulfate content.
5. Conclusions
In this study, 37 VcSULTR genes were identified according to blueberry genome data of ‘Draper’ and classified into four subfamilies based on phylogenetic analysis. In addition, combining phylogenetic analysis and gene structure analysis, the VcSULTR3 subfamily was the most diverse sulfate transporter family. The results of collinearity analysis show that the VcSULTR family was extended via segmental duplication events. The expression of blueberry VcSULTRs detected in this study was tissue-specific and induced by a mycorrhizal fungus and by sulfate. Subcellular localization analysis showed that VcSULTR2;1c localized in the plasma membrane and chloroplast, and VcSULTR2;1c might be involved in sulfate transport. These findings provide new insights into sulfate transporters in blueberry. However, further functional studies are needed to reveal the roles of VcSULTRs in sulfate transport and in mycorrhizal symbiosis.
Supplementary Materials
The following supporting information can be downloaded at: https://www.mdpi.com/article/10.3390/ijms25136980/s1.
Author Contributions
Conceptualization, H.S.; methodology, M.D.; validation, M.D.; resources, X.T.; data curation, S.L.; writing—original draft preparation, M.D.; writing—review and editing, L.C., Y.L. and H.S.; visualization, J.X. and X.C.; funding acquisition, H.S. and J.H. All authors have read and agreed to the published version of the manuscript.
Funding
The research was funded by the Jilin Province Science and Technology Department Project (20220508099RC), the Jilin Province Development and Reform Commission Project (2023C035-4), the Yunnan Province Science and Technology Talents and Platform Plan (Academician Expert Workstation) Project (202205AF150029), the Yunnan Province Basic Research Program Project (202101BC070003) and Special Funds for Technological Innovation and Achievement Display and Transformation in High-altitude Agriculture (530000210000000017045).
Institutional Review Board Statement
Not applicable.
Informed Consent Statement
Not applicable.
Data Availability Statement
The original contributions presented in the study are included in the article/Supplementary Material, further inquiries can be directed to the corresponding authors.
Acknowledgments
We greatly thank Wenxian Sun for providing the pGDG vector. We would like to thank Youwen Tian, Bowei Wang, Qi Zhang, Yifei Wang, and Dongshuang Zhao for collecting the experimental materials and for their assistance in the methodology.
Conflicts of Interest
The authors declare no conflicts of interest.
References
- Günther, C.S.; Dare, A.P.; McGhie, T.K.; Deng, C.; Lafferty, D.J.; Plunkett, B.J.; Grierson, E.R.P.; Turner, J.L.; Jaakola, L.; Albert, N.W.; et al. Spatiotemporal modulation of flavonoid metabolism in blueberries. Front. Plant Sci. 2020, 11, 545. [Google Scholar] [CrossRef] [PubMed]
- Kalt, W.; Cassidy, A.; Howard, L.R.; Krikorian, R.; Stull, A.J.; Tremblay, F.; Zamora-Ros, R. Recent research on the health benefits of blueberries and their anthocyanins. Adv. Nutr. 2020, 11, 224–236. [Google Scholar] [CrossRef] [PubMed]
- Retamales, J.B.; Hancock, J.F. Blueberry taxonomy and breeding. In Blueberries, 2nd ed.; CABI: Wallington, NJ, USA, 2018; pp. 18–60. [Google Scholar]
- Edger, P.P.; Iorizzo, M.; Bassil, N.V.; Benevenuto, J.; Ferrão, L.F.V.; Giongo, L.; Hummer, K.; Lawas, L.M.F.; Leisner, C.P.; Li, C.; et al. There and back again; historical perspective and future directions for Vaccinium breeding and research studies. Hortic. Res. 2022, 9, uhac083. [Google Scholar] [CrossRef] [PubMed]
- Pescie, M.A.; Fradkin, M.; Lavado, R.S.; Chiocchio, V.M. Endophytic fungi in blueberry cultivars, in three production areas of Argentina. Physiol. Mol. Plant Pathol. 2021, 115, 101662. [Google Scholar] [CrossRef]
- Caspersen, S.; Svensson, B.; Håkansson, T.; Winter, C.; Khalil, S.; Asp, H. Blueberry—Soil interactions from an organic perspective. Sci. Hortic. 2016, 208, 78–91. [Google Scholar] [CrossRef]
- Narayan, O.P.; Kumar, P.; Yadav, B.; Dua, M.; Johri, A.K. Sulfur nutrition and its role in plant growth and development. Plant Signal. Behav. 2023, 18, 2030082. [Google Scholar] [CrossRef] [PubMed]
- Li, Q.; Gao, Y.; Yang, A. Sulfur homeostasis in plants. Int. J. Mol. Sci. 2020, 21, 8926. [Google Scholar] [CrossRef] [PubMed]
- Narayan, O.P.; Verma, N.; Jogawat, A.; Dua, M.; Johri, A.K. Sulfur transfer from the endophytic fungus Serendipita indica improves maize growth and requires the sulfate transporter SiSulT. Plant Cell 2021, 33, 1268–1285. [Google Scholar] [CrossRef] [PubMed]
- Davidian, J.C.; Kopriva, S. Regulation of sulfate uptake and assimilation--the same or not the same? Mol. Plant 2010, 3, 314–325. [Google Scholar] [CrossRef]
- Casieri, L.; Ait Lahmidi, N.; Doidy, J.; Veneault-Fourrey, C.; Migeon, A.; Bonneau, L.; Courty, P.E.; Garcia, K.; Charbonnier, M.; Delteil, A.; et al. Biotrophic transportome in mutualistic plant-fungal interactions. Mycorrhiza 2013, 23, 597–625. [Google Scholar] [CrossRef]
- Garcia, K.; Doidy, J.; Zimmermann, S.D.; Wipf, D.; Courty, P.E. Take a trip through the plant and fungal transportome of mycorrhiza. Trends Plant Sci. 2016, 21, 937–950. [Google Scholar] [CrossRef] [PubMed]
- Duan, S.; Declerck, S.; Feng, G.; Zhang, L. Hyphosphere interactions between Rhizophagus irregularis and Rahnella aquatilis promote carbon-phosphorus exchange at the peri-arbuscular space in Medicago truncatula. Environ. Microbiol. 2023, 25, 867–879. [Google Scholar] [CrossRef] [PubMed]
- Wang, L.; Chen, K.; Zhou, M. Structure and function of an Arabidopsis thaliana sulfate transporter. Nat. Commun. 2021, 12, 4455. [Google Scholar] [CrossRef] [PubMed]
- Zhao, Q.; Geng, J.; Du, Y.; Li, S.; Yuan, X.; Zhu, J.; Zhou, Z.; Wang, Q.; Du, J. The common bean (Phaseolus vulgaris) SULTR gene family: Genome-wide identification, phylogeny, evolutionary expansion and expression patterns. Biotechnol. Biotechnol. Equip. 2022, 36, 724–736. [Google Scholar] [CrossRef]
- Xun, M.; Song, J.; Shi, J.; Li, J.; Shi, Y.; Yan, J.; Zhang, W.; Yang, H. Genome-wide identification of sultr genes in Malus domestica and low sulfur-induced MhSultr3;1a to increase cysteine-improving growth. Front. Plant Sci. 2021, 12, 74842. [Google Scholar] [CrossRef] [PubMed]
- Zhang, H.; Hao, X.; Zhang, J.; Wang, L.; Wang, Y.; Li, N.; Guo, L.; Ren, H.; Zeng, J. Genome-wide identification of SULTR genes in tea plant and analysis of their expression in response to sulfur and selenium. Protoplasma 2022, 259, 127–140. [Google Scholar] [CrossRef] [PubMed]
- Puresmaeli, F.; Heidari, P.; Lawson, S. Insights into the sulfate transporter gene family and its expression patterns in durum wheat seedlings under salinity. Genes 2023, 14, 333. [Google Scholar] [CrossRef] [PubMed]
- Yuan, Z.; Long, W.; Hu, H.; Liang, T.; Luo, X.; Hu, Z.; Zhu, R.; Wu, X. Genome-wide identification and expansion patterns of SULTR gene family in gramineae crops and their expression profiles under abiotic stress in Oryza sativa. Genes 2021, 12, 634. [Google Scholar] [CrossRef]
- Tombuloglu, H.; Filiz, E.; Aydın, M.; Koc, I. Genome-wide identification and expression analysis of sulphate transporter (SULTR) genes under sulfur deficiency in Brachypodium distachyon. J. Plant Biochem. Biot. 2017, 26, 263–273. [Google Scholar] [CrossRef]
- Takahashi, H. Sulfate transport systems in plants: Functional diversity and molecular mechanisms underlying regulatory coordination. J. Exp. Bot. 2019, 70, 4075–4087. [Google Scholar] [CrossRef]
- Ding, Y.; Zhou, X.; Zuo, L.; Wang, H.; Yu, D. Identification and functional characterization of the sulfate transporter gene GmSULTR1;2b in soybean. BMC Genom. 2016, 17, 373. [Google Scholar] [CrossRef]
- Yang, Z.; Hui, S.; Lv, Y.; Zhang, M.; Chen, D.; Tian, J.; Zhang, H.; Liu, H.; Cao, J.; Xie, W.; et al. miR395-regulated sulfate metabolism exploits pathogen sensitivity to sulfate to boost immunity in rice. Mol. Plant 2022, 15, 671–688. [Google Scholar] [CrossRef] [PubMed]
- Heidari, P.; Hasanzadeh, S.; Faraji, S.; Ercisli, S.; Mora-Poblete, F. Genome-wide characterization of the sulfate transporter gene family in oilseed crops: Camelina sativa and Brassica napus. Plants 2023, 12, 628. [Google Scholar] [CrossRef] [PubMed]
- Chen, Z.; Zhao, P.X.; Miao, Z.Q.; Qi, G.F.; Wang, Z.; Yuan, Y.; Ahmad, N.; Cao, M.J.; Hell, R.; Wirtz, M.; et al. SULTR3s function in chloroplast sulfate uptake and affect ABA biosynthesis and the stress response. Plant Physiol. 2019, 180, 593–604. [Google Scholar] [CrossRef] [PubMed]
- Vatansever, R.; Koc, I.; Ozyigit, I.I.; Sen, U.; Uras, M.E.; Anjum, N.A.; Pereira, E.; Filiz, E. Genome-wide identification and expression analysis of sulfate transporter (SULTR) genes in potato (Solanum tuberosum L.). Planta 2016, 244, 1167–1183. [Google Scholar] [CrossRef] [PubMed]
- Akbudak, M.A.; Filiz, E.; Kontbay, K. Genome-wide identification and cadmium induced expression profiling of sulfate transporter (SULTR) genes in sorghum (Sorghum bicolor L.). Biometals 2018, 31, 91–105. [Google Scholar] [CrossRef] [PubMed]
- Huang, Q.; Wang, M.; Xia, Z. The SULTR gene family in maize (Zea mays L.): Gene cloning and expression analyses under sulfate starvation and abiotic stress. J. Plant Physiol. 2018, 220, 24–33. [Google Scholar] [CrossRef] [PubMed]
- Dürr, J.; Bücking, H.; Mult, S.; Wildhagen, H.; Palme, K.; Rennenberg, H.; Ditengou, F.; Herschbach, C. Seasonal and cell type specific expression of sulfate transporters in the phloem of Populus reveals tree specific characteristics for SO42− storage and mobilization. Plant Mol. Biol. 2010, 72, 499–517. [Google Scholar] [CrossRef]
- Casieri, L.; Gallardo, K.; Wipf, D. Transcriptional response of Medicago truncatula sulphate transporters to arbuscular mycorrhizal symbiosis with and without sulphur stress. Planta 2012, 235, 1431–1447. [Google Scholar] [CrossRef]
- Lin, L.; Chen, Q.; Yuan, K.; Xing, C.; Qiao, Q.; Huang, X.; Zhang, S. PbrATL18, an E3 ubiquitin ligase identified by genome-wide identification, is a positive factor in pear resistance to drought and Colletotrichum fructicola infection. Hortic. Plant J. 2023, 10, 698. [Google Scholar] [CrossRef]
- Navarro Gallón, S.M.; Elejalde-Palmett, C.; Daudu, D.; Liesecke, F.; Jullien, F.; Papon, N.; Dugé de Bernonville, T.; Courdavault, V.; Lanoue, A.; Oudin, A.; et al. Virus-induced gene silencing of the two squalene synthase isoforms of apple tree (Malus × domestica L.) negatively impacts phytosterol biosynthesis, plastid pigmentation and leaf growth. Planta 2017, 246, 45–60. [Google Scholar] [CrossRef] [PubMed]
- Yang, B.; Wei, Y.; Liang, C.; Guo, J.; Niu, T.; Zhang, P.; Wen, P. VvANR silencing promotes expression of VvANS and accumulation of anthocyanin in grape berries. Protoplasma 2022, 259, 743–753. [Google Scholar] [CrossRef] [PubMed]
- Liu, Y.; Wang, Y.; Pei, J.; Li, Y.; Sun, H. Genome-wide identification and characterization of COMT gene family during the development of blueberry fruit. BMC Plant Biol. 2021, 21, 5. [Google Scholar] [CrossRef] [PubMed]
- Kawano, Y.; Suzuki, K.; Ohtsu, I. Current understanding of sulfur assimilation metabolism to biosynthesize L-cysteine and recent progress of its fermentative overproduction in microorganisms. Appl. Microbiol. Biotechnol. 2018, 102, 8203–8211. [Google Scholar] [CrossRef] [PubMed]
- Qin, X.; Hu, J.; Xu, G.; Song, H.; Zhang, L.; Cao, Y. An efficient transformation system for fast production of VcCHS transgenic blueberry callus and its expressional analysis. Plants 2023, 12, 2905. [Google Scholar] [CrossRef] [PubMed]
- Cai, B.; Vancov, T.; Si, H.; Yang, W.; Tong, K.; Chen, W.; Fang, Y. Isolation and characterization of endomycorrhizal fungi associated with growth promotion of blueberry plants. J. Fungi 2021, 7, 584. [Google Scholar] [CrossRef] [PubMed]
- Sieh, D.; Watanabe, M.; Devers, E.A.; Brueckner, F.; Hoefgen, R.; Krajinski, F. The arbuscular mycorrhizal symbiosis influences sulfur starvation responses of Medicago truncatula. New Phytol. 2013, 197, 606–616. [Google Scholar] [CrossRef]
- Colle, M.; Leisner, C.P.; Wai, C.M.; Ou, S.; Bird, K.A.; Wang, J.; Wisecaver, J.H.; Yocca, A.E.; Alger, E.I.; Tang, H.; et al. Haplotype-phased genome and evolution of phytonutrient pathways of tetraploid blueberry. Gigascience 2019, 8, giz012. [Google Scholar] [CrossRef] [PubMed]
- Johnson, L.S.; Eddy, S.R.; Portugaly, E. Hidden Markov model speed heuristic and iterative HMM search procedure. BMC Bioinform. 2010, 11, 431. [Google Scholar] [CrossRef]
- Finn, R.D.; Clements, J.; Eddy, S.R. HMMER web server: Interactive sequence similarity searching. Nucleic Acids Res. 2011, 39, W29–W37. [Google Scholar] [CrossRef]
- Mistry, J.; Chuguransky, S.; Williams, L.; Qureshi, M.; Salazar, G.A.; Sonnhammer, E.L.L.; Tosatto, S.C.E.; Paladin, L.; Raj, S.; Richardson, L.J.; et al. Pfam: The protein families database in 2021. Nucleic Acids Res. 2021, 49, D412–D419. [Google Scholar] [CrossRef] [PubMed]
- Gasteiger, E.; Hoogland, C.; Gattiker, A.; Duvaud, S.E.; Wilkins, M.R.; Appel, R.D.; Bairoch, A. The Proteomics Protocols Handbook; Walker, J.M., Ed.; Humana Press: Totowa, NJ, USA, 2005; pp. 571–607. [Google Scholar] [CrossRef]
- Geourjon, C.; Deléage, G. SOPMA: Significant improvements in protein secondary structure prediction by consensus prediction from multiple alignments. Bioinformatics 1995, 11, 681–684. [Google Scholar] [CrossRef] [PubMed]
- Horton, P.; Park, K.J.; Obayashi, T.; Fujita, N.; Harada, H.; Adams-Collier, C.J.; Nakai, K. WoLF PSORT: Protein localization predictor. Nucleic Acids Res. 2007, 35, W585–W587. [Google Scholar] [CrossRef] [PubMed]
- Kumar, S.; Stecher, G.; Li, M.; Knyaz, C.; Tamura, K. MEGA X: Molecular evolutionary genetics analysis across computing platforms. Mol. Biol. Evol. 2018, 35, 1547–1549. [Google Scholar] [CrossRef] [PubMed]
- Chen, C.; Chen, H.; Zhang, Y.; Thomas, H.R.; Frank, M.H.; He, Y.; Xia, R. TBtools: An integrative toolkit developed for interactive analyses of big biological data. Mol. Plant. 2020, 13, 1194–1202. [Google Scholar] [CrossRef] [PubMed]
- Kirsch, C.; Takamiya-Wik, M.; Schmelzer, E.; Hahlbrock, K.; Somssich, I.E. A novel regulatory element involved in rapid activation of parsley ELI7 gene family members by fungal elicitor or pathogen infection. Mol. Plant Pathol. 2000, 1, 243–251. [Google Scholar] [CrossRef] [PubMed]
- Chen, A.; Gu, M.; Sun, S.; Zhu, L.; Hong, S.; Xu, G. Identification of two conserved cis-acting elements, MYCS and P1BS, involved in the regulation of mycorrhiza-activated phosphate transporters in eudicot species. New Phytol. 2011, 189, 1157–1169. [Google Scholar] [CrossRef] [PubMed]
- Gao, Y.; Zan, X.L.; Wu, X.F.; Yao, L.; Chen, Y.L.; Jia, S.W.; Zhao, K.J. Identification of fungus-responsive cis-acting element in the promoter of Brassica juncea chitinase gene, BjCHI1. Plant Sci. 2014, 215–216, 190–198. [Google Scholar] [CrossRef]
- Dong, M.; Wang, B.; Tian, Y.; Chen, L.; Li, Y.; Sun, H. Diversity of fungal assemblages in rhizosphere and endosphere of blueberry (Vaccinium spp.) under field conditions revealed by culturing and culture-independent molecular methods. Can. J. Microbiol. 2022, 68, 622–632. [Google Scholar] [CrossRef]
- Deng, Y.; Li, Y.; Sun, H. Selection of reference genes for RT-qPCR normalization in blueberry (Vaccinium corymbosum × angustifolium) under various abiotic stresses. FEBS Open Bio. 2020, 10, 1418–1435. [Google Scholar] [CrossRef]
- Chen, L.; Liu, Y.; Liu, H.; Kang, L.; Geng, J.; Gai, Y.; Ding, Y.; Sun, H.; Li, Y. Identification and expression analysis of MATE genes involved in flavonoid transport in blueberry plants. PLoS ONE 2015, 10, e0118578. [Google Scholar] [CrossRef] [PubMed]
- Wu, T.M.; Lin, K.C.; Liau, W.S.; Chao, Y.Y.; Yang, L.H.; Chen, S.Y.; Lu, C.A.; Hong, C.Y. A set of GFP-based organelle marker lines combined with DsRed-based gateway vectors for subcellular localization study in rice (Oryza sativa L.). Plant Mol. Biol. 2016, 90, 107–115. [Google Scholar] [CrossRef] [PubMed]
- Cao, Q.; Lv, W.; Jiang, H.; Chen, X.; Wang, X.; Wang, Y. Genome-wide identification of glutathione S-transferase gene family members in tea plant (Camellia sinensis) and their response to environmental stress. Int. J. Biol. Macromol. 2022, 205, 749–760. [Google Scholar] [CrossRef] [PubMed]
- Mo, R.; Yang, S.; Zhang, Q.; Xu, L.; Luo, Z. Vacuum infiltration enhances the Agrobacterium-mediated transient transformation for gene functional analysis in persimmon (Diospyros kaki Thunb.). Sci. Hortic. 2019, 251, 174–180. [Google Scholar] [CrossRef]
Disclaimer/Publisher’s Note: The statements, opinions and data contained in all publications are solely those of the individual author(s) and contributor(s) and not of MDPI and/or the editor(s). MDPI and/or the editor(s) disclaim responsibility for any injury to people or property resulting from any ideas, methods, instructions or products referred to in the content. |
© 2024 by the authors. Licensee MDPI, Basel, Switzerland. This article is an open access article distributed under the terms and conditions of the Creative Commons Attribution (CC BY) license (https://creativecommons.org/licenses/by/4.0/).










