Effects of the Interaction between Rumen Microbiota Density–VFAs–Hepatic Gluconeogenesis on the Adaptability of Tibetan Sheep to Plateau
Abstract
1. Introduction
2. Results
2.1. Rumen Fermentation Parameters in Tibetan Sheep at Different Altitudes
2.2. Rumen Microbiota Density in Tibetan Sheep at Different Altitudes
2.3. Expression Levels of VFAs Transporter-Related Genes in the Rumen Epithelium of Tibetan Sheep at Different Altitudes
2.4. Gluconeogenic Enzyme Content and Related Gene Expression in the Liver of Tibetan Sheep at Different Altitudes
2.5. Rumen Microbiota Density–VFAs–VFAs Transporter Gene Correlation Analysis
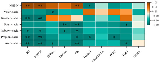
2.6. Correlation Analysis of Rumen VFAs-Hepatic Gluconeogenesis Function
3. Discussion
4. Materials and Methods
4.1. Experimental Design and Sample Collection
4.2. Determination of Rumen VFAs and NH3-N Content
4.3. Determination of Liver Enzyme Activity and Glucose Content
4.4. Total RNA Extraction and cDNA Synthesis from Rumen Epithelial and Liver Tissues
4.5. Total DNA Extraction and Dilution of Rumen Microbiota
4.6. Primer Design and RT-qPCR Amplification
4.7. Statistical Analysis
5. Conclusions
Author Contributions
Funding
Institutional Review Board Statement
Informed Consent Statement
Data Availability Statement
Acknowledgments
Conflicts of Interest
References
- Jacquier, M.; Calenge, C.; Say, L.; Devillard, S.; Ruette, S. Altitude shapes the environmental drivers of large-scale variation in abundance of a widespread mammal species. Ecol. Evol. 2020, 10, 119–130. [Google Scholar] [CrossRef]
- Hoover, W.H.; Miller, T.K. Rumen digestive physiology and microbial ecology. Vet. Clin. N. Am. Food Anim. Pract. 1991, 7, 311–325. [Google Scholar] [CrossRef]
- Thapa, S.; Mishra, J.; Arora, N.K.; Mishra, P.; Li, H.; O′Hair, J.; Bhatti, S.; Zhou, S. Microbial cellulolytic enzymes: Diversity and biotechnology with reference to lignocellulosic biomass degradation. Rev. Environ. Sci. Biotechnol. 2020, 19, 621–648. [Google Scholar] [CrossRef]
- Zhang, X.; Wang, H.; Guo, X. Comparative analysis of rumen fermentation parameters and bacterial profiles during adaption to different fattening stages in beef cattle fed TMR with various forage silage. Anim. Feed. Sci. Technol. 2021, 278, 115006. [Google Scholar] [CrossRef]
- An, A.; Dong, D.; Dd, D.; Xz, X.; Zy, Z. Prokaryote diversity in the rumen of yak (Bos grunniens) and Jinnan cattle (Bos taurus) estimated by 16S rDNA homology analyses. Anaerobe 2005, 11, 247–251. [Google Scholar] [CrossRef]
- Sun, J.; Cheng, G.; Li, W. Meta-analysis of relationships between environmental factors and aboveground biomass in the alpine grassland on the Tibetan Plateau. Biogeosciences 2013, 10, 1707–1715. [Google Scholar] [CrossRef]
- Bergman, E.N. Energy contributions of volatile fatty acids from the gastrointestinal tract in various species. Physiol. Rev. 1990, 70, 567–590. [Google Scholar] [CrossRef]
- Hailemariam, S.; Zhao, S.; He, Y.; Wang, J. Urea transport and hydrolysis in the rumen: A review. Anim. Nutr. 2021, 7, 989–996. [Google Scholar] [CrossRef]
- Zhang, Z.; Xu, D.; Wang, L.; Hao, J.; Wang, J.; Zhou, X.; Wang, W.; Qiu, Q.; Huang, X.; Zhou, J.; et al. Convergent Evolution of Rumen Microbiomes in High-Altitude Mammals. Curr. Biol. 2016, 26, 1873–1879. [Google Scholar] [CrossRef]
- Halestrap, A.P.; Price, N.T. The proton-linked monocarboxylate transporter (MCT) family: Structure, function and regulation. Biochem. J. 1999, 343, 281–299. [Google Scholar] [CrossRef]
- Contreras-Baeza, Y.; Sandoval, P.Y.; Alarcón, R.; Galaz, A.; Cortés-Molina, F.; Alegría, K.; Baeza-Lehnert, F.; Arce-Molina, R.; Guequén, A.; Flores, C.A.; et al. Monocarboxylate transporter 4 (MCT4) is a high affinity transporter capable of exporting lactate in high-lactate microenvironments. J. Biol. Chem. 2019, 294, 20135–20147. [Google Scholar] [CrossRef]
- Tse, C.M.; Levine, S.A.; Yun, C.H.; Khurana, S.; Donowitz, M. Na+/H+ exchanger-2 is an O-linked but not an N-linked sialoglycoprotein. Biochemistry 1994, 33, 12954–12961. [Google Scholar] [CrossRef]
- Zolotarev, A.S.; Shmukler, B.E.; Alper, S.L. AE2 anion exchanger polypeptide is a homooligomer in pig gastric membranes: A chemical cross-linking study. Biochemistry 1999, 38, 8521–8531. [Google Scholar] [CrossRef]
- El Hage, R.; Hernandez-Sanabria, E.; Calatayud Arroyo, M.; Van de Wiele, T. Supplementation of a propionate-producing consortium improves markers of insulin resistance in an in vitro model of gut-liver axis. Am. J. Physiol. Endocrinol. Metab. 2020, 318, E742–E749. [Google Scholar] [CrossRef]
- Perry, R.J.; Borders, C.B.; Cline, G.W.; Zhang, X.M.; Alves, T.C.; Petersen, K.F.; Rothman, D.L.; Kibbey, R.G.; Shulman, G.I. Propionate Increases Hepatic Pyruvate Cycling and Anaplerosis and Alters Mitochondrial Metabolism. J. Biol. Chem. 2016, 291, 12161–12170. [Google Scholar] [CrossRef]
- Yiew, N.; Ferguson, D.; Cho, K.; Deja, S.; Jarasvaraparn, C.; Fu, X.; Lutkewitte, A.J.; Mukherjee, S.; Singer, J.M.; Patti, G.J.; et al. Glycerol Metabolism and Gluconeogenesis in Mice Lacking the Mitochondrial Pyruvate Carrier in Hepatocytes. Diabetes 2023, 72, 1575-P. [Google Scholar] [CrossRef]
- Young, J.W. Gluconeogenesis in Cattle: Significance and Methodology. J. Dairy. Sci. 1977, 60, 1–15. [Google Scholar] [CrossRef]
- Ji, Y.X.; Wang, Y.; Li, P.L.; Cai, L.; Wang, X.M.; Bai, L.; Liu, Z.; Tian, H.; Tian, S.; Zhang, P.; et al. A kinome screen reveals that Nemo-like kinase is a key suppressor of hepatic gluconeogenesis. Cell Metab. 2021, 33, 1171–1186. [Google Scholar] [CrossRef]
- McConnell, H.L.; Rathert, A.R.; Foote, A.P. PSII-4 Effect of increased ruminal propionate on the expression of hepatic gluconeogenic genes in cattle on a finishing ration. J. Anim. Sci. 2021, 99, 314. [Google Scholar] [CrossRef]
- Wang, X.; Wu, X.; Shang, Y.; Gao, Y.; Liu, Y.; Wei, Q.; Dong, Y.; Mei, X.; Zhou, S.; Sun, G.; et al. High-Altitude Drives the Convergent Evolution of Alpha Diversity and Indicator Microbiota in the Gut Microbiomes of Ungulates. Front. Microbiol. 2022, 13, 953234. [Google Scholar] [CrossRef]
- Aoyama, H.; Daitoku, H.; Fukamizu, A. Nutrient control of phosphorylation and translocation of Foxo1 in C57BL/6 and db/db mice. Int. J. Mol. Med. 2006, 18, 433–439. [Google Scholar] [CrossRef][Green Version]
- Yang, T.; Cheng, Z.; Jiang, M.; Ma, X.; Datsomor, O.; Zhao, G.; Zhan, K. Histidine Promotes the Glucose Synthesis through Activation of the Gluconeogenic Pathway in Bovine Hepatocytes. Animals 2021, 11, 3295. [Google Scholar] [CrossRef]
- Suzuki, T.A.; Martins, F.M.; Nachman, M.W. Altitudinal variation of the gut microbiota in wild house mice. Mol. Ecol. 2019, 28, 2378–2390. [Google Scholar] [CrossRef]
- Fan, Q.; Wanapat, M.; Yan, T.; Hou, F. Altitude influences microbial diversity and herbage fermentation in the rumen of yaks. BMC Microbiol. 2020, 20, 370. [Google Scholar] [CrossRef]
- Zhang, L.; Jiang, X.; Li, A.; Waqas, M.; Gao, X.; Li, K.; Xie, G.; Zhang, J.; Mehmood, K.; Zhao, S.; et al. Characterization of the microbial community structure in intestinal segments of yak (Bos grunniens). Anaerobe 2020, 61, 102115. [Google Scholar] [CrossRef]
- Yeoman, C.J.; Fields, C.J.; Lepercq, P.; Ruiz, P.; Forano, E.; White, B.A.; Mosoni, P. In Vivo Competitions between Fibrobacter succinogenes, Ruminococcus flavefaciens, and Ruminoccus albus in a Gnotobiotic Sheep Model Revealed by Multi-Omic Analyses. mBio 2021, 12, e03533-20. [Google Scholar] [CrossRef]
- Arjun, S.; Neha, P.; Mohith Sai, S.R.; Ravi, L. Microbial Symbionts: Chapter 27—Microbial Symbionts in Ruminants; Version of Record 20 January 2023; Department of Botany, St. Joseph’s University: Bengaluru, Karnataka, India, 2023; pp. 493–509. [Google Scholar] [CrossRef]
- Ransom-Jones, E.; Jones, D.L.; McCarthy, A.J.; McDonald, J.E. The Fibrobacteres: An important phylum of cellulose-degrading bacteria. Microb. Ecol. 2012, 63, 267–281. [Google Scholar] [CrossRef]
- Jun, H.S.; Qi, M.; Ha, J.K.; Forsberg, C.W. Fibrobacter succinogenes, a Dominant Fibrolytic Ruminal Bacterium: Transition to the Post Genomic Era. Asian-Australas. J. Anim. Sci. 2007, 20, 802–810. [Google Scholar] [CrossRef]
- Malmuthuge, N.; Guan, L.L. Understanding host-microbial interactions in rumen: Searching the best opportunity for microbiota manipulation. J. Anim. Sci. Biotechnol. 2017, 8, 8. [Google Scholar] [CrossRef]
- Wu, D.; Vinitchaikul, P.; Deng, M.; Zhang, G.; Sun, L.; Wang, H.; Gou, X.; Mao, H.; Yang, S. Exploration of the effects of altitude change on bacteria and fungi in the rumen of yak (Bos grunniens). Arch. Microbiol. 2021, 203, 835–846. [Google Scholar] [CrossRef]
- Dijkstra, J. Production and absorption of volatile fatty acids in the rumen. Livest. Prod. Sci. 1994, 39, 61–69. [Google Scholar] [CrossRef]
- Graham, C.; Simmons, N.L. Functional organization of the bovine rumen epithelium. Am. J. Physiol. Regul. Integr. Comp. Physiol. 2005, 288, 173–181. [Google Scholar] [CrossRef]
- Benesch, F.; Dengler, F.; Masur, F.; Pfannkuche, H.; Gäbel, G. Monocarboxylate transporters 1 and 4: Expression and regulation by PPARα in ovine ruminal epithelial cells. Am. J. Physiol. Regul. Integr. Comp. Physiol. 2014, 307, 1428–1437. [Google Scholar] [CrossRef]
- Yu, Q. Slc26a3 (DRA) in the Gut: Expression, Function, Regulation, Role in Infectious Diarrhea and Inflammatory Bowel Disease. Inflamm. Bowel Dis. 2020, 27, 575–584. [Google Scholar] [CrossRef]
- Wang, H.; An, J.; Jin, H.; He, S.; Liao, C.; Wang, J. Roles of Cl−/HCO3− anion exchanger 2 in the physiology and pathophysiology of the digestive system (Review). Mol. Med. Rep. 2021, 24, 491. [Google Scholar] [CrossRef]
- Lu, Z.; Yao, L.; Jiang, Z.; Aschenbach, J.R.; Martens, H.; Shen, Z. Acidic pH and short-chain fatty acids activate Na+ transport but differentially modulate expression of Na+/H+ exchanger isoforms 1, 2, and 3 in omasal epithelium. J. Dairy Sci. 2016, 99, 733–745. [Google Scholar] [CrossRef]
- Wang, N.; Jiang, X.; Zhang, S.; Zhu, A.; Yuan, Y.; Xu, H.; Lei, J.; Yan, C. Structural basis of human monocarboxylate transporter 1 inhibition by anti-cancer drug candidates. Cell 2021, 184, 370–383. [Google Scholar] [CrossRef]
- Chen, D.; Li, Q.; Liu, Z.; He, F.; Chen, X.; Xu, S.; Zhao, X.; Zhao, L. Variations of Forage Yield and Nutrients with Altitude Gradients and Their Influencing Factors in Alpine Meadow of Sanjiangyuan, China. J. Soil. Sci. Plant Nutr. 2020, 20, 2164–2174. [Google Scholar] [CrossRef]
- Zhang, Y. Changes of rubber plantation aboveground biomass along elevation gradient in Xishuangbanna. Chin. J. Ecol. 2006, 25, 1028–1032. Available online: https://api.semanticscholar.org/CorpusID:204240691 (accessed on 10 September 2006).
- Sha, Y.; Ren, Y.; Zhao, S.; He, Y.; Guo, X.; Pu, X.; Li, W.; Liu, X.; Wang, J.; Li, S. Response of Ruminal Microbiota-Host Gene Interaction to High-Altitude Environments in Tibetan Sheep. Int. J. Mol. Sci. 2022, 23, 12430. [Google Scholar] [CrossRef]
- De Vadder, F.; Kovatcheva-Datchary, P.; Zitoun, C.; Duchampt, A.; Bäckhed, F.; Mithieux, G. Microbiota-Produced Succinate Improves Glucose Homeostasis via Intestinal Gluconeogenesis. Cell Metab. 2016, 24, 151–157. [Google Scholar] [CrossRef]
- Kandasamy, V.; Vaidyanathan, H.; Djurdjevic, I.; Jayamani, E.; Ramachandran, K.B.; Buckel, W.; Jayaraman, G.; Ramalingam, S. Engineering Escherichia coli with acrylate pathway genes for propionic acid synthesis and its impact on mixed-acid fermentation. Appl. Microbiol. Biotechnol. 2013, 97, 1191–1200. [Google Scholar] [CrossRef]
- Eipel, C.; Abshagen, K.; Vollmar, B. Regulation of hepatic blood flow: The hepatic arterial buffer response revisited. World J. Gastroenterol. 2010, 16, 6046–6057. [Google Scholar] [CrossRef]
- He, D.; Ma, J.; Long, K.; Wang, X.; Li, X.; Jiang, A.; Li, M. Differential expression of genes related to glucose metabolism in domesticated pigs and wild boar. Biosci. Biotechnol. Biochem. 2017, 81, 1478–1483. [Google Scholar] [CrossRef]
- Brearley, M.C.; Daniel, Z.; Loughna, P.T.; Parr, T.; Brameld, J.M. The phosphoenolpyruvate carboxykinase (PEPCK) inhibitor, 3-mercaptopicolinic acid (3-MPA), induces myogenic differentiation in C2C12 cells. Sci. Rep. 2020, 10, 22177. [Google Scholar] [CrossRef]
- Gizak, A.; Duda, P.; Wisniewski, J.; Rakus, D. Fructose-1,6-bisphosphatase: From a glucose metabolism enzyme to multifaceted regulator of a cell fate. Adv. Biol. Regul. 2019, 72, 41–50. [Google Scholar] [CrossRef]
- Nam, K.H. Glucose Isomerase: Functions, Structures, and Applications. Appl. Sci. 2022, 12, 428. [Google Scholar] [CrossRef]
- Lin, X.; Pan, X.M.; Peng, Z.K.; Wang, K.; Tang, N. [Glucose-6 phosphatase catalytic subunit inhibits the proliferation of liver cancer cells by inducing cell cycle arrest]. Zhonghua Gan Zang Bing. Za Zhi 2022, 30, 213–219. [Google Scholar] [CrossRef]
- Llamas-Ramírez, R.; Takahashi-Iñiguez, T.; Flores, M.E. The phosphoenolpyruvate-pyruvate-oxaloacetate node genes and enzymes in Streptomyces coelicolor M-145. Int. Microbiol. 2020, 23, 429–439. [Google Scholar] [CrossRef]
- Li, L.; He, M.L.; Liu, Y.; Zhang, Y.S. Buffering agent-induced lactose content increases via growth hormone-mediated activation of gluconeogenesis in lactating goats. Physiol. Res. 2018, 67, 317–329. [Google Scholar] [CrossRef]
- Pang, R.; Xiao, X.; Mao, T.; Yu, J.; Huang, L.; Xu, W.; Li, Y.; Zhu, W. The molecular mechanism of propionate-regulating gluconeogenesis in bovine hepatocytes. Anim. Biosci. 2023, 36, 1693–1699. [Google Scholar] [CrossRef]
- Kousteni, S. FoxO1, the transcriptional chief of staff of energy metabolism. Bone 2012, 50, 437–443. [Google Scholar] [CrossRef]
- Nakae, J.; Kitamura, T.; Silver, D.L.; Accili, D. The forkhead transcription factor Foxo1 (Fkhr) confers insulin sensitivity onto glucose-6-phosphatase expression. J. Clin. Investig. 2001, 108, 1359–1367. [Google Scholar] [CrossRef]
- Bluemel, G.; Planque, M.; Madreiter-Sokolowski, C.T.; Haitzmann, T.; Hrzenjak, A.; Graier, W.F.; Fendt, S.M.; Olschewski, H.; Leithner, K. PCK2 opposes mitochondrial respiration and maintains the redox balance in starved lung cancer cells. Free Radic. Biol. Med. 2021, 176, 34–45. [Google Scholar] [CrossRef]







| Fermentation Parameters | Low Altitude | High Altitude | p-Value |
|---|---|---|---|
| Acetic acid/(mmol/100 mol) | 52.75 ± 2.16 | 34.04 ± 1.45 | <0.001 |
| Propionic acid/(mmol/100 mol) | 7.48 ± 0.21 | 7.01 ± 0.10 | 0.002 |
| Isobutyric acid/(mmol/100 mol) | 1.43 ± 0.06 | 0.73 ± 0.03 | <0.001 |
| Butyric acid/(mmol/100 mol) | 7.25 ± 0.23 | 3.46 ± 0.16 | <0.001 |
| Isovaleric acid/(mmol/100 mol) | 1.97 ± 0.08 | 0.73 ± 0.02 | <0.001 |
| Valeric acid/(mmol/100 mol) | 0.23 ± 0.02 | 0.23 ± 0.02 | 0.732 |
| Total amount/(mmol/100 mol) | 71.10 ± 2.40 | 46.19 ± 1.51 | <0.001 |
| NH3-N/(mg/100 mL) | 10.10 ± 0.09 | 5.46 ± 0.04 | <0.001 |
| Gene | Primer (5′–3′) | Length/bp | Tm/°C | Login ID |
|---|---|---|---|---|
| β-actin | F: AGCCTTCCTTCCTGGGCATGGA | 113 | 60 | NM_001009784.3 |
| R: GGACAGCACCGTGTTGGCGTAGA | ||||
| FOXO1 | F: GTTGCCCAACCAAAGCTTCC | 98 | 60 | XM_027973596.2 |
| R: TTTAAGTGTAGCCTGCTCGC | ||||
| PCK2 | F: GCGGCTGAACACAAAGGGAA | 84 | 60 | XM_015096868.3 |
| R: AAGGTAGCGCCCAAAGTTGT | ||||
| FBP1 | F: CCAGCTGCTCAACTCGCTTT | 90 | 60 | XM_004004092.5 |
| R: CCAGCTATTCCATAGAGGTGCG | ||||
| G6PC1 | F: GCGGCTGAACACAAAGGGAA | 135 | 60 | XM_012186137.4 |
| R: AAGGTAGCGCCCAAAGTTGT | ||||
| PPARGC1A | F: GATTGGCGTCATTCAGGAGC | 84 | 60 | XM_004009738.5 |
| R: CCAGAGCAGCACACTCGAT |
| Gene | Primer (5′–3′) | Length/bp | Tm/°C | Login ID |
|---|---|---|---|---|
| β-actin | F: AGCCTTCCTTCCTGGGCATGGA | 113 | 60 | NM_001009784.3 |
| R: GGACAGCACCGTGTTGGCGTAGA | ||||
| DRA | F: CTCCAACAACACCCCGAACA | 179 | 60 | NP_001009254.1 |
| R: ACTACCTCACAGTGTCTGCC | ||||
| MCT1 | F: GCCACCACCAGTGAAGTGTC | 138 | 60 | CAC86965.1 |
| R: ACTGCCTGATAAGATGCCACC | ||||
| MCT4 | F: GTTGGGGATGGATGGTCGTA | 185 | 60 | XP_042108082.1 |
| R: CCACCAGCAACAAGGAAAGC | ||||
| AE2 | F: GTGACGGTACCCGGCTTT | 141 | 60 | XP_042105196.1 |
| R: GTCTTCCTCCCCATAGCTGC | ||||
| NHE3 | F: GAGTCCTTCAAGTCCGCCAA | 100 | 60 | XM_042233997.1 |
| R: GAATGCTGCTGTTTCTCCGC |
| Nucleotide | Primer (5′–3′) | Length/bp | Tm/°C | Login ID |
|---|---|---|---|---|
| Bacteria | F: CCTACGGGAGGCAGCAG | 181 | 60 | * |
| R: TTACCGCGGCTGCTGG | ||||
| Ruminococcus flavefaciens | F: CTAATCAGACGCGAGCCCAT | 196 | 60 | LT976286.1 |
| R: ACATGCAAGTCGAACGGAGT | ||||
| Ruminococcus albus | F: GGGCTTAACCCCTGAACTGC | 114 | 60 | X85098.1 |
| R: TCGCCACTGATGTTCCTCCT | ||||
| Fibrobacter succinogenes | F: GATGAGCTTGCGTCCGATT | 110 | 60 | EU606019.1 |
| R: ATTCCCTACTGCTGCCTCC | ||||
| Selenomonas ruminantium | F: TCTTTCGAGCTGTTGTCCCC | 137 | 60 | LT976403.1 |
| R: GGCGTGCTTAACACATGCAA | ||||
| Treponema bryantii | F: GCGGTAAGATTGGTGCTTGC | 74 | 60 | NR_118718.2 |
| R: CACAGAGGTACGTCACCCAC | ||||
| Clostridium butyricum | F: CATTGGGACTGAGACACGGC | 108 | 60 | NR_042144.1 |
| R: AAGACCGTCATCACTCACGC | ||||
| Ruminobacter amylophilus | F: GGGGACAACACCTGGAAACG | 124 | 60 | Y15992.1 |
| R: CTTGGTAGGCCGTTACCCCA | ||||
| Butyrivibrio fibrisolvens | F: GGTGAGTAACGCGTGGGTAA | 132 | 60 | NR_025981.1 |
| R: GACGCGGGTCCATCTCATAC | ||||
| Prevotella | F: AACGCGTATCCAACCTTCCC R: ATTCCACGTCGGATGTCGTC | 93 | 60 | NR_181266.1 |
Disclaimer/Publisher’s Note: The statements, opinions and data contained in all publications are solely those of the individual author(s) and contributor(s) and not of MDPI and/or the editor(s). MDPI and/or the editor(s) disclaim responsibility for any injury to people or property resulting from any ideas, methods, instructions or products referred to in the content. |
© 2024 by the authors. Licensee MDPI, Basel, Switzerland. This article is an open access article distributed under the terms and conditions of the Creative Commons Attribution (CC BY) license (https://creativecommons.org/licenses/by/4.0/).
Share and Cite
Yang, W.; Sha, Y.; Chen, X.; Liu, X.; Wang, F.; Wang, J.; Shao, P.; Chen, Q.; Gao, M.; Huang, W. Effects of the Interaction between Rumen Microbiota Density–VFAs–Hepatic Gluconeogenesis on the Adaptability of Tibetan Sheep to Plateau. Int. J. Mol. Sci. 2024, 25, 6726. https://doi.org/10.3390/ijms25126726
Yang W, Sha Y, Chen X, Liu X, Wang F, Wang J, Shao P, Chen Q, Gao M, Huang W. Effects of the Interaction between Rumen Microbiota Density–VFAs–Hepatic Gluconeogenesis on the Adaptability of Tibetan Sheep to Plateau. International Journal of Molecular Sciences. 2024; 25(12):6726. https://doi.org/10.3390/ijms25126726
Chicago/Turabian StyleYang, Wenxin, Yuzhu Sha, Xiaowei Chen, Xiu Liu, Fanxiong Wang, Jiqing Wang, Pengyang Shao, Qianling Chen, Min Gao, and Wei Huang. 2024. "Effects of the Interaction between Rumen Microbiota Density–VFAs–Hepatic Gluconeogenesis on the Adaptability of Tibetan Sheep to Plateau" International Journal of Molecular Sciences 25, no. 12: 6726. https://doi.org/10.3390/ijms25126726
APA StyleYang, W., Sha, Y., Chen, X., Liu, X., Wang, F., Wang, J., Shao, P., Chen, Q., Gao, M., & Huang, W. (2024). Effects of the Interaction between Rumen Microbiota Density–VFAs–Hepatic Gluconeogenesis on the Adaptability of Tibetan Sheep to Plateau. International Journal of Molecular Sciences, 25(12), 6726. https://doi.org/10.3390/ijms25126726

