Development of Rapid Bioactivity-Expressed Zr-50Ti Alloys by Surface Treatment with Modified Simulated Body Fluid
Abstract
1. Introduction
2. Results
2.1. Surface Roughness of Zr-50Ti Alloys Treated by Various Volume Ratio Sulfuric Acid Solution
2.2. Pore Formation by 3:2 Sulfuric Acid Solution Treatment
2.3. Surface Morphology after Soaking in Various m-SBF
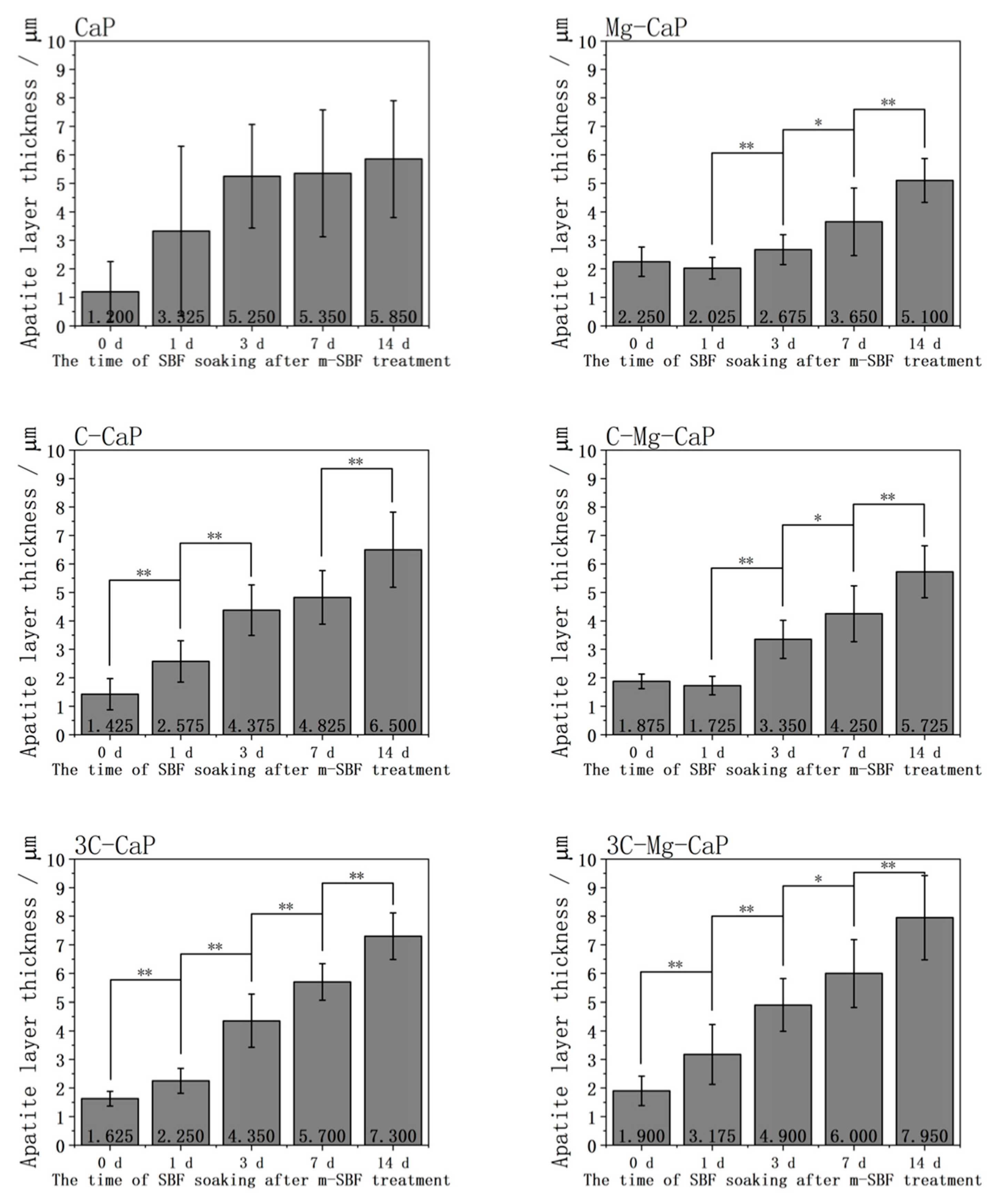
2.4. Surface Morphology after Soaking in Various m-SBF
3. Materials and Methods
3.1. Materials
3.2. Micropore Formation by Sulfuric Acid Treatment
3.3. Measurement of the Zr-50Ti Alloys before and after Sulfuric Acid Treatment
3.4. Preparation of SBF and m-SBF
3.5. m-SBF Treatment
3.6. The Evaluation of Bioactivity
3.7. Measurement of the Thickness of the Apatite Layer
3.8. Measurement of the Element Composition of Apatite by Inductively Coupled Plasma Atomic Emission Spectroscopy (ICP)
3.9. Measurement of the Mechanical Strength
4. Discussion
5. Conclusions
Author Contributions
Funding
Institutional Review Board Statement
Informed Consent Statement
Data Availability Statement
Conflicts of Interest
References
- Nomura, N.; Tanaka, Y.; Suyalatu; Kondo, R.; Doi, H.; Tsutsumi, Y.; Hanawa, T. Effects of Phase Constitution of Zr-Nb Alloys on Their Magnetic Susceptibilities. Mater. Trans. 2009, 50, 2466–2472. [Google Scholar] [CrossRef]
- Cruz, R.S.; Araujo Lemos, C.A.; Fernandes Oliveira, H.F.; De Souza Batista, V.E.; Pellizzer, E.P.; Verri, F.R. Comparison of the Use of Titanium-Zirconium Alloy and Titanium Alloy in Dental Implants: A Systematic Review and Meta-Analysis. J. Oral Implantol. 2018, 44, 305–312. [Google Scholar] [CrossRef] [PubMed]
- Mareci, D.; Trincă, L.C.; Căilean, D.; Souto, R.M. Corrosion Resistance of ZrTi Alloys with Hydroxyapatite-Zirconia-Silver Layer in Simulated Physiological Solution Containing Proteins for Biomaterial Applications. Appl. Surf. Sci. 2016, 389, 1069–1075. [Google Scholar] [CrossRef]
- Shiraishi, T.; Yubuta, K.; Shishido, T.; Shinozaki, N. Elastic Properties of As-Solidified Ti-Zr Binary Alloys for Biomedical Applications. Mater. Trans. 2016, 57, 1986–1992. [Google Scholar] [CrossRef]
- Miyazaki, T.; Hosokawa, T.; Yokoyama, K.; Shiraishi, T. Compositional Dependence of the Apatite Formation Ability of Ti-Zr Alloys Designed for Hard Tissue Reconstruction. J. Mater. Sci. Mater. Med. 2020, 31, 110. [Google Scholar] [CrossRef] [PubMed]
- Demnati, I.; Grossin, D.; Combes, C.; Rey, C. Plasma-Sprayed Apatite Coatings: Review of Physical-Chemical Characteristics and Their Biological Consequences. J. Med. Biol. Eng. 2014, 34, 1–7. [Google Scholar] [CrossRef]
- Boccaccini, A.R.; Keim, S.; Ma, R.; Li, Y.; Zhitomirsky, I. Electrophoretic Deposition of Biomaterials. J. R. Soc. Interface 2010, 7 (Suppl. S5), S581–S613. [Google Scholar] [CrossRef] [PubMed]
- Harun, W.S.W.; Asri, R.I.M.; Alias, J.; Zulkifli, F.H.; Kadirgama, K.; Ghani, S.A.C.; Shariffuddin, J.H.M. A Comprehensive Review of Hydroxyapatite-Based Coatings Adhesion on Metallic Biomaterials. Ceram. Int. 2018, 44, 1250–1268. [Google Scholar] [CrossRef]
- Kim, H.M.; Miyaji, F.; Kokubo, T.; Nakamura, T. Effect of Heat Treatment on Apatite-Forming Ability of Ti Metal Induced by Alkali Treatment. J. Mater. Sci. Mater. Med. 1997, 8, 341–347. [Google Scholar] [CrossRef] [PubMed]
- Kokubo, T.; Takadama, H. How Useful Is SBF in Predicting in Vivo Bone Bioactivity? Biomaterials 2006, 27, 2907–2915. [Google Scholar] [CrossRef] [PubMed]
- Yao, T.; Hibino, M.; Yamaguchi, S.; Okada, H.U.S. Method for Stabilizing Calcium Phosphate Fine Particles, Process for Production of Calcium Phosphate Fine Particles by Utilizing the Method, and Use Thereof. U.S. Patent 8178066; Japanese Patent 5261712, 15 May 2012. [Google Scholar]
- Yabutsuka, T.; Kidokoro, Y.; Takai, S. Improvement of Hydroxyapatite Formation Ability of Titanium-Based Alloys by Combination of Acid Etching and Apatite Nuclei Precipitation. IET Nanobiotechnol. 2020, 14, 688–694. [Google Scholar] [CrossRef] [PubMed]
- Yamane, Y.; Yabutsuka, T.; Takaoka, Y.; Ishizaki, C.; Takai, S.; Fujibayashi, S. Surface Modification of Carbon Fiber-Polyetheretherketone Composite to Impart Bioactivity by Using Apatite Nuclei. Materials 2021, 14, 6691. [Google Scholar] [CrossRef] [PubMed]
- Hashimoto, N.; Yabutsuka, T.; Takai, S. Development of Bioactive Zirconium–Tin Alloy by Combination of Micropores Formation and Apatite Nuclei Deposition. IET Nanobiotechnol. 2020, 14, 701–706. [Google Scholar] [CrossRef] [PubMed]
- Miyazaki, T.; Ota, S.; Nakamura, J. Enhancement of Apatite Formation on Ti-50Zr Alloy in Simulated Body Environment. Dent. Mater. J. 2023, 42, 390–395. [Google Scholar] [CrossRef] [PubMed]
- ISO/CD 23317Implants for Surgery—In Vitro Evaluation for Apatite-Forming Ability of Implant Materials, ISO: Geneva, Switzerland, 2014.
- Lacefield, W.R. Hydroxylapatite Coatings. In An Introduction to Bioceramics; Hench, L.L., Wilson, J., Eds.; World Scientific: Singapore, 1993; pp. 223–238. [Google Scholar]
- Ban, S.; Iwaya, Y.; Kono, H.; Sato, H. Surface Modification of Titanium by Etching in Concentrated Sulfuric Acid. Dent. Mater. 2006, 22, 1115–1120. [Google Scholar] [CrossRef] [PubMed]
- Termine, J.D.; Peckauskas, R.A.; Posner, A.S. Calcium Phosphate Formation in Vitro. II. Effects of Environment on Amorphous-Crystalline Transformation. Arch. Biochem. Biophys. 1970, 140, 318–325. [Google Scholar] [CrossRef] [PubMed]
- Christoffersen, J.; Christoffersen, M.R.; Kibalczyc, W.; Andersen, F.A. A Contribution to the Understanding of the Formation of Calcium Phosphates. J. Cryst. Growth 1989, 94, 767–777. [Google Scholar] [CrossRef]
- Ding, H.; Pan, H.; Xu, X.; Tang, R. Toward a Detailed Understanding of Magnesium Ions on Hydroxyapatite Crystallization Inhibition. Cryst. Growth Des. 2014, 14, 763–769. [Google Scholar] [CrossRef]
- West, V.C. Observations on Phase Transformation of a Precipitated Calcium Phosphate. Calcif. Tissue Res. 1971, 7, 212–219. [Google Scholar] [CrossRef] [PubMed]
- Boskey, A.L.; Posner, A.S. Magnesium stabilization ob amorphous calcium phosphate: A kinetic study. Mater. Res. Bull. 1974, 9, 907–916. [Google Scholar] [CrossRef]
- Habraken, W.J.E.M.; Tao, J.; Brylka, L.J.; Friedrich, H.; Bertinetti, L.; Schenk, A.S.; Verch, A.; Dmitrovic, V.; Bomans, P.H.H.; Frederik, P.M.; et al. Ion-Association Complexes Unite Classical and Non-Classical Theories for the Biomimetic Nucleation of Calcium Phosphate. Nat. Commun. 2013, 4, 1507. [Google Scholar] [CrossRef] [PubMed]
- De Rooij, J.F.; Heughebaert, J.C.; Nancollas, G.H. A Ph Study of Calcium Phosphate Seeded Precipitation. J. Colloid Interface Sci. 1984, 100, 350–358. [Google Scholar] [CrossRef]
- Müller, L.; Müller, F.A. Preparation of SBF with Different HCO3− Content and Its Influence on the Composition of Biomimetic Apatites. Acta Biomater. 2006, 2, 181–189. [Google Scholar] [CrossRef]
- Kokubo, T.; Kim, H.M.; Kawashita, M. Novel Bioactive Materials with Different Mechanical Properties. Biomaterials 2003, 24, 2161–2175. [Google Scholar] [CrossRef] [PubMed]
- Chen, X.; Nouri, A.; Li, Y.; Lin, J.; Hodgson, P.D.; Wen, C. Effect of Surface Roughness of Ti, Zr, and TiZr on Apatite Precipitation from Simulated Body Fluid. Biotechnol. Bioeng. 2008, 101, 378–387. [Google Scholar] [CrossRef] [PubMed]
- Ishizaki, C.; Yabutsuka, T.; Takai, S. Development of Apatite Nuclei Precipitated Carbon Nanotube-Polyether Ether Ketone Composite with Biological and Electrical Properties. Coatings 2020, 10, 191. [Google Scholar] [CrossRef]
- Qu, H.; Wei, M. Improvement of Bonding Strength between Biomimetic Apatite Coating and Substrate. J. Biomed. Mater. Res.—Part B Appl. Biomater. 2008, 84, 436–443. [Google Scholar] [CrossRef] [PubMed]
- Ullah, I.; Xu, Q.; Jan, H.U.; Ren, L.; Yang, K. Effects of Strontium and Zinc Substituted Plasma Sprayed Hydroxyapatite Coating on Bone-like Apatite Layer Formation and Cell-Material Interaction. Mater. Chem. Phys. 2022, 275, 125219. [Google Scholar] [CrossRef]
- Zang, M.; Li, L.; Sun, X.; Niu, Z.; Bai, X.; Liu, X. Characterization, Mechanical Properties, Corrosion Behavior and Bone-like Apatite Formation Ability of Fluorine Substituted Hydroxyapatite Coating. J. Mech. Behav. Biomed. Mater. 2024, 151, 106364. [Google Scholar] [CrossRef] [PubMed]
CaP | Mg-CaP | C-Mg-CaP | C-CaP | 3C-CaP | 3C-Mg-CaP | |
---|---|---|---|---|---|---|
Ca/P | 1.47 ± 0.163 | 1.75 ± 0.104 | 2.23 ± 0181 | 1.97 ± 0.063 | 2.10 ± 0.048 | 1.97 ± 0.068 |
(Ca + Mg)/P | - | 1.86 ± 0.110 | 2.35 ± 0.189 | - | - | 2.05 ± 0.074 |
Ion Concentration (mM) | ||||||||
---|---|---|---|---|---|---|---|---|
Blood Plasma | SBF | CaP m-SBF | C-CaP m-SBF | 3C-CaP m-SBF | Mg-CaP m-SBF | C-Mg-CaP m-SBF | 3C-Mg-CaP m-SBF | |
Na+ | 142.0 | 142.0 | 0.0 | 4.2 | 12.5 | 0.0 | 4.2 | 12.5 |
K+ | 5.0 | 5.0 | 2.0 | 2.0 | 2.0 | 2.0 | 2.0 | 2.0 |
Mg2+ | 1.5 | 1.5 | 0.0 | 0.0 | 0.0 | 1.5 | 1.5 | 1.5 |
Ca2+ | 2.5 | 2.5 | 2.5 | 2.5 | 2.5 | 2.5 | 2.5 | 2.5 |
Cl− | 103.0 | 147.8 | 5.0 | 5.0 | 5.0 | 8.0 | 8.0 | 8.0 |
HCO3− | 27.0 | 4.2 | 0.0 | 4.2 | 12.5 | 0.0 | 4.2 | 12.5 |
HPO42− | 1.0 | 1.0 | 1.0 | 1.0 | 1.0 | 1.0 | 1.0 | 1.0 |
SO42− | 0.5 | 0.5 | 0.0 | 0.0 | 0.0 | 0.0 | 0.0 | 0.0 |
pH | 7.2–7.4 | 7.4 | 8.2 | 8.2 | 8.2 | 8.2 | 8.2 | 8.2 |
Temp. (°C) | 36.5 | 36.5 | 25.0 | 25.0 | 25.0 | 25.0 | 25.0 | 25.0 |
Disclaimer/Publisher’s Note: The statements, opinions and data contained in all publications are solely those of the individual author(s) and contributor(s) and not of MDPI and/or the editor(s). MDPI and/or the editor(s) disclaim responsibility for any injury to people or property resulting from any ideas, methods, instructions or products referred to in the content. |
© 2024 by the authors. Licensee MDPI, Basel, Switzerland. This article is an open access article distributed under the terms and conditions of the Creative Commons Attribution (CC BY) license (https://creativecommons.org/licenses/by/4.0/).
Share and Cite
Wu, Y.; Takai, S.; Yabutsuka, T. Development of Rapid Bioactivity-Expressed Zr-50Ti Alloys by Surface Treatment with Modified Simulated Body Fluid. Int. J. Mol. Sci. 2024, 25, 6587. https://doi.org/10.3390/ijms25126587
Wu Y, Takai S, Yabutsuka T. Development of Rapid Bioactivity-Expressed Zr-50Ti Alloys by Surface Treatment with Modified Simulated Body Fluid. International Journal of Molecular Sciences. 2024; 25(12):6587. https://doi.org/10.3390/ijms25126587
Chicago/Turabian StyleWu, Yuwei, Shigeomi Takai, and Takeshi Yabutsuka. 2024. "Development of Rapid Bioactivity-Expressed Zr-50Ti Alloys by Surface Treatment with Modified Simulated Body Fluid" International Journal of Molecular Sciences 25, no. 12: 6587. https://doi.org/10.3390/ijms25126587
APA StyleWu, Y., Takai, S., & Yabutsuka, T. (2024). Development of Rapid Bioactivity-Expressed Zr-50Ti Alloys by Surface Treatment with Modified Simulated Body Fluid. International Journal of Molecular Sciences, 25(12), 6587. https://doi.org/10.3390/ijms25126587