Dithioethanol (DTE)-Conjugated Deoxyribose Cyclic Dinucleotide Prodrugs (DTE-dCDNs) as STING Agonist
Abstract
:1. Introduction
2. Results and Discussion
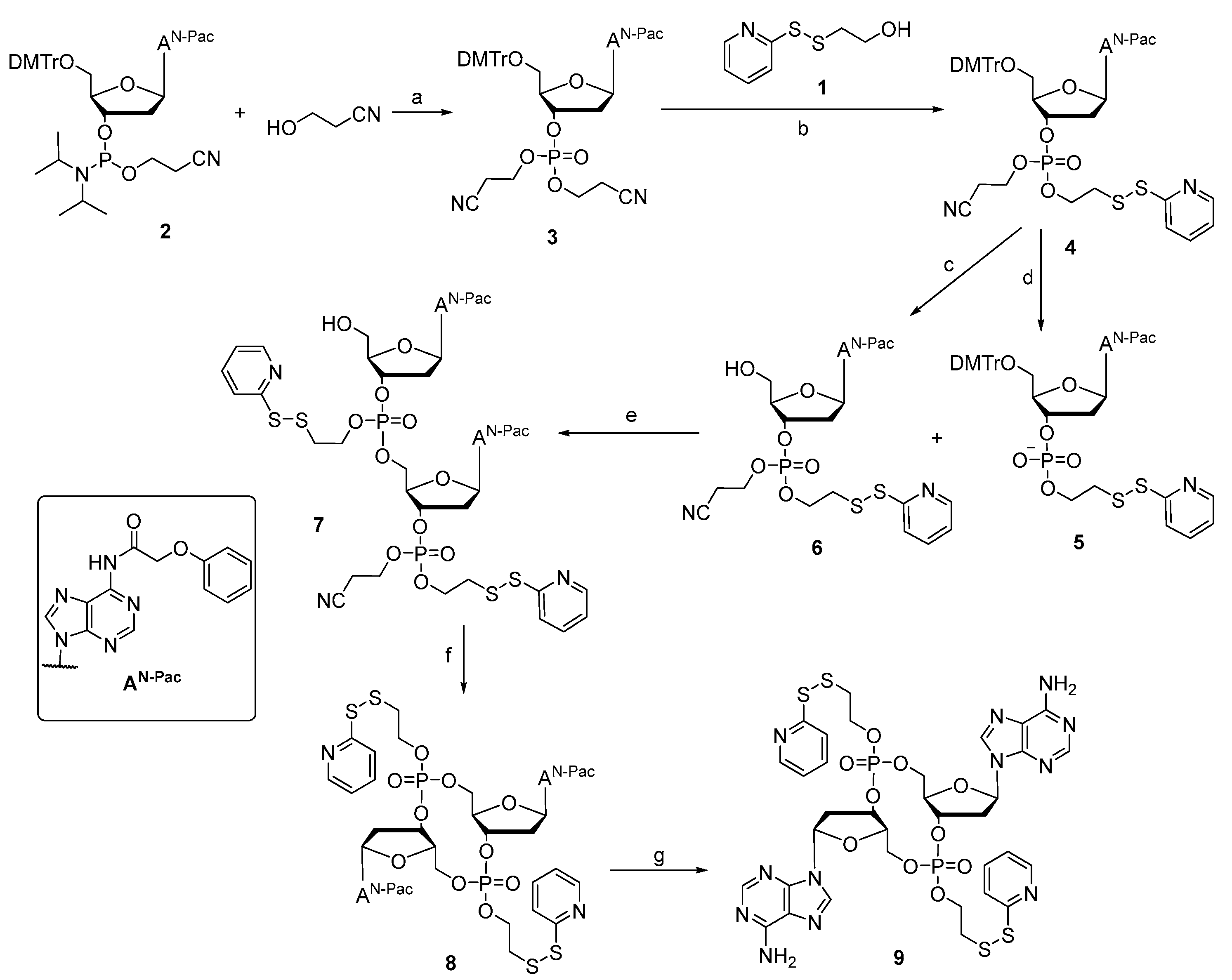
2.1. Synthesis of Prodrug 9
2.2. Fast Uptake of DTE-dCDN Prodrug into THP-1 Cells
2.3. DTE-dCDN Prodrug Showed Reduction-Dependent Release of Parent dCDN
2.4. Parent dCDN of DTE-dCDN Prodrug 9 Exhibited the Improved Serum Stability
2.5. DTE-dCDN Prodrug 9 Maintained High Bioactivity in THP1-Lucia Cells
2.6. Prodrug 9 Relied on STING-Dependent Signal Transduction for the IFN-β Activation
2.7. Prodrug 9 Stimulated the Production of Type I Interferons and Proinflammatory Cytokines in THP-1 Cells
2.8. Cell Viability of Prodrug 9 in THP-1 Cells and HEK293T Cells
2.9. Western Blot Analysis of STING Downstream Signaling Pathways in THP-1 Cells
3. Materials and Methods
3.1. Chemistry
3.2. Biological Evaluation
4. Conclusions
5. Patents
Supplementary Materials
Author Contributions
Funding
Institutional Review Board Statement
Informed Consent Statement
Data Availability Statement
Acknowledgments
Conflicts of Interest
References
- Corrales, L.; Spranger, S.; Furdyna, M.J.; Leung, M.Y.; Duggan, R.; Wang, Y.; Barber, G.N.; Fitzgerald, K.A.; Alegre, M.L.; Gajewski, T.F. STING-dependent cytosolic DNA sensing mediates innate immune recognition of immunogenic tumors. Immunity 2014, 41, 830–842. [Google Scholar]
- Klarquist, J.; Hennies, C.M.; Lehn, M.A.; Reboulet, R.A.; Feau, S.; Janssen, E.M. STING-mediated DNA sensing promotes antitumor and autoimmune responses to dying cells. J. Immunol. 2014, 193, 6124–6134. [Google Scholar] [CrossRef] [PubMed]
- Tsuchiya, Y.; Jounai, N.; Takeshita, F.; Ishii, K.J.; Mizuguchi, K. Ligand-Induced Ordering of the C-Terminal Tail Primes STING for Phosphorylation by TBK1. EBioMedicine 2016, 9, 87–96. [Google Scholar] [CrossRef] [PubMed]
- Abe, T.; Barber, G.N. Cytosolic-DNA-mediated, STINGdependent proinflammatory gene induction necessitates canonical NF-kappaB activation through TBK1. J. Virol. 2014, 88, 5328–5341. [Google Scholar] [CrossRef] [PubMed]
- Diamond, M.S.; Kinder, M.; Matsushita, H.; Mashayekhi, M.; Dunn, G.P.; Archambault, J.M.; Lee, H.; Arthur, C.D.; White, J.M.; Kalinke, U.; et al. Type I interferon is selectively required by dendritic cells for immune rejection of tumors. J. Exp. Med. 2011, 208, 1989–2003. [Google Scholar] [CrossRef] [PubMed]
- Fuertes, M.B.; Kacha, A.K.; Kline, J.; Woo, S.R.; Kranz, D.M.; Murphy, K.M.; Gajewski, T.F. Host type I IFN signals are required for antitumor CD8+ T cell responses through CD8α+ dendritic cells. J. Exp. Med. 2011, 208, 2005–2016. [Google Scholar] [CrossRef] [PubMed]
- Barber, G.N. STING: Infection, inflammation and cancer. Nat. Rev. Immunol. 2015, 15, 760–770. [Google Scholar] [CrossRef] [PubMed]
- Li, T.; Chen, Z.J. The cGAS-cGAMP-STING pathway connects DNA damage to inflammation, senescence, and cancer. J. Exp. Med. 2018, 215, 1287–1299. [Google Scholar] [CrossRef]
- Li, X.D.; Wu, J.; Gao, D.; Wang, H.; Sun, L.; Chen, Z.J. Pivotal roles of cGAS-cGAMP signaling in antiviral defense and immune adjuvant effects. Science 2013, 341, 1390–1394. [Google Scholar] [CrossRef]
- Gogoi, H.; Mansouri, S.; Jin, L. The age of cyclic dinucleotide vaccine adjuvants. Vaccines 2020, 8, 453. [Google Scholar] [CrossRef]
- Zhang, H.; You, Q.D.; Xu, X.L. Targeting stimulator of interferon genes (STING): A medicinal chemistry perspective. J. Med. Chem. 2020, 63, 3785–3816. [Google Scholar] [CrossRef] [PubMed]
- Wang, Z.H.; Xi, Z. Chemical evolution of cyclic dinucleotides: Perspective of the analogs and their preparation. Tetrahedron 2021, 87, 132096. [Google Scholar] [CrossRef]
- Garland, K.M.; Sheehy, T.L.; Wilson, J.T. Chemical and biomolecular strategies for STING pathway activation in cancer immunotherapy. Chem. Rev. 2022, 122, 5977–6039. [Google Scholar] [CrossRef] [PubMed]
- Corrales, L.; Glickman, L.H.; McWhirter, S.M.; Kanne, D.B.; Sivick, K.E.; Katibah, G.E.; Woo, S.R.; Lemmens, E.; Banda, T.; Leong, J.J.; et al. Direct activation of STING in the tumor microenvironment leads to potent and systemic tumor regression and immunity. Cell Rep. 2015, 11, 1018–1030. [Google Scholar] [CrossRef] [PubMed]
- Wang, Z.H.; Zhao, C.C.; Zhang, Q.Z.; Wang, C.L.; Zhang, H.; Ma, D.J.; Wang, D.W.; Wen, X.; Li, L.Y.; Xi, Z. Design, synthesis and systematic evaluation of all possible cyclic dinucleotides (CDNs) that activate human stimulator of interferon genes (STING) variants. Sci. China Chem. 2020, 63, 534–545. [Google Scholar] [CrossRef]
- Wang, Z.H.; Zhao, C.C.; Wang, C.L.; Zhang, H.; Ma, D.J.; Zhang, Q.Z.; Wen, X.; Li, L.Y.; Xi, Z. Synthesis and biological evaluation of all possible inosine-mixed cyclic dinucleotides that activate different hSTING variants. Bioorg. Med. Chem. 2021, 29, 115899. [Google Scholar] [CrossRef] [PubMed]
- Luteijn, R.D.; Zaver, S.A.; Gowen, B.G.; Wyman, S.K.; Garelis, N.E.; Onia, L.; McWhirter, S.M.; Katibah, G.E.; Corn, J.E.; Woodward, J.J.; et al. SLC19A1 transports immunoreactive cyclic dinucleotides. Nature 2019, 573, 434–438. [Google Scholar] [CrossRef] [PubMed]
- Hecker, S.J.; Erion, M.D. Prodrugs of phosphates and phosphonates. J. Med. Chem. 2008, 51, 2328–2345. [Google Scholar] [CrossRef]
- Pradere, U.; Garnier-Amblard, E.C.; Coats, S.J.; Amblard, F.; Schinazi, R.F. Synthesis of nucleoside phosphate and phosphonate prodrugs. Chem. Rev. 2014, 114, 9154–9218. [Google Scholar] [CrossRef]
- Pimkova Polidarova, M.; Brehova, P.; Kaiser, M.M.; Smola, M.; Dracinsky, M.; Smith, J.; Marek, A.; Dejmek, M.; Sala, M.; Gutten, O.; et al. Synthesis and biological evaluation of phosphoester and phosphorothioate prodrugs of STING agonist 3′,3′-c-Di(2′F,2′dAMP). J. Med. Chem. 2021, 64, 7596–7616. [Google Scholar] [CrossRef]
- Xie, Z.Q.; Lu, L.Q.; Wang, Z.H.; Luo, Q.H.; Yang, Y.C.; Fang, T.; Chen, Z.Y.; Ma, D.J.; Quan, J.M.; Xi, Z. S-acylthioalkyl ester (SATE)-based prodrugs of deoxyribose cyclic dinucleotides (dCDNs) as the STING agonist for antitumor immunotherapy. Eur. J. Med. Chem. 2022, 243, 114796. [Google Scholar] [CrossRef]
- Salzano, G.; Costa, D.F.; Sarisozen, C.; Luther, E.; Mattheolabakis, G.; Dhargalkar, P.P.; Torchilin, V.P. Mixed Nanosized Polymeric Micelles as Promoter of Doxorubicin and miRNA-34a Co-Delivery Triggered by Dual Stimuli in Tumor Tissue. Small 2016, 12, 4837–4848. [Google Scholar] [CrossRef]
- Wang, Y.Q.; Wang, X.; Deng, F.Y.; Zheng, N.; Liang, Y.; Zhang, H.; He, B.; Dai, W.B.; Wang, X.Q.; Zhang, Q. The effect of linkers on the self-assembling and anti-tumor efficacy of disulfide-linked doxorubicin drug-drug conjugate nanoparticles. J. Control. Release 2018, 279, 136–146. [Google Scholar] [CrossRef]
- Sun, B.J.; Luo, C.; Han, Y.; Zhang, X.B.; Chen, Q.; Yang, W.Q.; Wang, M.L.; Kan, Q.M.; Zhang, H.T.; Wang, Y.J.; et al. Disulfide bond-driven oxidation-and reduction-responsive prodrug nanoassemblies for cancer therapy. Nano Lett. 2018, 18, 3643–3650. [Google Scholar] [CrossRef]
- Luo, C.; Sun, J.; Liu, D.; Sun, B.J.; Miao, L.; Musetti, S.; Li, J.; Han, X.P.; Du, Y.Q.; Li, L.; et al. Self-assembled redox dual-responsive prodrug-nanosystem formed by single thioether-bridged pacli-taxel-fatty acid conjugate for cancer chemotherapy. Nano Lett. 2016, 16, 5401–5408. [Google Scholar] [CrossRef]
- Haag, S.M.; Gulen, M.F.; Reymond, L.; Gibelin, A.; Abrami, L.; Decout, A.; Heymann, M.; van der Goot, F.G.; Turcatti, G.; Behrendt, R.; et al. Targeting STING with covalent small-molecule inhibitors. Nature 2018, 559, 269–273. [Google Scholar] [CrossRef]
- Clark, K.; Plater, L.; Peggie, M.; Cohen, P. Use of the Pharmacological Inhibitor BX795 to Study the Regulation and Physiological Roles of TBK1 and IκB Kinase ϵ: A distinct upstream kinase mediates Ser-172 phosphorylation and activation. J. Biol. Chem. 2009, 284, 14136–14146. [Google Scholar] [CrossRef]
- Liu, Y.; Jesus, A.A.; Marrero, B.; Yang, D.; Ramsey, S.E.; Sanchez, G.A.M.; Tenbrock, K.; Wittkowski, H.; Jones, O.Y.; Kuehn, H.S.; et al. Activated STING in a vascular and pulmonary syndrome. N. Engl. J. Med. 2014, 371, 507–518. [Google Scholar] [CrossRef]
- Deng, L.; Liang, H.; Xu, M.; Yang, X.; Burnette, B.; Arina, A.; Li, X.D.; Mauceri, H.; Beckett, M.; Darga, T.; et al. STING-dependent cytosolic DNA sensing promotes radiation-induced type I interferon-dependent antitumor immunity in immunogenic tumors. Immunity 2014, 41, 843–852. [Google Scholar] [CrossRef]










Disclaimer/Publisher’s Note: The statements, opinions and data contained in all publications are solely those of the individual author(s) and contributor(s) and not of MDPI and/or the editor(s). MDPI and/or the editor(s) disclaim responsibility for any injury to people or property resulting from any ideas, methods, instructions or products referred to in the content. |
© 2023 by the authors. Licensee MDPI, Basel, Switzerland. This article is an open access article distributed under the terms and conditions of the Creative Commons Attribution (CC BY) license (https://creativecommons.org/licenses/by/4.0/).
Share and Cite
Xie, Z.; Yang, Y.; Wang, Z.; Ma, D.; Xi, Z. Dithioethanol (DTE)-Conjugated Deoxyribose Cyclic Dinucleotide Prodrugs (DTE-dCDNs) as STING Agonist. Int. J. Mol. Sci. 2024, 25, 86. https://doi.org/10.3390/ijms25010086
Xie Z, Yang Y, Wang Z, Ma D, Xi Z. Dithioethanol (DTE)-Conjugated Deoxyribose Cyclic Dinucleotide Prodrugs (DTE-dCDNs) as STING Agonist. International Journal of Molecular Sciences. 2024; 25(1):86. https://doi.org/10.3390/ijms25010086
Chicago/Turabian StyleXie, Zhiqiang, Yuchen Yang, Zhenghua Wang, Dejun Ma, and Zhen Xi. 2024. "Dithioethanol (DTE)-Conjugated Deoxyribose Cyclic Dinucleotide Prodrugs (DTE-dCDNs) as STING Agonist" International Journal of Molecular Sciences 25, no. 1: 86. https://doi.org/10.3390/ijms25010086
APA StyleXie, Z., Yang, Y., Wang, Z., Ma, D., & Xi, Z. (2024). Dithioethanol (DTE)-Conjugated Deoxyribose Cyclic Dinucleotide Prodrugs (DTE-dCDNs) as STING Agonist. International Journal of Molecular Sciences, 25(1), 86. https://doi.org/10.3390/ijms25010086

