Genome-Wide Identification and Expression Analysis of Chitinase Genes in Watermelon under Abiotic Stimuli and Fusarium oxysporum Infection
Abstract
1. Introduction
2. Results
2.1. Genome-Wide Identification and Synteny Analysis of the ClChi Genes
2.2. Phylogenetic and Conserved Domain Analysis of the ClChi Genes
2.3. Structural Feature and the Prediction of cis-Acting Regulatory Elements of the ClChi Genes
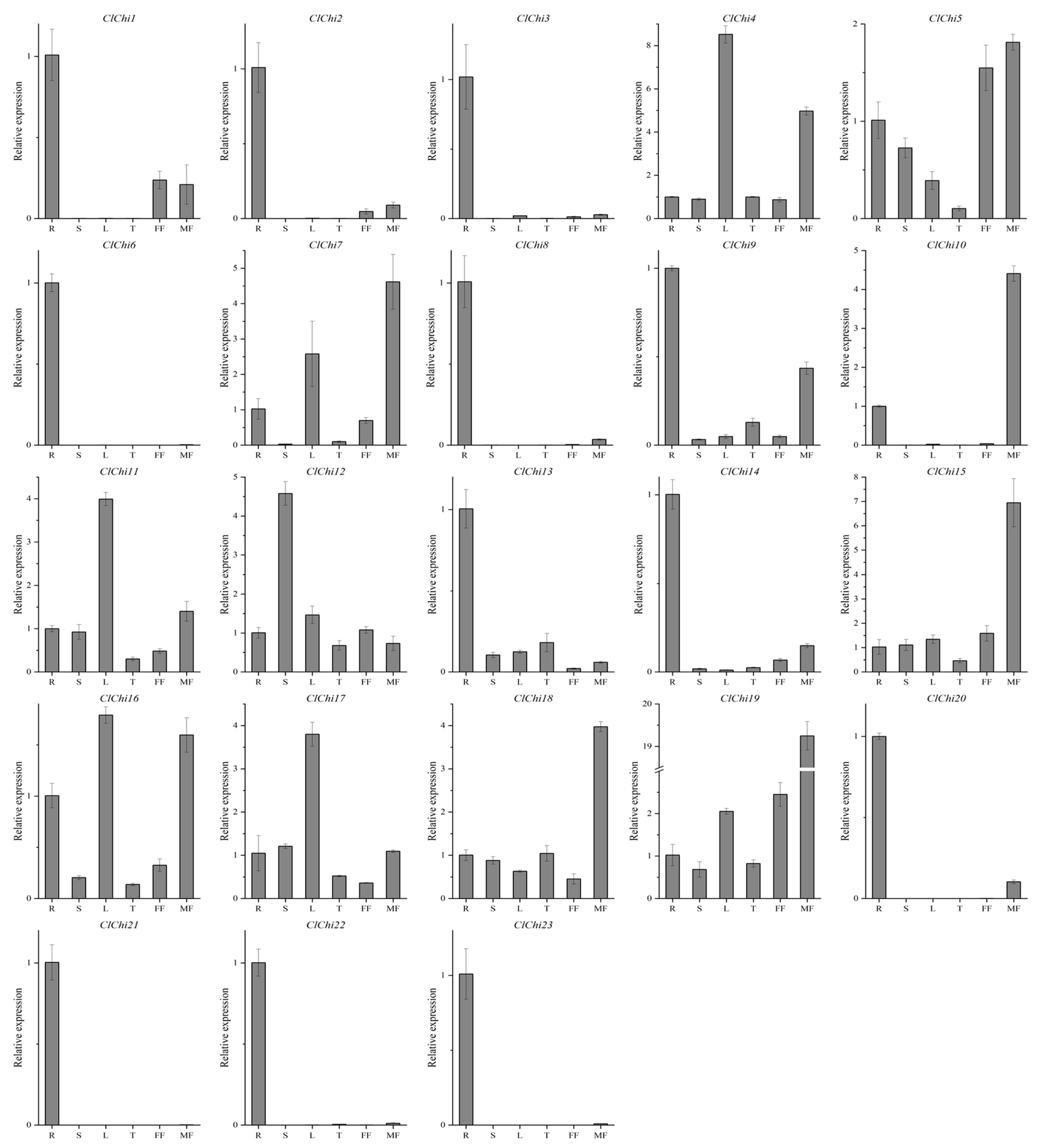
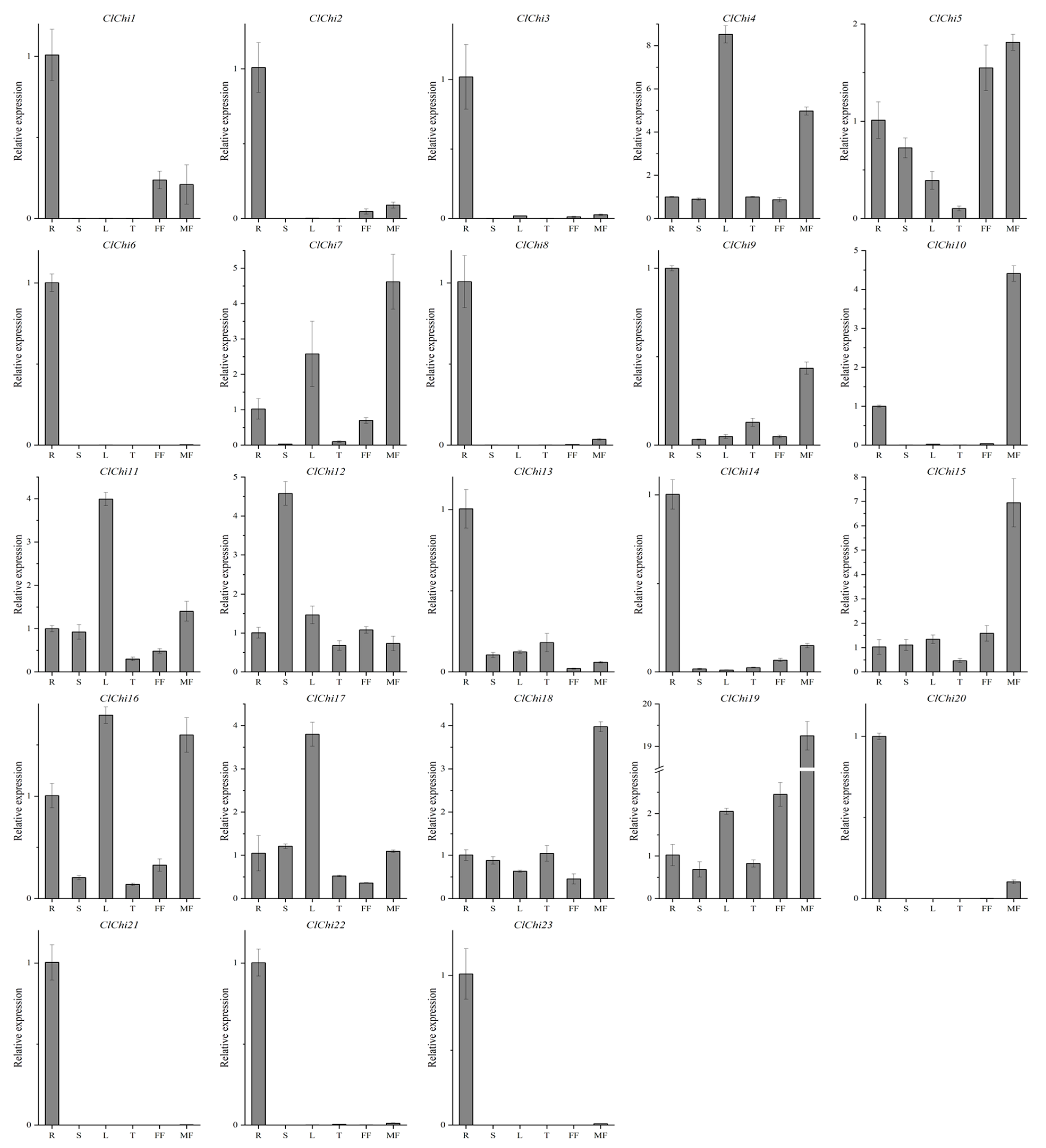
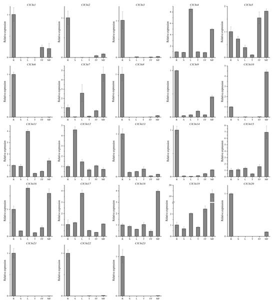
2.4. Profiles of the Expression of the ClChi Genes in Different Tissues
2.5. Patterns of Expression of the ClChi Genes under Abiotic Stresses
2.6. Patterns of Expression of the ClChi Genes under Hormone Treatments
2.7. Patterns of Expression of the ClChi Genes in Response to Infection with Fon
3. Discussion
4. Materials and Methods
4.1. Identification and Confirmation of the Domain of ClChis
4.2. Chromosomal Location, Synteny, Gene Structure, Protein Properties, cis-Regulatory Elements, and Phylogenetic Analysis of the ClChis
4.3. Plant Material and Abiotic Stresses Treatments
4.4. Preparation and Inoculation of the Fungal Inoculum
4.5. RNA Extraction and qRT-PCR Analysis
5. Conclusions
Supplementary Materials
Author Contributions
Funding
Institutional Review Board Statement
Informed Consent Statement
Data Availability Statement
Acknowledgments
Conflicts of Interest
Abbreviations
| SAR | systemic acquired resistance |
| HR | hypersensitive response |
| ETI | Effector-triggered immunity |
| PAMP | plant pathogens-associated molecular pattern |
| PTI | PAMP-triggered immunity |
| RP proteins | pathogenesis-related proteins |
| ABA | abscisic acid |
| ETH | ethylene |
| MeJA | methyl jasmonate |
| SA | salicylic acid |
| htp | hour post treatment |
| dtp | day post treatment |
References
- Pareek, N.; Vivekanand, V.; Singh, R.P. Chitin Deacetylase: Characteristic Molecular Features and Functional Aspects. In Advances in Enzyme Biotechnology; Springer: New Delhi, India, 2013; pp. 125–136. [Google Scholar]
- Huang, Q.S.; Xie, X.L.; Liang, G.; Gong, F.; Wang, Y.; Wei, X.Q.; Wang, Q.; Ji, Z.L.; Chen, Q.X. The GH18 family of chitinases: Their domain architectures, functions and evolutions. Glycobiology 2012, 22, 23–34. [Google Scholar] [CrossRef]
- Cheng, H.; Shao, Z.; Lu, C.; Duan, D. Genome-wide identification of chitinase genes in Thalassiosira pseudonana and analysis of their expression under abiotic stresses. BMC Plant Biol. 2021, 21, 87. [Google Scholar] [CrossRef] [PubMed]
- Veliz, E.A.; Martinez-Hidalgo, P.; Hirsch, A.M. Chitinase-producing bacteria and their role in biocontrol. AIMS Microbiol. 2017, 3, 689–705. [Google Scholar] [CrossRef] [PubMed]
- Hamid, R.; Khan, M.A.; Ahmad, M.; Ahmad, M.M.; Abdin, M.Z.; Musarrat, J.; Javed, S. Chitinases: An update. J. Pharm. Bioallied. Sci. 2013, 5, 21–29. [Google Scholar] [PubMed]
- Bartholomew, E.S.; Black, K.; Feng, Z.; Liu, W.; Shan, N.; Zhang, X.; Wu, L.; Bailey, L.; Zhu, N.; Qi, C.; et al. Comprehensive analysis of the chitinase gene family in cucumber (Cucumis sativus L.): From gene identification and evolution to expression in response to Fusarium oxysporum. Int. J. Mol. Sci. 2019, 20, 5309. [Google Scholar] [CrossRef] [PubMed]
- Xu, J.; Xu, X.; Tian, L.; Wang, G.; Zhang, X.; Wang, X.; Guo, W. Discovery and identification of candidate genes from the chitinase gene family for Verticillium dahliae resistance in cotton. Sci. Rep. 2016, 6, 29022. [Google Scholar] [CrossRef]
- Arakane, Y.; Muthukrishnan, S. Insect chitinase and chitinase-like proteins. Cell Mol. Life Sci. 2009, 67, 201–216. [Google Scholar] [CrossRef]
- Oliveira, S.T.; Azevedo, M.I.G.; Cunha, R.M.S.; Silva, C.F.B.; Muniz, C.R.; Monteiro-Júnior, J.E.; Carneiro, R.F.; Nagano, C.S.; Girão, M.S.; Freitas, C.D.T.; et al. Structural and functional features of a class VI chitinase from cashew (Anacardium occidentale L.) with antifungal properties. Phytochemistry 2020, 180, 112527–112539. [Google Scholar] [CrossRef]
- Grover, A. Plant Chitinases: Genetic Diversity and Physiological Roles. Crit. Rev. Plant Sci. 2012, 31, 57–73. [Google Scholar] [CrossRef]
- Passarinho, P.A.; de Vries, S.C. Arabidopsis chitinases: A genomic survey. Arab. Book 2002, 1, e0023–e0047. [Google Scholar] [CrossRef]
- Yu, R.R.; Liu, W.M.; Zhao, X.M.; Zhang, M.; Li, D.Q.; Zuber, R.; Ma, E.B.; Zhu, K.Y.; Moussian, B.; Zhang, J.Z. LmCDA1 organizes the cuticle by chitin deacetylation in Locusta migratoria. Insect Mol. Biol. 2019, 28, 301–312. [Google Scholar] [CrossRef] [PubMed]
- Yokoyama, R.; Nishitani, K. Genomic basis for cell-wall diversity in plants. A comparative approach to gene families in rice and Arabidopsis. Plant Cell Physiol. 2004, 45, 1111–1121. [Google Scholar] [PubMed]
- Hawkins, L.K.; Mylroie, J.E.; Oliveira, D.A.; Smith, J.S.; Ozkan, S.; Windham, G.L.; Williams, W.P.; Warburton, M.L. Characterization of the maize chitinase genes and their effect on Aspergillus flavus and aflatoxin accumulation resistance. PLoS ONE 2015, 10, e0126185–e0126206. [Google Scholar] [CrossRef] [PubMed]
- Ratnavathi, C.V.; Sashidhar, R.B. Induction of chitinase in response to Aspergillus infection in sorghum (Sorghum bicolor (L.) Moench). J. Sci. Food Agric. 2004, 84, 1521–1527. [Google Scholar] [CrossRef]
- Lv, P.; Zhang, C.; Xie, P.; Yang, X.; El-Sheikh, M.A.; Hefft, D.I.; Ahmad, P.; Zhao, T.; Bhat, J.A. Genome-wide identification and expression analyses of the chitinase gene family in response to white mold and drought stress in soybean (Glycine max). Life 2022, 12, 1340. [Google Scholar] [CrossRef]
- Chang, Y.M.; Chen, L.C.; Wang, H.Y.; Chiang, C.L.; Chang, C.T.; Chung, Y.C. Characterization of an acidic chitinase from seeds of black soybean (Glycine max (L.) Merr Tainan No. 3). PLoS ONE 2014, 9, e113596–e113610. [Google Scholar] [CrossRef]
- Hlinková, E.; Bobák, M.; Illéš, P. Chitinases and endoglucanases synthesized in the infected barley leaves in the powdery mildew period sporulation. Plant Prot. Sci. 2002, 38, 469–473. [Google Scholar] [CrossRef]
- Zhu, M.; Lu, S.; Zhuang, M.; Zhang, Y.; Lv, H.; Ji, J.; Hou, X.; Fang, Z.; Wang, Y.; Yang, L. Genome-wide identification and expression analysis of the Brassica oleracea L. chitin-binding genes and response to pathogens infections. Planta 2021, 253, 80–93. [Google Scholar] [CrossRef]
- Backiyarani, S.; Uma, S.; Nithya, S.; Chandrasekar, A.; Saraswathi, M.S.; Thangavelu, R.; Mayilvaganan, M.; Sundararaju, P.; Singh, N.K. Genome-wide analysis and differential expression of chitinases in banana against root lesion nematode (Pratylenchus coffeae) and eumusa leaf spot (Mycosphaerella eumusae) pathogens. Appl. Biochem. Biotechnol. 2015, 175, 3585–3598. [Google Scholar] [CrossRef]
- Filyushin, M.A.; Anisimova, O.K.; Kochieva, E.Z.; Shchennikova, A.V. Genome-wide identification and expression of chitinase Class I genes in garlic (Alium sativum L.) cultivars resistant and susceptible to Fusarium proliferatum. Plants 2021, 10, 720. [Google Scholar] [CrossRef]
- Bordoloi, K.S.; Krishnatreya, D.B.; Baruah, P.M.; Borah, A.K.; Mondal, T.K.; Agarwala, N. Genome-wide identification and expression profiling of chitinase genes in tea (Camellia sinensis (L.) O. Kuntze) under biotic stress conditions. Physiol. Mol. Biol. Plants 2021, 27, 369–385. [Google Scholar] [CrossRef] [PubMed]
- Witmer, X.; Nonogaki, H.; Beers, E.P.; Bradford, K.J.; Welbaum, G.E. Characterization of chitinase activity and gene expression in muskmelon seeds. Seed Sci. Res. 2007, 13, 167–178. [Google Scholar] [CrossRef]
- Cao, J.; Tan, X. Comprehensive analysis of the chitinase family genes in tomato (Solanum lycopersicum). Plants 2019, 8, 52. [Google Scholar] [CrossRef] [PubMed]
- Xin, Y.; Wang, D.; Han, S.; Li, S.; Gong, N.; Fan, Y.; Ji, X. Characterization of the chitinase gene family in mulberry (Morus notabilis) and MnChi18 Involved in resistance to Botrytis cinerea. Genes 2021, 13, 98. [Google Scholar] [CrossRef] [PubMed]
- Singh, A.; Kirubakaran, S.I.; Sakthivel, N. Heterologous expression of new antifungal chitinase from wheat. Protein Expr. Purif. 2007, 56, 100–109. [Google Scholar] [CrossRef]
- Rawat, S.; Ali, S.; Mittra, B.; Grover, A. Expression analysis of chitinase upon challenge inoculation to Alternaria wounding and defense inducers in Brassica juncea. Biotechnol. Rep. 2017, 13, 72–79. [Google Scholar] [CrossRef]
- Zribi, I.; Ghorbel, M.; Brini, F. Pathogenesis Related Proteins (PRs): From Cellular Mechanisms to Plant Defense. Curr. Protein Pept. Sci. 2021, 22, 396–412. [Google Scholar] [CrossRef]
- Cletus, J.; Balasubramanian, V.; Vashisht, D.; Sakthivel, N. Transgenic expression of plant chitinases to enhance disease resistance. Biotechnol. Lett. 2013, 35, 1719–1732. [Google Scholar] [CrossRef]
- Naveed, Z.A.; Wei, X.; Chen, J.; Mubeen, H.; Ali, G.S. The PTI to ETI continuum in Phytophthora-Plant interactions. Front. Plant Sci. 2020, 11, 593905–593927. [Google Scholar] [CrossRef]
- Singh, H.R.; Deka, M.; Das, S. Enhanced resistance to blister blight in transgenic tea (Camellia sinensis [L.] O. Kuntze) by overexpression of class I chitinase gene from potato (Solanum tuberosum). Funct. Integr. Genom. 2015, 15, 461–480. [Google Scholar] [CrossRef]
- Liu, X.; Grabherr, H.M.; Willmann, R.; Kolb, D.; Brunner, F.; Bertsche, U.; Kuhner, D.; Franz-Wachtel, M.; Amin, B.; Felix, G.; et al. Host-induced bacterial cell wall decomposition mediates pattern-triggered immunity in Arabidopsis. Elife 2014, 3, e01990. [Google Scholar] [CrossRef]
- Maximova, S.N.; Marelli, J.P.; Young, A.; Pishak, S.; Verica, J.A.; Guiltinan, M.J. Over-expression of a cacao class I chitinase gene in Theobroma cacao L. enhances resistance against the pathogen, Colletotrichum gloeosporioides. Planta 2006, 224, 740–749. [Google Scholar] [CrossRef] [PubMed]
- Navarro-González, S.S.; Ramírez-Trujillo, J.A.; Peña-Chora, G.; Gaytán, P.; Roldán-Salgado, A.; Corzo, G.; Lina-García, L.P.; Hernández-Velázquez, V.M.; Suárez-Rodríguez, R. Enhanced Tolerance against a Fungal Pathogen and Insect Resistance in Transgenic Tobacco Plants Overexpressing an Endochitinase Gene from Serratia marcescens. Int. J. Mol. Sci. 2019, 20, 3482–3496. [Google Scholar] [CrossRef] [PubMed]
- Huang, Y.; Liu, H.; Jia, Z.; Fang, Q.; Luo, K. Combined expression of antimicrobial genes (Bbchit1 and LJAMP2) in transgenic poplar enhances resistance to fungal pathogens. Tree Physiol. 2012, 32, 1313–1320. [Google Scholar] [CrossRef] [PubMed]
- Zhao, F.; Zhao, D.; Zhu, Y. Regeneration and transformation of a maize elite inbred line via immature embryo culture and enhanced tolerance to a fungal pathogen Exserohilum turcicum with a balsam pear class I chitinase gene. Afr. J. Agric. Res. 2011, 6, 1923–1930. [Google Scholar]
- Bezirganoglu, I.; Hwang, S.-Y.; Fang, T.J.; Shaw, J.-F. Transgenic lines of melon (Cucumis melo L. var. makuwa cv. ‘Silver Light’) expressing antifungal protein and chitinase genes exhibit enhanced resistance to fungal pathogens. Plant Cell Tissue Organ Cult. (PCTOC) 2012, 112, 227–237. [Google Scholar] [CrossRef]
- Su, Y.; Xu, L.; Fu, Z.; Yang, Y.; Guo, J.; Wang, S.; Que, Y. ScChi, encoding an acidic class III chitinase of sugarcane, confers positive responses to biotic and abiotic stresses in sugarcane. Int. J. Mol. Sci. 2014, 15, 2738–2760. [Google Scholar] [CrossRef]
- Ali, M.; Gai, W.X.; Khattak, A.M.; Khan, A.; Haq, S.U.; Ma, X.; Wei, A.M.; Muhammad, I.; Jan, I.; Gong, Z.H. Knockdown of the chitin-binding protein family gene CaChiIV1 increased sensitivity to Phytophthora capsici and drought stress in pepper plants. Mol. Genet. Genom. 2019, 294, 1311–1326. [Google Scholar] [CrossRef]
- Liu, X.; Yu, Y.; Liu, Q.; Deng, S.; Jin, X.; Yin, Y.; Guo, J.; Li, N.; Liu, Y.; Han, S.; et al. A Na2CO3-responsive chitinase gene from Leymus chinensis improve pathogen resistance and saline-alkali stress tolerance in transgenic tobacco and maize. Front. Plant Sci. 2020, 11, 504–515. [Google Scholar] [CrossRef]
- Zhang, S.H.; Wei, Y.; Liu, J.L.; Yu, H.M.; Yin, J.H.; Pan, H.Y.; Baldwin, T.C. An apoplastic chitinase CpCHT1 isolated from the corolla of wintersweet exhibits both antifreeze and antifungal activities. Biol. Plant. 2011, 55, 141–148. [Google Scholar] [CrossRef]
- Nakamura, T.; Ishikawa, M.; Nakatani, H.; Oda, A. Characterization of cold-responsive extracellular chitinase in bromegrass cell cultures and its relationship to antifreeze activity. Plant Physiol. 2008, 147, 391–401. [Google Scholar] [CrossRef] [PubMed]
- Yeh, S.; Moffatt, B.A.; Griffith, M.; Xiong, F.; Yang, D.S.; Wiseman, S.B.; Sarhan, F.; Danyluk, J.; Xue, Y.Q.; Hew, C.L.; et al. Chitinase genes responsive to cold encode antifreeze proteins in winter cereals. Plant Physiol. 2000, 124, 1251–1264. [Google Scholar] [CrossRef] [PubMed]
- de las Mercedes Dana, M.; Pintor-Toro, J.A.; Cubero, B. Transgenic tobacco plants overexpressing chitinases of fungal origin show enhanced resistance to biotic and abiotic stress agents. Plant Physiol. 2006, 142, 722–730. [Google Scholar] [CrossRef] [PubMed]
- Bekesiova, B.; Hraska, S.; Libantova, J.; Moravcikova, J.; Matusikova, I. Heavy-metal stress induced accumulation of chitinase isoforms in plants. Mol. Biol. Rep. 2008, 35, 579–588. [Google Scholar] [CrossRef] [PubMed]
- van Keulen, H.; Wei, R.; Cutright, T.J. Arsenate-induced expression of a class III chitinase in the dwarf sunflower Helianthus annuus. Environ. Exp. Bot. 2008, 63, 281–288. [Google Scholar] [CrossRef]
- Regalado, A.P.; Pinheiro, C.; Vidal, S.; Chaves, I.; Ricardo, C.P.; Rodrigues-Pousada, C. The Lupinus albus class-III chitinase gene, IF3, is constitutively expressed in vegetative organs and developing seeds. Planta 2000, 210, 543–550. [Google Scholar] [CrossRef] [PubMed]
- Schilmiller, A.L.; Howe, G.A. Systemic signaling in the wound response. Curr. Opin. Plant Biol. 2005, 8, 369–377. [Google Scholar] [CrossRef]
- Schenk, P.M.; Kazan, K.; Wilson, I.; Anderson, J.P.; Richmond, T.; Somerville, S.C.; Manners, J.M. Coordinated plant defense responses in Arabidopsis revealed by microarray analysis. Proc. Natl. Acad. Sci. USA 2000, 97, 11655–11660. [Google Scholar] [CrossRef]
- Farmer, E.E.; Gao, Y.Q.; Lenzoni, G.; Wolfender, J.L.; Wu, Q. Wound-and mechanostimulated electrical signals control hormone responses. New Phytol. 2020, 227, 1037–1050. [Google Scholar] [CrossRef]
- Ohnuma, T.; Numata, T.; Osawa, T.; Mizuhara, M.; Lampela, O.; Juffer, A.H.; Skriver, K.; Fukamizo, T. A class V chitinase from Arabidopsis thaliana: Gene responses, enzymatic properties, and crystallographic analysis. Planta 2011, 234, 123–137. [Google Scholar] [CrossRef]
- Wen, Z.; Bai, J.; Wang, L.; Yao, L.; Ahmad, B.; Hanif, M.; Chen, Q. Over expression of a Chitinase 2 gene from Chinese Wild Strawberry improves resistance to anthracnose disease in transgenic Arabidopsis thaliana. Plant Biotechnol. Rep. 2020, 14, 725–736. [Google Scholar] [CrossRef]
- Pan, L.; Zhao, X.; Chen, M.; Fu, Y.; Xiang, M.; Chen, J. Effect of exogenous methyl jasmonate treatment on disease resistance of postharvest kiwifruit. Food Chem. 2020, 305, 125483–125505. [Google Scholar] [CrossRef] [PubMed]
- Zhong, X.; Feng, P.; Ma, Q.; Zhang, Y.; Yang, Y.; Zhang, J. Cotton chitinase gene GhChi6 improves the Arabidopsis defense response to aphid attack. Plant Mol. Biol. Rep. 2020, 39, 251–261. [Google Scholar] [CrossRef]
- Cao, S.; Wang, Y.; Li, Z.; Shi, W.; Gao, F.; Zhou, Y.; Zhang, G.; Feng, J. Genome-Wide Identification and Expression Analyses of the Chitinases under Cold and Osmotic stress in Ammopiptanthus nanus. Genes 2019, 10, 472. [Google Scholar] [CrossRef] [PubMed]
- Jeffares, D.C.; Penkett, C.J.; Bähler, J. Rapidly regulated genes are intron poor. Trends Genet. 2008, 24, 375–378. [Google Scholar] [CrossRef] [PubMed]
- Chen, J.; Piao, Y.; Liu, Y.; Li, X.; Piao, Z. Genome-wide identification and expression analysis of chitinase gene family in Brassica rapa reveals its role in clubroot resistance. Plant Sci. 2018, 270, 257–267. [Google Scholar] [CrossRef] [PubMed]
- Taira, T.; Hayashi, H.; Tajiri, Y.; Onaga, S.; Uechi, G.-I.; Iwasaki, H.; Ohnuma, T.; Fukamizo, T. A plant class V chitinase from a cycad (Cycas revoluta): Biochemical characterization, cDNA isolation, and posttranslational modification. Glycobiology 2009, 19, 1452–1461. [Google Scholar] [CrossRef] [PubMed]
- Zhong, R.; Kays, S.J.; Schroeder, B.P.; Ye, Z.-H. Mutation of a chitinase-like gene causes ectopic deposition of lignin, aberrant cell shapes, and overproduction of ethylene. Plant Cell 2002, 14, 165–179. [Google Scholar] [CrossRef]
- Hermans, C.; Porco, S.; Verbruggen, N.; Bush, D.R. Chitinase-like protein CTL1 plays a role in altering root system architecture in response to multiple environmental conditions. Plant Physiol. 2010, 152, 904–917. [Google Scholar] [CrossRef]
- Wu, B.; Zhang, B.; Dai, Y.; Zhang, L.; Shang-Guan, K.; Peng, Y.; Zhou, Y.; Zhu, Z. Brittle Culm15 encodes a membrane-associated chitinase-like protein required for cellulose biosynthesis in rice. Plant Physiol. 2012, 159, 1440–1452. [Google Scholar] [CrossRef]
- Bhat, J.A.; Shivaraj, S.M.; Singh, P.; Navadagi, D.B.; Tripathi, D.K.; Dash, P.K.; Solanke, A.U.; Sonah, H.; Deshmukh, R. Role of silicon in mitigation of heavy metal stresses in crop plants. Plants 2019, 8, 71. [Google Scholar] [CrossRef] [PubMed]
- Hong, J.K.; Hwang, B.K. Induction by pathogen, salt and drought of a basic class II chitinase mRNA and its in situ localization in pepper (Capsicum annuum). Physiol. Plant. 2002, 114, 549–558. [Google Scholar] [CrossRef] [PubMed]
- Zhou, N.; An, Y.; Gui, Z.; Xu, S.; He, X.; Gao, J.; Zeng, D.; Gan, D.; Xu, W. Identification and expression analysis of chitinase genes in Zizania latifolia in response to abiotic stress. Sci. Hortic. 2020, 261, 108952–108962. [Google Scholar] [CrossRef]
- Zheng, T.; Zhang, K.; Sadeghnezhad, E.; Jiu, S.; Zhu, X.; Dong, T.; Liu, Z.; Guan, L.; Jia, H.; Fang, J. Chitinase family genes in grape differentially expressed in a manner specific to fruit species in response to Botrytis cinerea. Mol. Biol. Rep. 2020, 47, 7349–7363. [Google Scholar] [CrossRef] [PubMed]
- Vaghela, B.; Vashi, R.; Rajput, K.; Joshi, R. Plant chitinases and their role in plant defense: A comprehensive review. Enzym. Microb. Technol. 2022, 159, 110055. [Google Scholar] [CrossRef] [PubMed]
- Islam, M.M.; El-Sappah, A.H.; Ali, H.M.; Zandi, P.; Huang, Q.; Soaud, S.A.; Alazizi, E.M.Y.; Wafa, H.A.; Hossain, M.A.; Liang, Y. Pathogenesis-related proteins (PRs) countering environmental stress in plants: A review. S. Afr. J. Bot. 2023, 160, 414–427. [Google Scholar] [CrossRef]
- Bartholomew, E.S.; Xu, S.; Zhang, Y.; Yin, S.; Feng, Z.; Chen, S.; Sun, L.; Yang, S.; Wang, Y.; Liu, P.; et al. A chitinase CsChi23 promoter polymorphism underlies cucumber resistance against Fusarium oxysporum f. sp. cucumerinum. New Phytol. 2022, 236, 1471–1486. [Google Scholar] [CrossRef]
- Kesari, P.; Patil, D.N.; Kumar, P.; Tomar, S.; Sharma, A.K.; Kumar, P. Structural and functional evolution of chitinase-like proteins from plants. Proteomics 2015, 15, 1693–1705. [Google Scholar] [CrossRef]
- Zhang, M.; Liu, Q.; Yang, X.; Xu, J.; Liu, G.; Yao, X.; Ren, R.; Xu, J.; Lou, L. CRISPR/Cas9-mediated mutagenesis of Clpsk1 in watermelon to confer resistance to Fusarium oxysporum f.sp. niveum. Plant Cell Rep. 2020, 39, 589–595. [Google Scholar] [CrossRef]
- Branham, S.E.; Patrick Wechter, W.; Ling, K.S.; Chanda, B.; Massey, L.; Zhao, G.; Guner, N.; Bello, M.; Kabelka, E.; Fei, Z.; et al. QTL mapping of resistance to Fusarium oxysporum f. sp. niveum race 2 and Papaya ringspot virus in Citrullus amarus. Theor. Appl. Genet 2020, 133, 677–687. [Google Scholar] [CrossRef]










| Gene Name | Gene ID | Class | Start | End (+/−) | CDS(bp) 1 | Protein Length (aa) | MW (kDa) 2 | pI 3 | Arabidopsis Ortholog Locus | E-Value | Arabidopsis Locus Description | Signal Peptide 4 | Subcellular Localization |
|---|---|---|---|---|---|---|---|---|---|---|---|---|---|
| ClChi1 | Cla97C01G000780.1 | III | 525449 | 526327 (+) | 879 | 293 | 30.97 | 9.15 | AT5G24090.1 | 2 × 10−112 | Chitinase A (class III) | S.P4 | Ch |
| ClChi2 | Cla97C01G000790.1 | III | 528158 | 529033 (−) | 876 | 292 | 30.72 | 4.46 | AT5G24090.1 | 9 × 10−120 | Chitinase A (class III) | S.P | Ch |
| ClChi3 | Cla97C01G007600.1 | II | 7749470 | 7750940 (+) | 831 | 277 | 30.79 | 8.54 | AT4G01700.1 | 8 × 10−145 | Chitinase family protein | S.P | E |
| ClChi4 | Cla97C01G020270.2 | I | 32998723 | 33013032 (−) | 1170 | 390 | 42.02 | 8.65 | AT3G12500.1 | 3 × 10−125 | BASIC CHITINASE, PR3 | - | N |
| ClChi5 | Cla97C01G020300.2 | II | 33016845 | 33018436 (+) | 831 | 277 | 30.61 | 9.18 | AT3G12500.1 | 2 × 10−103 | BASIC CHITINASE, PR3 | S.P | V |
| ClChi6 | Cla97C01G020320.2 | I | 33013039 | 33021015 (−) | 975 | 325 | 34.68 | 5.34 | AT3G12500.1 | 1 × 10−135 | BASIC CHITINASE, PR3 | S.P | E |
| ClChi7 | Cla97C01G020330.1 | I | 33025312 | 33027854 (+) | 1056 | 352 | 37.99 | 7.39 | AT3G12500.1 | 2 × 10−140 | BASIC CHITINASE, PR3 | S.P | Ch |
| ClChi8 | Cla97C01G020340.1 | I | 33029853 | 33031634 (+) | 918 | 306 | 33.2 | 8.33 | AT3G12500.1 | 1 × 10−109 | BASIC CHITINASE, PR3 | S.P | Ch |
| ClChi9 | Cla97C03G057860.1 | IV | 7034534 | 7036532 (−) | 828 | 276 | 29.47 | 4.68 | AT3G54420.1 | 3 × 10−141 | CHITINASE CLASS IV | S.P | E |
| ClChi10 | Cla97C04G068830.2 | V | 1947160 | 1948594 (−) | 1083 | 361 | 39.82 | 5.25 | AT4G19810.1 | 6 × 10−83 | CLASS V CHITINASE | - | Cy |
| ClChi11 | Cla97C05G081460.1 | III | 1167842 | 1174764 (+) | 1929 | 643 | 71.58 | 6.91 | AT5G24090.1 | 7 × 10−81 | Chitinase A (class III) | S.P | V |
| ClChi12 | Cla97C05G081480.1 | III | 1185858 | 1187179 (+) | 897 | 299 | 32.06 | 8.61 | AT5G24090.1 | 2 × 10−128 | Chitinase A (class III) | S.P | Ch |
| ClChi13 | Cla97C05G088060.1 | II | 6128296 | 6130687 (−) | 966 | 322 | 35.54 | 6.55 | AT3G16920.1 | 0 | Encodes a chitinase-like protein | S.P | Cy |
| ClChi14 | Cla97C05G090720.2 | III | 8775305 | 8782858 (−) | 1797 | 599 | 64.59 | 9.81 | AT5G24090.1 | 2 × 10−123 | Chitinase A (class III) | S.P | Ch |
| ClChi15 | Cla97C06G121340.1 | V | 23712657 | 23713823 (+) | 1167 | 389 | 42.29 | 5.46 | AT4G19810.1 | 5 × 10−82 | CLASS V CHITINASE | S.P | E |
| ClChi16 | Cla97C06G121350.1 | V | 23715364 | 23717968 (−) | 1146 | 382 | 42.52 | 8.3 | AT4G19810.1 | 1 × 10−87 | CLASS V CHITINASE | S.P | Ch |
| ClChi17 | Cla97C06G121360.2 | V | 23724846 | 23727026 (−) | 1173 | 391 | 42.74 | 8.94 | AT4G19810.1 | 9 × 10−139 | CLASS V CHITINASE | S.P | Ch |
| ClChi18 | Cla97C07G143650.2 | II | 31141290 | 31151995 (−) | 2061 | 687 | 75.71 | 6.41 | AT1G05850.1 | 8 × 10−160 | CHITINASE-LIKE protein 1 | - | E |
| ClChi19 | Cla97C10G184910.1 | II | 425347 | 430504 (+) | 936 | 312 | 33.64 | 5.95 | AT3G12500.1 | 2 × 10−107 | BASIC CHITINASE, PR3 | S.P | Ch |
| ClChi20 | Cla97C11G210100.1 | V | 3572567 | 3573640 (+) | 1074 | 358 | 39.72 | 4.98 | AT4G19810.1 | 4 × 10−83 | CLASS V CHITINASE | - | Cy |
| ClChi21 | Cla97C11G210120.1 | V | 3586401 | 3587483 (+) | 1083 | 361 | 39.75 | 5.14 | AT4G19810.1 | 1 × 10−81 | CLASS V CHITINASE | - | Cy |
| ClChi22 | Cla97C11G210130.1 | V | 3591381 | 3592454 (−) | 1074 | 358 | 39.79 | 5.98 | AT4G19810.1 | 1 × 10−81 | CLASS V CHITINASE | - | Cy |
| ClChi23 | Cla97C11G210140.1 | V | 3598819 | 3601692 (+) | 1080 | 360 | 40.67 | 6.21 | AT4G19810.1 | 8 × 10−89 | CLASS V CHITINASE | - | Ch |
Disclaimer/Publisher’s Note: The statements, opinions and data contained in all publications are solely those of the individual author(s) and contributor(s) and not of MDPI and/or the editor(s). MDPI and/or the editor(s) disclaim responsibility for any injury to people or property resulting from any ideas, methods, instructions or products referred to in the content. |
© 2024 by the authors. Licensee MDPI, Basel, Switzerland. This article is an open access article distributed under the terms and conditions of the Creative Commons Attribution (CC BY) license (https://creativecommons.org/licenses/by/4.0/).
Share and Cite
Xuan, C.; Feng, M.; Li, X.; Hou, Y.; Wei, C.; Zhang, X. Genome-Wide Identification and Expression Analysis of Chitinase Genes in Watermelon under Abiotic Stimuli and Fusarium oxysporum Infection. Int. J. Mol. Sci. 2024, 25, 638. https://doi.org/10.3390/ijms25010638
Xuan C, Feng M, Li X, Hou Y, Wei C, Zhang X. Genome-Wide Identification and Expression Analysis of Chitinase Genes in Watermelon under Abiotic Stimuli and Fusarium oxysporum Infection. International Journal of Molecular Sciences. 2024; 25(1):638. https://doi.org/10.3390/ijms25010638
Chicago/Turabian StyleXuan, Changqing, Mengjiao Feng, Xin Li, Yinjie Hou, Chunhua Wei, and Xian Zhang. 2024. "Genome-Wide Identification and Expression Analysis of Chitinase Genes in Watermelon under Abiotic Stimuli and Fusarium oxysporum Infection" International Journal of Molecular Sciences 25, no. 1: 638. https://doi.org/10.3390/ijms25010638
APA StyleXuan, C., Feng, M., Li, X., Hou, Y., Wei, C., & Zhang, X. (2024). Genome-Wide Identification and Expression Analysis of Chitinase Genes in Watermelon under Abiotic Stimuli and Fusarium oxysporum Infection. International Journal of Molecular Sciences, 25(1), 638. https://doi.org/10.3390/ijms25010638

