Toxicity of Metal Oxide Nanoparticles: Looking through the Lens of Toxicogenomics
Abstract
:1. Introduction
2. Results
2.1. Exposure Characterization
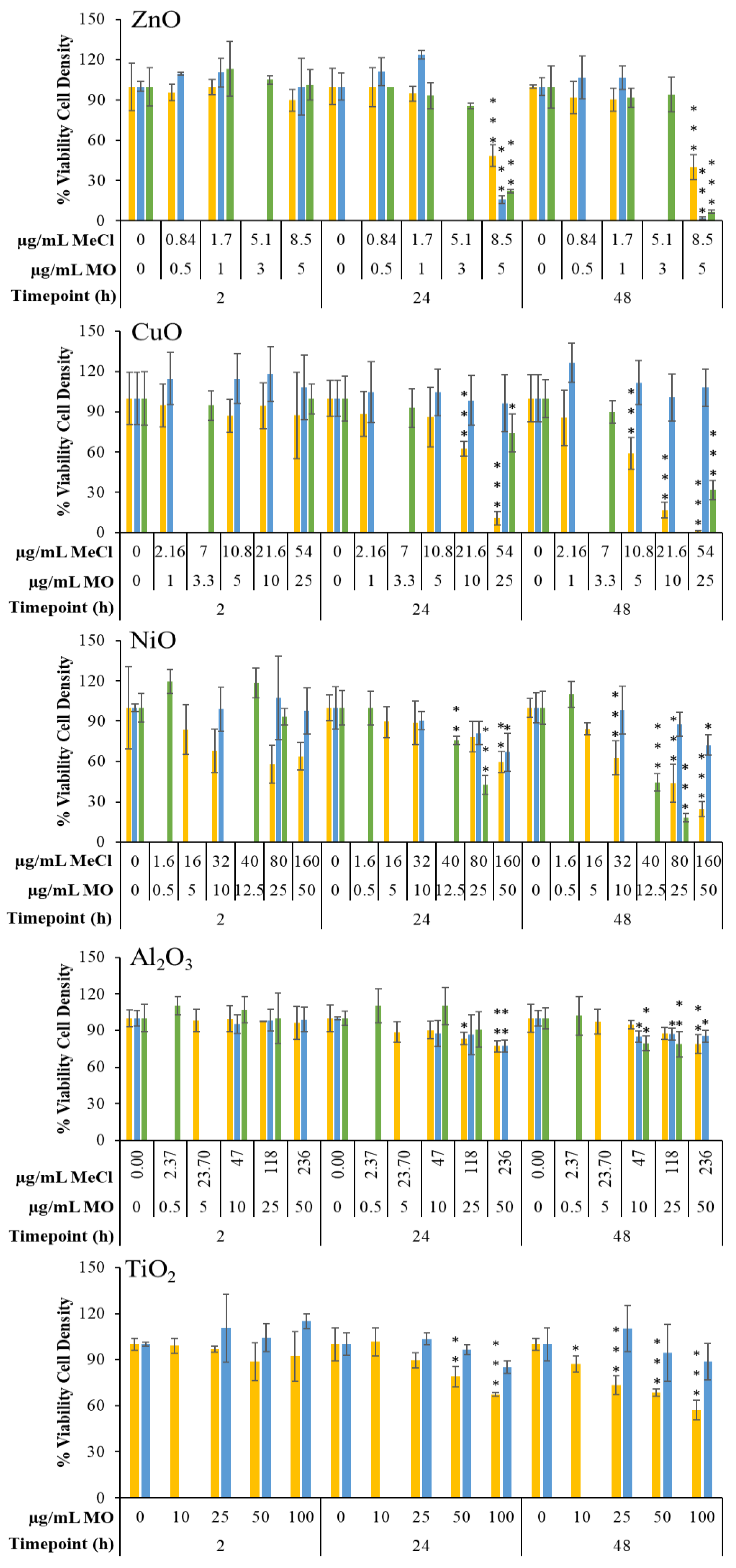
2.2. Trypan Blue Viability Analysis
2.3. Differentially Expressed Genes
2.4. Enriched Canonical Pathways
2.5. Hierarchical Clustering of Pathway Responses
2.6. HIF-1α Signaling as a Commonly Enriched Pathway across Metal Groups
2.7. Benchmark Concentration Modeling
3. Discussion
3.1. The Impact of Solubility on the Toxicity of MONPs
3.2. ‘HIF-1α Signaling’ as a Common Underlying Response to MONP Toxicity
3.3. Relative Potency Ranking of Apical and Transcriptomic Points of Departure
3.4. Implications for Risk Assessment Strategies
4. Materials and Methods
4.1. Nanoparticles, Microparticles, and Metal Chlorides
4.2. Cell Culture
4.3. Particle Characterization
4.4. Preparation of Stock Particle Suspensions and Metal Chloride Solutions
4.5. Concentration Selection
4.6. Cell Exposures, Phase Contrast Imaging, and Sample Collection
4.7. Trypan Blue Exclusion Staining
4.8. RNA Extraction, Purification, and Integrity Analysis
4.9. Microarray Hybridization
4.10. Statistical Analysis of Microarray Data
4.11. Ingenuity Pathway Analysis
4.12. Benchmark Concentration Modeling
Supplementary Materials
Author Contributions
Funding
Institutional Review Board Statement
Informed Consent Statement
Data Availability Statement
Acknowledgments
Conflicts of Interest
Appendix A


References
- Solano, R.; Patiño-Ruiz, D.; Tejeda-Benitez, L.; Herrera, A. Metal-and Metal/Oxide-Based Engineered Nanoparticles and Nanostructures: A Review on the Applications, Nanotoxicological Effects, and Risk Control Strategies. Environ. Sci. Pollut. Res. 2021, 28, 16962–16981. [Google Scholar] [CrossRef] [PubMed]
- Hassanpour, P.; Panahi, Y.; Ebrahimi-Kalan, A.; Akbarzadeh, A.; Davaran, S.; Nasibova, A.N.; Khalilov, R.; Kavetskyy, T. Biomedical Applications of Aluminium Oxide Nanoparticles. Micro Nano Lett. 2018, 13, 1227–1231. [Google Scholar] [CrossRef]
- Bischoff, N.S.; de Kok, T.M.; Sijm, D.T.H.M.; van Breda, S.G.; Briedé, J.J.; Castenmiller, J.J.M.; Opperhuizen, A.; Chirino, Y.I.; Dirven, H.; Gott, D.; et al. Review Possible Adverse Effects of Food Additive E171 (Titanium Dioxide) Related to Particle Specific Human Toxicity, Including the Immune System. Int. J. Mol. Sci. 2021, 22, 207. [Google Scholar] [CrossRef] [PubMed]
- Research, A.M. Metal Oxide Nanoparticles Market by Type (Aluminium Oxide, Titanium Dioxide, Copper Oxide, Magnesium Oxide, Zinc Oxide, and Others), and End Use Industry (Optics & Electronics, Healthcare, Automotive, Construction, Ceramic & Glass, Personal Care, Paints & C). Available online: https://www.alliedmarketresearch.com/metal-oxide-nanoparticles-market-A15611 (accessed on 14 September 2023).
- Basinas, I.; Jiménez, A.S.; Galea, K.S.; Van Tongeren, M.; Hurley, F. A Systematic Review of the Routes and Forms of Exposure to Engineered Nanomaterials. Ann. Work Expo. Health 2018, 62, 639–662. [Google Scholar] [CrossRef] [PubMed]
- Schulte, P.A.; Leso, V.; Niang, M.; Iavicoli, I. Current State of Knowledge on the Health Effects of Engineered Nanomaterials in Workers: A Systematic Review of Human Studies and Epidemiological Investigations. Scand. J. Work. Environ. Health 2019, 45, 217–238. [Google Scholar] [CrossRef] [PubMed]
- Pelclova, D.; Barosova, H.; Kukutschova, J.; Zdimal, V.; Navratil, T.; Fenclova, Z.; Vlckova, S.; Schwarz, J.; Zikova, N.; Kacer, P.; et al. Raman Microspectroscopy of Exhaled Breath Condensate and Urine in Workers Exposed to Fine and Nano TiO2 Particles: A Cross-Sectional Study. J. Breath Res. 2015, 9, 036008. [Google Scholar] [CrossRef]
- Pelclova, D.; Zdimal, V.; Kacer, P.; Fenclova, Z.; Vlckova, S.; Komarc, M.; Navratil, T.; Schwarz, J.; Zikova, N.; Makes, O.; et al. Leukotrienes in Exhaled Breath Condensate and Fractional Exhaled Nitric Oxide in Workers Exposed to TiO2 Nanoparticles. J. Breath Res. 2016, 10, 036004. [Google Scholar] [CrossRef] [PubMed]
- Zhao, L.; Zhu, Y.; Chen, Z.; Xu, H.; Zhou, J.; Tang, S.; Xu, Z.; Kong, F.; Li, X.; Zhang, Y.; et al. Cardiopulmonary Effects Induced by Occupational Exposure to Titanium Dioxide Nanoparticles. Nanotoxicology 2018, 12, 169–184. [Google Scholar] [CrossRef]
- Monsé, C.; Hagemeyer, O.; Raulf, M.; Jettkant, B.; van Kampen, V.; Kendzia, B.; Gering, V.; Kappert, G.; Weiss, T.; Ulrich, N.; et al. Concentration-Dependent Systemic Response after Inhalation of Nano-Sized Zinc Oxide Particles in Human Volunteers. Part. Fibre Toxicol. 2018, 15, 8. [Google Scholar] [CrossRef]
- Guha, N.; Loomis, D.; Guyton, K.Z.; Grosse, Y.; El Ghissassi, F.; Bouvard, V.; Benbrahim-Tallaa, L.; Vilahur, N.; Muller, K.; Straif, K. Carcinogenicity of Welding, Molybdenum Trioxide, and Indium Tin Oxide. Lancet Oncol. 2017, 18, 581–582. [Google Scholar] [CrossRef]
- Andujar, P.; Simon-Deckers, A.; Galateau-Sallé, F.; Fayard, B.; Beaune, G.; Clin, B.; Billon-Galland, M.A.; Durupthy, O.; Pairon, J.C.; Doucet, J.; et al. Role of Metal Oxide Nanoparticles in Histopathological Changes Observed in the Lung of Welders. Part. Fibre Toxicol. 2014, 11, 23. [Google Scholar] [CrossRef] [PubMed]
- Sengul, A.B.; Asmatulu, E. Toxicity of Metal and Metal Oxide Nanoparticles: A Review. Environ. Chem. Lett. 2020, 18, 1659–1683. [Google Scholar] [CrossRef]
- Naz, S.; Gul, A.; Zia, M. Toxicity of Copper Oxide Nanoparticles: A Review Study. IET Nanobiotechnol. 2020, 14, 1–13. [Google Scholar] [CrossRef] [PubMed]
- Czyżowska, A.; Barbasz, A. A Review: Zinc Oxide Nanoparticles–Friends or Enemies? Int. J. Environ. Health Res. 2022, 32, 885–901. [Google Scholar] [CrossRef] [PubMed]
- Wang, Z.; Tang, M. Research Progress on Toxicity, Function, and Mechanism of Metal Oxide Nanoparticles on Vascular Endothelial Cells. J. Appl. Toxicol. 2021, 41, 683–700. [Google Scholar] [CrossRef] [PubMed]
- Vassal, M.; Rebelo, S.; Pereira, M.d.L. Metal Oxide Nanoparticles: Evidence of Adverse Effects on the Male Reproductive System. Int. J. Mol. Sci. 2021, 22, 8061. [Google Scholar] [CrossRef] [PubMed]
- Chang, H.; Wang, Q.; Meng, X.; Chen, X.; Deng, Y.; Li, L.; Yang, Y.; Song, G.; Jia, H. Effect of Titanium Dioxide Nanoparticles on Mammalian Cell Cycle in Vitro: A Systematic Review and Meta-Analysis. Chem. Res. Toxicol. 2022, 35, 1435–1456. [Google Scholar] [CrossRef]
- Bi, J.; Mo, C.; Li, S.; Huang, M.; Lin, Y.; Yuan, P.; Liu, Z.; Jia, B.; Xu, S. Immunotoxicity of Metal and Metal Oxide Nanoparticles: From Toxic Mechanisms to Metabolism and Outcomes. Biomater. Sci. 2023, 11, 4151–4183. [Google Scholar] [CrossRef]
- Halappanavar, S.; Saber, A.T.; Decan, N.; Jensen, K.A.; Wu, D.; Jacobsen, N.R.; Guo, C.; Rogowski, J.; Koponen, I.K.; Levin, M.; et al. Transcriptional Profiling Identifies Physicochemical Properties of Nanomaterials That Are Determinants of the In Vivo Pulmonary Response. Environ. Mol. Mutagen. 2015, 56, 245–264. [Google Scholar] [CrossRef]
- Rahman, L.; Wu, D.; Johnston, M.; William, A.; Halappanavar, S. Toxicogenomics Analysis of Mouse Lung Responses Following Exposure to Titanium Dioxide Nanomaterials Reveal Their Disease Potential at High Doses. Mutagenesis 2017, 32, 59–76. [Google Scholar] [CrossRef]
- Gosens, I.; Cassee, F.R.; Zanella, M.; Manodori, L.; Brunelli, A.; Costa, A.L.; Bokkers, B.G.H.; de Jong, W.H.; Brown, D.; Hristozov, D.; et al. Organ Burden and Pulmonary Toxicity of Nano-Sized Copper (II) Oxide Particles after Short-Term Inhalation Exposure. Nanotoxicology 2016, 10, 1084–1095. [Google Scholar] [CrossRef] [PubMed]
- Costa, P.M.; Gosens, I.; Williams, A.; Farcal, L.; Pantano, D.; Brown, D.M.; Stone, V.; Cassee, F.R.; Halappanavar, S.; Fadeel, B. Transcriptional Profiling Reveals Gene Expression Changes Associated with Inflammation and Cell Proliferation Following Short-Term Inhalation Exposure to Copper Oxide Nanoparticles. J. Appl. Toxicol. 2018, 38, 385–397. [Google Scholar] [CrossRef] [PubMed]
- Lai, X.; Zhao, H.; Zhang, Y.; Guo, K.; Xu, Y.; Chen, S.; Zhang, J. Intranasal Delivery of Copper Oxide Nanoparticles Induces Pulmonary Toxicity and Fibrosis in C57BL/6 Mice. Sci. Rep. 2018, 8, 4499. [Google Scholar] [CrossRef] [PubMed]
- Jacobsen, N.R.; Stoeger, T.; van den Brule, S.; Saber, A.T.; Beyerle, A.; Vietti, G.; Mortensen, A.; Szarek, J.; Budtz, H.C.; Kermanizadeh, A.; et al. Acute and Subacute Pulmonary Toxicity and Mortality in Mice after Intratracheal Instillation of ZnO Nanoparticles in Three Laboratories. Food Chem. Toxicol. 2015, 85, 84–95. [Google Scholar] [CrossRef] [PubMed]
- Ivask, A.; Titma, T.; Visnapuu, M.; Vija, H.; Käkinen, A.; Sihtmäe, M.; Pokhrel, S.; Mädler, L.; Heinlaan, M.; Kisand, V.; et al. Send Orders for Reprints to Reprints@benthamscience.Ae Toxicity of 11 Metal Oxide Nanoparticles to Three Mammalian Cell Types In 9itro. Curr. Top. Med. Chem. 2015, 15, 1914–1929. [Google Scholar] [CrossRef] [PubMed]
- Titma, T.; Shimmo, R.; Siigur, J.; Kahru, A. Toxicity of Antimony, Copper, Cobalt, Manganese, Titanium and Zinc Oxide Nanoparticles for the Alveolar and Intestinal Epithelial Barrier Cells in Vitro. Cytotechnology 2016, 68, 2363–2377. [Google Scholar] [CrossRef] [PubMed]
- Zhang, H.; Ji, Z.; Xia, T.; Meng, H.; Low-Kam, C.; Liu, R.; Pokhrel, S.; Lin, S.; Wang, X.; Liao, Y.P.; et al. Use of Metal Oxide Nanoparticle Band Gap to Develop a Predictive Paradigm for Oxidative Stress and Acute Pulmonary Inflammation. ACS Nano 2012, 6, 4349–4368. [Google Scholar] [CrossRef]
- Martin, A.; Sarkar, A. Overview on Biological Implications of Metal Oxide Nanoparticle Exposure to Human Alveolar A549 Cell Line. Nanotoxicology 2017, 11, 713–724. [Google Scholar] [CrossRef]
- Hou, J.; Wang, L.; Wang, C.; Zhang, S.; Liu, H.; Li, S.; Wang, X. Toxicity and Mechanisms of Action of Titanium Dioxide Nanoparticles in Living Organisms. J. Environ. Sci. 2019, 75, 40–53. [Google Scholar] [CrossRef]
- Avramescu, M.L.; Chénier, M.; Palaniyandi, S.; Rasmussen, P.E. Dissolution Behavior of Metal Oxide Nanomaterials in Cell Culture Medium versus Distilled Water. J. Nanoparticle Res. 2020, 22, 222. [Google Scholar] [CrossRef]
- Avramescu, M.L.; Chénier, M.; Beauchemin, S.; Rasmussen, P. Dissolution Behaviour of Metal-Oxide Nanomaterials in Various Biological Media. Nanomaterials 2023, 13, 26. [Google Scholar] [CrossRef] [PubMed]
- Boyadzhiev, A.; Avramescu, M.L.; Wu, D.; Williams, A.; Rasmussen, P.; Halappanavar, S. Impact of Copper Oxide Particle Dissolution on Lung Epithelial Cell Toxicity: Response Characterization Using Global Transcriptional Analysis. Nanotoxicology 2021, 15, 380–399. [Google Scholar] [CrossRef] [PubMed]
- Boyadzhiev, A.; Solorio-Rodriguez, S.A.; Wu, D.; Avramescu, M.L.; Rasmussen, P.; Halappanavar, S. The High-Throughput In Vitro CometChip Assay for the Analysis of Metal Oxide Nanomaterial Induced DNA Damage. Nanomaterials 2022, 12, 1844. [Google Scholar] [CrossRef] [PubMed]
- OECD Series on the Safety of Manufactured Nanomaterials No. 62. Organisation For Economic Co-Operation And Development, Paris. 2015, 1–26. Available online: https://one.oecd.org/document/ENV/JM/MONO(2015)44/en/pdf (accessed on 14 September 2023).
- Kononenko, V.; Repar, N.; Marušič, N.; Drašler, B.; Romih, T.; Hočevar, S.; Drobne, D. Comparative in Vitro Genotoxicity Study of ZnO Nanoparticles, ZnO Macroparticles and ZnCl2 to MDCK Kidney Cells: Size Matters. Toxicol. Vitro 2017, 40, 256–263. [Google Scholar] [CrossRef] [PubMed]
- Jeong, J.; Kim, S.H.; Lee, S.; Lee, D.K.; Han, Y.; Jeon, S.; Cho, W.S. Differential Contribution of Constituent Metal Ions to the Cytotoxic Effects of Fast-Dissolving Metal-Oxide Nanoparticles. Front. Pharmacol. 2018, 9, 1–10. [Google Scholar] [CrossRef] [PubMed]
- Sieg, H.; Kästner, C.; Krause, B.; Meyer, T.; Burel, A.; Böhmert, L.; Lichtenstein, D.; Jungnickel, H.; Tentschert, J.; Laux, P.; et al. Impact of an Artificial Digestion Procedure on Aluminum-Containing Nanomaterials. Langmuir 2017, 33, 10726–10735. [Google Scholar] [CrossRef] [PubMed]
- Sieg, H.; Braeuning, C.; Kunz, B.M.; Daher, H.; Kästner, C.; Krause, B.C.; Meyer, T.; Jalili, P.; Hogeveen, K.; Böhmert, L.; et al. Uptake and Molecular Impact of Aluminum-Containing Nanomaterials on Human Intestinal Caco-2 Cells. Nanotoxicology 2018, 12, 992–1013. [Google Scholar] [CrossRef]
- Helmig, S.; Haibel, N.; Walter, D. In Vitro Toxicity Studies of Aluminum Compounds: The Problem of Undesirable Reactions with the Cell Culture Medium. J. Therm. Anal. Calorim. 2018, 134, 643–651. [Google Scholar] [CrossRef]
- Dekkers, S.; Williams, T.D.; Zhang, J.; Zhou, J.; Vandebriel, R.J.; De La Fonteyne, L.J.J.; Gremmer, E.R.; He, S.; Guggenheim, E.J.; Lynch, I.; et al. Multi-Omics Approaches Confirm Metal Ions Mediate the Main Toxicological Pathways of Metal-Bearing Nanoparticles in Lung Epithelial A549 Cells. Environ. Sci. Nano 2018, 5, 1506–1517. [Google Scholar] [CrossRef]
- Di Bucchianico, S.; Gliga, A.R.; Åkerlund, E.; Skoglund, S.; Wallinder, I.O.; Fadeel, B.; Karlsson, H.L. Calcium-Dependent Cyto- and Genotoxicity of Nickel Metal and Nickel Oxide Nanoparticles in Human Lung Cells. Part. Fibre Toxicol. 2018, 15, 32. [Google Scholar] [CrossRef]
- Gliga, A.R.; Di Bucchianico, S.; Åkerlund, E.; Karlsson, H.L. Transcriptome Profiling and Toxicity Following Long-Term, Low Dose Exposure of Human Lung Cells to Ni and NiO Nanoparticles—Comparison with NiCl2. Nanomaterials 2020, 10, 649. [Google Scholar] [CrossRef] [PubMed]
- Masoud, G.N.; Li, W. HIF-1α Pathway: Role, Regulation and Intervention for Cancer Therapy. Acta Pharm. Sin. B 2015, 5, 378–389. [Google Scholar] [CrossRef] [PubMed]
- Ke, Q.; Costa, M. Hypoxia-Inducible Factor-1 (HIF-1). Mol. Pharmacol. 2006, 70, 1469–1480. [Google Scholar] [CrossRef] [PubMed]
- Hirota, K. An Intimate Crosstalk between Iron Homeostasis and Oxygen Metabolism Regulated by the Hypoxia-Inducible Factors (HIFs). Free Radic. Biol. Med. 2019, 133, 118–129. [Google Scholar] [CrossRef] [PubMed]
- Wouters, B.G.; Koritzinsky, M. Hypoxia Signalling through MTOR and the Unfolded Protein Response in Cancer. Nat. Rev. Cancer 2008, 8, 851–864. [Google Scholar] [CrossRef] [PubMed]
- Galanis, A.; Karapetsas, A.; Sandaltzopoulos, R. Metal-Induced Carcinogenesis, Oxidative Stress and Hypoxia Signalling. Mutat. Res.—Genet. Toxicol. Environ. Mutagen. 2009, 674, 31–35. [Google Scholar] [CrossRef] [PubMed]
- McGarry, T.; Biniecka, M.; Veale, D.J.; Fearon, U. Hypoxia, Oxidative Stress and Inflammation. Free Radic. Biol. Med. 2018, 125, 15–24. [Google Scholar] [CrossRef]
- Luo, Z.; Tian, M.; Yang, G.; Tan, Q.; Chen, Y.; Li, G.; Zhang, Q.; Li, Y.; Wan, P.; Wu, J. Hypoxia Signaling in Human Health and Diseases: Implications and Prospects for Therapeutics. Signal Transduct. Target. Ther. 2022, 7, 218. [Google Scholar] [CrossRef]
- Shinohara, N.; Zhang, G.; Oshima, Y.; Kobayashi, T.; Imatanaka, N.; Nakai, M.; Sasaki, T.; Kawaguchi, K.; Gamo, M. Kinetics and Dissolution of Intratracheally Administered Nickel Oxide Nanomaterials in Rats. Part. Fibre Toxicol. 2017, 14, 218. [Google Scholar] [CrossRef]
- Muñoz-Sánchez, J.; Chánez-Cárdenas, M.E. The Use of Cobalt Chloride as a Chemical Hypoxia Model. J. Appl. Toxicol. 2019, 39, 556–570. [Google Scholar] [CrossRef]
- Todd, L. Davidson, Haobin Chen, Dominic M. Di Toro, Gisela D’Angelo, M.C. Soluble Nickel Inhibits HIF-Prolyl-Hydroxylases Creating Persistent Hypoxic Signaling in A549 Cells. Mol. Carcinog. 2006, 45, 479–489. [Google Scholar] [CrossRef]
- Daugaard, M.; Rohde, M.; Jäättelä, M. The Heat Shock Protein 70 Family: Highly Homologous Proteins with Overlapping and Distinct Functions. FEBS Lett. 2007, 581, 3702–3710. [Google Scholar] [CrossRef] [PubMed]
- Moreno-Navarrete, J.M.; Ortega, F.; Rodríguez, A.; Latorre, J.; Becerril, S.; Sabater-Masdeu, M.; Ricart, W.; Frühbeck, G.; Fernández-Real, J.M. HMOX1 as a Marker of Iron Excess-Induced Adipose Tissue Dysfunction, Affecting Glucose Uptake and Respiratory Capacity in Human Adipocytes. Diabetologia 2017, 60, 915–926. [Google Scholar] [CrossRef] [PubMed]
- Ryter, S.W. Heme Oxygenase-1: An Anti-Inflammatory Effector in Cardiovascular, Lung, and Related Metabolic Disorders. Antioxidants 2022, 11, 555. [Google Scholar] [CrossRef] [PubMed]
- Han, J.; Wan, Q.; Seo, G.Y.; Kim, K.; El Baghdady, S.; Lee, J.H.; Kronenberg, M.; Liu, Y.C. Hypoxia Induces Adrenomedullin from Lung Epithelia, Stimulating ILC2 Inflammation and Immunity. J. Exp. Med. 2022, 219, e20211985. [Google Scholar] [CrossRef] [PubMed]
- Ghosh, A.K.; Vaughan, D.E. PAI-1 in Tissue Fibrosis. J. Cell. Physiol. 2012, 227, 493–507. [Google Scholar] [CrossRef]
- Morrow, G.B.; Mutch, N.J. Past, Present, and Future Perspectives of Plasminogen Activator Inhibitor 1 (PAI-1). Semin. Thromb. Hemost. 2023, 49, 305–313. [Google Scholar] [CrossRef] [PubMed]
- Poulsen, S.S.; Jacobsen, N.R.; Labib, S.; Wu, D.; Husain, M.; Williams, A.; Bøgelund, J.P.; Andersen, O.; Kbøler, C.; Mløhave, K.; et al. Transcriptomic Analysis Reveals Novel Mechanistic Insight into Murine Biological Responses to Multi-Walled Carbon Nanotubes in Lungs and Cultured Lung Epithelial Cells. PLoS ONE 2013, 8, e80452. [Google Scholar] [CrossRef]
- Wight, T.N.; Frevert, C.W.; Debley, J.S.; Reeves, S.R.; Parks, W.C.; Ziegler, S.F. Interplay of Extracellular Matrix and Leukocytes in Lung Inflammation. Cell. Immunol. 2017, 312, 1–14. [Google Scholar] [CrossRef]
- Chi, P.L.; Cheng, C.C.; Hung, C.C.; Wang, M.T.; Liu, H.Y.; Ke, M.W.; Shen, M.C.; Lin, K.C.; Kuo, S.H.; Hsieh, P.P.; et al. MMP-10 from M1 Macrophages Promotes Pulmonary Vascular Remodeling and Pulmonary Arterial Hypertension. Int. J. Biol. Sci. 2022, 18, 331–348. [Google Scholar] [CrossRef]
- Bouchard-Cannon, P.; Mary Cheng, H.-Y. RASD1. In Encyclopedia of Signaling Molecules; Springer: New York, NY, USA, 2016. [Google Scholar]
- Schmid, O.; Stoeger, T. Surface Area Is the Biologically Most Effective Dose Metric for Acute Nanoparticle Toxicity in the Lung. J. Aerosol Sci. 2016, 99, 133–143. [Google Scholar] [CrossRef]
- Bushell, M.; Beauchemin, S.; Kunc, F.; Gardner, D.; Ovens, J.; Toll, F.; Kennedy, D.; Nguyen, K.; Vladisavljevic, D.; Rasmussen, P.E.; et al. Characterization of Commercial Metal Oxide Nanomaterials: Crystalline Phase, Particle Size and Specific Surface Area. Nanomaterials 2020, 10, 1812. [Google Scholar] [CrossRef] [PubMed]
- Kunc, F.; Bushell, M.; Du, X.; Zborowski, A.; Johnston, L.J.; Kennedy, D.C. Physical Characterization and Cellular Toxicity Studies of Commercial NiO Nanoparticles. Nanomaterials 2022, 12, 1822. [Google Scholar] [CrossRef] [PubMed]
- Waters, K.M.; Masiello, L.M.; Zangar, R.C.; Tarasevich, B.J.; Karin, N.J.; Quesenberry, R.D.; Bandyopadhyay, S.; Teeguarden, J.G.; Pounds, J.G.; Thrall, B.D. Macrophage Responses to Silica Nanoparticles Are Highly Conserved across Particle Sizes. Toxicol. Sci. 2009, 107, 553–569. [Google Scholar] [CrossRef] [PubMed]
- Environment and Climate Change Canada. Helath Canada Framework for the Risk Assessment of Manufactured Nanomaterials under the Canadian Environmental Protection Act, 1999 (Draft). 2022. Available online: https://www.canada.ca/en/environment-climate-change/services/evaluating-existing-substances/framework-risk-assessment-manufactured-nanomaterials-cepa-draft.html (accessed on 14 September 2023).
- White, P.A.; Douglas, G.R.; Gingerich, J.; Parfett, C.; Shwed, P.; Seligy, V.; Soper, L.; Berndt, L.; Bayley, J.; Wagner, S.; et al. Development and Characterization of a Stable Epithelial Cell Line from MutaTMMouse Lung. Environ. Mol. Mutagen. 2003, 42, 166–184. [Google Scholar] [CrossRef] [PubMed]
- Berndt-Weis, M.L.; Kauri, L.M.; Williams, A.; White, P.; Douglas, G.; Yauk, C. Global Transcriptional Characterization of a Mouse Pulmonary Epithelial Cell Line for Use in Genetic Toxicology. Toxicol. Vitro 2009, 23, 816–833. [Google Scholar] [CrossRef] [PubMed]
- Maertens, R.M.; Long, A.S.; White, P.A. Performance of the in Vitro Transgene Mutation Assay in MutaMouse FE1 Cells: Evaluation of Nine Misleading (“False”) Positive Chemicals. Environ. Mol. Mutagen. 2017, 58, 582–591. [Google Scholar] [CrossRef]
- Avramescu, M.L.; Chénier, M.; Gardner, H.D.; Rasmussen, P.E. Solubility of Metal Oxide Nanomaterials: Cautionary Notes on Sample Preparation. J. Phys. Conf. Ser. 2019, 1323, 012001. [Google Scholar] [CrossRef]
- Tolliver, L.M.; Holl, N.J.; Hou, F.Y.S.; Lee, H.J.; Cambre, M.H.; Huang, Y.W. Differential Cytotoxicity Induced by Transition Metal Oxide Nanoparticles Is a Function of Cell Killing and Suppression of Cell Proliferation. Int. J. Mol. Sci. 2020, 21, 1731. [Google Scholar] [CrossRef]
- Lai, X.; Wei, Y.; Zhao, H.; Chen, S.; Bu, X.; Lu, F.; Qu, D.; Yao, L.; Zheng, J.; Zhang, J. The Effect of Fe2O3 and ZnO Nanoparticles on Cytotoxicity and Glucose Metabolism in Lung Epithelial Cells. J. Appl. Toxicol. 2015, 35, 651–664. [Google Scholar] [CrossRef]
- Kerr, M.K. Experimental Design for Gene Expression Microarrays. Biostatistics 2001, 2, 183–201. [Google Scholar] [CrossRef]
- Wu, H.; Kerr, M.K.; Cui, X.; Churchill, G.A. MAANOVA: A Software Package for the Analysis of Spotted CDNA Microarray Experiments. Springer: New York, NY, USA, 2003; pp. 313–341. [Google Scholar] [CrossRef]
- Benjamini, Y.; Hochberg, Y. Controlling the False Discovery Rate: A Practical and Powerful Approach to Multiple Testing. J. R. Stat. Society. Ser. B (Methodol.) 1995, 57, 289–300. [Google Scholar] [CrossRef]
- Searle, S.R.; Speed, F.M.; Milliken, G.A. Population Marginal Means in the Linear Model: An Alternative to Least Squares Means. Am. Stat. 1980, 34, 216–221. [Google Scholar]
- Krämer, A.; Green, J.; Pollard, J.; Tugendreich, S. Causal Analysis Approaches in Ingenuity Pathway Analysis. Bioinformatics 2014, 30, 523–530. [Google Scholar] [CrossRef] [PubMed]
- de Hoon, M.J.L.; Imoto, S.; Nolan, J.; Miyano, S. Open Source Clustering Software. Bioinformatics 2004, 20, 1453–1454. [Google Scholar] [CrossRef] [PubMed]
- Saldanha, A.J. Java Treeview—Extensible Visualization of Microarray Data. Bioinformatics 2004, 20, 3246–3248. [Google Scholar] [CrossRef] [PubMed]
- United States Environmental Protection Agency, BMDS Online (Model Library Version 2023.03.1) [Web App]. 2023. Available online: https://bmdsonline.epa.gov/ (accessed on 14 September 2023).
- U.S. EPA. EPA/600/R-21/245; BMDS Version 3.3 User Guide (Oct 2022). U.S. Environmental Protection Agency: Washington, DC, USA, 2022.
- Rowan-Carroll, A.; Reardon, A.; Leingartner, K.; Gagné, R.; Williams, A.; Meier, M.J.; Kuo, B.; Bourdon-Lacombe, J.; Moffat, I.; Carrier, R.; et al. High-Throughput Transcriptomic Analysis of Human Primary Hepatocyte Spheroids Exposed to Per-And Polyfluoroalkyl Substances as a Platform for Relative Potency Characterization. Toxicol. Sci. 2021, 181, 199–214. [Google Scholar] [CrossRef] [PubMed]








| MONP | PPS Measured (nm) | Aspect Ratio | PDI | Aggregate Size (Dh, nm) | Zeta Potential (mV) |
|---|---|---|---|---|---|
| ZnO | 23.9 × 19.4 (7.2 × 5.5) a | 1.23 (0.17) a | 0.52 (0.05) | 346 (46) | −9.5 (0.1) |
| NiO | 27.3 × 21.9 (10.3 × 7.91) | 1.25 (0.20) | 0.33 (0.01) | 178 (7) | −12.3 (0.6) |
| Al2O3 | 23.9 × 10.7 (11.8 × 6.86) | 2.63 (1.40) | 0.44 (0.01) | 276 (16) | −12.2 (0.2) |
| TiO2 | 26.8 × 20.8 (8.9 × 6.8) a | 1.30 (0.26) a | 0.23 (0.06) | 421 (31) | −11.5 (0.2) |
| CuO | 64.8 × 45.9 (47 × 28) b | 1.39 (0.39) a | 0.174 (0.009) b | 182 (1.4) b | −10.8 (0.5) b |
| Pathway | Total Number of Samples Where Pathway Is Enriched |
|---|---|
| HIF1α Signaling | 35/58 |
| Pulmonary Fibrosis Idiopathic Signaling Pathway | 31/58 |
| Role of Macrophages, Fibroblasts and Endothelial Cells in Rheumatoid Arthritis | 31/58 |
| ID1 Signaling Pathway | 30/58 |
| Aryl Hydrocarbon Receptor Signaling | 29/58 |
| Hepatic Fibrosis / Hepatic Stellate Cell Activation | 29/58 |
| IL-10 Signaling | 28/58 |
| Hepatic Fibrosis Signaling Pathway | 28/58 |
| LPS/IL-1 Mediated Inhibition of RXR Function | 28/58 |
| Osteoarthritis Pathway | 27/58 |
| Tumor Microenvironment Pathway | 27/58 |
| Metal | Material | Catalogue Number (Manufacturer) | PPS a [nm] | SSA (Average) [m2/g] |
|---|---|---|---|---|
| Zn | ZnO NP | US3580 (US Research Nanomaterials Inc., Houston, TX, USA) | 35–45 | 35 b |
| ZnO MP | US1003M (US Research Nanomaterials Inc., Houston, TX, USA) | 1000 | 2–15.8 (8.9) a | |
| ZnCl2 | Z0152-100G (Sigma Aldrich, Oakville, ON, Canada) | |||
| Ni | NiO NP | US3355 (US Research Nanomaterials Inc., Houston, TX, USA) | 15–35 | 38.7 c |
| NiO MP | US1014M (US Research Nanomaterials Inc., Houston, TX, USA) | 5000 | 5–20 (12.5) a | |
| NiCl2 • 6H2O | N6136-100G (Sigma Aldrich, Oakville, ON, Canada) | |||
| Al | Al2O3 NP | 544833 (Sigma Aldrich, Oakville, ON, Canada) | <50 | 129 b |
| Al2O3 MP | 1331DL (Sky Spring Nanomaterials Inc., Houston, TX, USA) | 400–1500 | 110 | |
| AlCl3 • 6H2O | A0718-500G (Sigma Aldrich, Oakville, ON, Canada) | |||
| Ti | TiO2 NP | NIST 1898 (National Institute of Standards and Technology, Gaithersburg, MD, USA) | 19 nm (Anatase) 37 nm (Rutile) | 55.5 a |
| TiO2 MP | US1017M (US Research Nanomaterials Inc., Houston, TX, USA) | 1500 | 5–8 (6.5) a | |
| Cu d | CuO NP | 544868 (Sigma Aldrich, Oakville, ON, Canada) | <50 | 4.6 b |
| CuO MP | US1140M (US Research Nanomaterials Inc., Houston, TX, USA) | 5000 | 4–6 (5) a | |
| CuCl2 • 2H2O | C3279-100G (Sigma Aldrich, Oakville, ON, Canada) |
| Metal | Concentration [µg/mL MO] | Concentration [cm2/mL MONP] | Concentration [cm2/mL MOMP] | Concentration [µg/mL MeCl] | Concentration [µg/mL Me] | Concentration [µM Me] |
|---|---|---|---|---|---|---|
| Zn | 5.00 | 1.75 | 0.45 | 8.50 | 4.00 | 61.44 |
| (-) | (-) | (-) | 5.10 | 2.45 | 37.42 | |
| 1.00 | 0.35 | 0.09 | 1.70 | 0.80 | 12.29 | |
| 0.50 | 0.18 | 0.04 | (-) | 0.40 | 6.14 | |
| Ni | 50.00 | 19.35 | 6.25 | (-) | 40.00 | 669.41 |
| 25.00 | 9.68 | 3.13 | 80.00 | 20.00 | 334.70 | |
| (-) | (-) | (-) | 40.00 | 10.00 | 167.40 | |
| 10.00 | 3.87 | 1.25 | (-) | 8.00 | 133.88 | |
| 5.00 | 1.94 | 0.63 | (-) | 4.00 | 66.94 | |
| (-) | (-) | (-) | 1.60 a | 0.40 | 6.69 | |
| Al | 50.00 | 64.50 | N/A | (-) | 26.50 | 980.78 |
| 25.00 | 32.25 | N/A | 118.00 | 13.25 | 490.39 | |
| 10.00 | 12.90 | N/A | 47.00 | 5.30 | 196.16 | |
| 5.00 | 6.45 | N/A | (-) | 2.65 | 98.08 | |
| (-) | (-) | (-) | 2.37 b | 0.27 | 9.81 | |
| Ti | 100.00 | 55.50 | 6.50 | N/A | 60.00 | 1252.10 |
| 50.00 | 27.75 | 3.25 | N/A | 30.00 | 626.05 | |
| 25.00 | 13.88 | 1.63 | N/A | 15.00 | 313.02 | |
| 10.00 | 5.55 | 0.65 | N/A | 6.00 | 125.20 | |
| Cu | 25.00 | 1.15 | 1.25 | 54.00 | 20.00 | 314.29 |
| 10.00 | 0.46 | 0.50 | (-) | 8.00 | 125.72 | |
| 5.00 | 0.23 | 0.25 | (-) | 4.00 | 62.86 | |
| (-) | (-) | (-) | 7.00 c | 2.60 | 41.06 | |
| 1.00 | 0.05 | 0.05 | (-) | 0.80 | 12.57 |
Disclaimer/Publisher’s Note: The statements, opinions and data contained in all publications are solely those of the individual author(s) and contributor(s) and not of MDPI and/or the editor(s). MDPI and/or the editor(s) disclaim responsibility for any injury to people or property resulting from any ideas, methods, instructions or products referred to in the content. |
© 2023 by the authors. Licensee MDPI, Basel, Switzerland. This article is an open access article distributed under the terms and conditions of the Creative Commons Attribution (CC BY) license (https://creativecommons.org/licenses/by/4.0/).
Share and Cite
Boyadzhiev, A.; Wu, D.; Avramescu, M.-L.; Williams, A.; Rasmussen, P.; Halappanavar, S. Toxicity of Metal Oxide Nanoparticles: Looking through the Lens of Toxicogenomics. Int. J. Mol. Sci. 2024, 25, 529. https://doi.org/10.3390/ijms25010529
Boyadzhiev A, Wu D, Avramescu M-L, Williams A, Rasmussen P, Halappanavar S. Toxicity of Metal Oxide Nanoparticles: Looking through the Lens of Toxicogenomics. International Journal of Molecular Sciences. 2024; 25(1):529. https://doi.org/10.3390/ijms25010529
Chicago/Turabian StyleBoyadzhiev, Andrey, Dongmei Wu, Mary-Luyza Avramescu, Andrew Williams, Pat Rasmussen, and Sabina Halappanavar. 2024. "Toxicity of Metal Oxide Nanoparticles: Looking through the Lens of Toxicogenomics" International Journal of Molecular Sciences 25, no. 1: 529. https://doi.org/10.3390/ijms25010529
APA StyleBoyadzhiev, A., Wu, D., Avramescu, M.-L., Williams, A., Rasmussen, P., & Halappanavar, S. (2024). Toxicity of Metal Oxide Nanoparticles: Looking through the Lens of Toxicogenomics. International Journal of Molecular Sciences, 25(1), 529. https://doi.org/10.3390/ijms25010529

