The Collaborative Cross-Mouse Population for Studying Genetic Determinants Underlying Alveolar Bone Loss Due to Polymicrobial Synergy and Dysbiosis
Abstract
:1. Introduction
2. Results
2.1. Susceptibility of CC Lines to Alveolar Bone Volume Affected by Oral-Mixed Infection
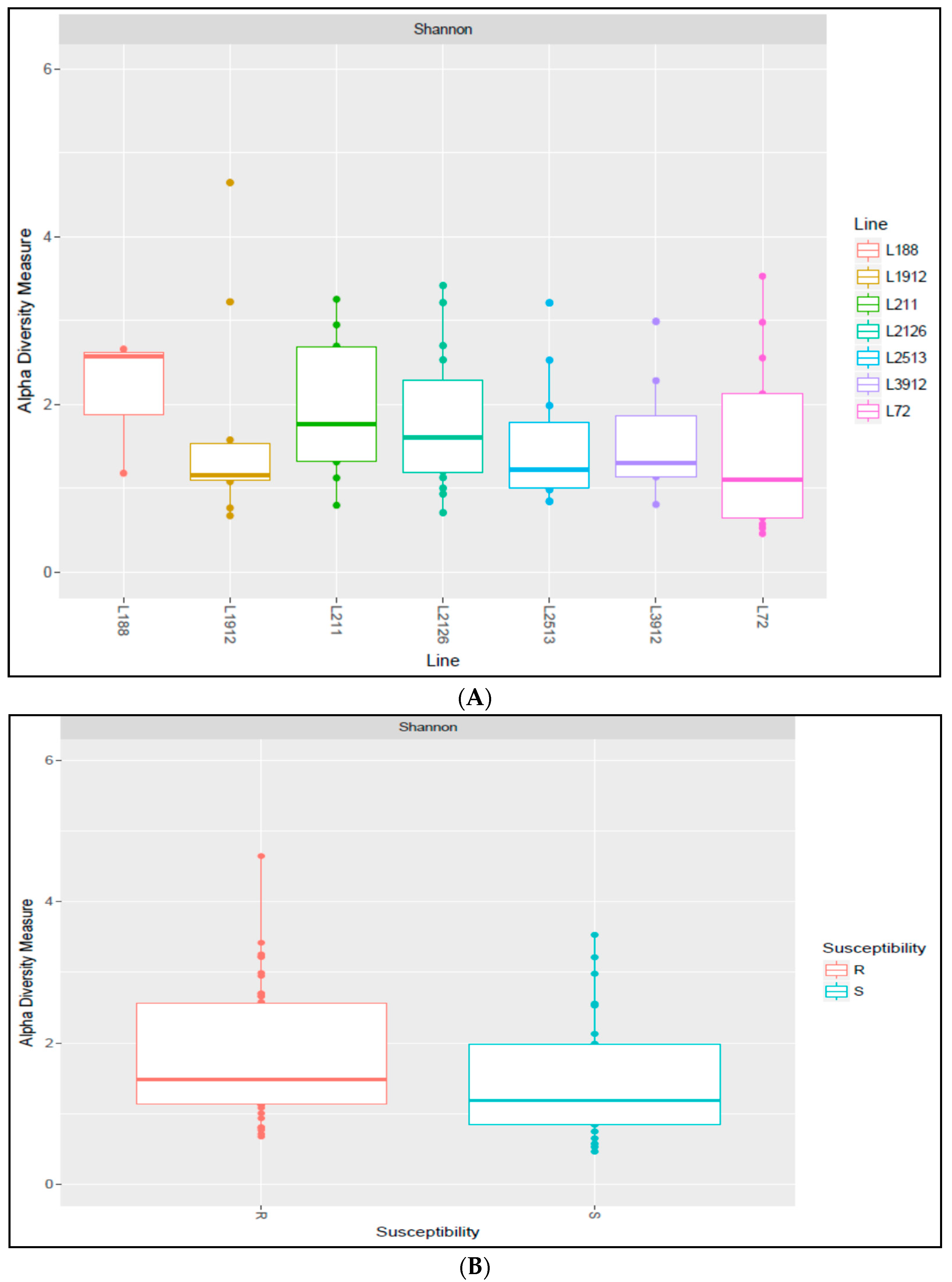
2.2. Challenge Effect on Microbiome Compositional Shift
2.3. Microbiome Composition in Control Mice
2.4. Correlation between Alveolar Bone Loss and Dysbiosis
3. Discussion
4. Materials and Methods
4.1. Bacterial Cultivation
4.2. Assessment of Lines Susceptibility to Alveolar Bone Loss
4.3. Oral Mixed Infection Model and Micro-Computerized Tomography (CT) Analysis
4.4. Oral Microbiome Collection
4.5. DNA Extraction and 16s rRNA Sequencing
4.6. Microbiome Analysis
4.7. Statistical Analysis
Author Contributions
Funding
Institutional Review Board Statement
Informed Consent Statement
Data Availability Statement
Conflicts of Interest
References
- Marcenes, W.; Kassebaum, N.J.; Bernabe, E.; Flaxman, A.; Naghavi, M.; Lopez, A.; Murray, C.J.L. Global Burden of Oral Conditions in 1990–2010: A Systematic Analysis. J. Dent. Res. 2013, 92, 592–597. [Google Scholar] [CrossRef]
- Nashef, A.; Abu-Toamih Atamni, H.J.; Buchnik, Y.; Hasturk, H.; Kantarci, A.; Stephens, D.; Wiess, E.I.; Houri-Haddad, Y.; Iraqi, F.A. Collaborative Cross Mouse Population for Studying Alveolar Bone Changes and Impaired Glucose Tolerance Comorbidity After High-Fat Diet Consumption. J. Periodontol. 2017, 88, e150–e158. [Google Scholar] [CrossRef] [PubMed]
- Shusterman, A.; Salyma, Y.; Nashef, A.; Soller, M.; Wilensky, A.; Mott, R.; Weiss, E.I.; Houri-Haddad, Y.; Iraqi, F.A. Genotype is an important determinant factor of host susceptibility to periodontitis in the Collaborative Cross and inbred mouse populations. BMC Genet. 2013, 14, 68. [Google Scholar] [CrossRef] [PubMed]
- Cavagni, J.; Wagner, T.P.; Gaio, E.J.; Rêgo, R.O.C.C.; da Torres, I.L.S.; Rösing, C.K. Obesity may increase the occurrence of spontaneous periodontal disease in Wistar rats. Arch. Oral Biol. 2013, 58, 1034–1039. [Google Scholar] [CrossRef] [PubMed]
- Laine, M.L.; Crielaard, W.; Loos, B.G. Genetic susceptibility to periodontitis. Periodontol. 2000 2012, 58, 37–68. [Google Scholar] [CrossRef] [PubMed]
- Cavagni, J.; de Macedo, I.C.; Gaio, E.J.; Souza, A.; de Molon, R.S.; Cirelli, J.A.; Hoefel, A.L.; Kucharski, L.C.; da Silva Torres, I.L.; Rösing, C.K. Obesity and Hyperlipidemia Modulate Alveolar Bone Loss in Wistar Rats. J. Periodontol. 2015, 87, e9–e17. [Google Scholar] [CrossRef] [PubMed]
- Nath, S.G.; Raveendran, R. Microbial dysbiosis in periodontitis. J. Indian Soc. Periodontol. 2014, 17, PMC3800425. [Google Scholar] [CrossRef] [PubMed]
- Costalonga, M.; Herzberg, M.C. The oral microbiome and the immunobiology of periodontal disease and caries. Immunol. Lett. 2014, 162, 22–38. [Google Scholar] [CrossRef]
- Hajishengallis, G.; Darveau, R.P.; Curtis, M.A. The keystone-pathogen hypothesis. Nat. Rev. Microbiol. 2012, 10, 717–725. [Google Scholar] [CrossRef]
- Hajishengallis, G.; Lamont, R.J. Beyond the red complex and into more complexity: The polymicrobial synergy and dysbiosis (PSD) model of periodontal disease etiology. Mol. Oral Microbiol. 2012, 27, 409–419. [Google Scholar] [CrossRef]
- Hajishengallis, G.; Liang, S.; Payne, M.A.; Hashim, A.; Jotwani, R.; Eskan, M.A.; McIntosh, M.L.; Alsam, A.; Kirkwood, K.L.; Lambris, J.D.; et al. Low-abundance biofilm species orchestrates inflammatory periodontal disease through the commensal microbiota and complement. Cell. Host Microbe 2011, 10, 497–506. [Google Scholar] [CrossRef] [PubMed]
- Maekawa, T.; Krauss, J.L.; Abe, T.; Jotwani, R.; Triantafilou, M.; Triantafilou, K.; Hashim, A.; Hoch, S.; Curtis, M.A.; Nussbaum, G.; et al. Porphyromonas gingivalis manipulates complement and TLR signaling to uncouple bacterial clearance from inflammation and promote dysbiosis. Cell. Host Microbe 2014, 15, 768–778. [Google Scholar] [CrossRef] [PubMed]
- Darveau, R.P.; Hajishengallis, G.; Curtis, M.A. Porphyromonas gingivalis as a potential community activist for disease. J. Dent. Res. 2012, 91, 816–820. [Google Scholar] [CrossRef] [PubMed]
- Polak, D.; Wilensky, A.; Shapira, L.; Halabi, A.; Goldstein, D.; Ei, W. Mouse model of experimental periodontitis induced by Porphyromonas gingivalis/Fusobacteriumnucleatum infection: Bone loss and host response. J. Clin. Periodontol. 2009, 36, 406–410. [Google Scholar] [CrossRef] [PubMed]
- Pontes Andersen, C.C.; Flyvbjerg, A.; Buschard, K.; Holmstrup, P. Relationship between periodontitis and diabetes: Lessons from rodent studies. J. Periodontol. 2007, 78, 1264–1275. [Google Scholar] [CrossRef]
- Menge, D.M.; Behnke, J.M.; Lowe, A.; Gibson, J.P.; Iraqi, F.A.; Baker, R.L.; Wakelin, D. Mapping of chromosomal regions influencing immunological responses to gastrointestinal nematode infections in mice. Parasite Immunol. 2003, 25, 341–349. [Google Scholar] [CrossRef] [PubMed]
- Iraqi, F. Fine mapping of quantitative trait loci using advanced intercross lines of mice and positional cloning of the corresponding genes. Exp. Lung Res. 2000, 26, 641–649. [Google Scholar] [CrossRef]
- Iraqi, F.A.; Behnke, J.M.; Menge, D.M.; Lowe, A.M.; Teale, A.J.; Gibson, J.P.; Baker, L.R.; Wakelin, D.R. Chromosomal regions controlling resistance to gastro-intestinal nematode infections in mice. Mamm. Genome 2003, 14, 184–191. [Google Scholar] [CrossRef]
- Mott, R.; Talbot, J.C.; Turri, G.M.; Jonathan Flint, J. A method for fine mapping quantitative trait loci in outbred animal stocks. Proc. Natl. Acad. Sci. USA 2000, 97, 12649–12654. [Google Scholar] [CrossRef]
- Nashef, A.; Matthias, M.; Weiss, E.; Loos, B.G.; Jepsen, S.; van der Velde, N.; Uitterlinden, A.G.; Wellmann, J.; Berger, K.; Hoffmann, P.; et al. Translation of mouse model to human gives insights into periodontitis etiology. Sci. Rep. 2020, 10, 4892. [Google Scholar] [CrossRef]
- Hiyari, S.; Atti, E.; Camargo, P.M.; Eskin, E.; Lusis, A.J.; Pirih, F.Q.; Angeles, L. Heritability of Periodontal Bone Loss in Mice. J. Periodontal Res. 2016, 50, 730–736. [Google Scholar] [CrossRef] [PubMed]
- Nashef, A.; Qabaja, R.; Salaymeh, Y.; Botzman, M.; Munz, M.; Dommisch, H.; Krone, B.; Hoffmann, P.; Wellmann, J.; Laudes, M.; et al. Integration of Murine and Human Studies for Mapping Periodontitis Susceptibility. J. Dent. Res. 2018, 97, 537–546. [Google Scholar] [CrossRef] [PubMed]
- Espíndola, L.C.P.; Picão, R.C.; Mançano, S.M.C.N.; Martins do Souto, R.; Colombo, A.P.V. Prevalence and antimicrobial susceptibility of Gram-negative bacilli in subgingival biofilm associated with periodontal diseases. J. Periodontol. 2022, 93, 69–79. [Google Scholar] [CrossRef] [PubMed]
- Kato, T.; Ono, M.; Ikawa, M.; Okuda, K.; Takazoe, I. Proteolytic isolated activities from of gram-negative periodontal bacteria lesions. Jpn. J. Oral Biol. 1984, 26, 953–958. [Google Scholar] [CrossRef]
- Smalley, J.W.; Olczak, T. Heme acquisition mechanisms of Porphyromonas gingivalis – strategies used in a polymicrobial community in a heme-limited host environment. Mol. Oral Microbiol. 2017, 32, 1–23. [Google Scholar] [CrossRef] [PubMed]
- Radaic, A.; Kapila, Y.L. The oralome and its dysbiosis: New insights into oral microbiome-host interactions. Comput. Struct. Biotechnol. J. 2021, 19, 1335–1360. [Google Scholar] [CrossRef] [PubMed]
- Vieira Colombo, A.P.; Magalhães, C.B.; Hartenbach, F.A.R.R.; Martins do Souto, R.; Maciel da Silva-Boghossian, C. Periodontal-disease-associated biofilm: A reservoir for pathogens of medical importance. Microb. Pathog. 2015, 94, 27–34. [Google Scholar] [CrossRef] [PubMed]
- Priya Nimish, P.; Deshmukh, R. Oral microbiome: Unveiling the fundamentals. J. Oral Maxillofac. Pathol. 2019, 23, 122–128. [Google Scholar]
- Teughels, W.; Newman, M.G.; Coucke, W.; Haffajee, A.D.; Van Der Mei, H.C.; Haake, S.K.; Schepers, E.; Cassiman, J.-J.; Van Eldere, J.; van Steenberghe, D.; et al. Guiding periodontal pocket recolonization: A proof of concept. JDR 2007, 86, 1078–1082. [Google Scholar] [CrossRef]
- Nackaerts, O.; Jacobs, R.; Quirynen, M.; Rober, M.; Sun, Y.; Teughels, W. Replacement therapy for periodontitis: Pilot radiographic evaluation in a dog model. J. Clin. Periodontol. 2008, 35, 1048–1052. [Google Scholar] [CrossRef]
- Iraqi, F.A.; Churchill, G.; Mott, R. The Collaborative Cross, developing a resource for mammalian systems genetics: A status report of the Wellcome Trust cohort. Mamm. Genome 2008, 19, 379–381. [Google Scholar] [CrossRef]
- Genco, C.A.; Cutler, C.W.; Kapczynski, D.; Maloney, K.; Arnold, R.R. A novel mouse model to study the virulence of and host response to Porphyromonas (Bacteroides) gingivalis. Infect. Immun. 1991, 59, 1255–1263. [Google Scholar] [CrossRef]
- Kolenbrander, P.E.; Andersen, R.N. Inhibition of coaggregation between Fusobacterium nucleatum and Porphyromonas (Bacteroides) gingivalis by lactose and related sugars. Infect. Immun. 1989, 57, 3204–3209. [Google Scholar] [CrossRef]
- Illumina, I. 16S Metagenomic Sequencing Library Preparation. Illumina Commun. 2013, 1213, 1214. [Google Scholar]









| CC-Line | Infection | Control | Total |
|---|---|---|---|
| IL-72 | 5 | 5 | 10 |
| IL-2126 | 5 | 5 | 10 |
| IL-2513 | 8 | 5 | 13 |
| IL-3912 | 5 | 6 | 11 |
| IL-188 | 7 | 6 | 13 |
| IL-211 | 6 | 6 | 12 |
| IL-1912 | 8 | 10 | 18 |
| Resistant Group | Susceptible Group | Total | |
|---|---|---|---|
| Control (Point 1—day 0; before infection) | 11 mice | 4 mice | 15 mice |
| Point 2—14 days after infection | 13 mice | 4 mice | 17 mice |
| Point 3—42 days after infection | 14 | 7 mice | 21 mice |
| 53 mice |
Disclaimer/Publisher’s Note: The statements, opinions and data contained in all publications are solely those of the individual author(s) and contributor(s) and not of MDPI and/or the editor(s). MDPI and/or the editor(s) disclaim responsibility for any injury to people or property resulting from any ideas, methods, instructions or products referred to in the content. |
© 2023 by the authors. Licensee MDPI, Basel, Switzerland. This article is an open access article distributed under the terms and conditions of the Creative Commons Attribution (CC BY) license (https://creativecommons.org/licenses/by/4.0/).
Share and Cite
Nashef, A.; Qabaja, R.; Hazan, R.; Schafer, A.; Hasturk, H.; Kantarci, A.; Houri-Haddad, Y.; Iraqi, F.A. The Collaborative Cross-Mouse Population for Studying Genetic Determinants Underlying Alveolar Bone Loss Due to Polymicrobial Synergy and Dysbiosis. Int. J. Mol. Sci. 2024, 25, 473. https://doi.org/10.3390/ijms25010473
Nashef A, Qabaja R, Hazan R, Schafer A, Hasturk H, Kantarci A, Houri-Haddad Y, Iraqi FA. The Collaborative Cross-Mouse Population for Studying Genetic Determinants Underlying Alveolar Bone Loss Due to Polymicrobial Synergy and Dysbiosis. International Journal of Molecular Sciences. 2024; 25(1):473. https://doi.org/10.3390/ijms25010473
Chicago/Turabian StyleNashef, Aysar, Rawan Qabaja, Ronen Hazan, Arne Schafer, Hatice Hasturk, Alpdogan Kantarci, Yael Houri-Haddad, and Fuad A. Iraqi. 2024. "The Collaborative Cross-Mouse Population for Studying Genetic Determinants Underlying Alveolar Bone Loss Due to Polymicrobial Synergy and Dysbiosis" International Journal of Molecular Sciences 25, no. 1: 473. https://doi.org/10.3390/ijms25010473
APA StyleNashef, A., Qabaja, R., Hazan, R., Schafer, A., Hasturk, H., Kantarci, A., Houri-Haddad, Y., & Iraqi, F. A. (2024). The Collaborative Cross-Mouse Population for Studying Genetic Determinants Underlying Alveolar Bone Loss Due to Polymicrobial Synergy and Dysbiosis. International Journal of Molecular Sciences, 25(1), 473. https://doi.org/10.3390/ijms25010473

