New Chalcone Derivatives Containing 2,4-Dichlorobenzenesulfonamide Moiety with Anticancer and Antioxidant Properties
Abstract
:1. Introduction
2. Results and Discussion
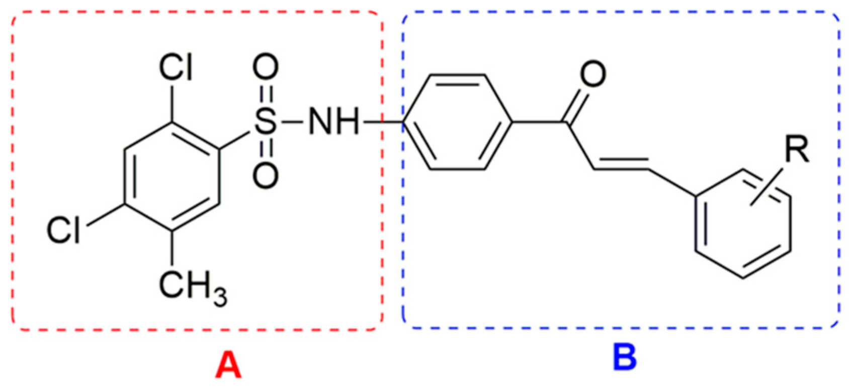
2.1. Chemistry
2.2. Biological Studies
2.2.1. Anticancer Activity
Cytotoxic Activity of the Chalcone Derivative Compounds on Cancer Cells
Compound 5 Induced Cell Death in AGS Cells
Compound 5 Triggered Depolarization of Mitochondrial Membrane in AGS Cells
Compound 5 Arrested Cell Cycle in subG0 Phase in AGS Cells
Compound 5 Increased the Activity Level of Caspase-8 and -9 in AGS Cells
2.2.2. Antioxidant Activity
2.2.3. Neutrophil Elastase Inhibition
2.2.4. Antimicrobial Activity
Minimum Inhibitory Concentration Determination
3. Materials and Methods
3.1. Anticancer Study
3.1.1. Cell Culture
3.1.2. MTT Assay
3.1.3. Annexin and Dead Cell Assay
3.1.4. MitoPotential Assay
3.1.5. Cell Cycle Analysis
3.1.6. Caspase-8 and -9 Activity Assay
3.1.7. Statistical Analysis
3.2. Antioxidant Study
3.2.1. Materials
3.2.2. Elastase Assay
3.2.3. DPPH Assay
3.2.4. ABTS Assay
3.2.5. β-Carotene Bleaching Test
3.3. Antimicrobial Study
Methodology
3.4. Synthesis
3.4.1. N-(4-Acetylphenyl)-2,4-Dichloro-5-Methylbenzenesulfonamide (3)
3.4.2. Synthesis (E)-2,4-Dichloro-N-(4-Cinnamoylphenyl)-5-Methylbenzenesulfonamide Derivatives 4–8
(E)-2,4-Dichloro-N-(4-Cinnamoylphenyl)-5-Methylbenzenesulfonamide (4)
(E)-N-{4-[3-(4-Bromophenyl)acryloyl]phenyl}-2,4-Dichloro-5-Methylbenzenesulfonamide (5)
(E)-2,4-Dichloro-N-{4-[3-(4-Fluorophenyl)acryloyl]phenyl}-5-Methylbenzenesulfonamide (6)
(E)-2,4-Dichloro-N-{4-[3-(4-Chlorophenyl)acryloyl]phenyl}-5-Methylbenzenesulfonamide (7)
(E)-2,4-Dichloro-5-Methyl-N-{4-[3-(p-Tolyl)acryloyl]phenyl}benzenesulfonamide (8)
4. Conclusions
Supplementary Materials
Author Contributions
Funding
Institutional Review Board Statement
Informed Consent Statement
Data Availability Statement
Acknowledgments
Conflicts of Interest
References
- Singh, P.; Anand, A.; Kumar, V. Recent developments in biological activities of chalcones: A mini review. Eur. J. Med. Chem. 2014, 85, 758–777. [Google Scholar] [CrossRef]
- Rajendran, G.; Bhanu, D.; Aruchamy, B.; Ramani, P.; Pandurangan, N.; Bobba, K.N.; Oh, E.J.; Chung, H.Y.; Gangadaran, P.; Ahn, B.-C. Chalcone: A Promising Bioactive Scaffold in Medicinal Chemistry. Pharmaceuticals 2022, 15, 1250. [Google Scholar] [CrossRef]
- Birsa, M.L.; Sarbu, L.G. Hydroxy Chalcones and Analogs with Chemopreventive Properties. Int. J. Mol. Sci. 2023, 24, 10667. [Google Scholar] [CrossRef]
- Botta, B.; Vitali, A.; Menendez, P.; Misiti, D.; Delle Monache, G. Prenylated flavonoids: Pharmacology and biotechnology. Curr. Med. Chem. 2005, 12, 717–739. [Google Scholar] [CrossRef]
- Rozmer, Z. Naturally occurring chalcones and their biological activities. Phytochem. Rev. 2014, 15, 87–120. [Google Scholar] [CrossRef]
- Constantinescu, T.; Lungu, C.N. Anticancer Activity of Natural and Synthetic Chalcones. Int. J. Mol. Sci. 2021, 22, 11306. [Google Scholar] [CrossRef]
- Ouyang, Y.; Li, J.; Chen, X.; Fu, X.; Sun, S.; Wu, Q. Chalcone Derivatives: Role in Anticancer Therapy. Biomolecules 2021, 11, 894. [Google Scholar] [CrossRef]
- Dhaliwal, J.S.; Moshawih, S.; Goh, K.W.; Loy, M.J.; Hossain, M.S.; Hermansyah, A.; Kotra, V.; Kifli, N.; Goh, H.P.; Dhaliwal, S.K.S.; et al. Pharmacotherapeutics Applications and Chemistry of Chalcone Derivatives. Molecules 2022, 27, 7062. [Google Scholar] [CrossRef]
- Božić, D.D.; Milenković, M.; Ivković, B.; Cirković, I. Antibacterial activity of three newly-synthesized chalcones & synergism with antibiotics against clinical isolates of methicillin-resistant Staphylococcus aureus. Indian J. Med. Res. 2014, 140, 130–137. [Google Scholar]
- Gupta, D.; Jain, D.K. Chalcone derivatives as potential antifungal agents: Synthesis, and antifungal activity. J. Adv. Pharm. Technol. Res. 2015, 6, 114–117. [Google Scholar] [CrossRef]
- Zheng, Y.; Wang, X.; Gao, S.; Ma, M.; Ren, G.; Liu, H.; Chen, X. Synthesis and antifungal activity of chalcone derivatives. Nat. Prod. Res. 2015, 29, 1804–1810. [Google Scholar] [CrossRef]
- Elkhalifa, D.; Al-Hashimi, I.; Moustafa, A.-E.A.; Khalil, A. A comprehensive review on the antiviral activities of chalcones. J. Drug Target. 2021, 29, 403–419. [Google Scholar] [CrossRef]
- Hayat, F.; Moseley, E.; Salahuddin, A.; Zyl, R.L.Z.; Azam, A. Antiprotozoal activity of chloroquinoline based chalcones. Eur. J. Med. Chem. 2011, 46, 1897–1905. [Google Scholar] [CrossRef]
- Padhye, S.; Ahmad, A.; Oswal, N.; Dandawate, P.; Rub, R.A.; Deshpande, J.; Swamy, K.V.; Sarkar, F.H. Fluorinated 2′-hydroxychalcones as garcinol analogs with enhanced antioxidant and anticancer activities. Bioorg. Med. Chem. Lett. 2010, 20, 5818. [Google Scholar] [CrossRef]
- Brboric, J.; Klisic, A.; Kotur-Stevuljevic, J.; Delogu, G.; Ackova, D.G.; Kostic, K.; Dettori, M.A.; Fabbri, D.; Carta, P.; Saso, L. Natural and natural-like polyphenol compounds: In vitro antioxidant activity and potential for therapeutic application. Arch. Med. Sci. 2023, 19, 651–671. [Google Scholar] [CrossRef]
- Herencia, F.; Ferrándiz, M.L.; Ubeda, A.; Domínguez, J.N.; Charris, J.E.; Lobo, G.M.; Alcaraz, M.J. Synthesis and anti-inflammatory activity of chalcone derivatives. Bioorg. Med. Chem. Lett. 1998, 8, 1169–1174. [Google Scholar] [CrossRef]
- Orlikova, B.; Tasdemir, D.; Golais, F.; Dicato, M.; Diederich, M. Dietary chalcones with chemopreventive and chemotherapeutic potential. Genes. Nutr. 2011, 6, 125–147. [Google Scholar] [CrossRef]
- Gomes, M.N.; Muratov, E.N.; Pereira, M.; Peixoto, J.C.; Rosseto, L.P.; Cravo, P.V.L.; Andrade, C.H.; Neves, B.J. Chalcone Derivatives: Promising Starting Points for Drug Design. Molecules 2017, 22, 1210. [Google Scholar] [CrossRef]
- Gao, F.; Huang, G.; Xiao, J. Chalcone hybrids as potential anticancer agents: Current development, mechanism of action, and structure-activity relationship. Med. Res. Rev. 2020, 40, 2049–2084. [Google Scholar] [CrossRef]
- Ovung, A.; Bhattacharyya, J. Sulfonamide drugs: Structure, antibacterial property, toxicity, and biophysical interactions. Biophys. Rev. 2021, 13, 259–272. [Google Scholar] [CrossRef]
- Khan, F.A.; Mushtaq, S.; Naz, S.; Farooq, U.; Zaidi, A.; Bukhari, S.M.; Rauf, A.; Mubarak, M.S. Sulfonamides as Potential Bioactive Scaffolds. Curr. Org. Chem. 2018, 22, 818–830. [Google Scholar] [CrossRef]
- Scozzafava, A.; Owa, T.; Mastrolorenzo, A.; Supuran, C.T. Anticancer and antiviral sulfonamides. Curr. Med. Chem. 2003, 10, 925–953. [Google Scholar] [CrossRef]
- Supuran, C.T. Indisulam: An anticancer sulfonamide in clinical development. Expert Opin. Investig. Drugs 2003, 12, 283–287. [Google Scholar] [CrossRef]
- Patrawala, S.; Puzanov, I. Vemurafenib (RG67204, PLX4032): A potent, selective BRAF kinase inhibitor. Future Oncol. 2012, 8, 509–523. [Google Scholar] [CrossRef]
- Irfan, R.; Mousavi, S.; Alazmi, M.; Saleem, R.S.Z. A Comprehensive Review of Aminochalcones. Molecules 2020, 25, 5381. [Google Scholar] [CrossRef]
- Mphahlele, M.J. Synthesis, Structural and Biological Properties of the Ring-A Sulfonamido Substituted Chalcones: A Review. Molecules 2021, 26, 5923. [Google Scholar] [CrossRef]
- Seo, W.D.; Ryu, Y.B.; Curtis-Long, M.J.; Lee, C.W.; Ryu, H.W.; Jang, K.C.; Park, H.K. Evaluation of anti-pigmentary effect of synthetic sulfonylamino chalcone. Eur. J. Med. Chem. 2010, 45, 2010–2017. [Google Scholar] [CrossRef]
- Mphahlele, M.J.; Zamisa, S.J.; El-Gorgary, T.M. Characterization, Hirshfeld Surface analysis, DFT study and an in vitro αglucosidase/α-amylase/radical scavenging profiling of novel 5-styryl-2-(4-tolylsulfonamido)chalcones. J. Mol. Struct. 2021, 1245, 131090. [Google Scholar] [CrossRef]
- Seo, W.D.; Kim, J.H.; Kang, J.E.; Ryu, H.W.; Curtis-Long, M.J.; Lee, H.S.; Yang, M.S.; Park, K.H. Sulfonamide chalcone as a new class of α-glucosidase inhibitors. Bioorganic Med. Chem. Lett. 2005, 15, 5514–5516. [Google Scholar] [CrossRef]
- Kang, J.E.; Cho, J.K.; Curtis-Long, M.J.; Ryu, H.W.; Kim, J.H.; Kim, H.J.; Yuk, H.J.; Kim, D.W.; Park, K.H. Inhibitory Evaluation of Sulfonamide Chalcones on β-Secretase and Acylcholinesterase. Molecules 2013, 18, 140–153. [Google Scholar] [CrossRef]
- Silva, C.R.; Borges, F.F.V.; Bernardes, A.; Perez, C.N.; Silva, D.M.; Chen-Chen, L. Genotoxic, Cytotoxic, Antigenotoxic, and Anticytotoxic Effects of Sulfonamide Chalcone Using the Ames Test and the Mouse Bone Marrow Micronucleus Test. PLoS ONE 2015, 3, 10. [Google Scholar] [CrossRef] [PubMed]
- Ghorab, M.M.; Ragab, F.A.; Heiba, H.I.; El-Gazzar, M.G.; Zahran, S.S. Synthesis, anticancer and radiosensitizing evaluation of some novel sulfonamide derivatives. Eur. J. Med. Chem. 2015, 92, 682–692. [Google Scholar] [CrossRef] [PubMed]
- Bonakdar, A.P.S.; Vafaei, F.; Farokhpour, M.; Esfahani, M.H.N.; Massah, A.R. Synthesis and Anticancer Activity Assay of Novel Chalcone-Sulfonamide Derivatives. Iran. J. Pharm. Res. 2017, 16, 565–568. [Google Scholar]
- Custodio, J.M.F.; Michelini, L.J.; de Castro, M.R.C.; Vaz, W.F.; Neves, B.J.; Cravo, P.V.L.; Barreto, F.S.; Filho, M.O.M.; Perez, C.N.; Napolitano, H.B. Structural insights into a novel anticancer sulfonamide chalcone. New J. Chem. 2018, 42, 3426–3434. [Google Scholar] [CrossRef]
- Iqbal, H.; Prabhakar, V.; Sangith, A.; Chandrika, B.; Balasubramanian, T. Synthesis, anti-inflammatory and antioxidant activity of ring-A-monosubstituted chalcone derivatives. Med. Chem. Res. 2014, 23, 4383–4394. [Google Scholar] [CrossRef]
- Mustafa, M.; Mostafa, Y.A. A facile synthesis, drug-likeness, and in silico molecular docking of certain new azidosulfonamide– chalcones and their in vitro antimicrobial activity. Mon. Chem. 2020, 151, 417–427. [Google Scholar] [CrossRef]
- Bułakowska, A.; Sławiński, J.; Siedlecka-Kroplewska, K.; Stasiłojć, G.; Serocki, M.; Heldt, M. Novel N-(aryl/heteroaryl)-2-chlorobenzenesulfonamide derivatives: Synthesis and anticancer activity evaluation. Bioorg. Chem. 2020, 104, 104309. [Google Scholar] [CrossRef]
- Bułakowska, A.; Sławiński, J.; Hałasa, R.; Hering, A.; Gucwa, M.; Ochocka, J.R.; Stefanowicz-Hajduk, J. An In Vitro Antimicrobial, Anticancer and Antioxidant Activity of N-[(2-Arylmethylthio)phenylsulfonyl]cinnamamide Derivatives. Molecules 2023, 28, 3087. [Google Scholar] [CrossRef]
- Jan, R.; Chaudhry, G.E. Understanding Apoptosis and Apoptotic Pathways Tar-geted Cancer Therapeutics. Adv. Pharm. Bull. 2019, 9, 205–218. [Google Scholar] [CrossRef]
- Li, H.; Zhu, H.; Xu, C.J.; Yuan, J. Cleavage of BID by caspase 8 mediates the mito-chondrial damage in the Fas pathway of apoptosis. Cell 1998, 21, 491–501. [Google Scholar] [CrossRef]
- Castaño, L.F.; Cuartas, V.; Bernal, A.; Insuasty, A.; Guzman, J.; Vidal, O.; Rubio, V.; Puerto, G.; Lukáč, P.; Vimberg, V.; et al. New chalcone-sulfonamide hybrids exhibiting anticancer and antituberculosis activity. Eur. J. Med. Chem. 2019, 176, 50–60. [Google Scholar] [CrossRef] [PubMed]
- Wang, Y.; Xue, S.; Li, R.; Zheng, Z.; Yi, H.; Li, Z. Synthesis and biological evaluation of novel synthetic chalcone derivatives as anti-tumor agents targeting Cat L and Cat K. Bioorg. Med. Chem. 2018, 26, 8–16. [Google Scholar] [CrossRef] [PubMed]
- Pascoal, A.C.; Ehrenfried, C.A.; Lopez, B.G.; Araujo, T.M.; Pascoal, V.D.; Gilioli, R.; Anhê, G.F.; Ruiz, A.L.; Carvalho, J.E.; Stefanello, M.E.; et al. Antiproliferative activity and induction of apoptosis in PC-3 cells by the chalcone cardamonin from Campomanesia adamantium (Myrtaceae) in a bioactivity-guided study. Molecules 2014, 7, 1843–1855. [Google Scholar] [CrossRef] [PubMed]
- Badroon, N.A.; Majid, A.N.; Alshawsh, M.A. Antiproliferative and Apoptotic Effects of Cardamonin against Hepatocellular Carcinoma HepG2 Cells. Nutrients 2020, 12, 1757. [Google Scholar] [CrossRef] [PubMed]
- Hou, G.; Yuan, X.; Li, Y.; Hou, G.; Liu, X. Cardamonin, a natural chalcone, reduces 5-fluorouracil resistance of gastric cancer cells through targeting Wnt/β-catenin signal pathway. Investig. New Drugs 2020, 38, 329–339. [Google Scholar] [CrossRef] [PubMed]
- Predes, D.; Oliveira, L.F.S.; Ferreira, L.S.S.; Maia, L.A.; Delou, J.M.A.; Faletti, A.; Oliveira, I.; Amado, N.G.; Reis, A.H.; Fraga, C.A.M.; et al. The Chalcone Lonchocarpin Inhibits Wnt/β-Catenin Signaling and Suppresses Colorectal Cancer Proliferation. Cancers 2019, 11, 1968. [Google Scholar] [CrossRef]
- Cursino, L.M.; Lima, N.M.; Murillo, R.; Nunez, C.V.; Merfort, I.; Humar, M. Isolation of Flavonoids from Deguelia duckeana and Their Effect on Cellular Viability, AMPK, eEF2, eIF2 and eIF4E. Molecules 2016, 21, 192. [Google Scholar] [CrossRef]
- Chen, G.; Zhou, D.; Li, X.; Jiang, Z.; Tan, C.; Wei, X.; Ling, J.; Jing, J.; Liu, F.; Li, N. A natural chalcone induces apoptosis in lung cancer cells: 3D-QSAR, docking and an in vivo/vitro assay. Sci. Rep. 2017, 7, 10729. [Google Scholar] [CrossRef]
- Haritunians, T.; Gueller, S.; O’Kelly, J.; Ilaria, R., Jr.; Koeffler, H.P. Novel acyl sulfonamide LY573636-sodium: Effect on hematopoietic malignant cells. Oncol. Rep. 2008, 20, 1237–1242. [Google Scholar]
- Meier, T.; Uhlik, M.; Chintharlapalli, S.; Dowless, M.; Horn, R.; Stewart, J.; Blosser, W.; Cook, J.; Young, D.; Ye, X.; et al. Tasisulam Sodium, an Antitumor Agent That Inhibits Mitotic Progression and Induces Vascular Normalization. Mol. Cancer Ther. 2011, 10, 2168–2178. [Google Scholar] [CrossRef]
- Pogacar, Z.; Johnson, J.L.; Krenning, L.; De Conti, G.; Jochems, F.; Lieftink, C.; Velds, A.; Wardak, L.; Groot, K.; Schepers, A.; et al. Indisulam synergizes with palbociclib to induce senescence through inhibition of CDK2 kinase activity. PLoS ONE 2022, 6, 17. [Google Scholar] [CrossRef] [PubMed]
- Schöffski, P. Pazopanib in the treatment of soft tissue sarcoma. Expert Rev. Anticancer Ther. 2012, 12, 711–723. [Google Scholar] [CrossRef] [PubMed]
- Koelblinger, P.; Thuerigen, O.; Dummer, R. Development of encorafenib for BRAF-mutated advanced melanoma. Curr. Opin. Oncol. 2018, 30, 125–133. [Google Scholar] [CrossRef] [PubMed]
- Cohen, J.V.; Sullivan, R.J. Developments in the Space of New MAPK Pathway Inhibitors for BRAF-Mutant Melanoma. Clin. Cancer Res. 2019, 1, 5735–5742. [Google Scholar] [CrossRef] [PubMed]
- Sullivan, R.J.; Weber, J.; Patel, S.; Dummer, R.; Carlino, M.S.; Tan, D.S.W.; Lebbé, C.; Siena, S.; Elez, E.; Wollenberg, L.; et al. A Phase Ib/II Study of the BRAF Inhibitor Encorafenib Plus the MEK Inhibitor Binimetinib in Patients with BRAFV600E/K-mutant Solid Tumors. Clin. Cancer Res. 2020, 26, 5102–5112. [Google Scholar] [CrossRef]
- Koleva, I.I.; Beek, T.A.; Linssen, J.P.H.; Groot, A.; Evstatieva, L.N. Screening of plant extracts for antioxidant activity: A comparative study on three testing methods. Phytochem. Anal. 2001, 13, 8–17. [Google Scholar] [CrossRef]
- Liargkova, T.; Hadjipavlou-Litina, D.J.; Koukoulitsa, C.; Voulgari, E.; Avgoustakis, C. Simple chalcones and bis-chalcones ethers as possible pleiotropic agents. J. Enzym. Inhib. Med. Chem. 2016, 31, 302–313. [Google Scholar] [CrossRef]
- Silva, J.; de Oliveira Souza, A.; Anjos, I.C.; Pádua, G.M.S.; Vieira, L.C.C.; Gai, B.M. Evaluation of chalcones derivatives in lipid peroxidation reduction induced by Fe2+/EDTA in vitro. Res. Soc. Dev. 2023, 12, e16012139541. [Google Scholar] [CrossRef]
- Sulpizio, C.; Roller, A.; Giester, G.; Rompel, A. Synthesis, structure, and antioxidant activity of methoxy- and hydroxyl-substituted 2’-aminochalcones. Monatsh. Chem. 2016, 147, 1747–1757. [Google Scholar] [CrossRef]
- Bandgar, B.P.; Gawande, S.S.; Bodade, R.G.; Gawande, N.M.; Khobragade, C.N. Synthesis and biological evaluation of a novel series of pyrazole chalcones as anti-inflammatory, antioxidant and antimicrobial agents. Bioorg. Med. Chem. 2009, 15, 8168–8173. [Google Scholar] [CrossRef]
- Voynow, J.A.; Shinbashi, M. Neutrophil Elastase and Chronic Lung Disease. Biomolecules 2021, 21, 1065. [Google Scholar] [CrossRef] [PubMed]
- Zeng, W.; Song, Y.; Wang, R.; He, R.; Wang, T. Neutrophil elastase: From mechanisms to therapeutic potential. J. Pharm. Anal. 2023, 13, 355–366. [Google Scholar] [CrossRef] [PubMed]
- Popoola, O.K.; Marnewick, J.L.; Rautenbach, F.; Ameer, F.; Iwuoha, E.I.; Hussein, A.A. Inhibition of Oxidative Stress and Skin Aging-Related Enzymes by Prenylated Chalcones and Other Flavonoids from Helichrysum teretifolium. Molecules 2015, 20, 7143–7155. [Google Scholar] [CrossRef] [PubMed]
- Weyesa, A.; Eswaramoorthy, R.; Melaku, Y.; Mulugeta, E. Antibacterial, Docking, DFT and ADMET Properties Evaluation of Chalcone-Sulfonamide Derivatives Prepared Using ZnO Nanoparticle Catalysis. Adv. Appl. Bioinform. Chem. 2021, 14, 133–144. [Google Scholar] [CrossRef] [PubMed]
- Khanusiya, M.; Gadhawala, Z. Design, Synthesis and Biological Evaluation of Some Novel Chalcone-Sulfonamide Hybrids. Chem. Sci. Trans. 2019, 8, 195–207. [Google Scholar]
- Yamali, C.; Sevin, S.; Nenni, M.; Sakarya, M.T.; Uyar, R.; Aygul, A.; Ulger, M.; Ilhan, R.; Levent, S.; Gul, H.I. Design, synthesis, and assessment of pharmacological properties of indole-based fluorinated chalcones and their benzenesulfonamide analogs. Chemical Papers 2023, 77, 7903–7918. [Google Scholar] [CrossRef]
- Stefanowicz-Hajduk, J.; Hering, A.; Gucwa, M.; Sztormowska-Achranowicz, K.; Kowalczyk, M.; Soluch, A.; Ochocka, J.R. An In Vitro Anticancer, Antioxidant, and Phytochemical Study on Water Extract of Kalanchoe daigremontiana Raym.-Hamet and H. Perrier. Molecules 2022, 27, 2280. [Google Scholar] [CrossRef]
- Stefanowicz-Hajduk, J.; Hering, A.; Gucwa, M.; Czerwińska, M.; Ochocka, J.R. Yamogenin-Induced Cell Cycle Arrest, Oxidative Stress, and Apoptosis in Human Ovarian Cancer Cell Line. Molecules 2022, 27, 8181. [Google Scholar] [CrossRef]
- Thring, T.S.A.; Hili, P.; Naughton, D.P. Anti-collagenase, anti-elastase and anti-oxidant activities of extracts from 21 plants. BMC Complement. Altern. Med. 2009, 9, 27. [Google Scholar] [CrossRef]
- Ochocka, R.; Hering, A.; Stefanowicz-Hajduk, J.; Cal, K.; Barańska, H. The effect of mangiferin on skin: Penetration, permeation and inhibition of ECM enzymes. PLoS ONE 2017, 27, 0181542. [Google Scholar] [CrossRef]
- Olszowy, M.; Dawidowicz, A.L. Essential oils as antioxidants: Their evaluation by DPPH, ABTS, FRAP, CUPRAC, and β-carotene bleaching methods. Monatsh. Chem. 2016, 147, 2083–2091. [Google Scholar] [CrossRef]
- Krauze-Baranowska, M.; Głód, D.; Kula, M.; Majdan, M.; Hałasa, R.; Matkowski, A.; Kozłowska, W.; Kawiak, A. Chemical composition and biological activity of Rubus idaeus shoots—A traditional herbal remedy of Eastern Europe. BMC Complex. Alter. Med. 2014, 14, 480. [Google Scholar] [CrossRef] [PubMed]









| Compd | IC50 (µg/mL) | |||
|---|---|---|---|---|
| AGS | HeLa | HL-60 | Fibroblasts | |
| 4 | 1.23 ± 0.23 | 9.63 ± 0.06 | 2.37 ± 0.23 | 32.15 ± 2.91 |
| 5 | 0.89 ± 0.04 | 5.67 ± 0.35 | 0.93 ± 0.09 | 25.59 ± 1.04 |
| 6 | 4.49 ± 0.44 | 8.65 ± 0.52 | 1.69 ± 0.20 | 27.00 ± 2.29 |
| 7 | 1.57 ± 0.20 | 6.34 ± 0.04 | 1.46 ± 0.20 | 29.95 ± 3.27 |
| 8 | 3.60 ± 0.33 | 7.96 ± 0.37 | 2.90 ± 0.17 | 27.79 ± 2.82 |
| Oxaliplatin * | 17.90 ± 1.20 | 35.76 ± 1.72 | n.t. | 95.79 ± 3.24 |
| Compd | Cell Line | ||
|---|---|---|---|
| AGS | HeLa | HL-60 | |
| 4 | 26.14 | 3.34 | 13.57 |
| 5 | 28.75 | 4.51 | 27.52 |
| 6 | 6.01 | 3.12 | 15.98 |
| 7 | 19.08 | 4.72 | 20.51 |
| 8 | 7.72 | 3.50 | 9.58 |
| Compd * | DPPH | ABTS |
|---|---|---|
| 4 | 19.49 ± 0.38 | NR |
| 5 | 30.18 ± 0.23 | 16.01 ± 0.69 |
| 6 | 21.85 ± 0.22 | NR |
| 7 | 18.70 ± 0.04 | NR |
| 8 | 0.32 ± 0.03 | NR |
Disclaimer/Publisher’s Note: The statements, opinions and data contained in all publications are solely those of the individual author(s) and contributor(s) and not of MDPI and/or the editor(s). MDPI and/or the editor(s) disclaim responsibility for any injury to people or property resulting from any ideas, methods, instructions or products referred to in the content. |
© 2023 by the authors. Licensee MDPI, Basel, Switzerland. This article is an open access article distributed under the terms and conditions of the Creative Commons Attribution (CC BY) license (https://creativecommons.org/licenses/by/4.0/).
Share and Cite
Bułakowska, A.; Sławiński, J.; Hering, A.; Gucwa, M.; Ochocka, J.R.; Hałasa, R.; Balewski, Ł.; Stefanowicz-Hajduk, J. New Chalcone Derivatives Containing 2,4-Dichlorobenzenesulfonamide Moiety with Anticancer and Antioxidant Properties. Int. J. Mol. Sci. 2024, 25, 274. https://doi.org/10.3390/ijms25010274
Bułakowska A, Sławiński J, Hering A, Gucwa M, Ochocka JR, Hałasa R, Balewski Ł, Stefanowicz-Hajduk J. New Chalcone Derivatives Containing 2,4-Dichlorobenzenesulfonamide Moiety with Anticancer and Antioxidant Properties. International Journal of Molecular Sciences. 2024; 25(1):274. https://doi.org/10.3390/ijms25010274
Chicago/Turabian StyleBułakowska, Anita, Jarosław Sławiński, Anna Hering, Magdalena Gucwa, J. Renata Ochocka, Rafał Hałasa, Łukasz Balewski, and Justyna Stefanowicz-Hajduk. 2024. "New Chalcone Derivatives Containing 2,4-Dichlorobenzenesulfonamide Moiety with Anticancer and Antioxidant Properties" International Journal of Molecular Sciences 25, no. 1: 274. https://doi.org/10.3390/ijms25010274
APA StyleBułakowska, A., Sławiński, J., Hering, A., Gucwa, M., Ochocka, J. R., Hałasa, R., Balewski, Ł., & Stefanowicz-Hajduk, J. (2024). New Chalcone Derivatives Containing 2,4-Dichlorobenzenesulfonamide Moiety with Anticancer and Antioxidant Properties. International Journal of Molecular Sciences, 25(1), 274. https://doi.org/10.3390/ijms25010274

