Design, Synthesis and Cytotoxic Activity of Novel Salicylaldehyde Hydrazones against Leukemia and Breast Cancer
Abstract
1. Introduction
2. Results
2.1. Anticancer Activity of Salicylaldehyde Hydrazones
2.2. Structure-Activity Relationship (SAR) Analyses for Salicylaldehyde Hydrazones as Anticancer Agents
2.3. Design of Novel Hydrazone Derivatives as Anticancer Agents and Drug Likeness Evaluation
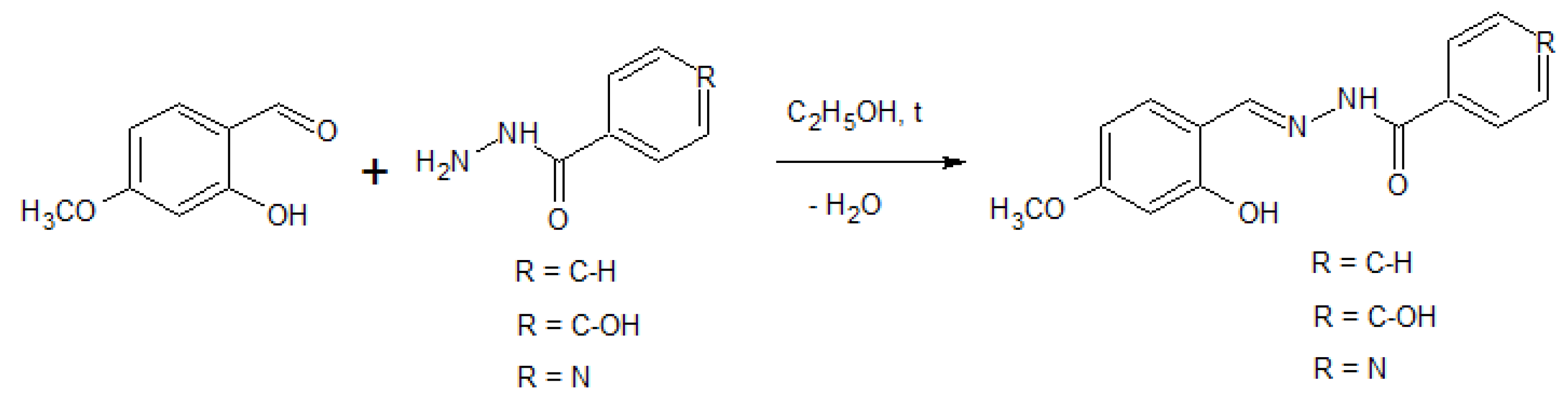
2.4. Synthesis and Characterization of the Newly Designed 4-Methoxysalicylaldehyde Hydrazones
2.5. Anticancer Activities of the Newly Designed 4-Methoxysalicylaldehyde Hydrazones
2.6. Selectivity of the Newly Designed 4-Methoxysalicylaldehyde Hydrazones
3. Discussion
4. Materials and Methods
4.1. Datasets
4.2. ADME and PK Properties
4.3. Preparation and Characterization
Synthesis of the Hydrazones
4.4. Cytotoxic Activity
4.4.1. Cell Lines and Culture Conditions
4.4.2. Cytotoxicity Assessment (MTT-Dye Reduction Assay)
4.4.3. Data Processing and Statistics
Supplementary Materials
Author Contributions
Funding
Institutional Review Board Statement
Informed Consent Statement
Data Availability Statement
Conflicts of Interest
References
- World Health Organization. Available online: www.who.int (accessed on 23 February 2023).
- Ferlay, J.; Colombet, M.; Soerjomataram, I.; Parkin, D.M.; Piñeros, M.; Znaor, A.; Bray, F. Cancer statistics for the year 2020: An overview. Int. J. Cancer 2021, 149, 778–789. [Google Scholar] [CrossRef]
- American Cancer Society. Available online: www.cancer.org (accessed on 23 February 2023).
- Malard, F.; Mohty, M. Acute lymphoblastic leukaemia. Lancet 2020, 395, 1146–1162. [Google Scholar] [CrossRef] [PubMed]
- Jabbour, E.; Kantarjian, H. Chronic myeloid leukemia: 2022 update on diagnosis, therapy, and monitoring. Am. J. Hematol. 2022, 97, 1236–1256. [Google Scholar] [CrossRef] [PubMed]
- National Cancer Institute. Available online: www.cancer.gov (accessed on 23 February 2023).
- Mokhtari, R.B.; Homayouni, T.S.; Baluch, N.; Morgatskaya, E.; Kumar, S.; Das, B.; Yeger, H. Combination therapy in combating cancer. Oncotarget 2017, 8, 38022–38043. [Google Scholar] [CrossRef] [PubMed]
- Ayoub, N.M. Editorial: Novel Combination Therapies for the Treatment of Solid Cancers. Front. Oncol. 2021, 11, 2377. [Google Scholar] [CrossRef]
- Foucquier, J.; Guedj, M. Analysis of drug combinations: Current methodological landscape. Pharmacol. Res. Perspect. 2015, 3, e00149, Erratum in: Pharmacol. Res. Perspect. 2019, 7, e00549. [Google Scholar] [CrossRef]
- Anampa, J.; Makower, D.; Sparano, J.A. Progress in adjuvant chemotherapy for breast cancer: An overview. BMC Med. 2015, 13, 195. [Google Scholar] [CrossRef]
- Rugo, H.S.; Kabos, P.; Beck, J.T.; Jerusalem, G.; Wildiers, H.; Sevillano, E.; Paz-Ares, L.; Chisamore, M.J.; Chapman, S.C.; Hossain, A.M.; et al. Abemaciclib in combination with pembrolizumab for HR+, HER2− metastatic breast cancer: Phase 1b study. NPJ Breast Cancer 2022, 8, 118. [Google Scholar] [CrossRef]
- Masuda, N.; Chen, Y.; Kawaguchi, T.; Dozono, K.; Toi, M. Safety in Japanese Advanced Breast Cancer Patients Who Received Abemaciclib in MONARCH 2 and MONARCH 3: Assessment of Treatment-Emergent Neutropenia, Diarrhea, and Increased Alanine Aminotransferase and Aspartate Aminotransferase Levels. Cancer Manag. Res. 2022, 14, 1179–1194. [Google Scholar] [CrossRef]
- Petrelli, F.; Ghidini, A.; Pedersini, R.; Cabiddu, M.; Borgonovo, K.; Parati, M.C.; Ghilardi, M.; Amoroso, V.; Berruti, A.; Barni, S. Comparative efficacy of palbociclib, ribociclib and abemaciclib for ER+ metastatic breast cancer: An adjusted indirect analysis of randomized controlled trials. Breast Cancer Res. Treat. 2019, 174, 597–604. [Google Scholar] [CrossRef]
- Megías-Vericat, J.E.; Ballesta-López, O.; Barragán, E.; Martínez-Cuadrón, D.; Montesinos, P. Tyrosine kinase inhibitors for acute myeloid leukemia: A step toward disease control? Blood Rev. 2020, 44, 100675. [Google Scholar] [CrossRef]
- Cioccio, J.; Claxton, D. Therapy of acute myeloid leukemia: Therapeutic targeting of tyrosine kinases. Expert Opin. Investig. Drugs 2019, 28, 337–349. [Google Scholar] [CrossRef]
- Shang, Y.; Zhou, F. Current Advances in Immunotherapy for Acute Leukemia: An Overview of Antibody, Chimeric Antigen Receptor, Immune Checkpoint, and Natural Killer. Front. Oncol. 2019, 9, 917. [Google Scholar] [CrossRef] [PubMed]
- Iqbal, N.; Iqbal, N. Imatinib: A breakthrough of targeted therapy in cancer. Chemother. Res. Pract. 2014, 2014, 357027. [Google Scholar] [CrossRef]
- Flynn, J.P.; Gerriets, V. Imatinib. In StatPearls; StatPearls Publishing: Treasure Island, FL, USA, 2022. Available online: https://www.ncbi.nlm.nih.gov/books/NBK551676/ (accessed on 17 January 2023).
- Sheykhhasan, M.; Manoochehri, H.; Dama, P. Use of CAR T-cell for acute lymphoblastic leukemia (ALL) treatment: A review study. Cancer Gene Ther. 2022, 29, 1080–1096. [Google Scholar] [CrossRef] [PubMed]
- El-Etrawy, A.-A.S.; Sherbiny, F.F. Design, synthesis, biological evaluation and molecular modeling investigation of new N’-(2-Thiouracil-5-oyl) hydrazone derivatives as potential anti-breast cancer and anti-bacterial agents. J. Mol. Str. 2021, 1232, 129993. [Google Scholar] [CrossRef]
- Cancer Research UK. Available online: https://www.cancerresearchuk.org/Doxorubicin (accessed on 3 March 2023).
- Kaplánek, R.; Jakubek, M.; Rak, J.; Kejík, Z.; Havlík, M.; Dolensky, B.; Frydrych, I.; Hajdúch, M.; Kolár, M.; Bogdanová, K.; et al. Caffeine–hydrazones as anticancer agents with pronounced selectivity toward T-lymphoblastic leukaemia cells. Bioorg. Chem. 2015, 60, 19–29. [Google Scholar] [CrossRef] [PubMed]
- Salum, L.B.; Mascarello, A.; Canevarolo, R.R.; Altei, W.F.; Laranjeira, A.B.A.; Neuenfeldt, P.D.; Stumpf, T.R.; Chiara-dia-Delatorre, L.D.; Vollmer, L.L.; Daghestani, H.N.; et al. N-(1′-naphthyl)-3,4,5-trimethoxybenzohydrazide as microtubule destabilizer: Synthesis, cytotoxicity, inhibition of cell migra-tion and in vivo activity against acute lymphoblastic leukemia. Eur. J. Med. Chem. 2015, 96, 504–518. [Google Scholar] [CrossRef] [PubMed]
- Johnson, D.K.; Murphy, T.B.; Rose, N.J.; Goodwin, W.H.; Pickart, L. Cytotoxic chelators and chelates 1. Inhibition of DNA synthesis in cultured rodent and human cells by aroylhydrazones and by a copper(II) complex of salicylaldehyde benzoyl hydrazone. Inorganica Chim. Acta 1982, 67, 159–165. [Google Scholar] [CrossRef]
- Richardson, D.R.; Milnes, K. The potential of iron chelators of the pyridoxal isonicotinoyl hydrazone class as effective anti-proliferative agents II: The mechanism of action of ligands derived from salicylaldehyde benzoyl hydrazone and 2-hydroxy-1-naphthylaldehyde benzoyl hydrazone. Blood 1997, 89, 3025–3038. [Google Scholar] [CrossRef]
- Nikolova-Mladenova, B.; Halachev, N.; Iankova, R.; Momekov, G.; Ivanov, D. Synthesis, characterization and cytotoxic activity of new salicylaldehyde benzoylhydrazone derivatives as potential anti-proliferative agents. Arzneimittelforschung 2011, 61, 714–718. [Google Scholar] [CrossRef] [PubMed]
- Nikolova-Mladenova, B.; Momekov, G.; Ivanov, D. Synthesis and physicochemical characterization of new salicylaldehyde benzoyl hydrazone derivative with high cytotoxic activity. Pharmacia 2011, 58, 41–44. [Google Scholar]
- Nikolova-Mladenova, B.; Momekov, G.; Ivanov, D.; Bakalova, A. Design and drug-like properties of new 5-methoxysalicylaldehyde based hydrazones with anti-breast cancer activity. J. Appl. Biomed. 2017, 15, 233–240. [Google Scholar] [CrossRef]
- Nikolova-Mladenova, B.; Bakalova, A.; Momekov, G.; Ivanov, D. Design, drug-likeness and cytotoxicity of some bro-mo-salicylaldehyde aroylhydrazones. J. Med. Biolog. Sci. 2015, 2, 16–20. [Google Scholar]
- Nikolova-Mladenova, B.; Angelova, S.; Momekov, G. Gallium (III) Complexes with 5-Bromosalicylaldehyde Benzoylhydra-zones: In Silico Studies and In Vitro Cytotoxic Activity. Molecules 2022, 27, 5493. [Google Scholar] [CrossRef] [PubMed]
- Nikolova-Mladenova, B.; Momekov, G.; Gerasimova, T.; Topashka-Ancheva, M. Comparative evaluation of in silico and in vitro pharmacological activity of some 5-nitrosalicylaldehyde-derived hydrazones. J. Med. Biolog. Sci. 2014, 1, 44–48. [Google Scholar]
- Nikolova-Mladenova, B.I.; Angelova, S.E. Synthesis of 5-nitrosalicylaldehyde based hydrazones and DFT-calculations of their structure and reactivity. Bulg. Chem. Comm. 2017, 49, 800–806. [Google Scholar]
- Horwitz, K.B.; Costlow, M.E.; McGuire, W.L. MCF-7; a human breast cancer cell line with oestrogen, androgen, progesterone, and glucocorticoid receptors. Steroids 1975, 26, 785–795. [Google Scholar] [CrossRef]
- Chavez, K.J.; Garimella, S.V.; Lipkowitz, S. Triple negative breast cancer cell lines: One tool in the search for better treatment of triple negative breast cancer. Breast Dis. 2010, 32, 35–48. [Google Scholar] [CrossRef]
- Congreve, M.; Carr, R.; Murray, C.; Jhoti, H. A ‘rule of three’ for fragment-based lead discovery? Drug Discov. Today 2003, 8, 876–877. [Google Scholar] [CrossRef]
- Daina, A.; Michielin, O.; Zoete, V. SwissADME: A free web tool to evaluate pharmacokinetics, drug-likeness and medicinal chemistry friendliness of small molecules. Sci. Rep. 2017, 7, 42717. [Google Scholar] [CrossRef]
- Martin, Y.C. A Bioavailability Score. J. Med. Chem. 2005, 48, 3164–3170. [Google Scholar] [CrossRef]
- Lipinski, C.A. Lead- and drug-like compounds: The rule-of-five revolution. Drug Discov. Today Technol. 2004, 1, 337–341. [Google Scholar] [CrossRef]
- Ghose, A.K.; Viswanadhan, V.N.; Wendoloski, J.J. A Knowledge-Based Approach in Designing Combinatorial or Medicinal Chemistry Libraries for Drug Discovery. 1. A Qualitative and Quantitative Characterization of Known Drug Databases. J. Comb. Chem. 1999, 1, 55–68. [Google Scholar] [CrossRef] [PubMed]
- Veber, D.F.; Johnson, S.R.; Cheng, H.-Y.; Smith, B.R.; Ward, K.W.; Kopple, K.D. Molecular Properties That Influence the Oral Bioavailability of Drug Candidates. J. Med. Chem. 2002, 45, 2615–2623. [Google Scholar] [CrossRef]
- Egan, W.J.; Merz, K.M., Jr.; Baldwin, J.J. Prediction of drug absorption using multivariate statistics. J. Med. Chem. 2000, 43, 3867–3877. [Google Scholar] [CrossRef]
- Muegge, I.; Heald, S.L.; Brittelli, D. Simple Selection Criteria for Drug-like Chemical Matter. J. Med. Chem. 2001, 44, 1841–1846. [Google Scholar] [CrossRef] [PubMed]
- Teague, S.J.; Davis, A.M.; Leeson, P.D.; Oprea, T. The design of leadlike combinatorial libraries. Angew. Chem. Int. Ed. Engl. 1999, 38, 3743–3748. [Google Scholar] [CrossRef]
- Zhivkova, Z.; Doytchinova, I. Quantitative structure—Plasma protein binding relationships of acidic drugs. J. Pharm. Sci. 2012, 101, 4627–4641. [Google Scholar] [CrossRef] [PubMed]
- Zhivkova, Z.; Doytchinova, I. Prediction of steady-state volume of distribution of acidic drugs by quantitative struc-ture-pharmacokinetics relationships. J. Pharm. Sci. 2012, 101, 1253–1266. [Google Scholar] [CrossRef]
- Zhivkova, Z.; Doytchinova, I. Quantitative structure—Clearance relationships of acidic drugs. Mol. Pharm. 2013, 10, 3758–3768. [Google Scholar] [CrossRef] [PubMed]
- Ghuman, J.; Zunszain, P.A.; Petitpas, I.; Bhattacharya, A.A.; Otagiri, M.; Curry, S. Structural Basis of the Drug-binding Specificity of Human Serum Albumin. J. Mol. Biol. 2005, 353, 38–52. [Google Scholar] [CrossRef]
- Berellini, G.; Waters, N.J.; Lombardo, F. In silico Prediction of Total Human Plasma Clearance. J. Chem. Inf. Model. 2012, 52, 2069–2078. [Google Scholar] [CrossRef] [PubMed]
- Obach, R.S.; Lombardo, F.; Waters, N. Trend Analysis of a Database of Intravenous Pharmacokinetic Parameters in Humans for 670 Drug Compounds. Drug Metab. Dispos. 2008, 36, 1385–1405. [Google Scholar] [CrossRef] [PubMed]
- Mosmann, T. Rapid colorimetric assay for cellular growth and survival: Application to proliferation and cytotoxicity assays. J. Immunol. Methods 1983, 65, 55–63. [Google Scholar] [CrossRef]

![]() | |||||||||
|---|---|---|---|---|---|---|---|---|---|
| ID | R1 | Ar2 | HL-60 | KE-37 | K-562 | BV-173 | SaOS-2 | MDA-MB-231 | MCF-7 |
| 1 | 3-methoxy- | phenyl | 11.30 ± 2.6 | 9.80 ± 3.1 | 27.00 ± 2.7 | 20.8 ± 4.2 | 25.50 ± 6.2 | 25.30± 2.7 | 22.50 ± 5.4 |
| 2 | 3-methoxy- | 4-hydroxyphenyl | 9.20 ± 2.4 | 7.60 ± 2.1 | 14.30 ± 2.9 | 7.8 ± 2.0 | 19.20± 3.1 | 24.20 ± 3.8 | 19.70 ± 2.2 |
| 3 | 3-methoxy- | pyridine-4-yl | 2.70 ± 0.9 | 3.30 ± 1.2 | 8.70 ± 2.0 | 3.7 ± 1.1 | 11.90 ± 3.2 | 16.40 ± 2.0 | 11.70 ± 2.4 |
| 4 | 5-bromo- | 4-hydroxyphenyl | 3.14 ± 1.1 | 3.00 ± 0.5 | 2.83 ± 0.3 | 2.0 2± 0.9 | 49.96 ± 5.7 | 20.10 ± 3.9 | 8.88 ± 2.7 |
| 5 | 5-bromo- | pyridine-4-yl | 4.13 ± 1.2 | 2.53 ± 1.0 | 0.14 ± 0.09 | 0.63 ± 0.2 | 146.20 ± 8.9 | 38.40 ± 2.0 | 0.26 ± 0.03 |
| 6 | 5-nitro- | phenyl | 5.64 ± 1.1 | 6.38 ± 0.2 | 7.94 ± 2.3 | 2.39 ± 0.3 | 41.88 ± 5.1 | 2.80 ± 2.7 | 0.25 ± 0.03 |
| 7 | 5-nitro- | 4-hydroxyphenyl | 14.46 ± 2.1 | 19.90 ± 2.2 | >200 | 7.62 ± 1.0 | 198.60 ± 12.0 | >200 | 4.95 ± 0.06 |
| 8 | 5-nitro- | pyridine-4-yl | 14.97 ± 2.4 | 16.98 ± 3.1 | 18.98 ± 2.7 | 10.19 ± 1.1 | 35.69 ± 4.3 | 72.30 ± 5.6 | 0.18 ± 0.03 |
| 9 | 5-methoxy- | phenyl | 5.29 ± 1.2 | 3.38 ± 1.0 | na 1 | 3.15 ± 0.8 | na | 4.46 ± 1.1 | 0.91 ± 0.3 |
| 10 | 5-methoxy- | 4-hydroxyphenyl | 13.80 ± 3.1 | 14.80 ± 2.5 | na | 3.86 ± 0.9 | na | 12.07 ± 1.9 | 3.54 ± 0.5 |
| 11 | 5-methoxy- | pyridine-4-yl | 6.68 ± 1.4 | 10.86 ± 2.2 | na | 2.95 ± 0.8 | na | 5.58 ± 1.3 | 3.00 ± 0.6 |
| Melphalan | 18.50 ± 2.1 | 21.40 ± 3.9 | 28.2 ± 7.1 | 31.30 ± 3.9 | 31.40 ± 5.4 | 42.20 ± 3.7 | 33.70 ± 4.2 | ||
| Compound ID | R1 | Ar2 | Ligand Efficiency (LE) | |||||||
|---|---|---|---|---|---|---|---|---|---|---|
| HL-60 | KE-37 | K-562 | BV-173 | SaOS-2 | MDA-MB-231 | MCF-7 | Average | |||
| 1 | 3-methoxy- | phenyl | 0.247 | 0.250 | 0.228 | 0.234 | 0.230 | 0.230 | 0.232 | 0.236 |
| 2 | 3-methoxy- | 4-hydroxyphenyl | 0.240 | 0.244 | 0.231 | 0.243 | 0.225 | 0.220 | 0.224 | 0.232 |
| 3 | 3-methoxy- | pyridine-4-yl | 0.278 | 0.274 | 0.253 | 0.272 | 0.246 | 0.239 | 0.247 | 0.258 |
| 4 | 5-bromo- | 4-hydroxybenzoyl | 0.275 | 0.276 | 0.277 | 0.285 | 0.215 | 0.235 | 0.253 | 0.259 |
| 5 | 5-bromo- | 4-hydroxyphenyl | 0.283 | 0.295 | 0.360 | 0.326 | 0.202 | 0.232 | 0.346 | 0.292 |
| 6 | 5-nitro- | pyridine-4-yl | 0.250 | 0.247 | 0.243 | 0.268 | 0.208 | 0.264 | 0.315 | 0.256 |
| 7 | 5-nitro- | 4-hydroxyphenyl | 0.220 | 0.214 | na 1 | 0.233 | 0.168 | na | 0.241 | 0.215 |
| 8 | 5-nitro- | pyridine-4-yl | 0.230 | 0.227 | 0.225 | 0.238 | 0.212 | 0.197 | 0.321 | 0.235 |
| 9 | 5-methoxy- | phenyl | 0.264 | 0.274 | na | 0.275 | na | 0.268 | 0.302 | 0.276 |
| 10 | 5-methoxy- | 4-hydroxyphenyl | 0.231 | 0.230 | na | 0.258 | na | 0.234 | 0.260 | 0.243 |
| 11 | 5-methoxy- | pyridine-4-yl | 0.259 | 0.248 | na | 0.277 | na | 0.263 | 0.276 | 0.264 |
| Parameter | Compound 12 | Compound 13 | Compound 14 |
|---|---|---|---|
| R1 | 4-methoxy- | 4-methoxy- | 4-methoxy- |
| Ar2 | phenyl | 4-hydroxyphenyl | pyridine-4-yl |
| Mw g/mol | 270.28 | 286.28 | 271.27 |
| pKa | 7.8 | 8.08 | 7.67 |
| fA | 0.28 | 0.17 | 0.35 |
| logP | 3.69 | 3.07 | 2.41 |
| logD7.4 | 3.58 | 2.85 | 2.28 |
| PSA Å | 70.92 | 91.15 | 83.81 |
| FRB | 5 | 6 | 5 |
| HBD | 2 | 3 | 2 |
| HBA | 5 | 6 | 6 |
| R5 | Yes | Yes | Yes |
| water solubility | Moderately soluble | Soluble | Soluble |
| GI absorption | High | High | High |
| oral BA | INSATU | INSATU | INSATU |
| BA score | 0.55 | 0.55 | 0.55 |
| BBB permeability | Yes | No | No |
| CYP inhibition | 1A2 | No | No |
| P-gp substrate | No | No | No |
| Drug likeness | Yes | Yes | Yes |
| Lead likeness | Yes | Yes | Yes |
| Synth access | 2.46 | 2.53 | 2.43 |
| fu | 0.02 | 0.02 | 0.03 |
| CL L/h/kg | 0.39 | 0.42 | 0.46 |
| VDss L/kg | 0.21 | 0.20 | 0.21 |
| t1/2 h | 0.36 | 0.34 | 0.30 |
| Parameter | Cell Line | Compound 12 | Compound 13 | Compound 14 | Melphalan |
|---|---|---|---|---|---|
| IC50 μM exp | HL-60 | 0.04 ± 0.005 | 8.90 ± 2.47 | 0.06 ± 0.004 | 18.50 ± 2.1 |
| KE-37 | 1.99 ± 0.17 | 10.83 ± 2.81 | 2.26 ± 0.73 | 21.40 ± 3.9 | |
| K-562 | 0.03 ± 0.002 | 8.75 ± 1.29 | 0.05 ± 0.008 | 28.20 ± 7.1 | |
| BV-173 | 1.21 ± 0.11 | 3.88 ± 1.16 | 0.97 ± 0.12 | 31.30 ± 3.9 | |
| SaOS-2 | 1.68 ± 0.15 | 26.01 ± 3.65 | 1.66 ± 0.24 | 31.40 ± 5.4 | |
| MDA-MB-231 | 2.31 ± 0.25 | 2.90 ± 0.32 | 1.22 ± 0.19 | 42.20 ± 3.7 | |
| MCF-7 | 0.23 ± 0.02 | 1.38 ± 0.08 | 0.23 ± 0.04 | 33.70 ± 4.2 | |
| HEK-293 | 37.63 ± 3.41 | 56.67 ± 4.35 | 41.07 ± 2.05 | 24.81 ± 2.90 | |
| SI | HL-60 | 941 | 6 | 685 | 1 |
| KE-37 | 19 | 5 | 18 | 1 | |
| K-562 | 1254 | 6 | 821 | 1 | |
| BV-173 | 31 | 15 | 42 | 1 | |
| SaOS-2 | 22 | 2 | 25 | 1 | |
| MDA-MB-231 | 16 | 20 | 34 | 2 | |
| MCF-7 | 164 | 41 | 179 | 1 |
Disclaimer/Publisher’s Note: The statements, opinions and data contained in all publications are solely those of the individual author(s) and contributor(s) and not of MDPI and/or the editor(s). MDPI and/or the editor(s) disclaim responsibility for any injury to people or property resulting from any ideas, methods, instructions or products referred to in the content. |
© 2023 by the authors. Licensee MDPI, Basel, Switzerland. This article is an open access article distributed under the terms and conditions of the Creative Commons Attribution (CC BY) license (https://creativecommons.org/licenses/by/4.0/).
Share and Cite
Nikolova-Mladenova, B.; Momekov, G.; Zhivkova, Z.; Doytchinova, I. Design, Synthesis and Cytotoxic Activity of Novel Salicylaldehyde Hydrazones against Leukemia and Breast Cancer. Int. J. Mol. Sci. 2023, 24, 7352. https://doi.org/10.3390/ijms24087352
Nikolova-Mladenova B, Momekov G, Zhivkova Z, Doytchinova I. Design, Synthesis and Cytotoxic Activity of Novel Salicylaldehyde Hydrazones against Leukemia and Breast Cancer. International Journal of Molecular Sciences. 2023; 24(8):7352. https://doi.org/10.3390/ijms24087352
Chicago/Turabian StyleNikolova-Mladenova, Boryana, Georgi Momekov, Zvetanka Zhivkova, and Irini Doytchinova. 2023. "Design, Synthesis and Cytotoxic Activity of Novel Salicylaldehyde Hydrazones against Leukemia and Breast Cancer" International Journal of Molecular Sciences 24, no. 8: 7352. https://doi.org/10.3390/ijms24087352
APA StyleNikolova-Mladenova, B., Momekov, G., Zhivkova, Z., & Doytchinova, I. (2023). Design, Synthesis and Cytotoxic Activity of Novel Salicylaldehyde Hydrazones against Leukemia and Breast Cancer. International Journal of Molecular Sciences, 24(8), 7352. https://doi.org/10.3390/ijms24087352


