Persistence of Immune Response Elicited by Three Doses of mRNA Vaccine against SARS-CoV-2 in a Cohort of Patients with Solid Tumors: A One-Year Follow-Up
Abstract
1. Introduction
2. Results
2.1. Patients’ Characteristics
2.2. Persistence of SARS-CoV-2 Humoral and Cell-Mediated Immune Responses 12 Months after Third BNT162b2 Dose
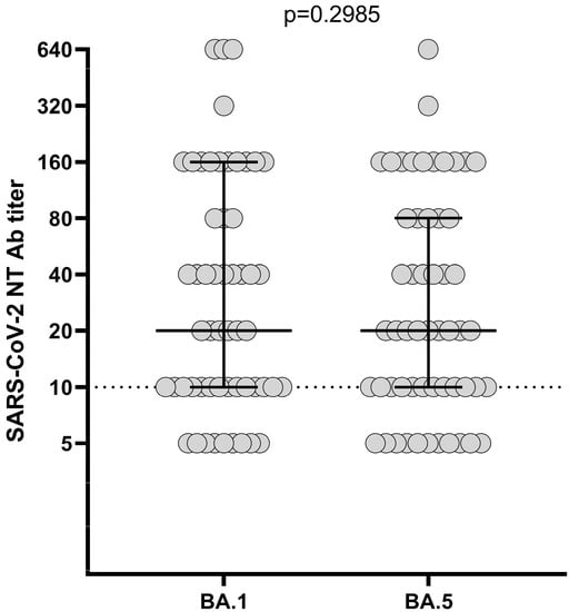
2.3. SARS-CoV-2 Neutralizing Response against VOCs One Year after the Third Dose
2.4. Analysis of Clinical Parameters
3. Discussion
4. Materials and Methods
4.1. Study Design and Participants
4.2. SARS-CoV-2 Variant Isolation and Viral Titration
4.3. Serological Assays
4.4. SARS-CoV-2 IFN-g Release Assay
4.5. Statistical Analysis
5. Conclusions
Author Contributions
Funding
Institutional Review Board Statement
Informed Consent Statement
Data Availability Statement
Acknowledgments
Conflicts of Interest
References
- Cui, J.; Li, F.; Shi, Z.L. Origin and evolution of pathogenic coronaviruses. Nat. Rev. Microbiol. 2019, 17, 181–192. [Google Scholar] [PubMed]
- World Health Organization (WHO). WHO Director-General’s Opening Remarks at the Media Briefing on COVID-19—11 March 2020. 2020. Available online: https://www.who.int/dg/speeches/detail/who-director-general-s-opening-remarks-at-the-media-briefing-on-covid-19---11-march-2020 (accessed on 17 March 2020).
- Polack, F.P.; Thomas, S.J.; Kitchin, N.; Absalon, J.; Gurtman, A.; Lockhart, S.; Perez, J.L.; Pérez Marc, G.; Moreira, E.D.; Zerbini, C.; et al. Safety and Efficacy of the BNT162b2 mRNA COVID-19 Vaccine. N. Engl. J. Med. 2020, 383, 2603–2615. [Google Scholar] [CrossRef]
- Baden, L.R.; El Sahly, H.M.; Essink, B.; Kotloff, K.; Frey, S.; Novak, R.; Diemert, D.; Spector, S.A.; Rouphael, N.; Creech, C.B. Efficacy and Safety of the mRNA-1273 SARS-CoV-2 Vaccine. N. Engl. J. Med. 2021, 384, 403–416. [Google Scholar] [CrossRef] [PubMed]
- Yin, J.; Chen, Y.; Li, Y.; Zhang, X.; Wang, C. Seroconversion rate after COVID-19 vaccination in patients with solid cancer: A systematic review and meta-analysis. Hum. Vaccin. Immunother. 2022, 26, 2119763. [Google Scholar] [CrossRef]
- Kakkassery, H.; Carpenter, E.; Patten, P.E.M.; Irshad, S. Immunogenicity of SARS-CoV-2 vaccines in patients with cancer. Trends Mol. Med. 2022, 28, 1082–1099. [Google Scholar] [CrossRef]
- Jameson, S.C.; Masopust, D. Understanding Subset Diversity in T Cell Memory. Immunity 2018, 48, 214–226. [Google Scholar] [CrossRef] [PubMed]
- Woldemeskel, B.A.; Garliss, C.C.; Blankson, J.N. SARS-CoV-2 mRNA vaccines induce broad CD4+ T cell responses that recognize SARS-CoV-2 variants and HCoV-NL63. J. Clin. Investig. 2021, 131, e149335. [Google Scholar] [CrossRef]
- Moss, P. The T cell immune response against SARS-CoV-2. Nat. Immunol. 2022, 23, 186–193. [Google Scholar] [CrossRef]
- Kumar, D.; Hu, Q.; Samson, R.; Ferreira, V.H.; Hall, V.G.; Ierullo, M. Majchrzak-Kita, B.; Hardy, W.; Gingras, A.C.; Humar, A. Neutralization against Omicron variant in transplant recipients after three doses of mRNA vaccine. Am. J. Transplant. 2022, 22, 2089–2093. [Google Scholar] [CrossRef]
- Lambrou, A.S.; Shirk, P.; Steele, M.K.; Paul, P.; Paden, C.R.; Cadwell, B.; Reese, H.E.; Aoki, Y.; Hassell, N.; Zheng, X.Y.; et al. Genomic Surveillance for SARS-CoV-2 Variants: Predominance of the Delta (B.1.617.2) and Omicron (B.1.1.529) Variants—United States, June 2021-January 2022. MMWR Morb. Mortal. Wkly Rep. 2022, 71, 206–211. [Google Scholar] [CrossRef]
- Rahimi, F.; Talebi Bezmin Abadi, A. The Omicron subvariant BA.2: Birth of a new challenge during the COVID-19 pandemic. Int. J. Surg. 2022, 99, 106s261. [Google Scholar] [CrossRef]
- Mannar, D.; Saville, J.W.; Zhu, X.; Srivastava, S.S.; Berezuk, A.M.; Tuttle, K.S.; Marquez, A.C.; Sekirov, I.; Subramaniam, S. SARS-CoV-2 Omicron variant: Antibody evasion and cryo-EM structure of spike protein-ACE2 complex. Science 2022, 375, 760–764. [Google Scholar] [CrossRef]
- Hoffmann, M.; Krüger, N.; Schulz, S.; Cossmann, A.; Rocha, C.; Kempf, A.; Nehlmeier, I.; Graichen, L.; Moldenhauer, A.S.; Winkler, M.S.; et al. The Omicron variant is highly resistant against antibody-mediated neutralization: Implications for control of the COVID-19 pandemic. Cell 2022, 185, 447–456.e11. [Google Scholar] [CrossRef] [PubMed]
- Mbaeyi, S.; Oliver, S.E.; Collins, J.P.; Godfrey, M.; Goswami, N.D.; Hadler, S.C.; Jones, J.; Moline, H.; Moulia, D.; Reddy, S.; et al. The Advisory Committee on Immunization Practices’ Interim Recommendations for Additional Primary and Booster Doses of COVID-19 Vaccines—United States, 2021. MMWR Morb. Mortal. Wkly Rep. 2021, 70, 1545–1552. [Google Scholar] [CrossRef] [PubMed]
- Bar-On, Y.M.; Goldberg, Y.; Mandel, M.; Bodenheimer, O.; Amir, O.; Freedman, L.; Alroy-Preis, S.; Ash, N.; Huppert, A.; Milo, R. Protection by a Fourth Dose of BNT162b2 against Omicron in Israel. N. Engl. J. Med. 2022, 386, 1712–1720. [Google Scholar] [CrossRef] [PubMed]
- Cohen, M.J.; Oster, Y.; Moses, A.E.; Spitzer, A.; Benenson, S. Israeli-Hospitals 4th Vaccine Working Group. Association of Receiving a Fourth Dose of the BNT162b Vaccine With SARS-CoV-2 Infection Among Health Care Workers in Israel. JAMA Netw. Open. 2022, 5, e2224657. [Google Scholar] [CrossRef]
- Hod, T.; Ben-David, A.; Mor, E.; Olmer, L.; Halperin, R.; Indenbaum, V.; Beckerman, P.; Doolman, R.; Asraf, K.; Atari, N.; et al. Humoral Response to the Fourth BNT162b2 Vaccination and Link Between the Fourth Dose, Omicron Infection, and Disease Severity in Renal Transplant Recipients. Transplantation 2023, 107, 192–203. [Google Scholar] [CrossRef]
- Lasagna, A.; Bergami, F.; Lilleri, D.; Percivalle, E.; Quaccini, M.; Alessio, N.; Comolli, G.; Sarasini, A.; Sammartino, J.C.; Ferrari, A.; et al. Immunogenicity and safety after the third dose of BNT162b2 anti-SARS-CoV-2 vaccine in patients with solid tumors on active treatment: A prospective cohort study. ESMO Open 2022, 7, 100458. [Google Scholar] [CrossRef]
- Lasagna, A.; Bergami, F.; Lilleri, D.; Percivalle, E.; Quaccini, M.; Serra, F.; Comolli, G.; Sarasini, A.; Sammartino, J.C.; Ferrari, A. Six-month humoral and cellular immune response to the third dose of BNT162b2 anti-SARS-CoV-2 vaccine in patients with solid tumors: A longitudinal cohort study with a focus on the variants of concern. ESMO Open. 2022, 7, 100574. [Google Scholar] [CrossRef]
- Lee, L.Y.W.; Tilby, M.; Starkey, T.; Ionescu, M.C.; Burnett, A.; Hattersley, R.; Khan, S.; Little, M.; Liu, J.K.H.; Platt, J.R.; et al. Association of SARS-CoV-2 spike protein antibody vaccine response with infection severity in patients with cancer: A national COVID cancer cross-sectional evaluation. JAMA Oncol. 2022; published online. [Google Scholar]
- Hoerger, M.; Gerhart, J.; Swartz, M.C. Variability in COVID-19 Vaccine Response Among People With Cancer. JAMA Oncol. 2022; online ahead of print. [Google Scholar]
- Gong, I.Y.; Vijenthira, A.; Powis, M.; Calzavara, A.; Patrikar, A.; Sutradhar, R.; Hicks, L.K.; Wilton, D.; Singh, S.; Krzyzanowska, M.K.; et al. Association of COVID-19 Vaccination With Breakthrough Infections and Complications in Patients With Cancer. JAMA Oncol. 2023, 9, 386–394. [Google Scholar] [CrossRef]
- Voutouri, C.; Hardin, C.C.; Naranbhai, V.; Nikmaneshi, M.R.; Khandekar, M.J.; Gainor, J.F.; Stylianopoulos, T.; Munn, L.L.; Jain, R.K. Mechanistic model for booster doses effectiveness in healthy, cancer, and immunosuppressed patients infected with SARS-CoV-2. Proc. Natl. Acad. Sci. USA 2023, 120, e2211132120. [Google Scholar] [CrossRef] [PubMed]
- Dejnirattisai, W.; Huo, J.; Zhou, D.; Zahradník, J.; Supasa, P.; Liu, C.; Duyvesteyn, H.M.E.; Ginn, H.M.; Mentzer, A.J.; Tuekprakhon, A.; et al. SARS-CoV-2 Omicron-B.1.1.529 leads to widespread escape from neutralizing antibody responses. Cell 2022, 185, 467–484.e15. [Google Scholar] [CrossRef]
- Garcia-Beltran, W.F.; St Denis, K.J.; Hoelzemer, A.; Lam, E.C.; Nitido, A.D.; Sheehan, M.L.; Berrios, C.; Ofoman, O.; Chang, C.C.; Hauser, B.M.; et al. mRNA-based COVID-19 vaccine boosters induce neutralizing immunity against SARS-CoV-2 Omicron variant. Cell 2022, 185, 457–466.e4. [Google Scholar] [CrossRef] [PubMed]
- Shapiro, L.C.; Thakkar, A.; Campbell, S.T.; Forest, S.K.; Pradhan, K.; Gonzalez-Lugo, J.D.; Quinn, R.; Bhagat, T.D.; Choudhary, G.S.; McCort, M.; et al. Efficacy of booster doses in augmenting waning immune responses to COVID-19 vaccine in patients with cancer. Cancer Cell 2022, 40, 3–5. [Google Scholar] [CrossRef]
- Nemet, I.; Kliker, L.; Lustig, Y.; Zuckerman, N.; Erster, O.; Cohen, C.; Kreiss, Y.; Alroy-Preis, S.; Regev-Yochay, G.; Mendelson, E.; et al. Third BNT162b2 Vaccination Neutralization of SARS-CoV-2 Omicron Infection. N. Engl. J. Med. 2022, 386, 492–494. [Google Scholar] [CrossRef]
- Lyke, K.E.; Atmar, R.L.; Islas, C.D.; Posavad, C.M.; Szydlo, D.; Paul Chourdhury, R.; Deming, M.E.; Eaton, A.; Jackson, L.A.; Branche, A.R.; et al. Rapid decline in vaccine-boosted neutralizing antibodies against SARS-CoV-2 Omicron variant. Cell. Rep. Med. 2022, 3, 100679. [Google Scholar] [CrossRef]
- Lasagna, A.; Bergami, F.; Lilleri, D.; Percivalle, E.; Quaccini, M.; Comolli, G.; Sarasini, A.; Sammartino, J.C.; Ferrari, A.; Arena, F.; et al. Humoral and cellular response before and after the fourth BNT162b2 vaccine dose in patients with solid tumors on active treatment. Ann. Oncol. 2022, 33, 1207–1208. [Google Scholar] [CrossRef]
- Regev-Yochay, G.; Gonen, T.; Gilboa, M.; Mandelboim, M.; Indenbaum, V.; Amit, S.; Meltzer, L.; Asraf, K.; Cohen, C.; Fluss, R.; et al. Efficacy of a Fourth Dose of COVID-19 mRNA Vaccine against Omicron. N. Engl. J. Med. 2022, 386, 1377–1380. [Google Scholar] [CrossRef] [PubMed]
- Busà, R.; Russelli, G.; Miele, M.; Sorrentino, M.C.; Di Bella, M.; Timoneri, F.; Di Mento, G.; Mularoni, A.; Vitulo, P.; Conaldi, P.G.; et al. Immune Response after the Fourth Dose of SARS-CoV-2 mRNA Vaccine Compared to Natural Infection in Three Doses’ Vaccinated Solid Organ Transplant Recipients. Viruses 2022, 14, 2299. [Google Scholar] [CrossRef]
- Nealon, J.; Cowling, B.J. Uncertainties About the Optimal Timing of Fourth Dose of COVID-19 Vaccines. JAMA Netw. Open. 2022, 5, e2223096. [Google Scholar] [CrossRef]
- Spagnolo, F.; Boutros, A.; Croce, E.; Cecchi, F.; Arecco, L.; Tanda, E.; Pronzato, P.; Lambertini, M. Influenza vaccination in cancer patients receiving immune checkpoint inhibitors: A systematic review. Eur. J. Clin. Investig. 2021, 51, e13604. [Google Scholar] [CrossRef] [PubMed]
- Lopez-Olivo, M.A.; Valerio, V.; Karpes Matusevich, A.R.; Brizio, M.; Kwok, M.; Geng, Y.; Suarez-Almazor, M.E.; Colmegna, I. Safety and Efficacy of Influenza Vaccination in Patients Receiving Immune Checkpoint Inhibitors. Systematic Review with Meta-Analysis. Vaccines 2022, 10, 1195. [Google Scholar] [CrossRef]
- Lasagna, A.; Agustoni, F.; Percivalle, E.; Borgetto, S.; Paulet, A.; Comolli, G.; Sarasini, A.; Bergami, F.; Sammartino, J.C.; Ferrari, A.; et al. A snapshot of the immunogenicity, efficacy and safety of a full course of BNT162b2 anti-SARS-CoV-2 vaccine in cancer patients treated with PD-1/PD-L1 inhibitors: A longitudinal cohort study. ESMO Open 2021, 6, 100272. [Google Scholar] [CrossRef] [PubMed]
- Hua, Y.J.; Liu, Y.L.; Wen, K.; Kurts, C.; Wu, H.; Mei, Q.; Li, J. Potentially improved response of COVID-19 vaccinated nasopharyngeal cancer patients to combination therapy with anti-PD-1 blockade and chemotherapy. Ann. Oncol. 2023, 34, 121–123. [Google Scholar] [CrossRef] [PubMed]
- Cohen, I.; Campisi-Pfinto, S.; Rozenberg, O.; Colodner, R.; Bar-Sela, G. The Humoral Response of Patients With Cancer to Breakthrough COVID-19 Infection or the Fourth BNT162b2 Vaccine Dose. Oncologist, 2023; online ahead of print. [Google Scholar] [CrossRef]
- Piening, A.; Ebert, E.; Khojandi, N.; Alspach, E.; Teague, R.M. Immune responses to SARS-CoV-2 in vaccinated patients receiving checkpoint blockade immunotherapy for cancer. Front. Immunol. 2022, 13, 1022732. [Google Scholar] [CrossRef]
- Cuschieri, S. The STROBE guidelines. Saudi J. Anaesth. 2019, 13 (Suppl. 1), S31–S34. [Google Scholar] [CrossRef]
- Percivalle, E.; Cambiè, G.; Cassaniti, I.; Nepita, E.V.; Maserati, R.; Ferrari, A.; Di Martino, R.; Isernia, P.; Mojoli, F.; Bruno, R.; et al. Prevalence of SARS-CoV-2 specific neutralising antibodies in blood donors from the Lodi Red Zone in Lombardy, Italy, as at 06 April 2020. Euro Surveill. 2020, 25, 2001031. [Google Scholar] [CrossRef]



| Sex | Patient No. | Percentage |
|---|---|---|
| Female/Male | 27/28 | 49/51 |
| Type of tumor | ||
| Lung cancer | 33 | 60 |
| Melanoma | 10 | 18 |
| Breast cancer | 6 | 10 |
| Kidney cancer | 2 | 4 |
| Head and neck cancer | 2 | 4 |
| Gastrointestinal cancer | 2 | 4 |
| Type of oncological treatment | ||
| ICIs + chemotherapy | 6 | 11 |
| ICIs | 32 | 58 |
| Chemotherapy | 17 | 31 |
| Type of ICI | ||
| Pembrolizumab | 20 | 36 |
| Nivolumab | 12 | 22 |
| Atezolizumab | 4 | 7 |
| Durvalumab | 2 | 4 |
Disclaimer/Publisher’s Note: The statements, opinions and data contained in all publications are solely those of the individual author(s) and contributor(s) and not of MDPI and/or the editor(s). MDPI and/or the editor(s) disclaim responsibility for any injury to people or property resulting from any ideas, methods, instructions or products referred to in the content. |
© 2023 by the authors. Licensee MDPI, Basel, Switzerland. This article is an open access article distributed under the terms and conditions of the Creative Commons Attribution (CC BY) license (https://creativecommons.org/licenses/by/4.0/).
Share and Cite
Lasagna, A.; Cassaniti, I.; Arena, F.; Bergami, F.; Percivalle, E.; Comolli, G.; Sarasini, A.; Ferrari, A.; Cicognini, D.; Schiavo, R.; et al. Persistence of Immune Response Elicited by Three Doses of mRNA Vaccine against SARS-CoV-2 in a Cohort of Patients with Solid Tumors: A One-Year Follow-Up. Int. J. Mol. Sci. 2023, 24, 6731. https://doi.org/10.3390/ijms24076731
Lasagna A, Cassaniti I, Arena F, Bergami F, Percivalle E, Comolli G, Sarasini A, Ferrari A, Cicognini D, Schiavo R, et al. Persistence of Immune Response Elicited by Three Doses of mRNA Vaccine against SARS-CoV-2 in a Cohort of Patients with Solid Tumors: A One-Year Follow-Up. International Journal of Molecular Sciences. 2023; 24(7):6731. https://doi.org/10.3390/ijms24076731
Chicago/Turabian StyleLasagna, Angioletta, Irene Cassaniti, Francesca Arena, Federica Bergami, Elena Percivalle, Giuditta Comolli, Antonella Sarasini, Alessandro Ferrari, Daniela Cicognini, Roberta Schiavo, and et al. 2023. "Persistence of Immune Response Elicited by Three Doses of mRNA Vaccine against SARS-CoV-2 in a Cohort of Patients with Solid Tumors: A One-Year Follow-Up" International Journal of Molecular Sciences 24, no. 7: 6731. https://doi.org/10.3390/ijms24076731
APA StyleLasagna, A., Cassaniti, I., Arena, F., Bergami, F., Percivalle, E., Comolli, G., Sarasini, A., Ferrari, A., Cicognini, D., Schiavo, R., Lo Cascio, G., Pedrazzoli, P., & Baldanti, F. (2023). Persistence of Immune Response Elicited by Three Doses of mRNA Vaccine against SARS-CoV-2 in a Cohort of Patients with Solid Tumors: A One-Year Follow-Up. International Journal of Molecular Sciences, 24(7), 6731. https://doi.org/10.3390/ijms24076731

