Exploring Potential Biomarkers and Molecular Mechanisms of Ischemic Cardiomyopathy and COVID-19 Comorbidity Based on Bioinformatics and Systems Biology
Abstract
1. Introduction
2. Results
2.1. Collection of Common DEGs for COVID-19 and ICM
2.2. Enrichment Analysis of Common DEGs for COVID-19 and ICM
2.3. Construction of PPI Networks to Identify Hub Genes
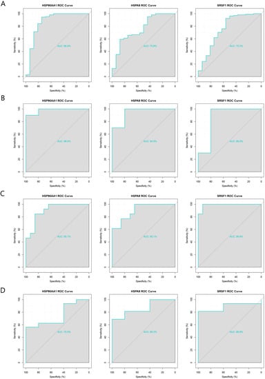
2.4. Validation of Hub Genes Using ROC Curve Plots
2.5. Construction of TF–mRNA and mRNA–miRNA Regulatory Networks
2.6. Drug Prediction
2.7. Validation by Molecular Docking Simulations
3. Discussion
4. Materials and Methods
4.1. Preparation of Data
4.2. Collection of Common DEGs for COVID-19 and ICM
4.3. Enrichment Analysis of Common DEGs for COVID-19 and ICM
4.4. Construction of PPI Networks to Obtain Hub Genes
4.5. ROC Curve Validation
4.6. Construction of TF–mRNA and mRNA–miRNA Regulatory Networks
4.7. Prediction of Potential Drugs of Common DEGs
4.8. Molecular Docking Validation
5. Conclusions
Author Contributions
Funding
Institutional Review Board Statement
Informed Consent Statement
Data Availability Statement
Acknowledgments
Conflicts of Interest
References
- Zhang, X. Epidemiology of COVID-19. N. Engl. J. Med. 2020, 382, 1869. [Google Scholar] [CrossRef] [PubMed]
- Dadashi, M.; Hajikhani, B.; Yaslianifard, S.; Goudarzi, M.; Owlia, P.; Nasiri, M.J.; Shokouhi, S.; Bakhtiyari, M.; Dadashi, M. COVID-19 and Skin manifestations: An overview of case reports/case series and meta-analysis of the prevalence studies. Front. Med. 2020, 7, 573188. [Google Scholar] [CrossRef]
- Hajikhani, B.; Calcagno, T.; Nasiri, M.J.; Jamshidi, P.; Dadashi, M.; Goudarzi, M.; Eshraghi, A.A.; Mirsaeidi, M. Olfactory and gustatory dysfunction in COVID-19 patients: A meta-analysis study. Physiol. Rep. 2020, 8, e14578. [Google Scholar] [CrossRef]
- Li, B.; Yang, J.; Zhao, F.; Zhi, L.; Wang, X.; Liu, L.; Bi, Z.; Zhao, Y. Prevalence and impact of cardiovascular metabolic diseases on COVID-19 in China. Clin. Res. Cardiol. 2020, 109, 531–538. [Google Scholar] [CrossRef]
- Yang, J.; Zheng, Y.; Gou, X.; Pu, K.; Chen, Z.; Guo, Q.; Ji, R.; Wang, H.; Wang, Y.; Zhou, Y. Prevalence of comorbidities in the novel Wuhan coronavirus (COVID-19) infection: A systematic review and meta-analysis. Int. J. Infect. Dis. 2020, 94, 91–95. [Google Scholar] [CrossRef] [PubMed]
- Shi, S.; Qin, M.; Shen, B.; Cai, Y.; Liu, T.; Yang, F.; Gong, W.; Liu, X.; Liang, J.; Zhao, Q.; et al. Association of cardiac injury with mortality in hospitalized patients with COVID-19 in Wuhan, China. JAMA Cardiol. 2020, 5, 802–810. [Google Scholar] [CrossRef]
- Cizgici, A.Y.; Agus, H.Z.; Yildiz, M. COVID-19 myopericarditis: It should be kept in mind in today’s conditions. Am. J. Emerg. Med. 2020, 38, 1547.e5–1547.e6. [Google Scholar] [CrossRef]
- Wu, Z.; McGoogan, J.M. Characteristics of and important lessons from the coronavirus disease 2019 (COVID-19) outbreak in China: Summary of a report of 72,314 cases from the Chinese Center for Disease Control and Prevention. JAMA 2020, 323, 1239–1242. [Google Scholar] [CrossRef] [PubMed]
- Zhou, F.; Yu, T.; Du, R.; Fan, G.; Liu, Y.; Liu, Z.; Xiang, J.; Wang, Y.; Song, B.; Gu, X.; et al. Clinical course and risk factors for mortality of adult inpatients with COVID-19 in Wuhan, China: A retrospective cohort study. Lancet 2020, 395, 1054–1062. [Google Scholar] [CrossRef] [PubMed]
- Ruan, Q.; Yang, K.; Wang, W.; Jiang, L.; Song, J. Clinical predictors of mortality due to COVID-19 based on an analysis of data of 150 patients from Wuhan, China. Intensive Care Med. 2020, 46, 846–848. [Google Scholar] [CrossRef]
- Siripanthong, B.; Nazarian, S.; Muser, D.; Deo, R.; Santangeli, P.; Khanji, M.Y.; Cooper, L.T.; Chahal, C.A.A. Recognizing COVID-19–related myocarditis: The possible pathophysiology and proposed guideline for diagnosis and management. Heart Rhythm. 2020, 17, 1463–1471. [Google Scholar] [CrossRef]
- Shafi, A.M.; Shaikh, S.A.; Shirke, M.M.; Iddawela, S.; Harky, A. Cardiac manifestations in COVID-19 patients—A systematic review. J. Cardiac. Surg. 2020, 35, 1988–2008. [Google Scholar] [CrossRef]
- Prabhu, S.D.; Frangogiannis, N.G. The Biological Basis for Cardiac Repair After Myocardial Infarction: From Inflammation to Fibrosis. Circ. Res. 2016, 119, 91–112. [Google Scholar] [CrossRef]
- Omidi, F.; Hajikhani, B.; Kazemi, S.N.; Tajbakhsh, A.; Riazi, S.; Mirsaeidi, M.; Ansari, A.; Boroujeni, M.G.; Khalili, F.; Hadadi, S.; et al. COVID-19 and Cardiomyopathy: A Systematic Review. Front. Cardiovasc. Med. 2021, 8, 695206. [Google Scholar] [CrossRef] [PubMed]
- Barton, L.M.; Duval, E.J.; Stroberg, E.; Ghosh, S.; Mukhopadhyay, S. COVID-19 Autopsies, Oklahoma, USA. Am. J. Clin. Pathol. 2020, 153, 725–733, Erratum in Am. J. Clin. Pathol. 2020, 153, 852. [Google Scholar] [CrossRef]
- Chango Azanza, D.X.; Chapa Ibargüengoitia, M.; Rosales Uvera, S. Cardiac Computed Tomography as an Alternative Technique in the Assessment of Acute Myocardial Ischemia in the Context of COVID-19 Infection. Cureus 2020, 12, e11415. [Google Scholar] [CrossRef]
- Iida, M.; Iwata, M.; Yamanishi, Y. Network-based characterization of disease–disease relationships in terms of drugs and therapeutic targets. Bioinformatics 2020, 36 (Suppl. S1), i516–i524. [Google Scholar] [CrossRef]
- Brunner, H.G.; van Driel, M.A. From syndrome families to functional genomics. Nat. Rev. Genet. 2004, 5, 545–551. [Google Scholar] [CrossRef] [PubMed]
- You, H.; Zhao, Q.; Dong, M. The Key Genes Underlying Pathophysiology Correlation Between the Acute Myocardial Infarction and COVID-19. Int. J. Gen. Med. 2022, 15, 2479–2490. [Google Scholar] [CrossRef] [PubMed]
- Zhang, F.; Yu, C.; Xu, W.; Xu, W.; Li, X.; Feng, J.; Shi, H.; Yang, J.; Sun, Q.; Cao, X.; et al. Identification of critical genes and molecular pathways in COVID-19 myocarditis and constructing gene regulatory networks by bioinformatic analysis. PLoS ONE 2022, 17, e0269386. [Google Scholar] [CrossRef] [PubMed]
- Hu, R.W.; Liu, C.; Yan, Y.Y.; Li, D. Identification of hub genes and molecular subtypes in COVID-19 based on WGCNA. Eur. Rev. Med. Pharmacol. Sci. 2021, 25, 6411–6424. [Google Scholar] [CrossRef]
- Song, X.; Zhu, J.; Tan, X.; Yu, W.; Wang, Q.; Shen, D.; Chen, W. XGBoost-Based Feature Learning Method for Mining COVID-19 Novel Diagnostic Markers. Front. Public Health 2022, 10, 926069. [Google Scholar] [CrossRef]
- Battaglini, D.; Lopes-Pacheco, M.; Castro-Faria-Neto, H.C.; Pelosi, P.; Rocco, P.R.M. Laboratory Biomarkers for Diagnosis and Prognosis in COVID-19. Front. Immunol. 2022, 13, 857573. [Google Scholar] [CrossRef]
- Cao, J.; Liu, Z.; Liu, J.; Li, C.; Zhang, G.; Shi, R. Bioinformatics Analysis and Identification of Genes and Pathways in Ischemic Cardiomyopathy. Int. J. Gen. Med. 2021, 14, 5927–5937. [Google Scholar] [CrossRef]
- Chen, J.H.; Wang, L.L.; Tao, L.; Qi, B.; Wang, Y.; Guo, Y.; Miao, L. Identification of MYH6 as the potential gene for human ischaemic cardiomyopathy. J. Cell. Mol. Med. 2021, 25, 10736–10746. [Google Scholar] [CrossRef]
- Norooznezhad, A.H.; Mansouri, K. Endothelial cell dysfunction, coagulation, and angiogenesis in coronavirus disease 2019 (COVID-19). Microvasc. Res. 2021, 137, 104188. [Google Scholar] [CrossRef]
- Liao, R.; Li, Z.; Wang, Q.; Lin, H.; Sun, H. Revascularization of chronic total occlusion coronary artery and cardiac regeneration. Front. Cardiovasc. Med. 2022, 9, 940808. [Google Scholar] [CrossRef]
- Dabravolski, S.A.; Sukhorukov, V.N.; Kalmykov, V.A.; Orekhov, N.A.; Grechko, A.V.; Orekhov, A.N. Heat Shock Protein 90 as Therapeutic Target for CVDs and Heart Ageing. Int. J. Mol. Sci. 2022, 23, 649. [Google Scholar] [CrossRef]
- Markov, A.V.; Odarenko, K.V.; Ilyina, A.A.; Zenkova, M.A. Uncovering the anti-angiogenic effect of semisynthetic triterpenoid CDDO-Im on HUVECs by an integrated network pharmacology approach. Comput. Biol. Med. 2022, 141, 105034. [Google Scholar] [CrossRef]
- Eyileten, C.; Wicik, Z.; Simões, S.N.; Martins, D.C., Jr.; Klos, K.; Wlodarczyk, W.; Assinger, A.; Soldacki, D.; Chcialowski, A.; Siller-Matula, J.M.; et al. Thrombosis-related circulating miR-16-5p is associated with disease severity in patients hospitalised for COVID-19. RNA Biol. 2022, 19, 963–979. [Google Scholar] [CrossRef]
- Wicik, Z.; Eyileten, C.; Jakubik, D.; Simões, S.N.; Martins, J.D.C.; Pavão, R.; Siller-Matula, J.M.; Postula, M. ACE2 Interaction Networks in COVID-19: A Physiological Framework for Prediction of Outcome in Patients with Cardiovascular Risk Factors. J. Clin. Med. 2020, 9, 3743. [Google Scholar] [CrossRef] [PubMed]
- Meng, Z.; Zhang, R.; Wu, X.; Zhang, M.; Zhang, S.; Jin, T. Prognostic value of Mortalin correlates with roles in epithelial-mesenchymal transition and angiogenesis in lung adenocarcinoma. Carcinogenesis 2022, 43, 40–51. [Google Scholar] [CrossRef] [PubMed]
- Paz, S.; Ritchie, A.; Mauer, C.; Caputi, M. The RNA binding protein SRSF1 is a master switch of gene expression and regulation in the immune system. Cytokine Growth Factor Rev. 2021, 57, 19–26. [Google Scholar] [CrossRef]
- Bao, M.; Chen, Y.; Liu, J.T.; Bao, H.; Wang, W.-B.; Qi, Y.-X.; Lv, F. Extracellular matrix stiffness controls VEGF165 secretion and neuroblastoma angiogenesis via the YAP/RUNX2/SRSF1 axis. Angiogenesis 2022, 25, 71–86. [Google Scholar] [CrossRef]
- Barbagallo, D.; Caponnetto, A.; Brex, D.; Mirabella, F.; Barbagallo, C.; Lauretta, G.; Morrone, A.; Certo, F.; Broggi, G.; Caltabiano, R.; et al. CircSMARCA5 Regulates VEGFA mRNA Splicing and Angiogenesis in Glioblastoma Multiforme Through the Binding of SRSF1. Cancers 2019, 11, 194. [Google Scholar] [CrossRef] [PubMed]
- Han, N.; Zhang, L.; Guo, M.; Yu, L. Knockdown of Krüppel-Like Factor 9 Inhibits Aberrant Retinal Angiogenesis and Mitigates Proliferative Diabetic Retinopathy. Mol. Biotechnol. 2022, 65, 612–623. [Google Scholar] [CrossRef] [PubMed]
- Wang, X.; Shang, Y.; Dai, S.; Wu, W.; Yi, F.; Cheng, L. MicroRNA-16-5p Aggravates Myocardial Infarction Injury by Targeting the Expression of Insulin Receptor Substrates 1 and Mediating Myocardial Apoptosis and Angiogenesis. Curr. Neurovasc. Res. 2020, 17, 11–17. [Google Scholar] [CrossRef]
- Kumar, V.; Sari, A.N.; Meidinna, H.N.; Dhanjal, J.K.; Subramani, C.; Basu, B.; Kaul, S.C.; Vrati, S.; Sundar, D.; Wadhwa, R. Computational and in vitro experimental analyses of the Anti-COVID-19 potential of Mortaparib and MortaparibPlus. Biosci. Rep. 2021, 41, BSR20212156. [Google Scholar] [CrossRef]
- Barrett, T.; Wilhite, S.E.; Ledoux, P.; Evangelista, C.; Kim, I.F.; Tomashevsky, M.; Marshall, K.A.; Phillippy, K.H.; Sherman, P.M.; Holko, M.; et al. NCBI GEO: Archive for functional genomics data sets—Update. Nucleic Acids Res. 2013, 41, D991–D995. [Google Scholar] [CrossRef]
- Li, J.; Miao, B.; Wang, S.; Dong, W.; Xu, H.; Si, C.; Wang, W.; Duan, S.; Lou, J.; Bao, Z.; et al. Hiplot: A comprehensive and easy-to-use web service for boosting publication-ready biomedical data visualization. Brief. Bioinform. 2022, 23, bbac261. [Google Scholar] [CrossRef]
- Dennis, G., Jr.; Sherman, B.T.; Hosack, D.A.; Yang, J.; Gao, W.; Lane, H.C.; Lempicki, R.A. DAVID: Database for Annotation, Visualization, and Integrated Discovery. Genome Biol. 2003, 4, P3. [Google Scholar] [CrossRef] [PubMed]
- Szklarczyk, D.; Kirsch, R.; Koutrouli, M.; Nastou, K.; Mehryary, F.; Hachilif, R.; Gable, A.L.; Fang, T.; Doncheva, N.T.; Pyysalo, S.; et al. The STRING database in 2023: Protein-protein association networks and functional enrichment analyses for any sequenced genome of interest. Nucleic Acids Res. 2023, 51, D638–D646. [Google Scholar] [CrossRef] [PubMed]
- Otasek, D.; Morris, J.H.; Bouças, J.; Pico, A.R.; Demchak, B. Cytoscape Automation: Empowering workflow-based network analysis. Genome Biol. 2019, 20, 185. [Google Scholar] [CrossRef]
- Vishnoi, A.; Rani, S. miRNA Biogenesis and Regulation of Diseases: An Updated Overview. Methods Mol. Biol. 2023, 2595, 1–12. [Google Scholar] [CrossRef] [PubMed]
- Francois, M.; Donovan, P.; Fontaine, F. Modulating transcription factor activity: Interfering with protein-protein interaction networks. Semin. Cell Dev. Biol. 2020, 99, 12–19. [Google Scholar] [CrossRef] [PubMed]
- Zhou, G.; Soufan, O.; Ewald, J.; Hancock, R.E.W.; Basu, N.; Xia, J. NetworkAnalyst 3.0: A visual analytics platform for comprehensive gene expression profiling and meta-analysis. Nucleic Acids Res. 2019, 47, W234–W241. [Google Scholar] [CrossRef]
- Subramanian, A.; Narayan, R.; Corsello, S.M.; Peck, D.D.; Natoli, T.E.; Lu, X.; Gould, J.; Davis, J.F.; Tubelli, A.A.; Asiedu, J.K.; et al. A Next Generation Connectivity Map: L1000 Platform and the First 1,000,000 Profiles. Cell 2017, 171, 1437–1452.e17. [Google Scholar] [CrossRef]
- Pinzi, L.; Rastelli, G. Molecular Docking: Shifting Paradigms in Drug Discovery. Int. J. Mol. Sci. 2019, 20, 4331. [Google Scholar] [CrossRef]
- Ferreira, L.G.; Dos Santos, R.N.; Oliva, G.; Andricopulo, A.D. Molecular docking and structure-based drug design strategies. Molecules 2015, 20, 13384–13421. [Google Scholar] [CrossRef]
- Liu, Y.; Yang, X.; Gan, J.; Chen, S.; Xiao, Z.X.; Cao, Y. CB-Dock2: Improved protein-ligand blind docking by integrating cavity detection, docking and homologous template fitting. Nucleic Acids Res. 2022, 50, W159–W164. [Google Scholar] [CrossRef]
- Yang, X.; Liu, Y.; Gan, J.; Xiao, Z.X.; Cao, Y. FitDock: Protein-ligand docking by template fitting. Brief. Bioinform. 2022, 23, bbac087. [Google Scholar] [CrossRef] [PubMed]
- Burley, S.K.; Bhikadiya, C.; Bi, C.; Bittrich, S.; Chao, H.; Chen, L.; Craig, P.A.; Crichlow, G.V.; Dalenberg, K.; Duarte, J.M.; et al. RCSB Protein Data Bank (RCSB.org): Delivery of experimentally-determined PDB structures alongside one million computed structure models of proteins from artificial intelligence/machine learning. Nucleic Acids Res. 2023, 51, D488–D508. [Google Scholar] [CrossRef] [PubMed]








| MCC | Degree | BottleNeck | EPC | ||||||||
|---|---|---|---|---|---|---|---|---|---|---|---|
| Rank | Name | Score | Rank | Name | Score | Rank | Name | Score | Rank | Name | Score |
| 1 | HSPA9 | 44 | 1 | HSP90AA1 | 13 | 1 | HSP90AA1 | 15 | 1 | HSP90AA1 | 23.483 |
| 2 | SRSF1 | 40 | 2 | SERPINE1 | 7 | 2 | SERPINE1 | 14 | 2 | HSPA9 | 22.535 |
| 3 | HSP90AA1 | 12 | 3 | COL5A1 | 7 | 3 | GJA1 | 13 | 3 | ENO1 | 22.002 |
| 4 | KLF9 | 3 | 4 | ENO1 | 7 | 4 | ITGA5 | 9 | 4 | SRSF1 | 21.863 |
| 5 | MTA1 | 2 | 5 | HSPA9 | 7 | 5 | HSPA9 | 7 | 5 | SNRPB | 21.297 |
| 5 | TAF7 | 2 | 5 | SRSF1 | 7 | 6 | COL5A1 | 6 | 6 | DDX39A | 21.107 |
| 5 | POLR2A | 2 | 5 | LUM | 6 | 6 | ENO1 | 6 | 7 | DNAJB1 | 20.345 |
| 5 | THRAP3 | 2 | 5 | HNRNPU | 6 | 6 | SRSF1 | 6 | 8 | SERPINE1 | 20.243 |
| 5 | ZNF644 | 2 | 5 | SNRPB | 6 | 9 | MAP1LC3B | 5 | 9 | HNRNPU | 20.223 |
| 5 | ZFX | 2 | 5 | DDX39A | 5 | 9 | SNRPB | 5 | 10 | GJA1 | 20.069 |
| Score | ID | Name | Description | Compound CID |
|---|---|---|---|---|
| −98.77 | BRD-K59753975 | vindesine | Tubulin inhibitor | 40839 |
| −98.77 | BRD-K35687265 | ON-01910 | PLK inhibitor | 73707390 |
| −98.56 | BRD-M30523314 | vinorelbine | Tubulin inhibitor | 73707424 |
| −98.52 | BRD-K82109576 | vincristine | Tubulin inhibitor | 5388992 |
| −98.48 | BRD-K91623615 | ABT-751 | Tubulin inhibitor | 3035714 |
| −98.43 | BRD-K47869605 | podophyllotoxin | Microtubule inhibitor | 10607 |
| −98.41 | BRD-K52075715 | oxibendazole | Tubulin inhibitor | 4622 |
| −98.31 | BRD-K79131256 | albendazole | Anthelmintic | 2082 |
| −98.2 | BRD-K12539581 | nocodazole | Tubulin inhibitor | 4122 |
| −98.17 | BRD-K28120222 | parthenolide | NFkB pathway inhibitor | 7251185 |
| Score | Vindesine | ON-01910 |
|---|---|---|
| HSP90AA1 | −8.1 | −6.4 |
| SRSF1 | Receptor pdbqt transfer error. | Receptor pdbqt transfer error. |
| HSPA9 | −7.9 | −6.9 |
Disclaimer/Publisher’s Note: The statements, opinions and data contained in all publications are solely those of the individual author(s) and contributor(s) and not of MDPI and/or the editor(s). MDPI and/or the editor(s) disclaim responsibility for any injury to people or property resulting from any ideas, methods, instructions or products referred to in the content. |
© 2023 by the authors. Licensee MDPI, Basel, Switzerland. This article is an open access article distributed under the terms and conditions of the Creative Commons Attribution (CC BY) license (https://creativecommons.org/licenses/by/4.0/).
Share and Cite
Luo, S.; Zhang, X.; Xiao, X.; Luo, W.; Yang, Z.; Tang, S.; Huang, W. Exploring Potential Biomarkers and Molecular Mechanisms of Ischemic Cardiomyopathy and COVID-19 Comorbidity Based on Bioinformatics and Systems Biology. Int. J. Mol. Sci. 2023, 24, 6511. https://doi.org/10.3390/ijms24076511
Luo S, Zhang X, Xiao X, Luo W, Yang Z, Tang S, Huang W. Exploring Potential Biomarkers and Molecular Mechanisms of Ischemic Cardiomyopathy and COVID-19 Comorbidity Based on Bioinformatics and Systems Biology. International Journal of Molecular Sciences. 2023; 24(7):6511. https://doi.org/10.3390/ijms24076511
Chicago/Turabian StyleLuo, Simin, Xuan Zhang, Xiang Xiao, Wenting Luo, Zixuan Yang, Songqi Tang, and Wei Huang. 2023. "Exploring Potential Biomarkers and Molecular Mechanisms of Ischemic Cardiomyopathy and COVID-19 Comorbidity Based on Bioinformatics and Systems Biology" International Journal of Molecular Sciences 24, no. 7: 6511. https://doi.org/10.3390/ijms24076511
APA StyleLuo, S., Zhang, X., Xiao, X., Luo, W., Yang, Z., Tang, S., & Huang, W. (2023). Exploring Potential Biomarkers and Molecular Mechanisms of Ischemic Cardiomyopathy and COVID-19 Comorbidity Based on Bioinformatics and Systems Biology. International Journal of Molecular Sciences, 24(7), 6511. https://doi.org/10.3390/ijms24076511

