Assessment of the Pharmacokinetics, Disposition, and Duration of Action of the Tumour-Targeting Peptide CEND-1
Abstract
1. Introduction
2. Results
2.1. In Vivo Pharmacokinetic Profile in Mice, Rats, Dogs, and Monkeys
2.2. Clinical Pharmacokinetics
2.3. Tumour-Specific Distribution of [3H]-CEND-1 Assessed by QWBA and QRA
2.4. Evans Blue Injection to Assess the Durability of the Tumour-Penetrating Effect of CEND-1
3. Discussion
4. Materials and Methods
4.1. Pre-Clinical Pharmacokinetics
4.2. Design of the Clinical Pharmacokinetics Study
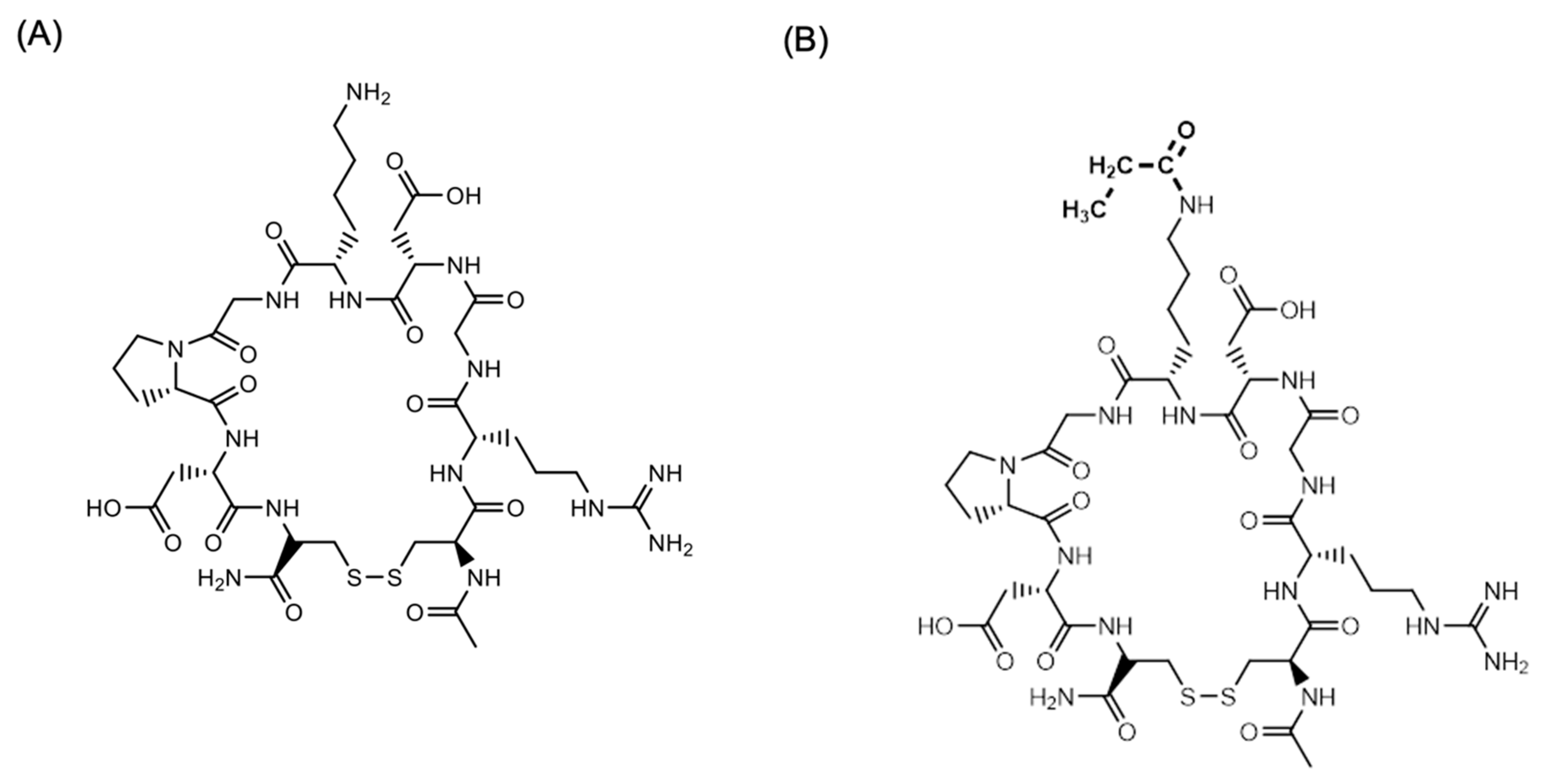
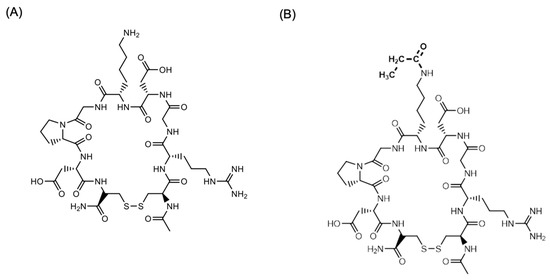
4.3. [3H] CEND-1 Radiolabellin
4.4. Murine Orthotopic 4T1 Tumour Model
4.5. Quantitative Whole Body Autoradiography (QWBA)
4.6. Quantitative Radioactivity Analysis (QRA)
4.7. Murine TGFa/c-myc HCC Model
4.8. Human HCC Xenograft Model
4.9. Tumour Penetration Assessment with Evans Blue
4.10. Tumour Penetration Assessment with Gd-DTPA–Enhanced MRI
4.11. Statistical Analysis
Author Contributions
Funding
Institutional Review Board Statement
Informed Consent Statement
Data Availability Statement
Acknowledgments
Conflicts of Interest
References
- Ruoslahti, E. Tumor penetrating peptides for improved drug delivery. Adv. Drug Deliv. Rev. 2017, 110–111, 3–12. [Google Scholar] [CrossRef]
- Provenzano, P.P.; Hingorani, S.R. Hyaluronan, fluid pressure, and stromal resistance in pancreas cancer. Br. J. Cancer 2013, 108, 1–8. [Google Scholar] [CrossRef]
- Kleeff, J.; Korc, M.; Apte, M.; La Vecchia, C.; Johnson, C.D.; Biankin, A.V.; Neale, R.E.; Tempero, M.; Tuveson, D.A.; Hruban, R.H.; et al. Pancreatic cancer. Nat. Rev. Dis. Prim. 2016, 2, 16022. [Google Scholar] [CrossRef] [PubMed]
- Sugahara, K.N.; Teesalu, T.; Karmali, P.P.; Kotamraju, V.R.; Agemy, L.; Girard, O.M.; Hanahan, D.; Mattrey, R.F.; Ruoslahti, E. Tissue-penetrating delivery of compounds and nanoparticles into tumors. Cancer Cell 2009, 16, 510–520. [Google Scholar] [CrossRef]
- Sugahara, K.N.; Teesalu, T.; Karmali, P.P.; Kotamraju, V.R.; Agemy, L.; Greenwald, D.R.; Ruoslahti, E. Coadministration of a tumor-penetrating peptide enhances the efficacy of cancer drugs. Science 2010, 328, 1031–1035. [Google Scholar] [CrossRef]
- Liu, X.; Lin, P.; Perrett, I.; Lin, J.; Liao, Y.P.; Chang, C.H.; Jiang, J.; Wu, N.; Donahue, T.; Wainberg, Z.; et al. Tumor-penetrating peptide enhances transcytosis of silicasome-based chemotherapy for pancreatic cancer. J. Clin. Investig. 2017, 127, 2007–2018. [Google Scholar] [CrossRef] [PubMed]
- Feng, D.; Nagy, J.A.; Hipp, J.; Dvorak, H.F.; Dvorak, A.M. Vesiculo-vacuolar organelles and the regulation of venule permeability to macromolecules by vascular permeability factor, histamine, and serotonin. J. Exp. Med. 1996, 183, 1981–1986. [Google Scholar] [CrossRef]
- Teesalu, T.; Sugahara, K.N.; Kotamraju, V.R.; Ruoslahti, E. C-end rule peptides mediate neuropilin-1-dependent cell, vascular, and tissue penetration. Proc. Natl. Acad. Sci. USA 2009, 106, 16157–16162. [Google Scholar] [CrossRef]
- Hurtado de Mendoza, T.; Mose, E.S.; Botta, G.P.; Braun, G.B.; Kotamraju, V.R.; French, R.P.; Suzuki, K.; Miyamura, N.; Teesalu, T.; Ruoslahti, E.; et al. Tumor-penetrating therapy for beta5 integrin-rich pancreas cancer. Nat. Commun. 2021, 12, 1541. [Google Scholar] [CrossRef]
- Liu, X.; Braun, G.B.; Qin, M.; Ruoslahti, E.; Sugahara, K.N. In vivo cation exchange in quantum dots for tumor-specific imaging. Nat. Commun. 2017, 8, 343. [Google Scholar] [CrossRef] [PubMed]
- Dean, A.; Gill, S.; McGregor, M.; Broadbridge, V.; Järveläinen, H.A.; Price, T. Dual αV-integrin and neuropilin-1 targeting peptide CEND-1 plus nab-paclitaxel and gemcitabine for the treatment of metastatic pancreatic ductal adenocarcinoma: A first-in-human, open-label, multicentre, phase 1 study. Lancet Gastroenterol. Hepatol. 2022, 7, 943–951. [Google Scholar] [CrossRef] [PubMed]
- Schmithals, C.; Verena Köberle, V.; Korkusuz, H.; Pleli, T.; Bianca Kakoschky, B.; Augusto, E.A.; Ibrahim, A.A.; Arencibia, J.M.; Vafaizadeh, V.; Groner, B.; et al. Improving Drug Penetrability with iRGD Leverages the Therapeutic Response to Sorafenib and Doxorubicin in Hepatocellular Carcinoma. Cancer Res. 2015, 75, 3147–3154. [Google Scholar] [CrossRef]
- Watcharin, W.; Schmithals, C.; Pleli, T.; Köberle, V.; Korkusuz, H.; Hübner, F.; Waidmann, O.; Zeuzem, S.; Korf, H.W.; Gelperina, S.; et al. Detection of hepatocellular carcinoma in transgenic mice by Gd-DTPA- and rhodamine 123-conjugated human serum albumin nanoparticles in T1 magnetic resonance imaging. J. Control. Release 2015, 199, 63–71. [Google Scholar] [CrossRef]
- Liu, X.; Jiang, J.; Ji, Y.; Lu, J.; Chan, R.; Meng, H. Targeted drug delivery using iRGD peptide for solid cancer treatment. Mol. Syst. Des. Eng. 2017, 2, 370–379. [Google Scholar] [CrossRef] [PubMed]
- Springfeld, C.; Neoptolemos, J.P. CEND-1: A game changer for pancreatic cancer chemotherapy? Lancet Gastroenterol. Hepatol. 2022, 7, 900–902. [Google Scholar] [CrossRef]
- McEwen, A.; Henson, C. Quantitative whole-body autoradiography: Past, present and future. Bioanalysis 2015, 7, 557–568. [Google Scholar] [CrossRef] [PubMed]
- Dolgos, H.; Freisleben, A.; Wimmer, E.; Scheible, H.; Krätzer, F.; Yamagata, T.; Gallemann, D.; Fluck, M. In vitro and in vivo drug disposition of cilengitide in animals and human. Pharmacol. Res. Perspect. 2016, 4, e00217. [Google Scholar] [CrossRef]
- Kang, S.; Lee, S.; Park, S. iRGD Peptide as a Tumor-Penetrating Enhancer for Tumor-Targeted Drug Delivery. Polymers 2020, 12, 1906. [Google Scholar] [CrossRef]
- Pang, H.B.; Braun, G.B.; She, Z.-G.; Kotamraju, V.R.; Sugahara, K.N.; Teesalu, T.; Ruoslahti, E. A free cysteine prolongs the half-life of a homing peptide and improves its tumor-penetrating activity. J. Control. Release 2014, 175, 48–53. [Google Scholar] [CrossRef]
- Murakami, H.; Sanderson, N.D.; Nagy, P.; Marino, P.A.; Merlino, G.; Thorgeirsson, S.S. Transgenic mouse model for synergistic effects of nuclear oncogenes and growth factors in tumorigenesis: Interaction of c-myc and transforming growth factor alpha in hepatic oncogenesis. Cancer Res. 1993, 53, 1719–1723. [Google Scholar]
- Haupenthal, J.; Bihrer, V.; Korkusuz, H.; Kollmar, O.; Schmithals, C.; Kriener, S.; Engels, K.; Pleli, T.; Benz, A.; Canamero, M.; et al. Reduced efficacy of the Plk1 inhibitor BI 2536 on the progression of hepatocellular carcinoma due to low intratumoral drug levels. Neoplasia 2012, 14, 410–419. [Google Scholar] [CrossRef] [PubMed]
- Korkusuz, H.; Ulbrich, K.; Welzel, K.; Koeberle, V.; Watcharin, W.; Bahr, U.; Chernikov, V.; Knobloch, T.; Petersen, S.; Huebner, F.; et al. Transferrin-coated gadolinium nanoparticles as MRI contrast agent. Mol. Imaging Biol. 2013, 15, 148–154. [Google Scholar] [CrossRef]
- Ibrahim, A.A.; Schmithals, C.; Kowarz, E.; Köberle, V.; Kakoschky, B.; Pleli, T.; Kollmar, O.; Nitsch, S.; Waidmann, O.; Finkelmeier, F.; et al. Hypoxia causes downregulation of Dicer in hepatocellular carcinoma, which is required for upregulation of hypoxia-inducible factor 1α and epithelial-mesenchymal transition. Clin. Cancer Res. 2017, 23, 3896–3905. [Google Scholar] [CrossRef] [PubMed]







| Number of Animals (Sex) | CEND-1 Dose (mg/kg) | t1/2 h | C0 (ng/mL) | V (mL/kg) | Cl_obs (mL/hr/kg) | AUC0-inf (h*ng/mL) |
|---|---|---|---|---|---|---|
| Mouse * | ||||||
| 3 (M) | 1.5 | 0.306 | 10,343 | 449 | 1016 | 1476 |
| 3 (M) | 4.5 | 0.344 | 40,291 | 599 | 1205 | 3695 |
| 3 (M) | 13.5 | 0.547 | 68,358 | 1007 | 1277 | 10,569 |
| Rat * | ||||||
| 6 (M) | 1 | 0.805 | 4230 | 640 | 558 | 1770 |
| 6 (F) | 1 | 0.248 | 3983 | 201 | 562 | 1751 |
| 6 (M) | 5 | 0.460 | 24,333 | 366 | 552 | 9058 |
| 6 (F) | 5 | 0.437 | 28,400 | 323 | 513 | 9747 |
| 6 (M) | 75 | 0.341 | 469,000 | 171 | 348 | 215,476 |
| 6 (F) | 75 | 0.391 | 436,333 | 254 | 451 | 166,331 |
| Dog | ||||||
| 3 (M) | 1 | 0.665 (0.0448) | 6010 (1985) | 241 (27) | 253 (40.1) | 4030 (686) |
| 3 (F) | 1 | 0.668 (0.0312) | 4777 (496) | 253 (25.4) | 255 (20.9) | 3946 (328) |
| 3 (M) | 5 | 0.655 (0.0506) | 30,200 (656) | 230 (23.1) | 243 (8.87) | 20,617 (765) |
| 3 (F) | 5 | 0.648 (0.0486) | 25,133 (3635) | 230 (14.6) | 247 (32.9) | 20,443 (2530) |
| 5 (M) | 75 | 0.615 (0.0361) | 461,000 (61,745) | 204 (17.6) | 230 (10.0) | 326,748 (14,280) |
| 5 (F) | 75 | 0.620 (0.0439) | 475,800 (43,900) | 208 (16.5) | 233 (18.3) | 323,936 (25,283) |
| Monkey | ||||||
| 3 (M) | 5 | 0.888 (0.0963) | 55,082 (19,905) | 204 (14.1) | 179 (23.4) | 28,230 (3865) |
| 3 (M) | 50 | 0.956 (0.0869) | 602,161 (211,386) | 162 (32.8) | 178 (51.9) | 421,119 (171,418) |
| N | Mean | SD | N | Mean | SD | N | Mean | SD | |
|---|---|---|---|---|---|---|---|---|---|
| Run-In | Cycle 1 Day 1 | Cycle 6 Day 1 | |||||||
| AUC0-t (h*ng/mL) | 8 | 31,330 | 5760 | 13 | 28,610 | 5561 | 5 | 30,590 | 11,990 |
| AUC0-inf (h*ng/mL) | 7 | 34,560 | 8782 | 9 | 30,690 | 5454 | 1 | 33,400 | - |
| Cmax (ng/mL) | 8 | 31,210 | 9019 | 13 | 24,050 | 8546 | 5 | 25,760 | 10,240 |
| Tmax (h) | 8 | 0.117 | 0.176 | 13 | 0.113 | 0.109 | 5 | 0.063 | 0.014 |
| Tlast (h) | 8 | 6.725 | 1.096 | 13 | 5.767 | 1.171 | 5 | 4.897 | 2.178 |
| λlast (1/h) | 7 | 0.3607 | 0.05081 | 9 | 0.4082 | 0.05423 | 1 | 0.4338 | - |
| t1/2 (h) | 7 | 1.956 | 0.289 | 9 | 1.725 | 0.230 | 1 | 1.598 | - |
| %AUCext (%) | 8 | 11.113 | 6.919 | 13 | 12.838 | 6.833 | 5 | 22.205 | 8.563 |
| CL (ml/h/kg) | 7 | 97.6 | 24 | 9 | 107.5 | 20.86 | 1 | 95.8 | - |
| Vz (ml/kg) | 7 | 269.2 | 46.5 | 9 | 262.6 | 28.7 | 1 | 220.9 | - |
| Cmax/D (kg*ng/mL/m) | 8 | 9754 | 2818 | 13 | 7514 | 2671 | 5 | 8050 | 3199 |
| AUC0-inf/D (h*kg*ng/mL) | 7 | 10,800 | 2745 | 9 | 9592 | 1704 | 1 | 10,440 | - |
| AUC0-t/D (h*kg*ng/mL) | 8 | 9791 | 1800 | 13 | 8942 | 1738 | 5 | 9558 | 3748 |
| CEND-1 µg Equivalents/g | |||||||
|---|---|---|---|---|---|---|---|
| Sampling Time: | 0.5 h | 3 h | |||||
| Tissue Type | Tissue | Female 1 | Female 2 | Mean | Female 3 | Female 4 | Mean |
| Alimentary | Caecum contents | BLQ | BLQ | NC | 0.076 | 0.111 | 0.094 |
| Canal | Caecum mucosa | 2.17 | 2.03 | 2.10 | ND | ND | NC |
| Large intestine contents | ND | ND | NC | BLQ | 0.136 | BLQ | |
| Large intestine mucosa | 0.936 | 1.33 | 1.13 | ND | ND | NC | |
| Small intestine contents | 2.14 | 0.200 | 1.17 | ND | ND | NC | |
| Small intestine mucosa | 1.71 | 0.518 | 1.11 | ND | ND | NC | |
| Stomach contents | 5.75 | 1.01 | 3.38 | ND | BLQ | NC | |
| Forestomach mucosa | 1.56 | 2.07 | 1.82 | ND | 0.110 | NC | |
| Glandular Stomach mucosa | 0.503 | 0.749 | 0.626 | ND | ND | NC | |
| CNS | Brain | ND | ND | NC | ND | ND | NC |
| Choroid plexus | ND | ND | NC | ND | ND | NC | |
| Spinal cord | ND | ND | NC | ND | ND | NC | |
| Connective | Bone | 0.070 | BLQ | BLQ | ND | ND | NC |
| Dermal | Skin | 0.392 | 2.52 | 1.46 | BLQ | BLQ | BLQ |
| Endocrine | Adrenal gland | 0.104 | 0.245 | 0.175 | ND | ND | NC |
| Pituitary gland | 0.131 | 0.224 | 0.178 | ND | ND | NC | |
| Thyroid gland | 0.436 | 0.166 | 0.301 | ND | ND | NC | |
| Excretory/ | Liver | 0.451 | 0.787 | 0.619 | ND | BLQ | NC |
| Metabolic | Kidney: Cortex | 12.2 | 12.7 | 12.5 | 0.236 | 0.196 | 0.216 |
| Kidney: Medulla | 30.8 | 34.1 | 32.4 | 0.245 | 0.282 | 0.264 | |
| Kidney: Whole | 24.3 | 35.6 | 30.0 | 0.221 | 0.254 | 0.238 | |
| Urinary bladder contents | 1462 | 910 | 1186 | 972 | 780 | 876 | |
| Urinary bladder wall | 5.18 | 1.86 | 3.52 | 0.618 | 1.62 | 1.12 | |
| Exocrine | Ex-orbital lachrymal gland | 0.428 | 0.818 | 0.623 | ND | BLQ | NC |
| Harderian gland | 0.185 | 0.162 | 0.174 | ND | ND | NC | |
| Pancreas | 0.839 | 1.67 | 1.25 | BLQ | 0.100 | BLQ | |
| Salivary gland | 0.592 | 1.08 | 0.836 | ND | ND | NC | |
| Fatty | Fat: Brown | 0.410 | 0.698 | 0.554 | ND | ND | NC |
| Fat: White | 0.148 | 0.212 | 0.180 | ND | ND | NC | |
| Ocular | Eye: Whole | 0.605 | 0.187 | 0.396 | 0.117 | 0.134 | 0.126 |
| Reproductive | Ovary | 0.951 | 1.04 | 0.996 | ND | BLQ | NC |
| Uterus | 5.13 | 5.77 | 5.45 | BLQ | ND | NC | |
| Respiratory | Lung | 0.290 | 2.47 | 1.38 | ND | BLQ | NC |
| Skeletal/ | Muscle: Skeletal | 0.259 | 0.147 | 0.203 | ND | BLQ | NC |
| Muscular | Myocardium | 0.230 | 0.203 | 0.217 | ND | BLQ | NC |
| Vascular/ | Bone marrow | 0.303 | 0.433 | 0.368 | ND | BLQ | NC |
| Lymphatic | Lymph node | 2.14 | 2.11 | 2.13 | ND | ND | NC |
| Spleen | 0.421 | 0.608 | 0.515 | BLQ | BLQ | BLQ | |
| Thymus | 0.344 | 0.433 | 0.389 | ND | ND | NC | |
| Other | Tumour | 1.43 | 3.62 | 2.53 | 0.078 | 0.115 | 0.097 |
Disclaimer/Publisher’s Note: The statements, opinions and data contained in all publications are solely those of the individual author(s) and contributor(s) and not of MDPI and/or the editor(s). MDPI and/or the editor(s) disclaim responsibility for any injury to people or property resulting from any ideas, methods, instructions or products referred to in the content. |
© 2023 by the authors. Licensee MDPI, Basel, Switzerland. This article is an open access article distributed under the terms and conditions of the Creative Commons Attribution (CC BY) license (https://creativecommons.org/licenses/by/4.0/).
Share and Cite
Järveläinen, H.A.; Schmithals, C.; von Harten, M.; Kakoschky, B.; Vogl, T.J.; Harris, S.; Henson, C.; Bullen-Clerkson, G.; Piiper, A. Assessment of the Pharmacokinetics, Disposition, and Duration of Action of the Tumour-Targeting Peptide CEND-1. Int. J. Mol. Sci. 2023, 24, 5700. https://doi.org/10.3390/ijms24065700
Järveläinen HA, Schmithals C, von Harten M, Kakoschky B, Vogl TJ, Harris S, Henson C, Bullen-Clerkson G, Piiper A. Assessment of the Pharmacokinetics, Disposition, and Duration of Action of the Tumour-Targeting Peptide CEND-1. International Journal of Molecular Sciences. 2023; 24(6):5700. https://doi.org/10.3390/ijms24065700
Chicago/Turabian StyleJärveläinen, Harri A., Christian Schmithals, Maike von Harten, Bianca Kakoschky, Thomas J. Vogl, Stephen Harris, Claire Henson, Gemma Bullen-Clerkson, and Albrecht Piiper. 2023. "Assessment of the Pharmacokinetics, Disposition, and Duration of Action of the Tumour-Targeting Peptide CEND-1" International Journal of Molecular Sciences 24, no. 6: 5700. https://doi.org/10.3390/ijms24065700
APA StyleJärveläinen, H. A., Schmithals, C., von Harten, M., Kakoschky, B., Vogl, T. J., Harris, S., Henson, C., Bullen-Clerkson, G., & Piiper, A. (2023). Assessment of the Pharmacokinetics, Disposition, and Duration of Action of the Tumour-Targeting Peptide CEND-1. International Journal of Molecular Sciences, 24(6), 5700. https://doi.org/10.3390/ijms24065700

