Effect of Gold Nanoparticles on the Physical Properties of an Epoxy Resin
Abstract
1. Introduction
2. Results and Discussion
2.1. Kinetic Analysis
2.2. Thermogravimetric Analysis
2.3. Compression and Flexural Tests
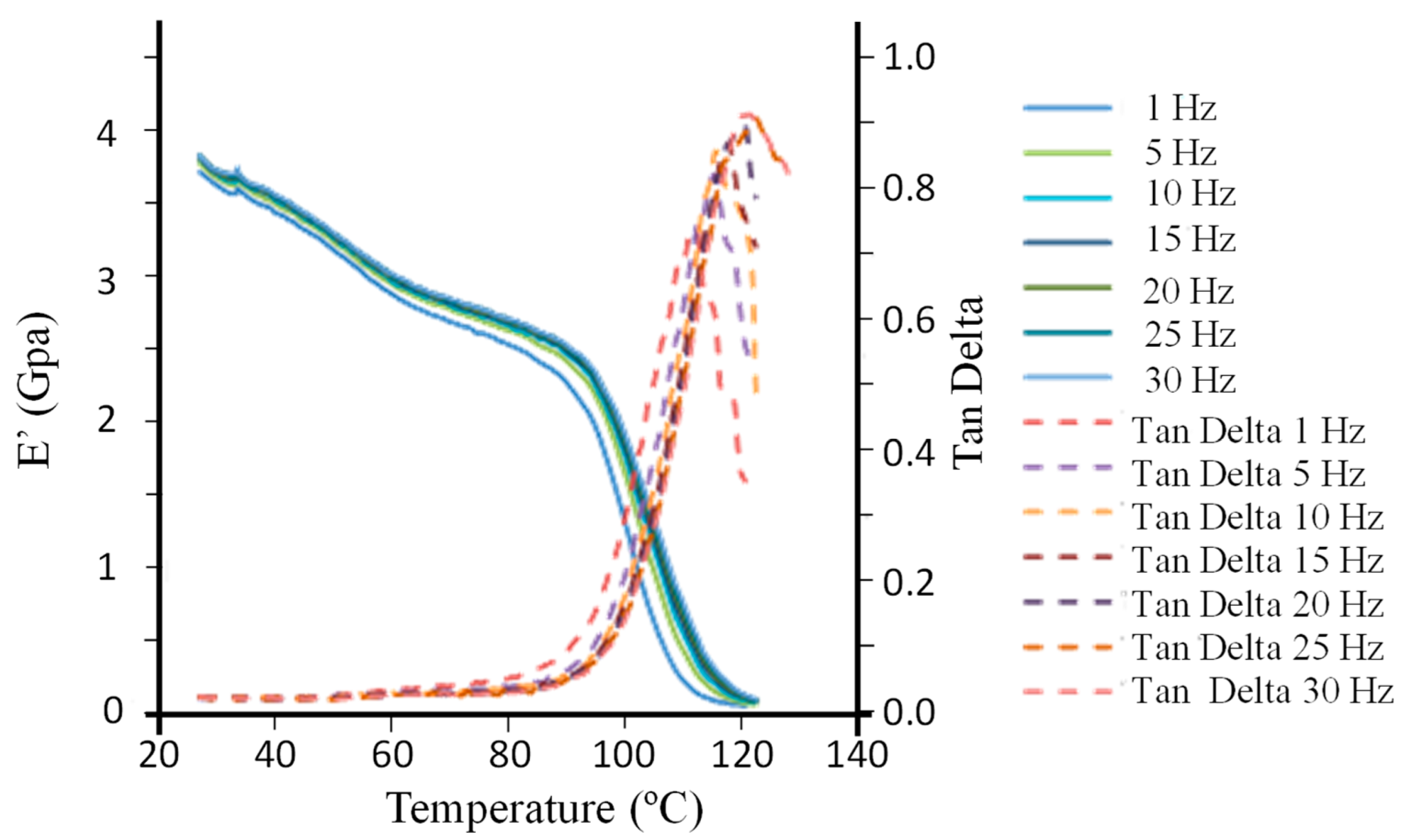
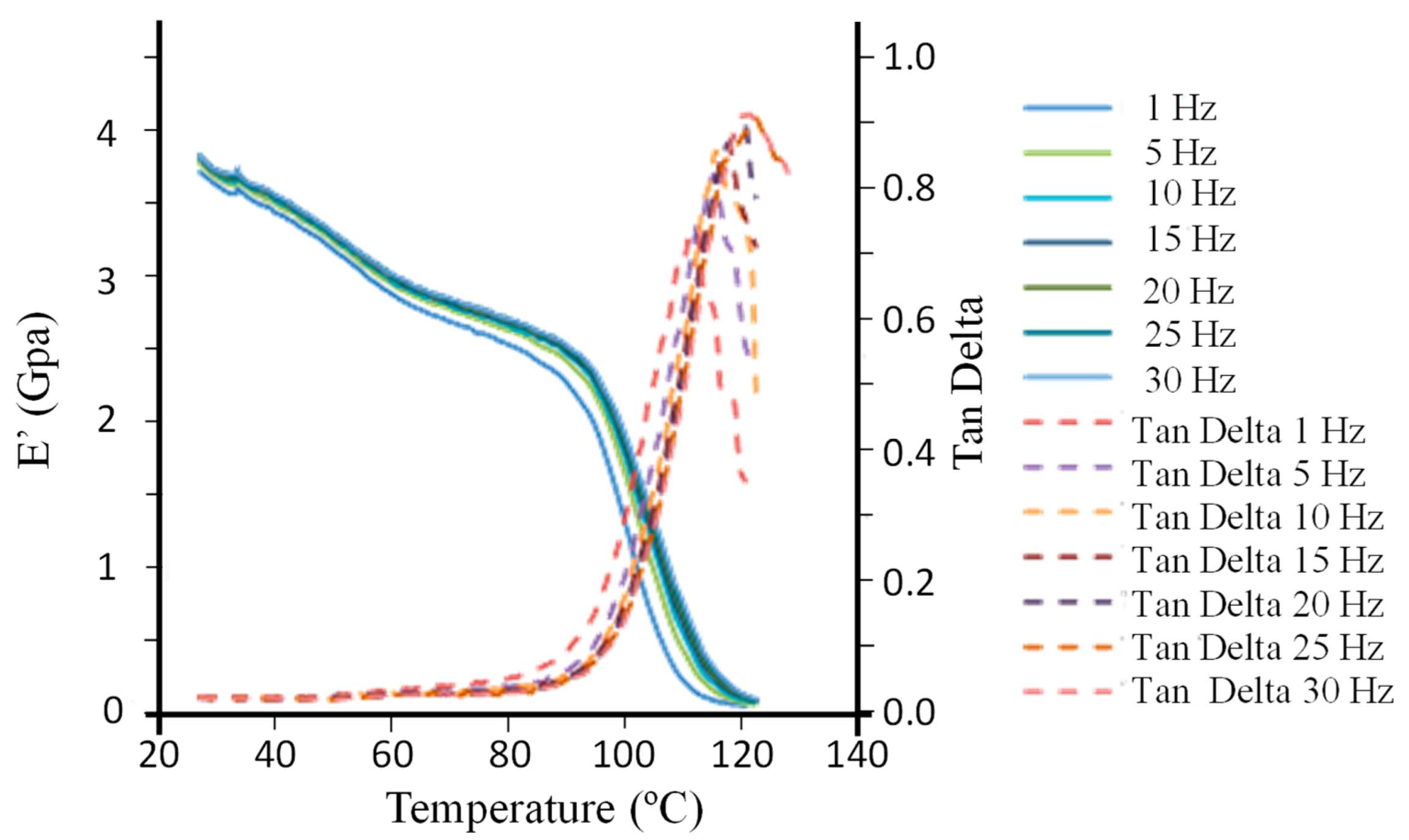
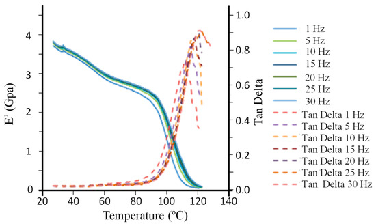
2.4. Dynamic Mechanical Analysis
2.5. Dielectric Analysis
3. Materials and Methods
Sample Preparation
4. Conclusions
Author Contributions
Funding
Institutional Review Board Statement
Informed Consent Statement
Data Availability Statement
Acknowledgments
Conflicts of Interest
References
- Pascault, J.-P.; Williams, R.J.J. Epoxy Polymers: New Materials and Innovations. In Epoxy Polymers: New Materials and Innovations; Wiley-VCH: Weinheim, Germany, 2010. [Google Scholar]
- Pinto, D.; Bernardo, L.; Amaro, A.; Lopes, S. Mechanical Properties of Epoxy Nanocomposites Using Alumina as Reinforcement-A Review. J. Nano Res. 2015, 30, 9–38. [Google Scholar] [CrossRef]
- Ebewele, R.O. Polymer Science and Technology; CRC Press: Boca Raton, FL, USA, 2000. [Google Scholar]
- Irzhak, V. Kinetic Features of Synthesis of Epoxy Nanocomposites. In Nanorods and Nanocomposites; Ghamsari, M.S., Dhara, S., Eds.; IntechOpen: London, UK, 2020. [Google Scholar] [CrossRef]
- Gonon, P.; Boudefel, A. Electrical Properties of Epoxy/Silver Nanocomposites. J. Appl. Phys. 2006, 99, 024308. [Google Scholar] [CrossRef]
- Singha, S.; Thomas, M.J. Dielectric Properties of Epoxy Nanocomposites. IEEE Trans. Dielectr. Electr. Insul. 2008, 15, 12–23. [Google Scholar] [CrossRef]
- Wang, Q.; Chen, G. Effect of nanofillers on the dielectric properties of epoxy nanocomposites. Adv. Mater. Res. 2012, 1, 93–107. [Google Scholar] [CrossRef]
- Akib, N.A.M.; Hirmizi, N.H.M.; Tan, W.L.; Bakar, N.H.H.A.; Bakar, M.A.; Ismail, J.; Teoh, C.H.; See, C.H. Synthesis of Dispersed and Self-Assembled Metal Particles in Epoxy via Aqueous to Organic Phase Transfer Technique. Int. J. Theor. Appl. Nanotechnol. 2015, 3, 9–19. [Google Scholar] [CrossRef]
- Kausar, A. Nanocomposite membranes of poly(ethylene glycol) diamine cured DGEBA/poly(vinylidene fluoride) reinforced with poly(methyl methacrylate) coated gold nanoparticles. Int. J. Plast. Technol. 2015, 19, 106–123. [Google Scholar] [CrossRef]
- Pardiñas-Blanco, I.; Hoppe, C.E.; López-Quintela, M.A.; Rivas, J. Control on the dispersion of gold nanoparticles in an epoxy network. J. Non Cryst. Solids 2007, 353, 826–828. [Google Scholar] [CrossRef]
- Lednický, T.; Bonyár, A. Epoxy Surface Nanocomposites and Their Application as Label-Free Plasmonic DNA Biosensors. ACS Appl. Mater. Interfaces 2020, 12, 4804–4814. [Google Scholar] [CrossRef]
- Hussein, M.A.; El-Said, W.A.; Abu-Zied, B.M.; Choi, J.-W. Nanosheet composed of gold nanoparticle/graphene/epoxy resin based on ultrasonic fabrication for flexible dopamine biosensor using surface-enhanced Raman spectroscopy. Nano Converg. 2020, 7, 15. [Google Scholar] [CrossRef]
- Chen, Y.-J.; Chang, W.-H.; Li, C.-Y.; Yi, C.C.; Huang, C.-C.; Lin, C.-H. Direct synthesis of monolayer gold nanoparticles on epoxy based photoresist by photoreduction and application to surface-enhanced Raman sensing. Mater. Des. 2021, 197, 109211. [Google Scholar] [CrossRef]
- Demir, B.; Chan, K.Y.; Yang, D.; Mouritz, A.; Lin, H.; Jia, B.; Lau, K.T.; Walsh, T.R. Epoxy-gold nanoparticle nanocomposites with enhanced thermo-mechanical properties: An integrated modelling and experimental study. Compos. Sci. Technol. 2019, 174, 106–116. [Google Scholar] [CrossRef]
- Dong, J.; Firestone, G.E.; Bochinski, J.R.; Clarke, L.I.; Gorga, R.E. In situ curing of liquid epoxy via goldnanoparticle mediated photothermal heating. Nanotechnology 2017, 28, 065601. [Google Scholar] [CrossRef] [PubMed]
- Leonardi, A.B.; Puig, J.; Antonacci, J.; Arenas, G.F.; Zucchi, I.A.; Hoppe, C.E.; Reven, L.; Zhu, L.; Toader, V.; Williams, R.J.J. Remote activation by green-light irradiation of shape memory epoxies containing gold nanoparticles. Eur. Polym. J. 2015, 71, 451–460. [Google Scholar] [CrossRef]
- Angelov, V.A.; Batakliev, T.T.; Georgiev, V.F.; Ivanov, E.H.; Kotsilkova, R.K. Preparation and electromagnetic properties of epoxy/organoclay/MWCNT/gold nanocomposites. Bulg. Chem. Commun. 2020, 52, 297–299. [Google Scholar] [CrossRef]
- Zhang, Y.; Zhang, Q.; Lü, W. One-step synthesis of graphene/Au nanoparticle composite by epoxy resin: Electrocatalytic detection of H2O2 and catalytic reduction of 4-nitrophenol. Mater. Res. Express. 2017, 4, 105012. [Google Scholar] [CrossRef]
- Yagci, Y.; Sangermano, M.; Rizza, G. Synthesis and Characterization of Gold−Epoxy Nanocomposites by Visible Light Photoinduced Electron Transfer and Cationic Polymerization Processes. Macromolecules 2008, 41, 7268–7270. [Google Scholar] [CrossRef]
- Fraga, F.; Rodríguez Núñez, E. Activation energies for the epoxy system BADGE n = 0/m-XDA obtained using data from thermogravimetric analysis. J. Appl. Polym. Sci. 2001, 80, 776–782. [Google Scholar] [CrossRef]
- Fraga, F.; Rodríguez Núñez, E. Lifetime predictions for the epoxy system BADGE n=0/m-XDA using kinetic analysis of thermogravimetry curves. J. Appl. Polym. Sci. 2002, 83, 1692–1696. [Google Scholar] [CrossRef]
- Fraga, F.; Nunez, E.R. Master curves and lifetime prediction for the epoxy system BADGE n = 0/m-XDA by thermogravimetric analysis. J. Appl. Polym. Sci. 2001, 82, 461–466. [Google Scholar] [CrossRef]
- Fraga, F.; Castro-Díaz, C.; Rodríguez-Núñez, E.; Martínez-Ageitos, J.M. Physical aging for an epoxy network diglycidyl ether of bisphenol A/m-xylylenediamine. Polymer 2003, 44, 5779–5784. [Google Scholar] [CrossRef]
- Fraga, F.; Castro-Díaz, C.; Rodríguez-Núñez, E.; Martínez-Ageitos, J.M. Kinetic analysis of relaxation process for the epoxy network diglycidyl ether of bisphenol A/m-xylylenediamine. J. Appl. Polym. Sci. 2005, 96, 1591–1595. [Google Scholar] [CrossRef]
- Fraga, F.; López, M.; Soto, V.H.; Rodríguez-Núñez, E.; Martínez-Ageitos, J.M.; Miragaya, J. Study of the physical aging of the epoxy system BADGE n = 0/m-XDA/CaCO3. J. Appl. Polym. Sci. 2009, 113, 2456–2461. [Google Scholar] [CrossRef]
- Fraga, F.; Miragaya, J.; Martínez-Ageitos, J.M.; Rodríguez-Núñez, E.; SotoTellini, V.H.; Jiménez Carrillo, L. Estudio calorimétrico de nanocompuestos de sistema epoxídico DGEBA n=0/m-XDA con nanopartículas de oro. Rev. Iberoam. Polím. 2010, 11, 632–641. [Google Scholar]
- Fraga, F.; Rodríguez-Núñez, E.; Martínez, A.; Miragaya, J. Calorimetric Study of Nanocomposites of Epoxy Network DGEBA n=0/m-XDA with Gold Nanoparticles. Int. J. Nanop. 2014, 7, 100–111. [Google Scholar] [CrossRef]
- Fraga, F.; Torres, C.; Rodríguez Núñez, E.; Martínez-Ageitos, J.M.; Vázquez Barreiro, E.C.; Suárez- Pereiro, F.; Miragaya, J. Characterization of an Epoxy Network with GoldNanoparticles Using Dielectric Analysis. Adv. Polym. Technol. 2018, 37, 21730. [Google Scholar] [CrossRef]
- Wetzel, B.; Haupert, F.; Zhang, M.Q. Epoxy nanocomposites with high mechanical and tribological performance. Compos. Sci Technol. 2003, 63, 2055–2067. [Google Scholar] [CrossRef]
- Goyanes, S.N.; König, P.G.; Marconi, J.D. Dynamic mechanical analysis of particulate-filled epoxy resin. J. Appl. Polym. Sci. 2003, 88, 883–892. [Google Scholar] [CrossRef]
- Medina, R.; Haupert, F.; Schlarb, A.K. Improvement of tensile properties and toughness of an epoxy resin by nanozirconium-dioxide reinforcement. J. Mater. Sci. 2008, 43, 3245–3252. [Google Scholar] [CrossRef]
- Dorigato, A.; Giusti, G.; Bondioli, F.; Pegoretti, A. Electrically conductive epoxy nanocomposites containing carbonaceous fillers and in-situ generated silver nanoparticles. Express Polym. Lett. 2013, 7, 673–682. [Google Scholar] [CrossRef]
- Liu, G.; Zhang, H.; Zhang, D.-J.; Zhang, Z.; An, X.-F.; Yi, X.-S. On depression of glass transition temperature of epoxy nanocomposites. J. Mater. Sci. 2012, 47, 6891–6895. [Google Scholar] [CrossRef]
- Barrau, S.; Demont, P.; Maraval, C.; Bernes, A.; Lacabanne, C. Glass Transition Temperature Depression at the Percolation Threshold in Carbon Nanotube–Epoxy Resin and Polypyrrole–Epoxy Resin Composites. Macromol. Rapid Commun. 2005, 26, 390–394. [Google Scholar] [CrossRef]
- Tsagaropoulos, G.; Eisenberg, A. Dynamic Mechanical Study of the Factors Affecting the Two Glass Transition Behavior of Filled Polymers. Similarities and Differences with Random Ionomers. Macromolecules. 1995, 28, 6067–6077. [Google Scholar] [CrossRef]
- Alex, S.; Tiwari, A. Functionalized Gold Nanoparticles: Synthesis, Properties and Applications-A Review. J. Nanosci. Nanotechnol. 2015, 15, 1869–1894. [Google Scholar] [CrossRef] [PubMed]
- Paz Abuín, S.; Pazos Pellín, M.; Núñez, L. Kinetic effects on the impurities in epoxy-resin/m-xylylenediamine reaction. J. Appl. Polym. Sci. 1990, 41, 2155–2167. [Google Scholar] [CrossRef]
- Chern, C.S.; Poehlein, G.W. A kinetic model for curing reactions of epoxides with amines. Polym. Eng. Sci. 1987, 27, 788–795. [Google Scholar] [CrossRef]
- Núñez, L.; Fraga, F.; Núñez, M.R.; Castro, A.; Fraga, L. Effects of Diffusion on the Kinetic Study of the System BADGE n=0/m-Xylylenediamine. J. Appl. Polym. Sci. 1999, 74, 2997–3005. [Google Scholar] [CrossRef]
- Sourour, S.; Kamal, M.R. Differential scanning calorimetry of epoxy cure: Isothermal cure kinetics. Thermochim. Acta 1976, 14, 41–59. [Google Scholar] [CrossRef]
- Riccardi, C.C.; Adabbo, H.E.; Williams, R.J.J. Curing reaction of epoxy resins with diamines. J. Appl. Polym. Sci. 1984, 29, 2481–2492. [Google Scholar] [CrossRef]
- Fraga, F.; Penas, M.; Castro, C.; Rodríguez-Núñez, E.; Martínez-Ageitos, J.M. Cure kinetics of a diglycidyl ether of bisphenol a epoxy network (n = 0) with isophorone diamine. J. Appl. Polym. Sci. 2007, 106, 4169–4173. [Google Scholar] [CrossRef]
- Hatakeyama, T.; Quinn, F.X. Thermal Analysis. In Fundamentals Andapplications to Polymer Science; Wiley: Oxford, UK, 1994. [Google Scholar]
- Nuñez, L.; Fraga, F.; Nuñez, M.R.; Villanueva, M. Thermogravimetric study of the decomposition process of the system BADGE (n = 0)/1,2 DCH. Polymer 2000, 41, 4635–4641. [Google Scholar] [CrossRef]
- Haines, P.; Heal, G.; Laye, P.; Price, D.; Warrington, S.; Wilson, R. Principles of Thermal Analysis and Calorimetry; The Royal Society of Chemistry: Cambridge, UK, 2002. [Google Scholar]
- Núñez-Regueira, L.; Villanueva, M.; Fraga-Rivas, I. Activation energies for the thermodegradation process of an epoxy-diamine system. J. Therm. Anal. Calorim. 2006, 83, 727–733. [Google Scholar] [CrossRef]
- Fraga Grueiro, L. Estudio Cinético, Dinamomecánico y Termogravimétrico Del Sistema Epoxidico BADGE(N=0)/m-XDA Mediante Las Técnicas de Análisis Termico: DSC, DMA y TGA. Construcción de Un Diagrama TTT. Ph.D. Thesis, Universidad de Santiago de Compostela, A Coruña, Spain, 2001. [Google Scholar]
- Kissinger, H.E. Reaction Kinetics in Differential Thermal Analysis. Anal. Chem. 1957, 29, 1702–1706. [Google Scholar] [CrossRef]
- Ozawa, T. A new method of analyzing thermogravimetric data. Bull. Chem. Soc. Jpn. 1965, 38, 1881–1886. [Google Scholar] [CrossRef]
- Flynn, J.H.; Wall, L.A. General treatment of the thermogravimetry of polymers. JRes Natl Bureau Standards, A. 1966, 70, 487–523. [Google Scholar] [CrossRef]
- Ozawa, T. Estimation of activation energy by isoconversion methods. Thermochim. Acta 1992, 203, 159–165. [Google Scholar] [CrossRef]
- Doyle, C.D. Approximations to the Equation of Thermogravimetric Data. Nature 1965, 207, 290–291. [Google Scholar] [CrossRef]
- Vyazovkin, S.; Sbirrazzuoli, N. Isoconversional Kinetic Analysis of Thermally Stimulated Processes in Polymers. Macromol. Rapid Commun. 2006, 27, 1515–1532. [Google Scholar] [CrossRef]
- Zabihi, O.; Ghasemlou, S. Nano-CuO/Epoxy Composites: Thermal Characterization and Thermo-Oxidative Degradation. Int. J. Polym. Anal. Charact. 2012, 17, 108–121. [Google Scholar] [CrossRef]
- Zabihi, O.; Omrani, A.; Rostami, A. Thermo-Oxidative Degradation Kinetics and Mechanism of the System Epoxy Nanocomposite Reinforced with Nano-Al2O3. J. Therm. Anal. Calorim. 2012, 108, 1251–1260. [Google Scholar] [CrossRef]
- Zheng, Y.; Zheng, Y.; Ning, R. Effects of Nanoparticles SiO2 on the Performance of Nanocomposites. Mater. Lett. 2003, 57, 2940–2944. [Google Scholar] [CrossRef]
- Menard, K.P.; Menard, N. Dynamic Mechanical Analysis, Encyclopedia of Analytical Chemistry: Applications, Theory and Instrumentation; Wiley & Sons: Hoboken, NJ, USA, 2017. [Google Scholar] [CrossRef]
- Chartoff, R.P.; Weissman, P.T.; Sircar, A. The Application of Dynamic Mechanical Methods to Tg Determination in Polymers: An Overview. Assignment of the Glass Transition, ASTM STP 1249; Seyler, R.J., Ed.; American Society for Testing and Materials: Philadelphia, PA, USA, 1994; pp. 88–107. [Google Scholar]
- Li, G.; Lee-Sullivan, P.; Thring, R.W. Determination of activation energy for glass transition of an epoxy adhesive using dynamic mechanical analysis. J. Thermal. Anal. Calorim. 2000, 60, 377–390. [Google Scholar] [CrossRef]
- Fraga, F.; Salgado, T.; Rodríguez Añon, J.A.; Núñez Regueira, L. Determination of physical and structural parameters by DMA and DSC. Application to an epoxidic formulation. J. Therm. Anal. 1994, 41, 1543–1550. [Google Scholar] [CrossRef]
- Núñez, L.; Fraga, F.; Castro, A.; Fraga, L. Elastic moduli and activation energies for an epoxy/m-XDA system by DMA and DSC. J. Therm. Anal. Calorim. 1998, 52, 1013–1022. [Google Scholar] [CrossRef]
- Trihotri, M.; Dwivedi, U.K.; Malik, M.M.; Khan, F.H.; Qureshi, M.S. Study of low weight percentage filler on dielectric properties of MWCNT-epoxy nanocomposites. J. Adv. Dilectrics 2016, 6, 1650024. [Google Scholar] [CrossRef]











| Temperature (°C) | −ΔH (J/g) | α |
|---|---|---|
| 40 | 334 ± 67 | 0.69 ± 0.14 |
| 50 | 360 ± 61 | 0.75 ± 0.12 |
| 60 | 412 ± 49 | 0.85 ± 0.10 |
| 70 | 422 ± 48 | 0.88 ± 0.10 |
| 80 | 458 ± 24 | 0.95 ± 0.06 |
| 90 | 452 ± 25 | 0.94 ± 0.06 |
| 100 | 451 ± 25 | 0.93 ± 0.06 |
| Parameter | Temperature (°C) | ||||
|---|---|---|---|---|---|
| 40 | 50 | 60 | 70 | 80 | |
| k1/(10−4 s−1) | 0.094 ± 0.02 | 0.50 ± 0.03 | 1.90 ± 0.01 | 3.10 ± 0.02 | 8.90 ± 0.04 |
| k2/(10−4 s−1) | 3.80 ± 0.10 | 9.10 ± 0.13 | 18.7 ± 0.09 | 30.4 ± 0.07 | 63.2 ± 0.23 |
| m | 1.25 | 1.20 | 1.50 | 1.40 | 1.53 |
| n | 1.72 | 1.78 | 1.51 | 1.59 | 1.49 |
| m + n | 2.97 | 2.98 | 3.01 | 2.99 | 3.02 |
| A1 | 47.34 | 42.24 | 48.95 | 59.77 | 83.00 |
| αc | 0.610 | 0.649 | 0.782 | 0.825 | 0.926 |
| System | n Order Mechanism | Autocatalytic Mechanism | |
|---|---|---|---|
| DGEBA/mXDA/AuNP (8.5%) | Ea (kJ mol−1) | 100 ± 3 | 63 ± 4 |
| A(s−1) | 8.40 ± 0.03 (×1011) | 1.24 ± 0.11 (×107) | |
| DGEBA/mXDA [37] | Ea (kJ mol−1) | 61.03 | 45.14 |
| A (s−1) | 7.17 × 107 | 1.68 × 106 |
| Heating Rate (β) °C/min | DGEBA/m-XDA/AuNP (8.5%) | DGEBA/m-XDA [47] | ||
|---|---|---|---|---|
| Ti °C (5% Decomposition) | % Residue (at 850 °C) | Tm °C | Tm °C | |
| 5 | 329.00 | 18.16 | 357.9 | 353.8 |
| 10 | 346.17 | 17.86 | 366.0 | 365.0 |
| 15 | 349.07 | 14.88 | 374.6 | 365.0 |
| 20 | 361.34 | 14.25 | 380.9 | 372.3 |
| 25 | 359.46 | 14.76 | 389.1 | 376.3 |
| 30 | 364.39 | 11.97 | 389.4 | 380.0 |
| DGEBA/m-XDA/AuNP (8.5%) | DGEBA/m-XDA [47] | DGEBA/m-XDA [20] | |||
|---|---|---|---|---|---|
| α (%) * | Ea (kJ/mol) | R2 | Ea (kJ/mol) | α (%) | Ea (kJ/mol) |
| 10 | 151 ± 3 | 0.9897 | 202.7 | 5 | 148.6 |
| 13 | 156 ± 2 | 0.9970 | 219.3 | 8 | 157.0 |
| 16 | 160 ± 1 | 0.9992 | 229.2 | 11 | 188.4 |
| 19 | 160 ± 1 | 0.9990 | 235.1 | 14 | 208.8 |
| 22 | 163 ± 2 | 0.9989 | 238.7 | 17 | 220.9 |
| 25 | 163 ± 1 | 0.9985 | 241.2 | 20 | 229.2 |
| Property | Young’s Modulus (MPa) | Maximum Elasticity Limit (MPa) | Compressive Strength (MPa) | Stress at 5% Strain (MPa) | Bending Modulus (MPa) |
|---|---|---|---|---|---|
| DGEBA (n = 0)/m-XDA/AuNP (8.5%) | 320 ± 4 | 60.4± 3.6 | 86 ± 13 | 87 ± 6 | (2.22 ± 0.19) × 103 |
| DGEBA (n = 0)/m-XDA | 307 ± 27 | 58.7 ± 2.9 | 85 ± 11 | 76 ± 5 | (2.01 ± 0.18) × 103 |
| DGEBA/m-XDA | DGEBA/m-XDA/AuNP (8.5%) | |||
|---|---|---|---|---|
| References | [47] | [60] | [61] | This paper |
| Ea (kJ/mol−1) | 461 ± 100 (r2 = 0.9549) | 583 ± 44 (r2 = 0.9943) | 640 ± 41 (r2 = 0.9959) | 597 ± 68 (r2 = 0.9871) |
| Tg (°C) at 1 Hz | 124.0 | 118.4 | 118.9 | 111.0 |
| HAuCl4 (%) | Tg (°C) at 464 Hz | ε′ | ε″ | tan δ | σ (pmho/cm) |
|---|---|---|---|---|---|
| 0.0 | 141.7 | 3.68 | 0.1062 | 0.02928 | 432.9 |
| 8.5 | 137.4 | 5.34 | 0.3375 | 0.06080 | 1087 |
Disclaimer/Publisher’s Note: The statements, opinions and data contained in all publications are solely those of the individual author(s) and contributor(s) and not of MDPI and/or the editor(s). MDPI and/or the editor(s) disclaim responsibility for any injury to people or property resulting from any ideas, methods, instructions or products referred to in the content. |
© 2023 by the authors. Licensee MDPI, Basel, Switzerland. This article is an open access article distributed under the terms and conditions of the Creative Commons Attribution (CC BY) license (https://creativecommons.org/licenses/by/4.0/).
Share and Cite
Fraga-López, F.; Carrillo, L.J.; Vázquez-Tato, M.P.; Seijas, J.A.; Meijide, F.; Vázquez Tato, J.; Jover, A. Effect of Gold Nanoparticles on the Physical Properties of an Epoxy Resin. Int. J. Mol. Sci. 2023, 24, 5638. https://doi.org/10.3390/ijms24065638
Fraga-López F, Carrillo LJ, Vázquez-Tato MP, Seijas JA, Meijide F, Vázquez Tato J, Jover A. Effect of Gold Nanoparticles on the Physical Properties of an Epoxy Resin. International Journal of Molecular Sciences. 2023; 24(6):5638. https://doi.org/10.3390/ijms24065638
Chicago/Turabian StyleFraga-López, F., Lisbeth Jiménez Carrillo, María Pilar Vázquez-Tato, Julio A. Seijas, Francisco Meijide, José Vázquez Tato, and Aida Jover. 2023. "Effect of Gold Nanoparticles on the Physical Properties of an Epoxy Resin" International Journal of Molecular Sciences 24, no. 6: 5638. https://doi.org/10.3390/ijms24065638
APA StyleFraga-López, F., Carrillo, L. J., Vázquez-Tato, M. P., Seijas, J. A., Meijide, F., Vázquez Tato, J., & Jover, A. (2023). Effect of Gold Nanoparticles on the Physical Properties of an Epoxy Resin. International Journal of Molecular Sciences, 24(6), 5638. https://doi.org/10.3390/ijms24065638

